Abstract
The current COVID-19 pandemic has caused a significant decline in human mobility during the past three years. This may lead to reconfiguring future tourism flows and resulting transformations in the geographic patterns of economic activities and transportation needs. This study empirically addresses the changes in tourism mobility caused by the pandemic. It focuses on the yet unexplored effects of the destination type on tourism volume change. To investigate this, 1426 metropolitan, urban/resort and dispersed destinations were delimited based on Airbnb offers. Airbnb reviews were used as the proxy for the changes in tourist visits in 2019–2022. Linear mixed-effects models were employed to verify two hypotheses on the differences between the effects of the pandemic on three kinds of tourism destinations. The results confirm the tourism de-metropolisation hypothesis: metropolitan destinations have experienced between −12.4% and −7.5% additional decreases in tourism visits compared to secondary cities and resorts. The second de-concentration hypothesis that urban/resort destinations are more affected than dispersed tourism destinations is not supported. The results also confirm that stricter restrictions and destination dependence on international tourism have negatively affected their visitation. The study sheds light on post-pandemic scenarios on tourism mobility transformations in various geographic locations.
1. Introduction
The current COVID-19 pandemic and non-pharmaceutical interventions employed to contain the spread of the disease have affected all forms of human mobility, including commuting to work and trips for shopping and leisure purposes [1,2]. Non-essential and relatively long tourism trips have been particularly affected, leading to an unprecedented crisis for the tourism industry [3]. However, the impact of the pandemic on tourism varies geographically between destinations. Apart from international differences resulting from country-specific dynamics and responses to the outbreak [4,5,6], there are also variations within individual countries [7,8]. However, in-country differences have been little explored yet due to data limitations.
Studies on tourism motivation and behaviour during the pandemic suggest that the pandemic induced changes in tourism behaviour resulting from travel constraints (lockdowns, border closures, public transportation cancellations), perception of risk, and changing social norms. These factors influence the frequency of trips, time, activities, and the use of tourism services (means of transportation, type of accommodation) [9,10,11,12]. They also affect the choice of travel destinations. Current literature indicates that during the pandemic, people opted for domestic, non-crowded, and nature-based destinations [10,13,14,15,16,17]. While the growing relative importance of domestic, compared to international, tourism is widely documented in international and national statistics [18,19,20], there is still little empirical evidence on the changing patterns of intra-national destination choices. To date, no studies have investigated this topic on a global scale. Studying the evolution of spatial patterns of tourism flows—and understanding the underlying transformations of tourists’ choices and institutional processes—are crucial to planning tourism and transport infrastructure and marketing tourism destinations in the post-pandemic future.
The current study tests two hypotheses regarding the changes in intra-national destination choices during the pandemic. The first is the de-metropolisation hypothesis, which states that tourism arrivals have decreased more in major cities than in all other tourism destinations. It proposes that the pandemic has halted the dynamic growth of metropolitan tourism observed in the previous decades. That growth was fuelled by the growth in business trips, event tourism, and city breaks permitted by the development of low-cost airline offers and the availability of short-term rental platforms, and was stimulated by urban marketing and social media [21,22]. A few arguments justify the de-metropolisation hypothesis. First, typically, cities rely more on international visitors. Second, the direct impact of sanitary regulations, such as cancelling cultural, sports or business events and closing or limiting the capacities of museums, shopping malls and other crowded attractions, has limited tourist activity [23]. Third, there has been reduced interest in urban attractions by crowd-averse tourists [24,25,26,27]. Finally, the decrease in business trips due to the expansion of remote work and online meetings has also had an impact [28,29]. Studies in several countries confirmed that major cities, including capital cities, lost more tourists during the pandemic than other destinations [30,31]. General confirmation of the de-metropolisation hypothesis could lead to the expectation of altering a pre-pandemic trend of rapid growth in metropolitan tourism and rethinking tourism’s role in post-pandemic cities.
The second hypothesis is a de-concentration hypothesis, which states that out of the non-metropolitan destinations, the decrease in tourism visits during the pandemic has been more significant in concentrated urban and resort destinations than in dispersed rural destinations. Such an assumption is justified by the fact that dispersed destinations offering low tourism density and closer contact to nature may be more desirable by tourists than towns, beach or ski resorts with large concentrations of tourists [7,14,32,33,34]. It would align with some media and experts’ expectations of tourists diverting to less populated destinations [35,36] and comply with the discourse on the importance of public green space in the crisis and post-crisis situation [37,38,39]. Some early studies supported this hypothesis on a national level. For example, in Croatia, less populated coastal areas with isolated islands (such as the Zadar region) experienced a weaker drop in tourism in 2020 than regions with more spatially concentrated tourism activity (Dubrovnik-Neretva County) [31]. The effects of the destination type intertwine with the structure of the origins of tourists and dominant means of transportation. Resorts dependent on air transport lost more tourists than those accessed by ground transportation [27,31,40]. On the other hand, domestic tourist-oriented Baltic coastal resorts in Germany attracted more tourists during the pandemic than before [41]. Hence, the hypothesis on the general tourism de-concentration trend requires careful investigation considering possible confounding factors.
The current pandemic has provided ample opportunities to use big data and GIS techniques to monitor the changes in human behaviour [2,42]. In tourism studies, booking data, Internet searches, user-generated data, and mobile device data have been used for near real-time tracking of the situation in the recreation, passenger transportation and accommodation industries [1,3,6,39,43,44,45,46], including the largest short-term rental platform, Airbnb [47,48,49,50,51,52]. This study joins this line of research: it uses web-scraped data on the global scope of the activity on the Airbnb platform as an indicator of general tourism flows [53,54]: first, to delimit sub-national tourism destinations independently from administrative divisions and, second, to estimate the change in tourism visits in each destination between 2019 and 2020–2022. Then, linear mixed-effects models are developed to verify the research hypotheses on the differences between destinations after controlling for the stringency of COVID-related restrictions and the level of destination internationalisation and acknowledging the effects of international differences.
2. Materials and Methods
Airbnb is one of the largest tourism accommodation intermediaries in the world. It sells peer-to-peer accommodation, as well as holiday apartments and hotel rooms. Airbnb offers are located in almost all world countries [55], so Airbnb data can be used for international comparisons. The geolocation of offers makes them helpful in delineating tourism destinations independently from administrative boundaries. Each guest staying at an Airbnb site is asked to leave a time-stamped review on the platform. We use the data on reviews as transactional rather than textual user-generated data [56], so comparing the numbers of reviews posted to listings in a destination in different time intervals can be used to estimate the change in the number of visits to Airbnb sites in that destination. Assuming a correlation between the use of Airbnb and overall tourism arrivals, it can also inform about changes in the overall number of tourist visits to a destination.
The study employs data obtained from the Airbnb platform at two stages of the analysis; first, in delimiting sub-national tourism destinations, and second, in calculating the change in tourism arrivals in destinations between 2019 and 2022 (after using Eurostat tourism statistics to validate that changes in Airbnb stays reflect the changes in all tourism stays). The obtained values and data from other sources are used in constructing linear mixed-effects models to verify the research hypotheses. Below, each step of the analysis is described in detail.
2.1. Delimitation of Tourism Destinations
Due to the differences in administrative divisions between countries and the need to separate three kinds of tourism destinations for verifying research hypotheses, a data-driven procedure of delimiting sub-national destinations was employed. Global datasets of Airbnb listings were scraped from the platform website multiple times before and during the pandemic. For the delimitation, 1.3 million listings that appeared in five datasets (scraped in October 2018, September 2019, February, June, and November 2020 using a Python script) and had at least one review in October 2018 were used.
Two types of clustered tourism destinations (metropolitan and urban/resort) were delimited using the DBSCAN density-based clustering method [57] through the dbscan package for R [58]. DBSCAN is usually used as a non-parametric data clustering method to find accumulations of data points located close to each other in the data space. Its application requires two parameters: a minimum number of core points (minPts) and a minimum distance between core points (ε). A cluster is formed by a set of core points, i.e., points having at least minPts points no further than within ε distance and reachable points that are located not further than ε distance from core points. All points not assigned to any cluster are considered noise. This method is useful for the current study, as in contrast to hierarchical or centroid-based clustering methods, it enables the detection of irregularly shaped non-convex clusters (e.g., extending along coastlines) and ignoring the outliers located in low-density regions.
Due to the large variability in the numbers and densities of Airbnb listings in countries, clustering parameters were differentiated depending on the country; the more and the denser the Airbnb listings in a country, the more conservative the parameters. The values were empirically set to achieve a relatively large number of clustered destinations in many countries (Table 1).
Table 1.
Parameters of the DBSCAN procedure for detecting concentrated destinations.
The distinction between metropolitan and urban/resort destinations was based on the importance and size of the principal city and the relative concentration of tourist activity in a cluster: metropolitan destinations are capital cities, global cities [59], or cities with a population of at least 1 million. Urban/resort destinations are other concentrations of Airbnb listings with a high listings-to-population ratio compared to the country or the entire world (Table 2). In effect, this category comprises leisure tourism destinations in coastal, lakeside or mountain areas and cities with significant tourism functions but little administrative and economic significance compared to metropolitan cities.
Table 2.
Criteria for delimiting destinations based on valid Airbnb listings.
Dispersed destinations were defined as administrative regions after excluding all urbanised areas and clustered destinations. Both administrative borders and the extent of urbanised areas were obtained from the Natural Earth [60] database. Regions used to delimit dispersed destinations are either countries, first-level administrative divisions of large countries with numerous valid Airbnb listings (Australia, Brazil, Canada, China, India, Mexico, Russia, South Africa, and the USA), or NUTS 2 statistical regions of all EU countries, the UK, Albania, Norway, Serbia, Switzerland, and Turkey according to the 2021 classification [61]. Only dispersed regions with at least 100 valid listings were included in the analysis. We may also consider them rural destinations, as all urbanised areas were excluded from their extents. After delimiting all destinations, some areas remained unassigned to any of them. They are urban areas with no clusters of Airbnb listings and urban peripheries beyond the cluster limits. Furthermore, clusters located in secondary cities with minor tourist importance were ignored. Finally, dispersed regions with less than 100 listings were not considered destinations.
Overall, 1426 destinations were delimited: 308 metropolitan, 684 urban/resort, and 434 dispersed destinations (Table 2). The most destinations are located in parts of the world with the most substantial Airbnb presence: the USA, major European countries, and China (Table 3). The number of valid listings in destinations varied between the minimum number of 100 and more than 5000 in the 21 largest destinations.
Table 3.
Countries with the most destinations.
2.2. Calculating Rates of Change between 2019 and 2020–2022
The study uses changes in the number of reviews posted to Airbnb listings to indicate the frequency of Airbnb use. Not all Airbnb stays result in a review: in 2014, 67% of guests wrote a review after their stay, according to Fradkin et al. [62]. Inside Airbnb estimates this share at 30.5% [63]. Irrespective of the exact share, the study assumes that guests’ propensity to leave a review has not changed significantly over time, so temporal changes in the number of reviews are proportional to the changes in trips. According to Fradkin et al. [62], it takes an average of 4.3 days for a guest to submit an opinion. Inside Airbnb [63] uses its own analysis to estimate the average length of stay at an Airbnb site at three days. Therefore, in the current study, six days were subtracted from the dates of posting the review to estimate the midpoint of tourists’ actual stay in the destination.
A web scraper was designed to collect data on reviews posted to listings within destinations. To obtain representative data, we attempted to access all listings in smaller destinations (of fewer than 300 listings). In larger destinations, random samples of 300 listings were accessed. The scraper was designed in R using the httr package [64], respecting the robots.txt file rules of the website, and it saved the posting dates of the reviews and the languages in which the reviews were written. The scraping took place in January 2023. The Airbnb platform left the Chinese market in July 2022 [65] and has suspended activity in Russia and Belarus since the 4th of March of that year due to the Russian invasion of Ukraine [66]. Therefore, for 76 destinations in these three countries, we used the results of earlier web-scraping in January 2022 and calculated rates of change only for 2020 and 2021. After excluding unsuccessful requests and automatic reviews added due to booking cancellations, the raw dataset contained 17,066,329 reviews posted on 262,877 listings. The average ratio of successful requests per destination was 71.6%. The further analysis used 3.5 million reviews on stays in 2019, 1.9 million in 2020, 2.3 million in 2021, and 2.6 million in 2022.
The pandemic’s effects on destinations were quantified as the relative change in the number of reviews between the pre-pandemic year 2019, or a quarter of that year, and the corresponding period of the pandemic years 2020–2022. Due to the dynamic situation in the first period of the pandemic, four quarterly indices were calculated for the year 2020. Then, we calculated yearly indices for the second and third years of the pandemic (2021 and 2022). Finally, an aggregate change index was calculated as a change between the value for 2019 and the average for three years of the pandemic (2020–2022).
We claim that the changes in the number of reviews over time reflect the changes in overall tourism visits. We do not use Airbnb reviews as a proxy for the absolute number of tourist stays in a destination, so the differences in the popularity of that service across countries and destinations should not affect the results. To verify if the dynamics of Airbnb reviews are proportional to the dynamics of all tourism stays, we compared the obtained data with Eurostat statistics on tourism arrivals (inbound and domestic combined) to 31 countries (members of the European Union and the European Free Trade Association) during the years 2019–2021 [67]. We calculated the seasonality indices for 12 quarters by dividing the number of stays during a quarter by the average number of stays during 2019. Respective values for Airbnb data were obtained by averaging the numbers in all destinations in a country weighted by the number of offers in destinations. There was a very high correlation in the trajectories of changes in tourism measured by official statistics and Airbnb data. The coefficient of determination of indexes based on Eurostat and Airbnb data was very high (R2 = 0.875) for all 31 countries combined and even higher for individual countries (Figure 1).
Figure 1.
Dynamics of tourism stays 2019–2021 measured by Eurostat statistics and estimated based on web-scraped Airbnb data in nine European countries.
The descriptive results are presented graphically and cartographically using ggplot2, ggforce, leaflet, and tmap packages for R [68,69,70,71]. The full dataset and spatial data on the destination limits are available in the supplementary file (in SHP format) and presented on a web map available at http://puma.uci.umk.pl/~czeslaw/covid-destinations/ (accessed on 1 March 2023).
2.3. Controlling Variables and Linear Mixed-Effects Models
We designed a set of linear models to find the differences between the three types of destinations and verify the research hypotheses. Seven linear models were constructed to verify the relationship between the type of destination and changes in the number of reviews: four for each quarter of the year 2019, two for the entire years 2021 and 2022, and one for the change between the entire year 2019 and the mean for years 2020–2022. However, we need to consider the effects of confounding factors to isolate the impact of the destination type on tourism dynamics. These assumed confounding factors were the stringency of pandemic restrictions, the destination dependence on international tourism, and international differences in the effects of individual factors on tourism dynamics during the pandemic.
Despite the global scope and effects of the pandemic, its impact on tourism behaviour has been different in various areas due to different dynamics of the numbers of infections and the differences in regulations employed to contain the disease. We used the Oxford Coronavirus Government Response Tracker (OxCGRT) [72] data to acknowledge it. This database contains daily information on various types of restrictions (e.g., restrictions on mobility, gatherings, the closing of workplaces and schools) in a country or an administrative unit. We looked at the Stringency Index’s values, a composite index of 9 indicators. The index values vary between 0 (no restrictions) and 100 (strictest lockdown). We calculated the average daily values for quarters and years depending on the model. In the cases of most of the countries, only national-level data were available. We used the values for sub-national units where available: in large countries with high variability in policies across administrative units (countries of the UK, states of the USA, Brazil, and India, and provincial level units of Canada and China). If the value was missing for a country, we substituted it with a mean value of all destinations. If a value was missing for a sub-national territory, the indicator for the entire country was used.
During the COVID-19 pandemic, international travel was particularly restricted. Thus, the number of international trips decreased more than domestic ones [20,73]. Therefore, the differences in dynamics in destinations could result from the differences in their reliance on international tourists. To control for this factor, we added two variables to the models. First, we measured the country’s dependence on international tourism by a ratio of visitor exports (foreign spending) to the sum of domestic tourism spending and visitor exports in nominal prices in 2019, based on the World Travel and Tourism Council data [74]. However, this measure only accounts for international differences and not the differences between destinations within a country. Due to the lack of ready statistics, to measure intra-national differences, we used the proportion of Airbnb reviews written in languages other than a country’s official languages in 2019. These proportions have extremely high international, compared to intra-national, variations, so they were standardised within each country. Once again, we referred to Eurostat data to validate the quality of such an estimation. We compared the proportions of Airbnb reviews in foreign languages with the proportion of international tourists according to the official statistics of tourist stays in NUTS-2 territorial units of the nine largest (in terms of the number of NUTS-2 units) countries of the UE and the UK [75]. As both data series were standardised within countries, we could ignore the large variation in the proportion of international tourists and foreign language comments between countries (Table 4). We conclude that the estimations based on the languages of Airbnb reviews reflect quite well in-country variation in the proportions of international tourists in most non-English speaking countries where foreign tourists tend to write reviews in English or their own language. It seems less reliable in English-speaking countries where many foreign tourists also write in English. The method fails only in the case of Austria, with peculiar spatial characteristics of international tourism (the Alpine regions are visited mainly by international tourists from German-speaking countries, while Vienna is relatively more popular among tourists from non-German-speaking countries).
Table 4.
Correlation between the percentage of international visitors and the percentage of Airbnb reviews written in foreign languages in NUTS-2 regions of European countries in 2019.
All controlling variables and descriptive statistics of them are presented in Table 5. Apart from the differences in regulations stringency and the importance of international tourism, inter-country differences in the epidemic dynamics and the role of Airbnb in a country’s tourism accommodation may impact both the average levels and differences between types of destinations. Therefore, instead of linear regression models, linear mixed-effects models were built using the country as a grouping variable and the destination type as both fixed and random factor. The models include fixed and random effects of in-country variant factors following design-driven maximal model specification, as Barr et al. [76] suggested. The models were fitted using a restricted likelihood criterion using the lme4 package for R [77].
Table 5.
Descriptive statistics of controlling variables.
3. Results
The aggregated number of Airbnb reviews in destinations decreased on average by 27.8% in Q1 2020 compared to the previous year. In Q2 2020, extensive lockdowns were imposed in most countries, and reviews dropped on average by 78.3% compared to the same period in 2019. In the second half of 2020, the average depth of the decline in tourism stays ranged between 40% and 44%. During 2021 and 2022, gradual recovery was observed, with an average decline of 35.8% and 24.6% relative to the pre-pandemic year (Table 6). Guests posted, on average, 35.8% fewer reviews in the years 2020–2022 than in 2019.
Table 6.
Descriptive statistics of dependent variables (change in %).
The distribution of the rates of change evolved from bimodal in Q1 2020 (majority group with slight negative changes and a separate group of Chinese and Asian destinations with more significant drops), lowly dispersed but right skewed in Q2, to highly dispersed in the second half of the year. Inter-destination differences started to decline in 2021 and throughout 2022. Despite the overall decline in tourism since the second quarter of 2020, at least 10% of destinations noted a positive change in the number of reviews compared to the same periods of 2019. In a more extended period, the positive change was rarer: only 2.7% of destinations had more reviews per year in the pandemic years than in 2019 (Figure 2).
Figure 2.
Change in the number of reviews in destinations (box plots show middle quartiles).
In all periods, metropolitan destinations were most affected by the epidemic. Dispersed destinations were the least, except for the year 2022, when dispersed destinations lost more visits than urban/resort ones (Figure 2). The analysis of variance (Table 7) shows that the differences between the three types of destinations were statistically significant during the entire period of the pandemic. However, in its third year, the difference between urban/resort and dispersed destinations was not significant anymore. In Q1 2020, the differences were slight but statistically significant (between metropolitan and two other types of destinations). In Q2 2020, dispersed destinations stood out, with significantly lower decreases than the other two types. Starting from the second part of 2020, the differences were similar to those observed for the entire period.
Table 7.
ANOVA of change in the number of reviews in different types of destinations.
There were notable differences in the rates of changes and relations between various types of destinations between countries. The most remarkable declines during the entire period were typical for most East and Southeast Asian countries, with the slightest reduction in visits in the USA, Russia, and Australia (Figure 3 and Figure 4). More significant drops in visits to metropolises than to other destinations were visible in most countries. Still, the size of that difference and relations between urban/resort and dispersed destinations varied between countries. Generally, the difference between metropolitan and dispersed destinations was strongest in countries with the slightest decline in reviews. The falls in tourism trips in countries changed over time following the dynamics of the pandemic (Figure 5).
Figure 3.
Change in the number of reviews in destinations between 2019 and the mean of 2020–2022 (for Belarus, China, and Russia 2020–2021; %, histogram presents the distribution of values).
Figure 4.
Change in the number of reviews in destinations by country (countries with at least ten destinations are presented, dots indicate median values, bars indicate interquartile ranges).
Figure 5.
Median change in the number of reviews in destinations by country.
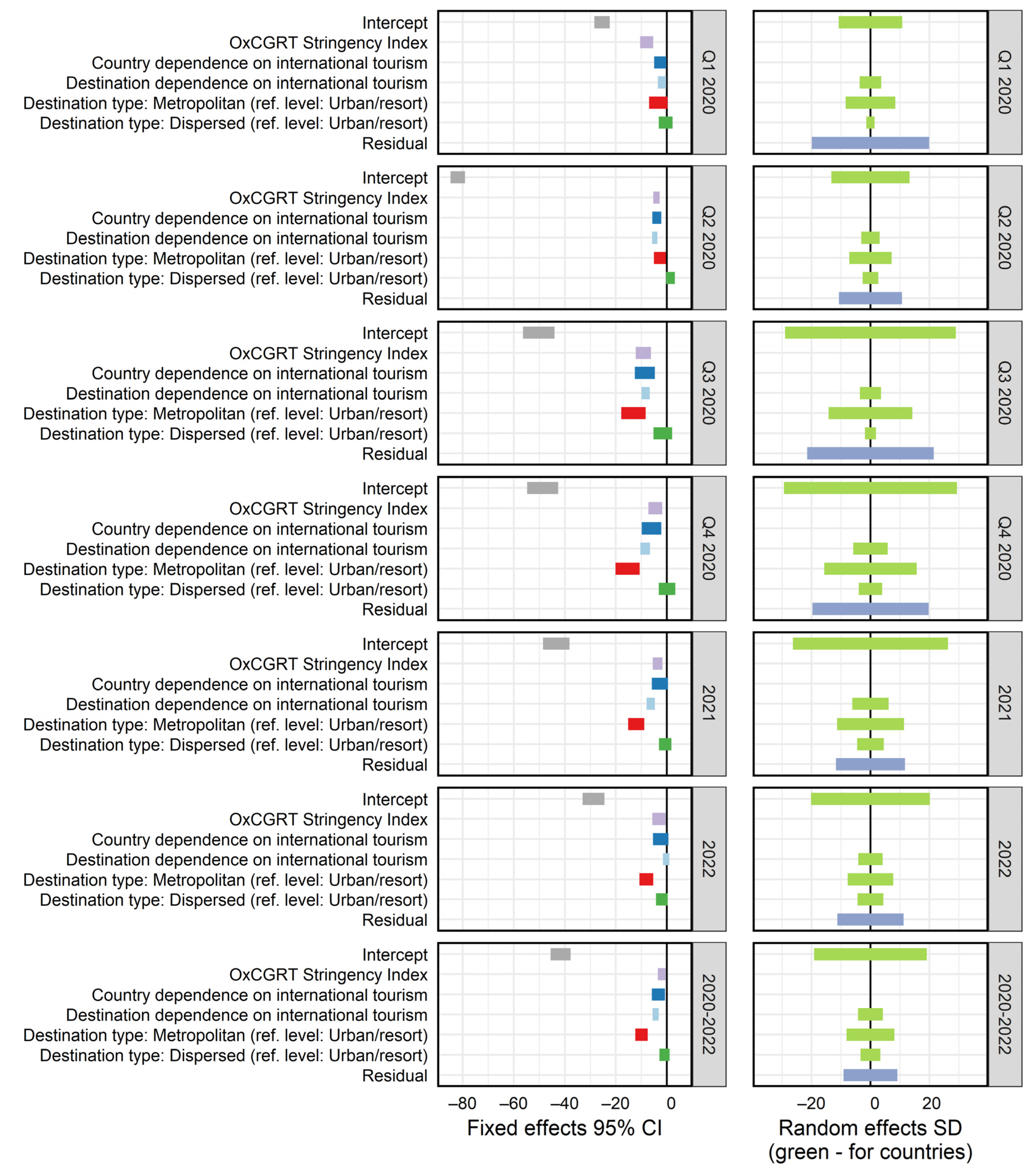
The results of the linear mixed-effects model (Table 8; Figure 6) confirm the significant and stable impact of both controlling variables (local policy stringency and the level of internationalisation of tourism destinations) on the fall in tourism periods in most of the analysed periods. Apart from the intercept decrease in tourism visits by 45.6–37.7% in the years 2020–2022 compared to 2019, the increase in policy stringency by one standard deviation reduced tourism arrivals by an additional 0.4 to 3.5%. The impact of sanitary regulations was more visible in the first year of the pandemic, and later declined, but remained significant. One standard deviation increase in country and destination dependency on international tourism added a further 0.8–5.9% and 3.2–5.6%, respectively, to that drop. The effects of the share of international tourists were particularly strong between Q3 2020 and the beginning of 2021. Metropolitan destinations had a 7.5 to 12.4% additional loss in tourism visits compared to urban/resort destinations, confirming the first hypothesis. This effect increased with time until 2021 and then started to decline. On the other hand, no significant difference has been noticed between dispersed and urban/resort destinations during any period, so the results have not supported the second hypothesis.
Table 8.
Results of the linear mixed-effects models explaining the decrease in the number of reviews in destinations compared to 2019.
Figure 6.
Linear mixed-effects model explaining the decrease in the number of reviews in destinations compared to 2019.
The analysis of random effects in the models gives insight into the model quality and possible sources of variability not included in the models. Both group random effects and residuals have grown with time until the beginning of 2021, indicating the growing variation in the effects of the current crisis on countries and destinations through 2020. They were lower in 2022 than in the previous year, showing the reduction in such variation in the latter phase of the pandemic. The comparison of group random intercepts shows that destinations in countries of Asia and, to a lesser extent, Africa and South America experienced greater drops in Airbnb reviews than the models predicted. It may be an effect of an actual larger decrease in tourism activity or only in Airbnb activity in these countries. Asian countries also had lower negative effects of metropolitan character than American and European destinations.
4. Discussion
The paper analysed the change in tourism arrivals to 1426 sub-national destinations during the COVID-19 pandemic. The results indicate that the magnitude of the decrease in tourism visits highly varied between countries and destinations within individual countries. The differences grew during successive stages of the pandemic: in Q2 2020, tourism arrivals to many destinations were close to zero, and later most destinations experienced gradual recovery, yet the numbers of visits remained below the pre-pandemic levels until 2022. After controlling for the impact of the stringency of sanitary regulations and destinations’ dependency on international tourism, metropolitan destinations proved to be more affected than others. Even though bivariate analysis supported the difference between concentrated urban/resort destinations and dispersed rural destinations, the second hypothesis was no longer endorsed by the final model: the apparent difference between concentrated and dispersed destinations results from confounding factors, specifically the importance of international tourism, which is typically lower in rural destinations, rather than an actual change in tourist preferences.
4.1. The Role of Restrictions and Destination Internationalisation
The effects of the stringency of disease containment measures were most visible at the first stage of the pandemic when local pandemic developments and restrictions had more impact on tourism activity in destinations than the global situation [48,50]. After some time, when the pandemic spread around the world, the crisis was largely globalised and de-territorialised, so other characteristics of destinations (location, internationalisation) played a more important role than current country regulations in predicting the effects for a destination. However, even in the second and third years of the pandemic, the stringency of restrictions still played a role in hindering tourism recovery [78]. Indeed, while most countries have ended the emergency phase of the pandemic, the results show that the impact of restrictions on destination visitation is waning, even though COVID-19 variants are predicted to remain a health threat [79].
The findings clearly show that the pandemic caused a more substantial decline in international than domestic tourism. Even after most restrictions were eased in many parts of the world, strongly internationalised destinations lost more tourists than others. In contrast, many domestic-oriented destinations experienced a growth in tourist visits. These changes may have been influenced not only by the presence of international mobility restrictions but also by tourism ethnocentrism [80], fear and anxiety associated with international travel, and public policies designed to invigorate domestic tourism [18,20]. However, the results suggest that the effects of the internationalisation of tourism on destination visitations decline over time. We can speculate that the pandemic has not triggered a long-term trend of reducing the role of international tourism. Hence, we may doubt that switching to domestic destinations will contribute to mitigating negative environmental externalities of tourism through reduced transport-related greenhouse emissions [81,82].
4.2. Towards Tourism De-Metropolisation
The first decades of the 21st century witnessed a dynamic growth of tourism. Urban tourism destinations stood out as the fastest-growing territorial segment of tourism, at least in Europe. It was caused, among other reasons, by the growth in business and cultural tourism, the development of low-cost airline offers and urban marketing efforts [21,22]. Our results show that major cities have lost the highest proportion of visitors since the pandemic began. This effect decreased in the second and third years of the crisis. However, while the effect of restrictions and destination internationalisation has faded away at the end of the study period, metropolitan destinations remain at lower visitation levels than other areas. Hence, we claim that we may witness a significant and long-term transformation in the role of tourism in major cities. In this regard, the current crisis in the tourism system may lead to its states being profoundly altered instead of simply returning to the pre-pandemic state [83,84]. Tourism de-metropolisation may not be only a short-term trend.
The reasons for the decrease in metropolitan tourism are the forecasted permanent decline in business trips and events due to the expansion of telework and e-meetings [28,29], the change in consumer preferences, and industry adaptation processes [85]. Early post-pandemic studies signal that online meetings that replaced in-person contacts during the pandemic will substitute a part of work-related trips after the end of an emergency [86]. In addition, remote work popularised during the pandemic will remain more common than before the pandemic [87,88]. Remote work will not necessarily reduce total mobility as leisure trips and non-everyday work-related travel may compensate for reduced commuting [89,90]. Hence, to understand the long-term impacts of the pandemic on city tourism, particularly business trips, it is crucial to study the whole spectrum of forms of mobility.
The results point to international differences in pandemic effects on city visitations. Countries with a profound overall decrease in tourism, particularly in Asia, also had lower differences between effects on urban and non-urban destinations. Investigation of regional characteristics of urban tourism dynamics thus remains a challenge.
Temporal or more permanent reduction in some segments of metropolitan destinations could help them to alleviate the negative impacts of untamed tourism growth labelled recently as overtourism [91,92,93]. Therefore, tourism de-metropolisation, primarily via reducing short trips to the most popular urban destinations facilitated by cheap flights and short-term rentals, may redirect the evolution of urban tourism to a more sustainable path [25,94,95].
The results of the study may not only be extrapolated to overall tourism. They can also inform on the dynamics of the use of short-term rental platforms, an essential topic of discussion on modern urban housing markets and the quality of life in tourist cities. At the beginning of the pandemic, scholars suggested that flats would be returned from the short-term into the long-term rental market [96], reducing rent inflation caused by the expansion of tourist rentals. Some empirical studies did show landlords switching between short-term and long-term rental markets, adjusting to current market conditions [97,98]. It is indirectly supported by the current study’s conclusion on a disproportional decrease in the use of short-term rentals in major cities. On the other hand, property owners and property management companies use the current situation to expand their flexible housing management practices from short-term to long-term rentals. They thus pave the way for deeper flexibilisation, platformisation and internationalisation of property management that would further commodify housing [97,99]. Hence, like the composition of mobilities, the broad spectrum of housing use and governance, including new hybrid forms, will shape the long-term dynamics of metropolitan futures.
4.3. No Tourism De-Concentration
Early studies on the change in tourists’ behaviour during the pandemic showed an increased interest in rural tourism destinations [32,33,34]. It could be partially attributed to the restrictions on international travel and increased interest in domestic destinations. This apparent turn towards tourism de-concentration was viewed as an opportunity for the sustainable future of tourism to be reoriented to secondary destinations from overcrowded coastal resorts [14]. The study’s results confirm this trend only at the initial stage of hard lockdowns in Q2 of 2020. They do not support the general behavioural change of leisure tourists towards seeking less densely populated and more natural rural destinations, as predicted based on survey research during the pandemic. On the contrary, tourism-oriented towns and resorts reclaim tourist interest at the same pace as dispersed destinations. Tourism seems to remain a concentrated and spatially uneven phenomenon [53].
4.4. Limitations of the Study and Methodical Implications
The major limitation of the interpretation of the results stems from using a two-step approximation to translate the number of Airbnb reviews into Airbnb stays and then to all tourist visits. The use of review counts as a proxy for transaction data is sometimes criticised [100]. It may not directly inform on the number of stays, as some visits may not have resulted in a review. Notably, during the pandemic, people may have been less willing to leave the review due to the negative perception of travel as socially irresponsible behaviour, particularly in the more collectivistic societies [101,102]. There are also limitations of the web-scraping technique that make the results non-reproducible [103].
More importantly, Airbnb stays may not be representative of total tourism visits. There are differences between countries regarding the popularity of Airbnb service, within-country location patterns, and the structure of users by nationality [55]. However, these reservations limit the possibility of generalising on the absolute number of tourist visits, not changes in tourist activity. As we have proven, changes in reviews correlate well with register-based tourism statistics, at least at the beginning of the pandemic. Moreover, due to the construction of a linear mixed-effects model, international differences in Airbnb use patterns did not affect the results. Hence it was justified to use these data to verify the assumed hypotheses. However, a potential limitation stems from the change in the relative use pattern of Airbnb during the pandemic. Data analytics show that short-term rental supply adjusted more flexibly to the drop in demand than hotels [49,104], yet the use indicators recovered more quickly from their lowest numbers than in the case of hotels [85,105]. Airbnb listings were also reported to be used for long-term stays [106], but studies show that new uses (such as home-office or quarantine sites) did not have a significant share in the platform use [49]. The use of online travel applications may have generally increased during the pandemic due to the accelerated trend of digitisation of consumer behaviour. All this limits the generalisability of the results beyond the testing of the hypothesis. For example, it is impossible to precisely estimate the depth of decrease in tourism arrivals based only on Airbnb data.
Further limitations refer to the construction of independent and controlling variables. We used partially arbitrary criteria to distinguish the three types of destinations. Different criteria for defining metropolitan cities, tourist cities/resorts and dispersed destinations could potentially lead to different results. The first category contains cities of various sizes and positions in the hierarchy of global cities. The second category may be particularly controversial. It includes both typical monofunctional tourist resorts and multifunctional middle-sized cities. Finally, the third category may not contain the most dispersed rural destinations with less than 100 Airbnb listings—a subjective threshold required to obtain sufficient representative data using web scraping. However, the possibility of distinguishing the spatial-functional types of destinations on a global scale is limited by data accessibility. There are also significant differences in settlement structures and the perception of crowding across countries.
The Oxford Coronavirus Government Response Index is widely used as an explaining variable in tourism studies [107,108,109] because it is the only quantitative database on restrictions on such a spatial and temporal range and resolution. Nevertheless, it shares common problems of numeric data, e.g., it does not acknowledge intra-national and intra-regional differences, while some restrictions were imposed in individual cities. It is also based on official policy statements that cannot acknowledge international and intra-national differences in obedience to the imposed restrictions.
Furthermore, the metrics of the reliance of destinations on international tourism may be contested. WTTC statistics on tourism income do not directly correlate with the number of tourism visits. Using languages to distinguish international tourism, even though also used in other studies [110], proves to be efficient in most non-English speaking countries but not so much in non-English-speaking countries or countries whose destinations have specific and different mixes of foreign visitors, such as Austria.
Despite these limitations, the study proves the usefulness of big-data methods in studying and interpreting the transformations in human mobility caused by the current pandemic. In the future, using official statistics combined with big-data sources may help to cope with the limitations of the two types of data in providing even more accurate and internationally comparative insight into the spatiotemporal effects of the pandemic on tourism destinations. Future studies should also monitor the transformations caused by the further development of the pandemic and other crises, such as the war in Ukraine and the imminent climate crisis.
5. Conclusions
The study presented the impact of the COVID-19 pandemic on worldwide tourism destinations. Using big data on Airbnb offers to quantify the decrease in tourism arrivals in 1426 destinations between 2019 and 2022, we proved that metropolitan destinations lost more tourists than dispersed and urban/resort destinations. The trend of tourism de-metropolisation may continue after the pandemic. In addition, sanitary restrictions and destination reliance on international tourism also negatively affected their visitation. However, the effects of these factors declined over time. The study contributes twofold to the existing knowledge and debate on the impact of the pandemic on mobility and tourism. First, it provides a detailed description of the trajectories of the tourism crisis in sub-national destinations worldwide. Such data can help assess the losses and design targeted policies for supporting tourism recovery. Second, the knowledge of the general differences in the effects of the pandemic on various categories of destinations may support predicting long-term transformations in post-pandemic tourism behaviour and, thus, long-term planning of transport and tourism infrastructure.
Supplementary Materials
The following supporting information can be downloaded at: https://www.mdpi.com/article/10.3390/ijgi12040139/s1, data in SHP format (covid_destinations_data.zip).
Funding
This research received no external funding.
Data Availability Statement
Full dataset and spatial data on the destination limits are available in the supplementary shapefile at: https://www.mdpi.com/article/10.3390/ijgi12040139/s1 (covid_destinations_data.zip) and presented on a web map available at http://puma.uci.umk.pl/~czeslaw/covid-destinations/ (accessed on 1 March 2023).
Acknowledgments
The author thanks several anonymous reviewers for insightful comments and suggestions that helped to improve the earlier versions of this manuscript.
Conflicts of Interest
The authors declare no conflict of interest.
References
- Google COVID-19 Community Mobility Reports. Available online: https://www.google.com/covid19/mobility/ (accessed on 17 May 2022).
- Romanillos, G.; García-Palomares, J.C.; Moya-Gómez, B.; Gutiérrez, J.; Torres, J.; López, M.; Cantú-Ros, O.G.; Herranz, R. The city turned off: Urban dynamics during the COVID-19 pandemic based on mobile phone data. Appl. Geogr. 2021, 134, 102524. [Google Scholar] [CrossRef] [PubMed]
- Gössling, S.; Scott, D.; Hall, C.M. Pandemics, tourism and global change: A rapid assessment of COVID-19. J. Sustain. Tour. 2021, 29, 1–20. [Google Scholar] [CrossRef]
- Fang, Y.; Zhu, L.; Jiang, Y.; Wu, B. The immediate and subsequent effects of public health interventions for COVID-19 on the leisure and recreation industry. Tour. Manag. 2021, 87, 104393. [Google Scholar] [CrossRef]
- UNWTO World Tourism Barometer and Statistical Annex, July 2021. Available online: https://doi.org/10.18111/wtobarometereng.2021.19.1.4 (accessed on 24 September 2021).
- Yang, Y.; Altschuler, B.; Liang, Z.; Li, X.R. Monitoring the global COVID-19 impact on tourism: The COVID-19 tourism index. Ann. Tour. Res. 2021, 90, 103120. [Google Scholar] [CrossRef] [PubMed]
- Duro, J.A.; Perez-Laborda, A.; Turrion-Prats, J.; Fernández-Fernández, M. COVID-19 and tourism vulnerability. Tour. Manag. Perspect. 2021, 38, 100819. [Google Scholar] [CrossRef]
- Jang, S.; Kim, J.; Kim, J.; Kim, S.S. Spatial and experimental analysis of peer-to-peer accommodation consumption during COVID-19. J. Destin. Mark. Manag. 2021, 20, 100563. [Google Scholar] [CrossRef]
- Bae, S.Y.; Chang, P.-J. The effect of coronavirus disease-19 (COVID-19) risk perception on behavioural intention towards ‘untact’ tourism in South Korea during the first wave of the pandemic (March 2020). Curr. Issues Tour. 2021, 24, 1017–1035. [Google Scholar] [CrossRef]
- Miao, L.; Im, J.; Fu, X.; Kim, H.; Zhang, Y.E. Proximal and distal post-COVID travel behavior. Ann. Tour. Res. 2021, 88, 103159. [Google Scholar] [CrossRef]
- Pappas, N. COVID19: Holiday intentions during a pandemic. Tour. Manag. 2021, 84, 104287. [Google Scholar] [CrossRef]
- van Wee, B.; Witlox, F. COVID-19 and its long-term effects on activity participation and travel behaviour: A multiperspective view. J. Transp. Geogr. 2021, 95, 103144. [Google Scholar] [CrossRef]
- Crossley, É. Ecological grief generates desire for environmental healing in tourism after COVID-19. Tour. Geogr. 2020, 22, 536–546. [Google Scholar] [CrossRef]
- González-Reverté, F.; Gomis-López, J.M.; Díaz-Luque, P. Reset or temporary break? Attitudinal change, risk perception and future travel intention in tourists experiencing the COVID-19 pandemic. J. Tour. Futures 2022, 4, 249–264. [Google Scholar] [CrossRef]
- Kock, F.; Nørfelt, A.; Josiassen, A.; Assaf, A.G.; Tsionas, M.G. Understanding the COVID-19 tourist psyche: The Evolutionary Tourism Paradigm. Ann. Tour. Res. 2020, 85, 103053. [Google Scholar] [CrossRef] [PubMed]
- Li, X.; Gong, J.; Gao, B.; Yuan, P. Impacts of COVID-19 on tourists’ destination preferences: Evidence from China. Ann. Tour. Res. 2021, 90, 103258. [Google Scholar] [CrossRef] [PubMed]
- Park, I.-J.; Kim, J.; Kim, S.S.; Lee, J.C.; Giroux, M. Impact of the COVID-19 pandemic on travelers’ preference for crowded versus non-crowded options. Tour. Manag. 2021, 87, 104398. [Google Scholar] [CrossRef]
- Arbulú, I.; Razumova, M.; Rey-Maquieira, J.; Sastre, F. Can domestic tourism relieve the COVID-19 tourist industry crisis? The case of Spain. J. Destin. Mark. Manag. 2021, 20, 100568. [Google Scholar] [CrossRef]
- Matsuura, T.; Saito, H. The COVID-19 pandemic and domestic travel subsidies. Ann. Tour. Res. 2022, 92, 103326. [Google Scholar] [CrossRef]
- UNWTO Briefing Note–Tourism and COVID-19, Issue 3. Understanding Domestic Tourism and Seizing Its Opportunities. Available online: https://www.e-unwto.org/doi/book/10.18111/9789284422111 (accessed on 12 October 2020).
- Nilsson, J.H. Conceptualizing and contextualising overtourism: The dynamics of accelerating urban tourism. Int. J. Tour. Cities 2020, 6, 657–671. [Google Scholar] [CrossRef]
- Postma, A.; Buda, D.-M.; Gugerell, K. The future of city tourism. J. Tour. Futures 2017, 3, 95–101. [Google Scholar] [CrossRef]
- Desvars-Larrive, A.; Dervic, E.; Haug, N.; Niederkrotenthaler, T.; Chen, J.; Di Natale, A.; Lasser, J.; Gliga, D.S.; Roux, A.; Sorger, J.; et al. A structured open dataset of government interventions in response to COVID-19. Sci. Data 2020, 7, 285. [Google Scholar] [CrossRef]
- Anguera-Torrell, O.; Vives-Perez, J.; Aznar-Alarcón, J.P. Urban tourism performance index over the COVID-19 pandemic. Int. J. Tour. Cities 2021, 7, 565–582. [Google Scholar] [CrossRef]
- Jiricka-Pürrer, A.; Brandenburg, C.; Pröbstl-Haider, U. City tourism pre- and post-covid-19 pandemic–Messages to take home for climate change adaptation and mitigation? J. Outdoor Recreat. Tour. 2020, 31, 100329. [Google Scholar] [CrossRef]
- Kowalczyk-Anioł, J.; Grochowicz, M.; Pawlusiński, R. How a Tourism City Responds to COVID-19: A CEE Perspective (Kraków Case Study). Sustainability 2021, 13, 7914. [Google Scholar] [CrossRef]
- Silva Lopes, H.; Remoaldo, P.C.; Ribeiro, V.; Martín-Vide, J. Effects of the COVID-19 Pandemic on Tourist Risk Perceptions—The Case Study of Porto. Sustainability 2021, 13, 6399. [Google Scholar] [CrossRef]
- Baert, S.; Lippens, L.; Moens, E.; Sterkens, P.; Weytjens, J. The COVID-19 Crisis and Telework: A Research Survey on Experiences, Expectations and Hopes; Institute of Labor Economics: Bonn, Germany, 2020; Available online: http://ftp.iza.org/dp13229.pdf (accessed on 22 March 2023).
- Sorenson, J. The Journey Ahead: How the Pandemic and Technology Will Change Airline Business Travel; IdeaWorksCompany: Shorewood, IL, USA, 2020; Available online: https://ideaworkscompany.com/wp-content/uploads/2020/12/Journey-Ahead-Airline-Business.pdf (accessed on 22 March 2023).
- Adamiak, C. Najem krótkoterminowy w Polsce w czasie pandemii COVID-19. Czas. Geogr. 2022, 93, 9–32. [Google Scholar] [CrossRef]
- Šulc, I.; Fuerst-Bjeliš, B. Changes of tourism trajectories in (post)covidian world: Croatian perspectives. Res. Glob. 2021, 3, 100052. [Google Scholar] [CrossRef]
- Marques, C.P.; Guedes, A.; Bento, R. Rural tourism recovery between two COVID-19 waves: The case of Portugal. Curr. Issues Tour. 2022, 25, 857–863. [Google Scholar] [CrossRef]
- Seraphin, H.; Dosquet, F. Mountain tourism and second home tourism as post COVID-19 lockdown placebo? Worldw. Hosp. Tour. Themes 2020, 12, 485–500. [Google Scholar] [CrossRef]
- Vaishar, A.; Šťastná, M. Impact of the COVID-19 pandemic on rural tourism in Czechia Preliminary considerations. Curr. Issues Tour. 2022, 25, 187–191. [Google Scholar] [CrossRef]
- Assaf, A.G.; Kock, F.; Tsionas, M. Tourism during and after COVID-19: An Expert-Informed Agenda for Future Research. J. Travel Res. 2022, 61, 454–457. [Google Scholar] [CrossRef]
- Gierczak-Korzeniowska, B.; Szpara, K.; Stopa, M. Regional tourism during the COVID-19 pandemic: Losses, missed opportunities and new developments for the tourism industry. Turyzm/Tourism 2021, 31, 65–86. [Google Scholar] [CrossRef]
- Ma, A.T.H.; Lam, T.W.L.; Cheung, L.T.O.; Fok, L. Protected areas as a space for pandemic disease adaptation: A case of COVID-19 in Hong Kong. Landsc. Urban Plan. 2021, 207, 103994. [Google Scholar] [CrossRef] [PubMed]
- Poortinga, W.; Bird, N.; Hallingberg, B.; Phillips, R.; Williams, D. The role of perceived public and private green space in subjective health and wellbeing during and after the first peak of the COVID-19 outbreak. Landsc. Urban Plan. 2021, 211, 104092. [Google Scholar] [CrossRef] [PubMed]
- Venter, Z.S.; Barton, D.N.; Gundersen, V.; Figari, H.; Nowell, M.S. Back to nature: Norwegians sustain increased recreational use of urban green space months after the COVID-19 outbreak. Landsc. Urban Plan. 2021, 214, 104175. [Google Scholar] [CrossRef]
- Moreno-Luna, L.; Robina-Ramírez, R.; Sánchez, M.S.-O.; Castro-Serrano, J. Tourism and Sustainability in Times of COVID-19: The Case of Spain. Int. J. Environ. Res. Public Health 2021, 18, 1859. [Google Scholar] [CrossRef]
- Panzer-Krause, S. Rural Tourism in and after the COVID-19 Era: “Revenge Travel” or Chance for a Degrowth-Oriented Restart? Cases from Ireland and Germany. Tour. Hosp. 2022, 3, 399–415. [Google Scholar] [CrossRef]
- McKenzie, G.; Adams, B. A country comparison of place-based activity response to COVID-19 policies. Appl. Geogr. 2020, 125, 102363. [Google Scholar] [CrossRef] [PubMed]
- Gallego, I.; Font, X. Changes in air passenger demand as a result of the COVID-19 crisis: Using Big Data to inform tourism policy. J. Sustain. Tour. 2021, 29, 1470–1489. [Google Scholar] [CrossRef]
- Napierała, T.; Leśniewska-Napierała, K.; Burski, R. Impact of Geographic Distribution of COVID-19 Cases on Hotels’ Performances: Case of Polish Cities. Sustainability 2020, 12, 4697. [Google Scholar] [CrossRef]
- Piccinelli, S.; Moro, S.; Rita, P. Air-travelers’ concerns emerging from online comments during the COVID-19 outbreak. Tour. Manag. 2021, 85, 104313. [Google Scholar] [CrossRef]
- Suau-Sanchez, P.; Voltes-Dorta, A.; Cugueró-Escofet, N. An early assessment of the impact of COVID-19 on air transport: Just another crisis or the end of aviation as we know it? J. Transp. Geogr. 2020, 81, 102749. [Google Scholar] [CrossRef]
- Benítez-Aurioles, B. How the peer-to-peer market for tourist accommodation has responded to COVID-19. Int. J. Tour. Cities 2022, 8, 379–392. [Google Scholar] [CrossRef]
- Boros, L.; Dudás, G.; Kovalcsik, T. The effects of COVID-19 on Airbnb. Hung. Geogr. Bull. 2020, 69, 363–381. [Google Scholar] [CrossRef]
- Gyódi, K. Airbnb and hotels during COVID-19: Different strategies to survive. Int. J. Cult. Tour. Hosp. Res. 2021, 16, 168–192. [Google Scholar] [CrossRef]
- Hu, M.R.; Lee, A.D. Airbnb, COVID-19 Risk and Lockdowns: Global Evidence. 2020. Available online: https://papers.ssrn.com/sol3/papers.cfm?abstract_id=3589141 (accessed on 28 November 2020).
- Nhamo, G.; Dube, K.; Chikodzi, D. Impacts and Implications of COVID-19 on the Global Hotel Industry and Airbnb. In Counting the Cost of COVID-19 on the Global Tourism Industry; Nhamo, G., Dube, K., Chikodzi, D., Eds.; Springer: Cham, Switzerland, 2020; pp. 183–204. [Google Scholar] [CrossRef]
- Romano, A. The shifting geographies of digital intermediation: The effects of the COVID-19 pandemic on short-term rentals in Italian cities. Digit. Geogr. Soc. 2021, 2, 100019. [Google Scholar] [CrossRef]
- Adamiak, C.; Szyda, B. Combining Conventional Statistics and Big Data to Map Global Tourism Destinations Before COVID-19. J. Travel Res. 2022, 61, 1848–1871. [Google Scholar] [CrossRef]
- Cebeillac, A.; Vaguet, Y. What can we learn from Airbnb data on tourist flows? A case study on Iceland. Espace Popul. Sociétés 2021, 1–22. [Google Scholar] [CrossRef]
- Adamiak, C. Current state and development of Airbnb accommodation offer in 167 countries. Curr. Issues Tour. 2022, 25, 3131–3149. [Google Scholar] [CrossRef]
- Li, J.; Xu, L.; Tang, L.; Wang, S.; Li, L. Big data in tourism research: A literature review. Tour. Manag. 2018, 68, 301–323. [Google Scholar] [CrossRef]
- Ester, M.; Kriegel, H.-P.; Sander, J.; Xu, X. A Density-Based Algorithm for Discovering Clusters in Large Spatial Databases with Noise. In KDD-96 Proceedings; University of Munich: Munich, Germany, 1996; pp. 226–231. Available online: https://www.aaai.org/Papers/KDD/1996/KDD96-037.pdf (accessed on 1 March 2023).
- Hahsler, M.; Piekenbrock, M.; Doran, D. dbscan: Fast Density-Based Clustering with R. J. Stat. Softw. 2019, 91, 1–30. [Google Scholar] [CrossRef]
- The World According to GaWC 2020. Available online: https://www.lboro.ac.uk/gawc/world2020t.html (accessed on 4 January 2021).
- Natural Earth. Available online: https://www.naturalearthdata.com/ (accessed on 4 January 2021).
- NUTS–Nomenclature of Territorial Units for Statistics Statistics: Background. Available online: https://ec.europa.eu/eurostat/web/nuts/background (accessed on 15 February 2021).
- Fradkin, A.; Grewal, E.; Holtz, D. The Determinants of Online Review Informativeness: Evidence from Field Experiments on Airbnb. SSRN Electron. J. 2018, 41, 1–12. [Google Scholar] [CrossRef]
- About Inside Airbnb. Available online: http://insideairbnb.com/about.html (accessed on 15 February 2021).
- Wickham, H. Httr: Tools for Working with URLs and HTTP. R Package Version 1.4.2. Available online: https://CRAN.R-project.org/package=httr (accessed on 22 March 2023).
- Ye, J.; Goh, B. Airbnb to shut domestic business in China from July 30. Reuters 2022. Available online: https://www.reuters.com/markets/asia/airbnb-says-will-shut-domestic-business-china-july-30-2022-05-24 (accessed on 6 February 2023).
- Malik, A. Airbnb suspends all operations in Russia and Belarus. TechCrunch 2022. Available online: https://techcrunch.com/2022/03/04/airbnb-suspends-all-operations-in-russia-and-belarus (accessed on 6 February 2023).
- Eurostat. Arrivals at Tourist Accommodation Establishments–Monthly Data. Available online: https://ec.europa.eu/eurostat/databrowser/view/tour_occ_arm/default/table?lang=en (accessed on 6 February 2023).
- Cheng, J.; Karambelkar, B.; Xie, Y. Leaflet: Create Interactive Web Maps with the JavaScript ‘Leaflet’ Library. R Package Version 2.0.4.1. Available online: https://CRAN.R-project.org/package=leaflet (accessed on 22 March 2023).
- Pedersen, T.L. Ggforce: Accelerating ‘ggplot2’. R Package Version 0.3.3. Available online: https://CRAN.R-project.org/package=ggforce (accessed on 22 March 2023).
- Tennekes, M. tmap: Thematic Maps in R. J. Stat. Softw. 2018, 84, 1–39. [Google Scholar] [CrossRef]
- Wickham, H. ggplot2: Elegant Graphics for Data Analysis, 2nd ed.; Springer: New York, NY, USA, 2016. [Google Scholar]
- Hale, T.; Angrist, N.; Goldszmidt, R.; Kira, B.; Petherick, A.; Phillips, T.; Webster, S.; Cameron-Blake, E.; Hallas, L.; Majumdar, S.; et al. A global panel database of pandemic policies (Oxford COVID-19 Government Response Tracker). Nat. Hum. Behav. 2021, 5, 529–538. [Google Scholar] [CrossRef]
- Gyimóthy, S.; Braun, E.; Zenker, S. Travel-at-home: Paradoxical effects of a pandemic threat on domestic tourism. Tour. Manag. 2022, 93, 104613. [Google Scholar] [CrossRef]
- The World Bank TCdata360. Available online: https://tcdata360.worldbank.org/ (accessed on 1 February 2022).
- Eurostat. Arrivals at Tourist Accommodation Establishments by NUTS 2 Regions. Available online: https://ec.europa.eu/eurostat/databrowser/view/tour_occ_arn2/default/table?lang=en (accessed on 6 February 2023).
- Barr, D.J.; Levy, R.; Scheepers, C.; Tily, H.J. Random effects structure for confirmatory hypothesis testing: Keep it maximal. J. Mem. Lang. 2013, 68, 255–278. [Google Scholar] [CrossRef] [PubMed]
- Bates, D.; Mächler, M.; Bolker, B.; Walker, S. Fitting Linear Mixed-Effects Models Using lme4. J. Stat. Softw. 2015, 67, 48. [Google Scholar] [CrossRef]
- Okafor, L.; Yan, E. COVID-19 vaccines, rules, deaths, and tourism recovery. Ann. Tour. Res. 2022, 95, 103424. [Google Scholar] [CrossRef] [PubMed]
- UN News. Tedros: COVID-19 Remains an International Health Threat. 2023. Available online: https://news.un.org/en/story/2023/01/1132977 (accessed on 1 February 2023).
- Kock, F.; Josiassen, A.; Assaf, A.G. The xenophobic tourist. Ann. Tour. Res. 2019, 74, 155–166. [Google Scholar] [CrossRef]
- Ioannides, D.; Gyimóthy, S. The COVID-19 crisis as an opportunity for escaping the unsustainable global tourism path. Tour. Geogr. 2020, 22, 624–632. [Google Scholar] [CrossRef]
- Niewiadomski, P. COVID-19: From temporary de-globalisation to a re-discovery of tourism? Tour. Geogr. 2020, 22, 651–656. [Google Scholar] [CrossRef]
- Scott, N.; Laws, E. Tourism crises and disasters: Enhancing understanding of system effects. J. Travel Tour. Mark. 2005, 19, 149–158. [Google Scholar] [CrossRef]
- Zenker, S.; Kock, F. The coronavirus pandemic–A critical discussion of a tourism research agenda. Tour. Manag. 2020, 81, 104164. [Google Scholar] [CrossRef] [PubMed]
- Fox, L. Airbnb’s Brian Chesky on permanent shifts in travel and need for principles in a crisis. PhocusWire 2021, January 18. Available online: https://www.phocuswire.com/Airbnb-travel-trends-and-crises (accessed on 22 March 2023).
- Müller, A.; Wittmer, A. The choice between business travel and video conferencing after COVID-19–Insights from a choice experiment among frequent travelers. Tour. Manag. 2023, 96, 104688. [Google Scholar] [CrossRef] [PubMed]
- Kong, X.; Zhang, A.; Xiao, X.; Das, S.; Zhang, Y. Work from home in the post-COVID world. Case Stud. Transp. Policy 2022, 10, 1118–1131. [Google Scholar] [CrossRef]
- Robinson, B. Remote Work Is Here to Stay and Will Increase into 2023, Experts Say. Forbes 2022. Available online: https://www.forbes.com/sites/bryanrobinson/2022/02/01/remote-work-is-here-to-stay-and-will-increase-into-2023-experts-say (accessed on 22 March 2023).
- Caldarola, B.; Sorrell, S. Do teleworkers travel less? Evidence from the English National Travel Survey. Transp. Res. Part A Policy Pract. 2022, 159, 282–303. [Google Scholar] [CrossRef]
- Wöhner, F. Work flexibly, travel less? The impact of telework and flextime on mobility behavior in Switzerland. J. Transp. Geogr. 2022, 102, 103390. [Google Scholar] [CrossRef]
- Ateljevic, I. Transforming the (tourism) world for good and (re)generating the potential ‘new normal’. Tour. Geogr. 2020, 22, 467–475. [Google Scholar] [CrossRef]
- Koens, K.; Postma, A.; Papp, B. Is Overtourism Overused? Understanding the Impact of Tourism in a City Context. Sustainability 2018, 10, 4384. [Google Scholar] [CrossRef]
- Milano, C. Overtourism and Tourismphobia: Global Trends and Local Contexts; Ostelea School of Tourism & Hospitality: Barcelona, Spain, 2017. [Google Scholar] [CrossRef]
- Kadi, J.; Schneider, A.; Seidl, R. Short-term Rentals, Housing Markets and COVID-19: Theoretical Considerations and Empirical Evidence from Four Austrian Cities. Crit. Hous. Anal. 2020, 7, 47–57. [Google Scholar] [CrossRef]
- Koh, E. The end of over-tourism? Opportunities in a post-COVID-19 world. Int. J. Tour. Cities 2020, 6, 1015–1023. [Google Scholar] [CrossRef]
- Dolnicar, S.; Zare, S. COVID-19 and Airbnb–Disrupting the Disruptor. Ann. Tour. Res. 2020, 83, 102961. [Google Scholar] [CrossRef] [PubMed]
- Cocola-Gant, A. Tourist Apartments, COVID-19, And Platform Capitalism. Finisterra 2020, 55, 211–216. [Google Scholar] [CrossRef]
- Marona, B.; Tomal, M. The COVID-19 pandemic impact upon housing brokers’ workflow and their clients’ attitude: Real estate market in Krakow. Entrep. Bus. Econ. Rev. 2020, 8, 221–232. [Google Scholar] [CrossRef]
- Sequera, J.; Nofre, J.; Díaz-Parra, I.; Gil, J.; Yrigoy, I.; Mansilla, J.; Sánchez, S. The impact of COVID-19 on the short-term rental market in Spain: Towards flexibilisation? Cities 2022, 130, 103912. [Google Scholar] [CrossRef]
- Schuckert, M.; Liu, X.; Law, R. Hospitality and Tourism Online Reviews: Recent Trends and Future Directions. J. Travel Tour. Mark. 2015, 32, 608–621. [Google Scholar] [CrossRef]
- Huang, X.; Li, X.; Lu, L. Travel shaming? Rethinking travel decision making amid a global pandemic. Tour. Manag. 2023, 94, 104658. [Google Scholar] [CrossRef]
- Kuhn, F.; Kock, F.; Lohmann, M. The impact of the SARS-CoV-2 pandemic on tourists’ personal prestige–an experimental study. Int. J. Cult. Tour. Hosp. Res. 2022, 16, 238–258. [Google Scholar] [CrossRef]
- Adamiak, C.; Szyda, B.; Dubownik, A.; García-Álvarez, D. Airbnb Offer in Spain—Spatial Analysis of the Pattern and Determinants of Its Distribution. ISPRS Int. J. Geo-Inf. 2019, 8, 155. [Google Scholar] [CrossRef]
- Medeiros, M.; Xie, J.; Severt, D. Exploring relative resilience of Airbnb and hotel industry to risks and external shocks. Scand. J. Hosp. Tour. 2022, 22, 274–283. [Google Scholar] [CrossRef]
- Sanford, W.; DuBois, D. COVID-19 Impact on Hotels and Short-Term Rentals; AirDNA: Denver, CO, USA, 2020; Available online: https://airdna-website-reports.s3.amazonaws.com/documentation/Hotels+vs+Short+Term+Rentals.pdf (accessed on 22 March 2023).
- Ali, R. How Domestic Travel & Long-Term Stays Saved Airbnb in Pandemic Era. Skift.com. 16 November 2020. Available online: https://skift.com/2020/11/16/how-domestic-travel-long-term-stays-saved-airbnb-in-pandemic-era/ (accessed on 22 March 2023).
- Aharon, D.Y.; Jacobi, A.; Cohen, E.; Tzur, J.; Qadan, M. COVID-19, government measures and hospitality industry performance. PLoS ONE 2021, 16, e0255819. [Google Scholar] [CrossRef]
- Milone, F.L.; Gunter, U.; Zekan, B. The pricing of European airbnb listings during the pandemic: A difference-in-differences approach employing COVID-19 response strategies as a continuous treatment. Tour. Manag. 2023, 97, 104738. [Google Scholar] [CrossRef] [PubMed]
- Wang, Y.; Zhang, H.; Gao, W.; Yang, C. COVID-19-related government interventions and travel and leisure stock. J. Hosp. Tour. Manag. 2021, 49, 189–194. [Google Scholar] [CrossRef]
- Liang, S.; Leng, H.; Yuan, Q.; Yuan, C. Impact of the COVID-19 pandemic: Insights from vacation rentals in twelve mega cities. Sustain. Cities Soc. 2021, 74, 103121. [Google Scholar] [CrossRef] [PubMed]
Disclaimer/Publisher’s Note: The statements, opinions and data contained in all publications are solely those of the individual author(s) and contributor(s) and not of MDPI and/or the editor(s). MDPI and/or the editor(s) disclaim responsibility for any injury to people or property resulting from any ideas, methods, instructions or products referred to in the content. |
© 2023 by the author. Licensee MDPI, Basel, Switzerland. This article is an open access article distributed under the terms and conditions of the Creative Commons Attribution (CC BY) license (https://creativecommons.org/licenses/by/4.0/).





