Abstract
Sustainable agricultural systems based on the application of phyto-friendly bacteria and fungi are increasingly needed to preserve soil fertility and microbial biodiversity, as well as to reduce the use of chemical fertilizers and pesticides. Although there is considerable attention on the potential applications of microbial consortia as biofertilizers and biocontrol agents for crop management, knowledge on the molecular responses modulated in host plants because of these beneficial associations is still incomplete. This review provides an up-to-date overview of the different mechanisms of action triggered by plant-growth-promoting microorganisms (PGPMs) to promote host-plant growth and improve its defense system. In addition, we combined available gene-expression profiling data from tomato roots sampled in the early stages of interaction with Pseudomonas or Trichoderma strains to develop an integrated model that describes the common processes activated by both PGPMs and highlights the host’s different responses to the two microorganisms. All the information gathered will help define new strategies for the selection of crop varieties with a better ability to benefit from the elicitation of microbial inoculants.
1. Introduction
Sustainable intensification that limits the ecological footprint is one of the main challenges humans will face in agriculture. The growing demand to reduce the use of chemicals is currently leading to a greater focus on more environmentally friendly crop management [1].
Beyond the well-known mycorrhizal fungi and Rhizobium bacteria, other non-symbiotic rhizobacteria (PGPR) and fungi (PGPF) are recognized as plant-growth-promoting microorganisms (PGPMs). A large amount of commercial PGPM-based products are currently available and used in organic and integrated agriculture for their ability to increase plant development and growth and improve plant health by strengthening crop resistance to (a)biotic stresses [2,3,4]. Commercial microbial consortia, generally consisting of a mix of rhizosphere bacteria (mainly Pseudomonas spp. and Bacillus spp.), useful fungi (Trichoderma spp.), nitrogen-fixing bacteria (principally Azotobacter spp. and Azospirillum spp.), or arbuscular mycorrhizal fungi, are receiving considerable attention for their additive/synergistic biostimulant effects on inoculated plants [5]. Microbial consortia can be designed as agricultural probiotics, as they stimulate the recovery of functional, beneficial microbial groups and supply the natural microbiome reduced by crop domestication [6]. Furthermore, they are used in plant microbiome engineering to modify the structure of pre-existing microbial communities [7].
Despite the above-mentioned beneficial effects, some limitations need to be overcome for large-scale exploitation of PGPMs in agriculture [3,8]. Indeed, PGPM use is still quite limited because of (i) the low availability of high-throughput methods for their screening, isolation, and characterization; (ii) constraints in the large-scale production technologies at industrial level; (iii) the lability of the formulations on the market and the few efforts in producing innovations related to the improvement of the shelf-life of PGPM formulations; (iv) the dearth of innovative and effective strategies and methods for their delivery (i.e., the development of adequate and reliable carriers based on the most advanced nanobiotechnologies) [9,10]; (v) the lack or ineffectiveness of regulations and guidelines that restrict their commercialization [11]; and (vi) the small number of well-trained operators responsible for quality control and biosecurity of the formulations. Nevertheless, the number of agrochemical companies and start-ups developing and marketing microbial products has significantly increased in recent years [12].
Although the use of PGPMs is having great success in innovative agricultural practices and considerable progress has been made in characterizing the complexity of plant–PGPM interactions, there are still several open questions regarding how microbial assembly is established, developed, and maintained throughout the plant’s life cycle. High-throughput technologies and ‘omics’ sciences have accelerated the understanding of plant relationships with microbial communities and especially of (i) how plants and microbes intimately interact, and (ii) how microbes affect plant development, fitness, health, and adaptation to environmental perturbation, (a)biotic stress susceptibility/tolerance, nutrient transfer, cycling, etc. [13,14]. In recent years, huge strides have been made in the field of metagenomics, hence allowing us to identify and characterize mutualistic and antagonistic plant microbial communities starting from the DNA directly extracted from an environmental sample [15].
RNA-based studies are the basic requirement to study the temporal evolution of the complex interaction process between the host plant and the microbes. At present, most reports only focus on host transcriptomics, whose goal is to investigate the transcriptome dynamics and derive gene expression patterns to identify the key processes activated in the plant following the beneficial interaction with soil microbes and to describe the plant adaptation response [16,17,18,19,20].
Dual RNA-sequencing or multi-species transcriptomics, that is the parallel analysis of transcriptome dynamics and gene expression profiles of microbes and their hosts, is much less usual despite being essential to reveal the molecular mechanisms that mediate host/microbe interplay [21,22].
A further level of analysis concerns the identification and quantification of the chemical compounds and the characterization of the metabolic alterations that occur during host–microbe communication [23]. Indeed, metabolomics is increasingly used to unravel the chemical complexity underlying the interactions between plant hosts and their associated microbial communities [24]. Knowing what metabolic changes are taking place is essential to identify which plant metabolites are key players in favoring the interaction with the rhizosphere microbiome, which microbe chemical classes are necessary to establish an effective cooperation relationship and ultimately to reconstruct metabolic models for specific communities of interactors. The next step is to integrate data and knowledge across the omics cascade to investigate plant–microbe relationships at multiple biological scales, moving from the gene to ecosystem levels. The complementation of omics data (i.e., holomics) allows us (i) to get a more precise overview and a systems-level understanding of the plant holobiont (namely, the plant and its associated microbes), (ii) to unlock the molecular reprogramming at play in both host and microbe community during the interaction, and (iii) to resolve the structure and functioning of agricultural ecosystems [25].
The ultimate goal is to move from basic to applied research, i.e., to manipulate these interactions to make them even more efficient. This means, on the one hand, improving plant health and increasing productivity and, on the other, developing sustainable disease management strategies, remodeling the microbiome in soil systems, promoting soil health and ecosystem homeostasis, and fostering the sustainability of ecosystems.
The main objective of this review is to provide an overview of the most up-to-date knowledge on how host plants differently modulate the cascade of events and processes following stimulation with bacteria or fungi. To achieve our goal, we review the recent literature and studies describing the (in)direct mechanisms of action promoted by PGPMs to stimulate plant growth and improve their tolerance to (a)biotic stresses. In addition, we present a case study based on recently published gene expression profiling datasets (i.e., tomato-Pseudomonas fluorescens and tomato-Trichoderma harzianum) to develop a model that describes the common and distinctive molecular responses of the host plant in the early stages (24, 48, and 72 h) of the PGPM interaction [17,18]. All the information gathered will help in defining new strategies for the selection of crop varieties with a better ability to benefit from the elicitation of microbial inoculants.
2. Overview of the Mechanisms Modulated by PGPMs to Improve Plant Growth
Most of the PGPMs that populate the rhizosphere [26] are associated with the root system and exert a phytostimulating effect, attributable to both direct and indirect mechanisms. Direct mechanisms include nutrient availability in soil (e.g., solubilization and mobilization of nutrients) and the production of phytohormones [27,28]. The exploitation of lytic enzymes, antibiotics, siderophores, and volatile and non-volatile metabolites, as well as the induction of systemic resistance (ISR) for the suppression of harmful phytopathogens, have been reported as the main indirect mechanisms through which PGPMs promote plant growth and development [29,30].
Hydrogen cyanide (HCN) is a volatile secondary metabolite synthetized by several PGPMs [31,32] that can control the level of deleterious microbes in the rhizosphere. For example, the suppression of tomato root knot disease caused by Meloidogyne javanica is mediated by HCN-producing P. fluorescens [33]. Recently, a large body of evidence has demonstrated that PGPM stimulation of plant growth results also from complex chemical signaling mediated by volatile organic compounds (VOCs) [34,35]. VOC production is widespread and can be very different between PGPR and PGPF [36]. VOCs produced by both P. fluorescens SS101 and B. subtilis SYST2 increased plant biomass [34,37]. Plant exposure to VOCs emitted by different Trichoderma spp. was found to significantly improve the chlorophyll content, size, and biomass of plants [38].
Table 1 lists some examples of growth benefits conferred to plants by different PGPMs, as well as the various mechanisms involved.
Table 1.
Different mechanisms of plant growth promotion used by PGPMs.
3. Direct Mechanism of Plant Stimulation by PGPMs
3.1. Role of PGPMs in the Availability of Soil Nutrients and in the Uptake of Nutrients
Plant nutrition is essential for optimal agricultural production, thus an adequate supply of nitrogen (N), phosphorus (P), and sulfur (S) forms and ionic species is necessary and usually added to the soil as synthetic fertilizers [58]. However, the increase in the use of chemical fertilizers does not proportionally guarantee crop yields and has a long-term impact on the environment in terms of water and soil pollution, depletion of soil fertility, and carbon footprint [59]. Phyto-friendly soil microbes are a very promising alternative to conventional fertilizers [60,61].
More than a half of the N released into the soil by the conventional N-based fertilizers is lost through the processes of denitrification, runoff, leaching, and erosion. Despite the abundance of nitrogen in the Earth’s atmosphere, the gaseous form of nitrogen is not readily accessible to plants until its conversion into ammonia [62]. In this context, PGPMs can support nitrogen assimilation mainly through mineralization and nitrogen fixation [63], hence enhancing N use efficiency [49]. For example, free-living, associative, and endophytic nitrogen-fixing bacteria have been found to increase plant growth, vigor, and yield in various non-leguminous crops such as rice (Table 1), wheat and sugarcane [39,64]. Recently, fertilizer formulations that included free-living N2-fixing bacteria along with organic and inorganic N forms proved to be a promising strategy for reducing N leaching and improving growth in sugarcane and macadamia plants [65,66]. The presence of fungal inoculants, mostly belonging to the genus Trichoderma (Table 1), optimizes nitrogen-use efficiency (NUE) in lettuce (Lactuca sativa L.) and rocket (Eruca sativa Mill.), favoring the uptake of the native N of the soil and improving N uptake by roots in conditions of scarce availability [48,49]. Inorganic N in the form of nitrate (NO3−) and ammonium (NH4+) can be uptaken by plants directly from the soil because of the activation of nitrate (NRT)/ammonium (AMT) transporters, which have been thought to be the key components for improving NUE [67,68,69]. Recently, Calvo et al. [70] found that root stimulation with mixtures of PGPR belonging to the genus Bacillus increased nutrient uptake in Arabidopsis thaliana, affecting the transcriptional levels of both NRT and AMT transporters. Otherwise, following the stimulation of tobacco roots with T. asperellum, the increased expression of several high-affinity NRT genes and the down-regulation of the AMT1 gene suggested a preferential induction of the NRT transporter system for nitrate acquisition [71].
Despite being present in large amounts in the soil, P is a major plant-growth-limiting nutrient because inorganic phosphate (orthophosphate; Pi), the chemical form that can be assimilated by the plant, is available at low concentrations [72]. The mechanisms involved in the solubilization/mineralization of P from inorganic and organic forms in soil are well-documented in PGPMs [73]. In this regard, several PGPMs have been shown to enhance P assimilation and, as a consequence, growth and the yield when applied to crops (Table 1). Paenibacillus and Trichoderma are promising candidates for crop inoculation because of their ability to solubilize Pi mainly through the acidification of the soil environment by the production of organic acids [74,75]. Plant acquisition of Pi and its homeostasis is mediated by phosphate transporters (PTs) [72] and PGPMs could favor these processes through the transcriptional modulation of members in the PT gene family [76]. Recently, attention to the regulatory effects of PGPR on PT genes has been reported for the phosphate-solubilizing rhizobacterium Pseudomonas sp. P34-L. This strain significantly increased P accumulation in wheat and this ability correlates with reduced transcript levels of the TaPT4 gene as an indicator of phosphorus deficiency [77].
Finally, a greater availability of many nutrients such as calcium, magnesium, sulfur, iron and zinc is necessary for the development of physiological and metabolic processes in plants [78]. In a low-nutrient-intake scenario, the zinc solubilization activity of PGPR (Table 1) has been reported as a new sustainable approach to overcome zinc deficiency and increase plant growth [43]. Interestingly, T. harzianum T-203 (Table 1) increased the concentrations of several macro- and micro-nutrients (e.g., P, Fe, and Zn) in the roots of cucumber, through the mineralization of organic matter in the soil [51].
3.2. Role of PGPMs in Hormonal Balance
Colonization of the rhizosphere is known to be associated with profound changes in hormone homeostasis. Phytohormones act as messengers to coordinate cellular activities and to regulate plant growth, modification of root and shoot architecture, and synthesis of secondary metabolites [79,80,81]. Auxins are an important class of phytohormones that influence the size of shoot and root meristems [82]. Phyto-friendly soil microbes can directly affect plant auxin metabolism (Table 1) by synthesizing auxins [83] or indirectly by influencing the level of endogenous plant auxin [46].
Several studies involving different strains of Aeromonas punctata, Azospirillum brasilense, and Burkholderia cepacian suggest that auxin synthesis may be the main cause of the stimulating effect of some PGPR strains on host plants [80,84], while some PGPF (Table 1) can promote root growth also by influencing the level of endogenous plant auxin [56].
Since PGPMs can have both beneficial and harmful effects on the plant depending on their quantity and environmental conditions, the plant can perceive them as weak biotrophic pathogens. The synthesis of auxins by PGPR may be part of a strategy to suppress the resistance of the host allowing for a more effective colonization. Therefore, the ability to synthesize auxins and their quantity are important characteristics of a PGPR strain, as they can determine the strain’s impact on the plant to a large extent. PGPR can also influence auxin transport by altering the activity of auxin influx and efflux carriers. For example, Bacillus sp. LZR216 negatively regulates the synthesis of auxin transporters AUX1 and PIN1, -2, and -3 [45], while treatment with Burkholderia phytofirmans PsJN results in greater expression of PIN2 and PIN3 [46].
Meents et al. [53] reported that the exposure of A. thaliana to Piriformospora indica (Table 1) significantly increases auxin levels and induces the expression of auxin-responsive genes in lateral root primordia and root elongation zone within 1 day. Elevated auxin levels were also recorded in the Mortierella hyalina/Arabidopsis root interaction, but no downstream effects were observed on the auxin-responsive genes [53]. Some strains of T. virens and T. atroviride are known to produce indole-3-acetic acid (IAA) and auxin compounds that affect plant growth and root development [56,85], resulting in greater nutrient absorption efficiency. On the other hand, some secondary metabolites can act as auxin-like molecules. Vinale et al. [54] reported that 6-n-pentyl-6H-pyran-2-one (6PP) from Trichoderma can be considered an auxin-like compound or can act as an auxin inducer.
Another important phytohormone affected by PGPMs is ethylene. It plays a key role in plant growth and developmental processes such as ripening, senescence, and abscission, and in regulating the defense response of plants to various (a)biotic stresses [86]. Phyto-friendly soil microorganisms can influence plant ethylene homeostasis (Table 1) by affecting the expression of the genes that encode for enzymes responsible for the synthesis of ethylene such as ACC-synthase (ACS) and ACC-oxidase (ACO) [46,87], or by expressing ACC-deaminase, thereby reducing the amount of ethylene in the plant by degrading its precursor, 1-aminocyclopropane-1-carboxylic acid (ACC) [88,89]. The resulting changes in ethylene levels can affect root system development. Mayak et al. [90] reported an increase in the number of roots in mung bean plants treated with two strains of Pseudomonas putida that produce IAA.
The ability to produce ACC-deaminase is also present in PGPF, as in the case of T. asperellum, which exhibits a reduced ability to promote root elongation of canola seedlings when a specific ACC gene is knocked out [55]. PGPMs with ACC-deaminase activity are known to mitigate the damaging effects of abiotic stresses on plant growth and development, such as high salinity, soil pollution by heavy metals and organic pollutants, floods, drought, and mineral deficiency [16,91]. Treatment with bacterial consortia (Aneurinibacillus aneurinilyticus and Paenibacillus spp.) significantly reduced (∼60%) stress-stimulated ethylene levels (Table 1) and its associated growth inhibition in Allium sativum L. [47]. In Brotman et al. [16], ACC-deaminase-silenced Trichoderma mutants were less effective in providing salt-stress tolerance, suggesting that Trichoderma, similarly to bacteria that produce ACC deaminase, can promote plant growth under abiotic stress, lowering ameliorative increases in ethylene levels and promoting high antioxidant capacity.
4. ISR as Indirect Plant Defense Mechanisms Mediated by PGPMs to Promote Plant Growth
The complex microbial community of the plant rhizosphere is critical to support the defense response of crops against a wide range of pathogens. In addition to direct defense mechanisms (e.g., antagonism, competition) [92,93], ISR is an important indirect mechanism by which PGPMs can help plants by improving their physical, chemical, and molecular defense responses [94]. All these activities have a positive effect on plant physiology and, indirectly, on plant-growth promotion. ISR is activated by the PGPMs of the rhizosphere via a mobile root-to-shoot signal involving different elicitors such as lipopolysaccharides, VOCs, or the regulation of hormone balance [95,96]. VOCs produced by PGPMs, in addition to plant-growth-promoting activity, can control pathogens in the rhizosphere through antifungal and antibacterial activities and have long-range control capabilities because of their volatile nature [97,98].
Unlike systemic acquired resistance (SAR), ISR has been found to act through ET- and JA-dependent pathways to confer systemic protection against pathogens and pests [95] and results in the strengthening of structural barriers, increasing antioxidant levels, and affecting the defense-related gene expression [95,99].
Table 2 lists some examples of growth benefits conferred on plant defense by different PGPMs and the various mechanisms involved.
Table 2.
Role of PGPMs in induced systemic resistance.
4.1. Strengthening of Cell Wall and of Plant Defensive Potential
The cell wall plays a key role in determining cell shape and size, and in controlling cell differentiation and growth, and represents the main dynamic barrier against pathogen attack [123]. In the early stage of plant/phyto-friendly soil bacteria interaction, changes in lignin content and alterations of chemical composition of the cell wall were detected in roots [124,125]. Similarly, pretreatment of roots with two different Trichoderma species resulted in a reorganization of cell wall components, such as pectin rearrangement, accumulation of lignin, and arabinogalactan proteins [126]. The strengthening and remodeling of the cell wall are considered some of the underlying mechanisms of ISR mediated by PGPMs to improve plant resistance to pathogens. For example, plants inoculated with B. pumilus or different Trichoderma strains showed increased lignin and callose deposition in the cell wall (Table 2) and these modifications were able to prevent the growth and proliferation of the invading pathogens more rapidly in plants inoculated with PGPMs than uninoculated plants [100,111].
It is well-documented that the phyto-friendly soil microbes stimulate defense responses of host plant through the activation of defense-related enzymes (e.g., phenylalanine ammonia-lyase (PAL), chitinase, β-1,3 glucanase, etc.) as well as of an enzymatic and non-enzymatic defense mechanism that efficiently scavenge reactive oxygen species (ROS) [127]. P. aureofaciens 63–28 increased the activity of PAL, peroxidase (POX) and polyphenol oxidase (PPO) enzymes (Table 2) in cucumber root challenged by P. aphanidermatum [101]. In chilli pepper plants, pretreatment with different PGPF (Table 2) induced resistance against the pathogen C. truncatum by enhancing the activity of defense (e.g., PAL, PPO), as well as of antioxidant enzymes (e.g., catalase, ascorbate peroxidase) [114]. Interestingly, the two pathways of the ascorbate–glutathione cycle (Asa-GSH) and the oxidative pentose phosphate (OPP) involved in the regulation of efficient redox homeostasis have recently been shown to participate in the enhanced defense response induced by T. harzianum (Table 2) in cucumber roots challenged by F. oxysporum [116].
Secondary metabolites with antioxidant and antimicrobial properties such as phytoalexins and flavonoids are involved in the ISR defense mechanisms. Induction of ISR by some Pseudomonas strains (Table 2) protected plants from different pathogens and pests through strong activation of phytoalexins/glucosinolates biosynthetic pathways [104,105]. A genome-wide characterization of the ISR induced by T. hamatum T382 in A. thaliana resulted in the up-regulation of genes in the phenylpropanoid pathway (Table 2) leading to the production of flavonoids (mainly anthocyanins) which may play a key role in Trichoderma-mediated antioxidant defense against the necrotrophic pathogen B. cinerea [117].
4.2. Hormones and PGPM-Induced Systemic Resistance
PGPMs stimulate the immune response of host plants against soil-borne diseases and pests [97]. However, from the plant’s point of view, the PGPM is an alien organism and the plant recognizes it as a pathogen, thus activating an immune response, which the PGPM must then overcome to establish a successful interaction. Since PGPMs live in close association with the plant, the colonization process is similar to the infection by biotrophic pathogens and, therefore, the initial defense response against these two classes of microorganisms is comparable [128]. The increase in SA production occurs in the root following colonization, along with the accumulation of hydrolytic enzymes and ROS, as well as the activation of the phenylpropanoid pathway, albeit at a lower level than the plant–pathogen interaction [129,130]. For a successful establishment of the association, the inhibition of some responses regulated by SA is essential [130]. In this way, PGPM secretory effector proteins interfere with the host plant’s immune system by suppressing SA-dependent defense reactions [131]. The up-regulation of other phytohormones, such as JA, also plays a key role in the creation and maintenance of the mutual association.
Unlike SAR, ISR determines the expression of defense-related genes that are JA- and ET-responsive [117] and does not necessarily imply accumulation of PR (pathogenesis-related) proteins. However, several lines of evidence suggest that the signaling pathways differ depending on the type of PGPM, pathogen, and host plant [132].
Root colonization with Trichoderma primes leaf tissues for enhanced activation of JA-regulated defense responses leading to increased resistance to necrotrophic pathogens [117,120,121,133]. Furthermore, changes in both ET/JA and SA pathways were observed in plants inoculated with T. harzianum (Table 2), leading to greater resistance to pathogens [134,135].
Sometimes, phyto-friendly soil-microbe-mediated ISR is triggered by increasing sensitivity to hormones rather than by enhancing the expression of JA/ET-responsive genes. Pieterse et al. [106] demonstrated that, after treatment of A. thaliana roots with P. fluorescens WCS417r, neither the JA content nor the ethylene profile were impaired, but the ability to convert 1-aminocyclopropane-1-carboxylate (ACC) to ethylene was significantly improved, providing greater potential to produce ethylene in the event of a pathogen attack. On the other hand, a greater expression of ET-related genes is likely associated with the host-plant response to root colonization. As previously mentioned, plants can perceive it as a biotic stress [80,136]. For example, B. cereus AR156 can induce ISR (Table 2) and, consequently, resistance to P. syringae pv. tomato DC3000 infection, in A. thaliana plants by activation of JA/ET-dependent signaling pathways [107]. Several PGPRs synthesize JA and SA [137]. For example, inoculation of host plants with P. fluorescens and P. aeruginosa strains (Table 2) resulted in an increase in the endogenous level of SA and, consequently, protection against Sclerotium rolfsii infection [108].
It has been found that ISR, through the crosstalk with the JA pathway, is activated by VOCs [138]. A. thaliana plants exposed to B. subtilis strain FB17 showed reduced disease severity against P. syringae pv. tomato DC3000 because of the activity of the elicitor, acetoin (3-hydroxy-2-butanone), in triggering the ISR [109]. Two VOCs (from Ampelomyces sp. and Cladosporium sp.) radically reduced disease severity in A. thaliana plants challenged by P. syringae pv. tomato DC3000 (Table 2), going on to affect the expression of genes in the JA pathway [122].
5. Case Study: Common Mechanisms in PGPM–Tomato Interactions Highlight Their Behavioral Diversity
Tomato (Solanum lycopersicum L.) is one of the most consumed vegetables and is widely recognized as a model species for basic and applied research on fruit quality and for studies on the genetics and molecular aspects of disease resistance mechanisms [139,140]. PGPMs exert their plant-growth-promoting abilities also on tomato plants through the above-described direct and indirect mechanisms improving nutrient uptake [141,142], (a)biotic stress tolerance [102,143,144,145], and fruit quality and yield [146,147].
Given the advantages of applying microbial biostimulants, the molecular basis of the interaction between tomato and phyto-friendly soil microbes has been increasingly studied, mainly because of ‘omics’ approaches. PGPM-mediated global transcriptome, proteome, and metabolome changes in tomato have been recorded primarily at systemic level. Their effect during development and growth, defense against pathogens and abiotic or nutritional stress tolerance have been the focus of several recent articles [118,148,149,150].
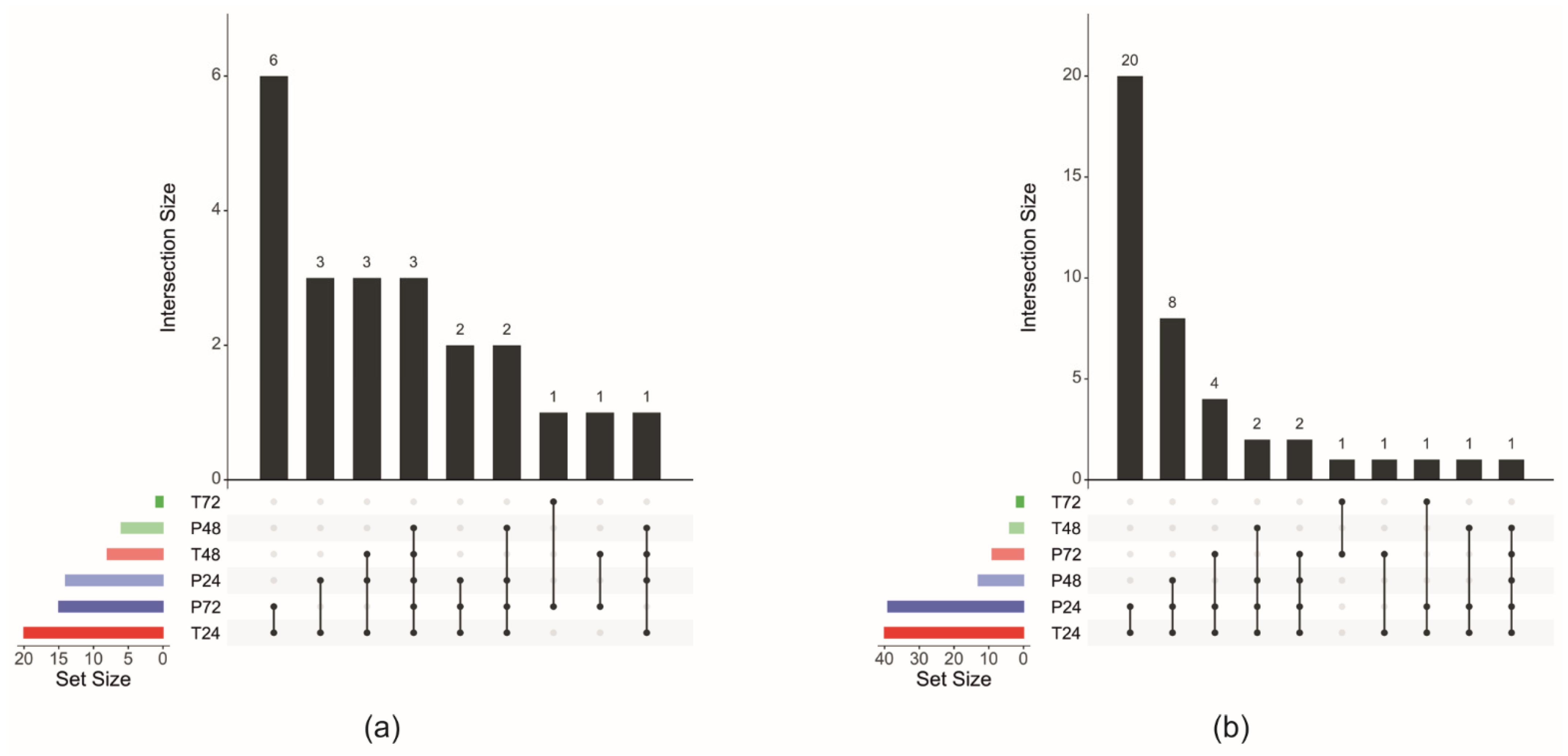
Despite the efforts of the scientific community, the cascade of molecular events that characterizes the interplay between tomato and phyto-friendly soil microbes at the root level is still poorly documented [20,151]. Recently, two of our articles have provided new information about the molecular mechanisms of the tomato response to the early stages (24, 48, and 72 h post-inoculum, hpi) of root stimulation by T. harzianum T22 (T22) or P. fluorescens CREA 16 (Pf-16) [17,18]. We started from the list of the identified differentially expressed genes (DEGs). As the fold change (FC) threshold values for the DEG call were different, we first standardized the FC threshold by setting it to ±1.1. After combining the two datasets, we identified genes whose transcriptional activity was regulated in at least one time point in both experiments (Table S1). Then, we focused on the up-regulated (n = 22) and down-regulated (n = 41) genes in at least one time point in both treatments (Figure 1a,b; Tables S2 and S3). Data gathering and integration will allow us to have an overview of the common processes modulated by both microorganisms that are responsible, in part, for their beneficial effects on the plant. Furthermore, a targeted and in-depth study of the most relevant pathways and related genes highlighted differences in terms of host transcriptome reprogramming between the two microorganisms.
Figure 1.
UpSet plot of the intersection of (a) up-regulated and (b) down-regulated genes during the early interaction of tomato roots with Trichoderma harzianum T22 or Pseudomonas fluorescens Pf-16. The numbers of genes (black bars) are indicated for each time point (colored bars) intersection. T = T. harzianum strain T22; P = P. fluorescens strain Pf-16. Tomato roots were sampled at 24, 48, and 72 h post-inoculum.
5.1. Tomato–PGPM Interaction Model for Promoting Nutrient Uptake and Plant Growth
Plants use several sources of nitrogen in the soil, including inorganic and organic (amino acids) molecules [152]. In our model, T22 and Pf-16 modulate genes involved in the nutrient uptake differently during the first phase of the interaction. Within the first 24 hpi, only two genes encoding for the nitrate transporters were up-regulated in T22-inoculated plants. On the other hand, down-regulation of the genes involved in the nitrate transport was observed at 24 and 72 h in Pf-16-inoculated plants. Conversely, two genes encoding sulphate and ammonium transporters, respectively, were up-regulated in T22- and PF-16-inoculated plants at 24 h (Table S1).
Increased expression in genes encoding the nutrient transporters is a common trait of plant–PGPM interaction, as shown in Calvo et al. [70] and Singh et al. [71], where a Bacillus consortia and T. asperellum, respectively, are responsible for the up-regulation of several genes involved in nitrogen uptake.
Nodulins and nodulin-like proteins play an important role in the plant–PGPM interaction as their expression can be modulated by both bacteria and fungi. Recent studies have highlighted the importance of nodulin-like proteins, in particular in non-nodulating plant species such as tomato, for the nutrient/solutes uptake and in the main aspects of plant growth promotion [153]. As with some nutrient transporters, a down-regulation within the first 24 h was observed in three nodulin-like genes, while an opposite trend was recorded for the nodulin 93 ENOD93 protein (Tables S1 and S3). ENOD93 has been reported to be involved in embryogenesis [154] and in enhancing nitrogen uptake [155].
Hormonal crosstalk was also affected by plant–PGPM interaction, as shown by the down-regulation of genes encoding the auxin response factor at 24 h (Table S3) and the up-regulation along all the time points, particularly in Pf-16-inoculated plants, of auxin efflux carrier genes (Tables S1 and S3). The auxin efflux carrier could be directly involved in IAA transport and in plant-growth promotion during the interaction, as reported in Lewis et al. [156]. On the other hand, due to the crosstalk between the ethylene and auxin pathways in the root [157], a suppression of ET signaling could be suggested by the down-regulation of the auxin response factor genes at 24 hpi.
5.2. Tomato–PGPM Interaction Model for the Plant Defense Priming
The early stages of root colonization (within the first 24–48 h) by PGPMs are considered by the plant as an attack. As a result, host plants limit microbial spread in the root through signaling molecules such as ROS and/or calcium, as well as by efficiently activating the SA signaling pathway [127,130]. Accordingly, our combined data showed that SA triggers a reinforcement of the plant cell wall, activating at 24 hpi the expression of key genes involved in lignin (i.e., caffeoyl-CoA O-methyltransferase; Table S1). SA also recruits the defensive arsenal of the tomato plant. We observed the up-regulation of genes encoding antioxidant enzymes (e.g., POXs; Table S1), which when combined with SA-induced defense genes (e.g., wound-induced proteins, chaperon proteins; Table S1) could further help limit microbial spread. It is interesting to note that the induction at 24 hpi of genes encoding strictosidine synthase-like protein and tropinone reductase I (Table S1), belonging to the biosynthetic pathway of alkaloids, highlights a possible role in the tomato defense system of secondary metabolites. Lastly, our data confirmed a remarkable decrease in the ET mediated signaling pathway at 24 hpi, as indicated by the down-regulation of genes encoding ACS and ACO in Pf-16-inoculated plants and of several ethylene-responsive transcription factors in both PGPMs (Tables S1 and S3).
Conversely, PGPMs have developed ingenious mechanisms to hijack hormone-regulated plant immunity to establish a prolonged mutualistic association [127,130]. To this end, the up-regulation of the gene encoding salicylic acid carboxyl methyltransferase (SAMT) at 24 hpi can help attenuate the SA-based defense pathway through its conversion into the volatile compound, methyl salicylate (MeSA). In addition, at 72 hpi, PGPMs concurred to minimize the level of SA affecting the expression of SA biosynthetic genes (i.e., isochorismate synthase; Table S1).
Cell wall modifications lead to an intimate relationship between tomato roots and PGPMs. At 24–48 hpi, increased expression of genes encoding lytic or cell-wall loosening agents, such as polygalacturonases (PGs) and expansins (Tables S1 and S2) associated with the down-regulation of several extensins and xyloglucan endotransglucosylases/hydrolases (XHTs), determine the softening and disassembling of the cell wall to aid in the establishment of the interaction. At 72 hpi, the beneficial outcomes of the interaction in terms of growth promotion and priming of plant defense responses begin to be evident. The up-regulation of genes encoding expansins or XHTs in Pf-16 and T22-inoculated plants promotes cell enlargement, thus favoring root developmental processes. Instead, induction of SA-related defense genes (e.g., dehydroascorbate reductase 1, DHAR1; HSP; universal stress protein, USP; Tables S1 and S2) allows the plant’s defense system to be kept in a pre-alert state, which makes the plant able to respond more quickly and effectively against a subsequent biotic attack.
6. Conclusions
The use of phyto-friendly soil microbes in agricultural practice and research has greatly increased because of their multiple traits [158]. Microbial-based biostimulants represent a relevant challenge in sustainable agriculture that requires increases in yield and product quality, while reducing the negative impact of agrochemicals on the environment [5]. Furthermore, more sustainable agriculture could be fostered by microbial-based biostimulants to strengthen the innate immune system of plants, thus preventing the extent and frequency of emerging plant diseases. However, the practical use of PGPMs is often hampered by relatively poor plant growth and disease control and all known constraints associated with their large-scale use. This variability in their effects is strongly influenced by the genotype of the host plant, by sophisticated nutritional and chemical signals, as well as by pedoclimatic factors. Understanding the induction of plant responses by phyto-friendly soil microbes is essential for the development of novel strategies for managing plant growth and diseases. High-throughput technologies and ‘omics’ sciences have given a great impetus toward understanding processes modulated by PGPMs, which ultimately contribute to beneficial effects on plant development, fitness, health, and adaptation to environmental perturbation. Based on the recent literature and on the main findings of our previous studies [17,18], a model describing the host plant’s molecular responses across the experimental period analyzed (24-48-72 hpi) is here proposed (Figure 2). Data gathering highlighted the processes that are crucial for the beneficial outcome of the interaction. In the early phases of plant response (24–48 hpi), SA signaling combined with inhibition of JA- and ET-biosynthesis activate the plant’s defense machinery to limit PGPM spread. At 72 hpi, an up-regulation of hormone-related genes has allowed the tomato plant’s defense system to be kept in a pre-alert state, which makes the plant able to respond more quickly and effectively against a subsequent biotic attack.
Figure 2.
Model of the early molecular events occurring in the tomato root–PGPM interaction. Overview of tomato root transcriptomic responses after inoculum with Trichoderma harzianum T22 and Psuedomonas fluorescens Pf-16. The highlighted functions derive from the annotation of differentially expressed genes as reported in De Palma et al. [17] and Scotti et al. [18]. Tomato genes that were significantly up-regulated and down-regulated in response to T. harzianum T22 or P. fluorescens Pf-16 at each time point (24, 48, and 72 h post-inoculum) are in red and blue, respectively. PG: polygalacturonases; CHS-A: Chalcone synthase-A; SSL: Strictosidine synthase-like; TR: tropinone reductase; SA: salicylic acid; JA: jasmonic acid; ET: ethylene; DHAR: dehydroascorbate reductase 1; PR: pathogenesis-related; PPO: polyphenol oxidase; USP: universal stress protein; ARF: auxin responsive factor.
Pf-16- and T22-induced plant growth stimulation begin to be evident already at 24 hpi. PGPMs improve the nutrient uptake capacity of tomato mainly through a greater assimilation of sulphate and the involvement of nutrient transporters. As for NUE, data highlighted a behavioral difference between Pf-16 and T22. Trichoderma T22 seems to confirm its ability to enhance the capacity of nitrogen use in plants [48], also through a specific regulation of NRT/AMT transporters. In addition, the up-regulation of genes responsible for cell-wall loosening and modulation of ET/auxin signaling at 72 hpi could affect root architecture by promoting root developmental processes.
All the information gathered from the literature overview and from the interaction model represented in Figure 2 will support the research community to expand their knowledge of host-plant responses to the interaction with phyto-friendly bacteria and fungi and will help define new strategies for the selection of crop varieties with a better ability to take advantage of microbial stimulation.
Supplementary Materials
The following supporting information can be downloaded at https://www.mdpi.com/article/10.3390/plants11202672/s1, Table S1: Complete list of common DEGs retrieved from De Palma et al. [17] and Scotti et al. [18]. For each gene at different time points, namely 24, 48, and 72 h post-inoculum (hpi), it is reported the expression level estimate (Log2 Fold-change) and a statistical significance value as calculate by edgeR. Merged datasets were filtered identifying those genes whose transcriptional activity was regulated in at least one time point in both experiments, using a standardized fold change of ±1.1 and FDR < 0.05; Table S2: List of common up-regulated DEGs retrieved from De Palma et al. [17] and Scotti et al. [18]. For each gene at different time points, namely 24, 48, and 72 h post-inoculum (hpi), it is reported the expression level estimate (Log2 Fold-change) and a statistical significance value as calculate by edgeR. Merged datasets were filtered identifying those genes whose transcriptional activity was regulated in at least one time point in both experiments, using a standardized fold change of ±1.1 and FDR < 0.05; Table S3: List of common down-regulated DEGs retrieved from De Palma et al. [17] and Scotti et al. [18]. For each gene at different time points, namely 24, 48, and 72 h post-inoculum (hpi), it is reported the expression level estimate (Log2 Fold-change) and a statistical significance value as calculate by edgeR. Merged datasets were filtered identifying those genes whose transcriptional activity was regulated in at least one time point in both experiments, using a standardized fold change of ±1.1 and FDR < 0.05.
Author Contributions
M.D.P., R.S., N.D., M.Z. and M.T., conceptualization; M.D.P., R.S., N.D., writing—original draft preparation; M.D.P., R.S., N.D., M.Z. and M.T., writing—review and editing; M.Z. and M.T. funding acquisition. All authors have read and agreed to the published version of the manuscript.
Funding
This research was partially funded by a research grant from the Italian Ministry of Education, University and Research (project number GenoPOM-pro PON02_00395_3082360).
Institutional Review Board Statement
Not applicable.
Informed Consent Statement
Not applicable.
Data Availability Statement
Not applicable.
Acknowledgments
This review is dedicated to the memory of our dear colleague and friend Marina Tucci: she inspired, guided, and supported all of us with her vision of science and of the sustainable future of agriculture. Special thanks go to Giovanni Scopece from the Department of Biology, University of Naples Federico II for critically reading the manuscript and for his valuable comments.
Conflicts of Interest
The authors declare no conflict of interest.
References
- Jacquet, F.; Jeuffroy, M.-H.; Jouan, J.; Le Cadre, E.; Litrico, I.; Malausa, T.; Reboud, X.; Huyghe, C. Pesticide-free agriculture as a new paradigm for research. Agron. Sustain. Dev. 2022, 42, 8. [Google Scholar] [CrossRef]
- Lopes, M.J.; Dias-Filho, M.B.; Gurgel, E.S.C. Successful plant growth-promoting microbes: Inoculation methods and abiotic factors. Front. Sustain. Food Syst. 2021, 5, 606454. [Google Scholar] [CrossRef]
- Shah, A.; Nazari, M.; Antar, M.; Msimbira, L.A.; Naamala, J.; Lyu, D.; Rabileh, M.; Zajonc, J.; Smith, D.L. PGPR in agriculture: A sustainable approach to increasing climate change resilience. Front. Sustain. Food Syst. 2021, 5, 667546. [Google Scholar] [CrossRef]
- Aioub, A.A.A.; Elesawy, A.E.; Ammar, E.E. Plant growth promoting rhizobacteria (PGPR) and their role in plant-parasitic nematodes control: A fresh look at an old issue. J. Plant Dis. Prot. 2022, 1, 1–17. [Google Scholar] [CrossRef]
- Castiglione, A.M.; Mannino, G.; Contartese, V.; Bertea, C.M.; Ertani, A. Microbial biostimulants as response to modern agriculture needs: Composition, role and application of these innovative products. Plants 2021, 10, 1533. [Google Scholar] [CrossRef] [PubMed]
- Woo, S.L.; Pepe, O. Microbial consortia: Promising probiotics as plant biostimulants for sustainable agriculture. Front. Plant Sci. 2018, 9, 1801. [Google Scholar] [CrossRef] [PubMed]
- Lau, S.E.; Teo, W.F.A.; Teoh, E.Y.; Tan, B.C. Microbiome engineering and plant biostimulants for sustainable crop improvement and mitigation of biotic and abiotic stresses. Discov. Food 2022, 2, 9. [Google Scholar] [CrossRef]
- Tabassum, B.; Khan, A.; Tariq, M.; Ramzan, M.; Iqbal Khan, M.S.; Shahid, N.; Aaliya, K. Bottlenecks in commercialisation and future prospects of PGPR. Appl. Soil Ecol. 2017, 121, 102–117. [Google Scholar] [CrossRef]
- Malusá, E.; Sas-Paszt, L.; Ciesielska, J. Technologies for beneficial microorganisms inocula used as biofertilizers. Sci. World J. 2012, 2012, 1–12. [Google Scholar] [CrossRef] [PubMed]
- Chai, Y.N.; Futrell, S.; Schachtman, D.P. Assessment of bacterial inoculant delivery methods for cereal crops. Front. Microbiol. 2022, 13, 791110. [Google Scholar] [CrossRef] [PubMed]
- Barquero, M.; Pastor-Buies, R.; Urbano, B.; González-Andrés, F. Challenges, regulations and future actions in biofertilizers in the european agriculture: From the lab to the field. In Microbial Probiotics for Agricultural Systems. Sustainability in Plant and Crop Protection; Zúñiga-Dávila, D., González-Andrés, F., Ormeño-Orrillo, E., Eds.; Springer: Cham, Switzerland, 2019; pp. 83–107. [Google Scholar]
- Batista, B.D.; Singh, B.K. Realities and hopes in the application of microbial tools in agriculture. Microb. Biotechnol. 2021, 14, 1258–1268. [Google Scholar] [CrossRef] [PubMed]
- Knief, C. Analysis of plant microbe interactions in the era of next generation sequencing technologies. Front. Plant Sci. 2014, 5, 216. [Google Scholar] [CrossRef] [PubMed]
- Sharma, M.; Sudheer, S.; Usmani, Z.; Rani, R.; Gupta, P. Deciphering the omics of plant-microbe interaction: Perspectives and new insights. Curr. Genomics 2020, 21, 343–362. [Google Scholar] [PubMed]
- Bhargava, P.; Khan, M.; Verma, A.; Singh, A.; Singh, S.; Vats, S.; Goel, R. Metagenomics as a tool to explore new insights from plant-microbe interface. In Plant Microbe Interface, 1st ed.; Varma, A., Tripathi, S., Prasad, R., Eds.; Springer: Cham, Switzerland, 2019; pp. 271–289. [Google Scholar]
- Brotman, Y.; Landau, U.; Cuadros-Inostroza, Á.; Takayuki, T.; Fernie, A.R.; Chet, I.; Viterbo, A.; Willmitzer, L. Trichoderma-plant root colonization: Escaping early plant defense responses and activation of the antioxidant machinery for saline stress tolerance. PLoS Pathog. 2013, 9, e1003221. [Google Scholar] [CrossRef]
- De Palma, M.; Salzano, M.; Villano, C.; Aversano, R.; Lorito, M.; Ruocco, M.; Docimo, T.; Piccinelli, A.L.; D’Agostino, N.; Tucci, M. Transcriptome reprogramming, epigenetic modifications and alternative splicing orchestrate the tomato root response to the beneficial fungus Trichoderma harzianum. Hortic. Res. 2019, 6, 5. [Google Scholar] [CrossRef] [PubMed]
- Scotti, R.; D’Agostino, N.; Zaccardelli, M. Gene expression profiling of tomato roots interacting with Pseudomonas fluorescens unravels the molecular reprogramming that occurs during the early phases of colonization. Symbiosis 2019, 78, 177–192. [Google Scholar] [CrossRef]
- Liu, H.; Wang, J.; Sun, H.; Han, X.; Peng, Y.; Liu, J.; Liu, K.; Ding, Y.; Wang, C.; Du, B. Transcriptome profiles reveal the growth-promoting mechanisms of Paenibacillus polymyxa YC0136 on tobacco (Nicotiana tabacum L.). Front. Microbiol. 2020, 11, 584174. [Google Scholar] [CrossRef]
- Zhao, J.; Liu, T.; Liu, W.; Zhang, D.; Dong, D.; Wu, H.; Zhang, T.; Liu, D. Transcriptomic insights into growth promotion effect of Trichoderma afroharzianum TM2-4 microbial agent on tomato plants. J. Integr. Agric. 2021, 20, 1266–1276. [Google Scholar] [CrossRef]
- Naidoo, S.; Visser, E.A.; Zwart, L.; du Toit, Y.; Bhadauria, V.; Shuey, L.S. Dual RNA-seq to elucidate the plant– pathogen duel. Curr. Issues Mol. Biol. 2018, 27, 127–142. [Google Scholar] [CrossRef] [PubMed]
- Li, T.; Mann, R.; Kaur, J.; Spangenberg, G.; Sawbridge, T. Transcriptome analyses of barley roots inoculated with novel Paenibacillus sp. and Erwinia gerundensis strains reveal beneficial early-stage plant–bacteria interactions. Plants 2021, 10, 1802. [Google Scholar] [CrossRef]
- Mhlongo, M.I.; Piater, L.A.; Madala, N.E.; Labuschagne, N.; Dubery, I.A. The chemistry of plant–microbe interactions in the rhizosphere and the potential for metabolomics to reveal signaling related to defense priming and induced systemic resistance. Front. Plant Sci. 2018, 9, 112. [Google Scholar] [CrossRef]
- Gupta, S.; Schillaci, M.; Roessner, U. Metabolomics as an emerging tool to study plant-microbe interactions. Emerg. Top. Life Sci. 2022, 6, 175–183. [Google Scholar] [CrossRef]
- Xu, L.; Pierroz, G.; Wipf, H.M.L.; Gao, C.; Taylor, J.W.; Lemaux, P.G.; Coleman-Derr, D. Holo-omics for deciphering plant-microbiome interactions. Microbiome 2021, 9, 69. [Google Scholar] [CrossRef]
- Thakur, R.K.; Prasad, P.; Savadi, S.; Bhardwaj, S.C.; Gangwar, O.P.; Kumar, S. Understanding rhizosphere through metatranscriptomic approaches. In Microbial Metatranscriptomics Belowground; Nath, M., Bhatt, D., Bhargava, P., Choudhary, D.K., Eds.; Springer: Singapore, 2021; pp. 219–237. [Google Scholar]
- Basu, A.; Prasad, P.; Das, S.N.; Kalam, S.; Sayyed, R.Z.; Reddy, M.S.; Enshasy, H. El Plant growth promoting rhizobacteria (PGPR) as green bioinoculants: Recent developments, constraints, and prospects. Sustainability 2021, 13, 1140. [Google Scholar] [CrossRef]
- López-Bucio, J.; Pelagio-Flores, R.; Herrera-Estrella, A. Trichoderma as biostimulant: Exploiting the multilevel properties of a plant beneficial fungus. Sci. Hortic. 2015, 196, 109–123. [Google Scholar] [CrossRef]
- Olanrewaju, O.S.; Glick, B.R.; Babalola, O.O. Mechanisms of action of plant growth promoting bacteria. World J. Microbiol. Biotechnol. 2017, 33, 197. [Google Scholar]
- Hossain, M.M.; Sultana, F.; Islam, S. Plant growth-promoting fungi (PGPF): Phytostimulation and induced systemic resistance. In Plant-Microbe Interactions in Agro-Ecological Perspectives; Singh, D., Singh, H., Prabha, R., Eds.; Springer: Singapore, 2017; Volume 2, pp. 135–191. [Google Scholar]
- Sehrawat, A.; Sindhu, S.S.; Glick, B.R. Hydrogen cyanide production by soil bacteria: Biological control of pests and promotion of plant growth in sustainable agriculture. Pedosphere 2022, 32, 15–38. [Google Scholar] [CrossRef]
- Prasad, M.R.; Sagar, B.V.; Devi, G.U.; Triveni, S.; Rao, S.R.K.; Chari, K.D. Isolation and screening of bacterial and fungal isolates for plant growth promoting properties from tomato (Lycopersicon esculentum Mill.). Int. J. Curr. Microbiol. Appl. Sci. 2017, 6, 753–761. [Google Scholar]
- Siddiqui, I.A.; Shaukat, S.S.; Sheikh, I.H.; Khan, A. Role of cyanide production by Pseudomonas fluorescens CHA0 in the suppression of root-knot nematode, Meloidogyne javanica in tomato. World J. Microbiol. Biotechnol. 2006, 22, 641–650. [Google Scholar] [CrossRef]
- Tahir, H.A.S.; Gu, Q.; Wu, H.; Raza, W.; Hanif, A.; Wu, L.; Colman, M.V.; Gao, X. Plant growth promotion by volatile organic compounds produced by Bacillus subtilis SYST2. Front. Microbiol. 2017, 8, 171. [Google Scholar]
- Salwan, R.; Rialch, N.; Sharma, V. Bioactive Volatile metabolites of Trichoderma: An overview. In Secondary Metabolites of Plant Growth Promoting Rhizomicroorganisms; Singh, H.B., Keswani, C., Reddy, M.S., Sansinenea, E., Garcia-Estrada, C., Eds.; Springer: Singapore, 2019; pp. 87–111. [Google Scholar]
- Kanchiswamy, C.N.; Malnoy, M.; Maffei, M.E. Chemical diversity of microbial volatiles and their potential for plant growth and productivity. Front. Plant Sci. 2015, 6, 151. [Google Scholar] [CrossRef] [PubMed]
- Park, Y.S.; Dutta, S.; Ann, M.; Raaijmakers, J.M.; Park, K. Promotion of plant growth by Pseudomonas fluorescens strain SS101 via novel volatile organic compounds. Biochem. Biophys. Res. Commun. 2015, 461, 361–365. [Google Scholar] [CrossRef] [PubMed]
- Lee, S.; Yap, M.; Behringer, G.; Hung, R.; Bennett, J.W. Volatile organic compounds emitted by Trichoderma species mediate plant growth. Fungal Biol. Biotechnol. 2016, 3, 1–14. [Google Scholar] [CrossRef]
- Rodrigues, E.P.; Rodrigues, L.S.; De Oliveira, A.L.M.; Baldani, V.L.D.; Teixeira, K.R.D.S.; Urquiaga, S.; Reis, V.M. Azospirillum amazonense inoculation: Effects on growth, yield and N2 fixation of rice (Oryza sativa L.). Plant Soil 2008, 302, 249–261. [Google Scholar] [CrossRef]
- Aasfar, A.; Bargaz, A.; Yaakoubi, K.; Hilali, A.; Bennis, I.; Zeroual, Y.; Meftah Kadmiri, I. Nitrogen fixing Azotobacter species as potential soil biological enhancers for crop nutrition and yield stability. Front. Microbiol. 2021, 12, 628379. [Google Scholar] [CrossRef]
- Kudoyarova, G.R.; Vysotskaya, L.B.; Arkhipova, T.N.; Kuzmina, L.Y.; Galimsyanova, N.F.; Sidorova, L.V.; Gabbasova, I.M.; Melentiev, A.I.; Veselov, S.Y. Effect of auxin producing and phosphate solubilizing bacteria on mobility of soil phosphorus, growth rate, and P acquisition by wheat plants. Acta Physiol. Plant. 2017, 39, 253. [Google Scholar] [CrossRef]
- Mahdi, I.; Fahsi, N.; Hafidi, M.; Allaoui, A.; Biskri, L. Plant growth enhancement using rhizospheric halotolerant phosphate solubilizing bacterium Bacillus licheniformis QA1 and Enterobacter asburiae QF11 isolated from Chenopodium quinoa Willd. Microorganisms 2020, 8, 948. [Google Scholar] [CrossRef]
- Kamran, S.; Shahid, I.; Baig, D.N.; Rizwan, M.; Malik, K.A.; Mehnaz, S. Contribution of zinc solubilizing bacteria in growth promotion and zinc content of wheat. Front. Microbiol. 2017, 8, 2593. [Google Scholar] [CrossRef]
- Vansuyt, G.; Robin, A.; Briat, J.F.; Curie, C.; Lemanceau, P. Iron acquisition from Fe-pyoverdine by Arabidopsis thaliana. Mol. Plant-Microbe Interact. 2007, 20, 441–447. [Google Scholar] [CrossRef]
- Wang, J.; Zhang, Y.; Li, Y.; Wang, X.; Nan, W.; Hu, Y.; Zhang, H.; Zhao, C.; Wang, F.; Li, P.; et al. Endophytic microbes Bacillus sp. LZR216-regulated root development is dependent on polar auxin transport in Arabidopsis seedlings. Plant Cell Rep. 2015, 34, 1075–1087. [Google Scholar] [CrossRef]
- Poupin, M.J.; Greve, M.; Carmona, V.; Pinedo, I. A complex molecular interplay of auxin and ethylene signaling pathways is involved in Arabidopsis growth promotion by Burkholderia phytofirmans PsJN. Front. Plant Sci. 2016, 7, 492. [Google Scholar] [CrossRef] [PubMed]
- Gupta, S.; Pandey, S. ACC deaminase producing bacteria with multifarious plant growth promoting traits alleviates salinity stress in French Bean (Phaseolus vulgaris) plants. Front. Microbiol. 2019, 10, 1506. [Google Scholar] [CrossRef]
- Fiorentino, N.; Ventorino, V.; Woo, S.L.; Pepe, O.; De Rosa, A.; Gioia, L.; Romano, I.; Lombardi, N.; Napolitano, M.; Colla, G.; et al. Trichoderma-based biostimulants modulate rhizosphere microbial populations and improve N uptake efficiency, yield, and nutritional quality of leafy vegetables. Front. Plant Sci. 2018, 9, 743. [Google Scholar] [CrossRef] [PubMed]
- Visconti, D.; Fiorentino, N.; Cozzolino, E.; Woo, S.L.; Fagnano, M.; Rouphael, Y. Can Trichoderma-based biostimulants optimize N use efficiency and stimulate growth of leafy vegetables in greenhouse intensive cropping systems? Agronomy 2020, 10, 121. [Google Scholar] [CrossRef]
- Pandya, N.D.; Desai, P.V.; Jadhav, H.P.; Sayyed, R.Z. Plant growth promoting potential of Aspergillus sp. NPF7, isolated from wheat rhizosphere in South Gujarat, India. Environ. Sustain. 2018, 1, 245–252. [Google Scholar] [CrossRef]
- Yedidia, I.; Srivastva, A.K.; Kapulnik, Y.; Chet, I. Effect of Trichoderma harzianum on microelement concentrations and increased growth of cucumber plants. Plant Soil 2001, 235, 235–242. [Google Scholar] [CrossRef]
- Bilal, L.; Asaf, S.; Hamayun, M.; Gul, H.; Iqbal, A.; Ullah, I.; Lee, I.J.; Hussain, A. Plant growth promoting endophytic fungi Asprgillus fumigatus TS1 and Fusarium proliferatum BRL1 produce gibberellins and regulates plant endogenous hormones. Symbiosis 2018, 76, 117–127. [Google Scholar] [CrossRef]
- Meents, A.K.; Furch, A.C.U.; Almeida-Trapp, M.; Özyürek, S.; Scholz, S.S.; Kirbis, A.; Lenser, T.; Theißen, G.; Grabe, V.; Hansson, B.; et al. Beneficial and pathogenic Arabidopsis root-interacting fungi differently affect auxin levels and responsive genes during early infection. Front. Microbiol. 2019, 10, 380. [Google Scholar] [CrossRef] [PubMed]
- Vinale, F.; Sivasithamparam, K.; Ghisalberti, E.L.; Marra, R.; Barbetti, M.J.; Li, H.; Woo, S.L.; Lorito, M. A novel role for Trichoderma secondary metabolites in the interactions with plants. Physiol. Mol. Plant Pathol. 2008, 72, 80–86. [Google Scholar] [CrossRef]
- Viterbo, A.; Landau, U.; Kim, S.; Chernin, L.; Chet, I. Characterization of ACC deaminase from the biocontrol and plant growth-promoting agent Trichoderma asperellum T203. FEMS Microbiol. Lett. 2010, 305, 42–48. [Google Scholar] [CrossRef]
- Contreras-Cornejo, H.A.; Macías-Rodríguez, L.; Cortés-Penagos, C.; López-Bucio, J. Trichoderma virens, a plant beneficial fungus, enhances biomass production and promotes lateral root growth through an auxin-dependent mechanism in arabidopsis. Plant Physiol. 2009, 149, 1579–1592. [Google Scholar] [CrossRef]
- Naznin, H.A.; Kimura, M.; Miyazawa, M.; Hyakumachi, M. Analysis of volatile organic compounds emitted by plant growth-promoting fungus Phoma sp. GS8-3 for growth promotion effects on tobacco. Microbes Environ. 2013, 28, 42–49. [Google Scholar] [CrossRef]
- Bindraban, P.S.; Dimkpa, C.; Nagarajan, L.; Roy, A.; Rabbinge, R. Revisiting fertilisers and fertilisation strategies for improved nutrient uptake by plants. Biol. Fertil. Soils 2015, 51, 897–911. [Google Scholar] [CrossRef]
- Liu, L.; Zheng, X.; Wei, X.; Kai, Z.; Xu, Y. Excessive application of chemical fertilizer and organophosphorus pesticides induced total phosphorus loss from planting causing surface water eutrophication. Sci. Rep. 2021, 11, 23015. [Google Scholar] [CrossRef] [PubMed]
- du Jardin, P. Plant biostimulants: Definition, concept, main categories and regulation. Sci. Hortic. 2015, 196, 3–14. [Google Scholar] [CrossRef]
- De Pascale, S.; Rouphael, Y.; Colla, G. Plant biostimulants: Innovative tool for enhancing plant nutrition in organic farming. Eur. J. Hortic. Sci. 2017, 82, 277–285. [Google Scholar] [CrossRef]
- Miller, A.J.; Cramer, M.D. Root nitrogen acquisition and assimilation. Plant Soil 2005, 274, 1–36. [Google Scholar] [CrossRef]
- Richardson, A.E.; Barea, J.M.; McNeill, A.M.; Prigent-Combaret, C. Acquisition of phosphorus and nitrogen in the rhizosphere and plant growth promotion by microorganisms. Plant Soil 2009, 321, 305–339. [Google Scholar] [CrossRef]
- Bhattacharjee, R.B.; Singh, A.; Mukhopadhyay, S.N. Use of nitrogen-fixing bacteria as biofertiliser for non-legumes: Prospects and challenges. Appl. Microbiol. Biotechnol. 2008, 80, 199–209. [Google Scholar] [CrossRef] [PubMed]
- Paungfoo-Lonhienne, C.; Watanarojanaporn, N.; Jaemsaeng, R. Plant growth promoting rhizobacteria enhance the efficiency of the combination of organic and chemical fertilisers in sugarcane. Open J. Ecol. 2020, 10, 440–444. [Google Scholar] [CrossRef]
- Gallart, M.; Paungfoo-Lonhienne, C.; Gonzalez, A.; Trueman, S.J. Nitrogen source influences the effect of plant growth-promoting rhizobacteria (PGPR) on Macadamia integrifolia. Agronomy 2021, 11, 1064. [Google Scholar] [CrossRef]
- Hao, D.L.; Zhou, J.Y.; Yang, S.Y.; Qi, W.; Yang, K.J.; Su, Y.H. Function and regulation of ammonium transporters in plants. Int. J. Mol. Sci. 2020, 21, 3557. [Google Scholar] [CrossRef]
- Nacry, P.; Bouguyon, E.; Gojon, A. Nitrogen acquisition by roots: Physiological and developmental mechanisms ensuring plant adaptation to a fluctuating resource. Plant Soil 2013, 370, 1–29. [Google Scholar] [CrossRef]
- Li, H.; Hu, B.; Chu, C. Nitrogen use efficiency in crops: Lessons from Arabidopsis and rice. J. Exp. Bot. 2017, 68, 2477–2488. [Google Scholar] [CrossRef]
- Calvo, P.; Zebelo, S.; McNear, D.; Kloepper, J.; Fadamiro, H. Plant growth-promoting rhizobacteria induce changes in Arabidopsis thaliana gene expression of nitrate and ammonium uptake genes. J. Plant Interact. 2019, 14, 224–231. [Google Scholar] [CrossRef]
- Singh, B.N.; Dwivedi, P.; Sarma, B.K.; Singh, G.S.; Singh, H.B. Trichoderma asperellum T42 reprograms tobacco for enhanced nitrogen utilization efficiency and plant growth when fed with N nutrients. Front. Plant Sci. 2018, 9, 163. [Google Scholar] [CrossRef]
- Wang, D.; Lv, S.; Jiang, P.; Li, Y. Roles, regulation, and agricultural application of plant phosphate transporters. Front. Plant Sci. 2017, 8, 817. [Google Scholar] [CrossRef]
- Alori, E.T.; Glick, B.R.; Babalola, O.O. Microbial phosphorus solubilization and its potential for use in sustainable agriculture. Front. Microbiol. 2017, 8, 971. [Google Scholar] [CrossRef]
- Brito, L.F.; López, M.G.; Straube, L.; Passaglia, L.M.P.; Wendisch, V.F. Inorganic phosphate solubilization by rhizosphere bacterium Paenibacillus sonchi: Gene expression andphysiological functions. Front. Microbiol. 2020, 11, 588605. [Google Scholar] [CrossRef]
- Li, R.X.; Cai, F.; Pang, G.; Shen, Q.R.; Li, R.; Chen, W. Solubilisation of phosphate and micronutrients by Trichoderma Harzianum and its relationship with the promotion of tomato plant growth. PLoS ONE 2015, 10, e0130081. [Google Scholar] [CrossRef]
- Saia, S.; Rappa, V.; Ruisi, P.; Abenavoli, M.R.; Sunseri, F.; Giambalvo, D.; Frenda, A.S.; Martinelli, F. Soil inoculation with symbiotic microorganisms promotes plant growth and nutrient transporter genes expression in durum wheat. Front. Plant Sci. 2015, 6, 815. [Google Scholar] [CrossRef] [PubMed]
- Liu, X.; Jiang, X.; He, X.; Zhao, W.; Cao, Y.; Guo, T.; Li, T.; Ni, H.; Tang, X. Phosphate-solubilizing Pseudomonas sp. strain P34-L promotes wheat growth by colonizing the wheat rhizosphere and improving the wheat root system and soil phosphorus nutritional status. J. Plant Growth Regul. 2019, 38, 1314–1324. [Google Scholar] [CrossRef]
- Chrysargyris, A.; Höfte, M.; Tzortzakis, N.; Petropoulos, S.A.; Di Gioia, F. Editorial: Micronutrients: The Borderline Between Their Beneficial Role and Toxicity in Plants. Front. Plant Sci. 2022, 13, 840624. [Google Scholar] [CrossRef]
- Dodd, I.C.; Zinovkina, N.Y.; Safronova, V.I.; Belimov, A.A. Rhizobacterial mediation of plant hormone status. Ann. Appl. Biol. 2010, 157, 361–379. [Google Scholar] [CrossRef]
- Spaepen, S.; Bossuyt, S.; Engelen, K.; Marchal, K.; Vanderleyden, J. Phenotypical and molecular responses of Arabidopsis thaliana roots as a result of inoculation with the auxin-producing bacterium Azospirillum brasilense. New Phytol. 2014, 201, 850–861. [Google Scholar] [CrossRef]
- Verbon, E.H.; Liberman, L.M. Beneficial microbes affect endogenous mechanisms controlling root development. Trends Plant Sci. 2016, 21, 218–229. [Google Scholar] [CrossRef] [PubMed]
- Demeulenaere, M.J.F.; Beeckman, T. The Interplay between Auxin and the Cell Cycle during Plant Development. In Auxin and its Role in Plant Development; Zažímalová, E., Petrášek, J., Benkova, E., Eds.; Springer: Vienna, Austria, 2014; pp. 119–141. [Google Scholar]
- Spaepen, S.; Vanderleyden, J.; Remans, R. Indole-3-acetic acid in microbial and microorganism-plant signaling. FEMS Microbiol. Rev. 2007, 31, 425–448. [Google Scholar] [CrossRef] [PubMed]
- Iqbal, A.; Hasnain, S. Auxin producing Pseudomonas strains: Biological candidates to modulate the growth of Triticum aestivum beneficially. Am. J. Plant Sci. 2013, 4, 1693–1700. [Google Scholar] [CrossRef]
- Pelagio-Flores, R.; Esparza-Reynoso, S.; Garnica-Vergara, A.; López-Bucio, J.; Herrera-Estrella, A. Trichoderma-induced acidification is an early trigger for changes in Arabidopsis root growth and determines fungal phytostimulation. Front. Plant Sci. 2017, 8, 822. [Google Scholar] [CrossRef] [PubMed]
- Schaller, G.E. Ethylene and the regulation of plant development. BMC Biol. 2012, 10, 9. [Google Scholar] [CrossRef] [PubMed]
- Galland, M.; Gamet, L.; Varoquaux, F.; Touraine, B.; Touraine, B.; Desbrosses, G. The ethylene pathway contributes to root hair elongation induced by the beneficial bacteria Phyllobacterium brassicacearum STM196. Plant Sci. 2012, 190, 74–81. [Google Scholar] [CrossRef] [PubMed]
- Chen, L.; Dodd, I.C.; Davies, W.J.; Wilkinson, S. Ethylene limits abscisic acid- or soil drying-induced stomatal closure in aged wheat leaves. Plant Cell Environ. 2013, 36, 1850–1859. [Google Scholar] [CrossRef] [PubMed]
- Singh, R.P.; Shelke, G.M.; Kumar, A.; Jha, P.N. Biochemistry and genetics of ACC deaminase: A weapon to “stress ethylene” produced in plants. Front. Microbiol. 2015, 6, 93. [Google Scholar]
- Mayak, S.; Tirosh, T.; Glick, B.R. Effect of wild-type and mutant plant growth-promoting rhizobacteria on the rooting of mung bean cuttings. J. Plant Growth Regul. 1999, 18, 49–53. [Google Scholar] [CrossRef]
- Gontia-Mishra, I.; Sapre, S.; Kachare, S.; Tiwari, S. Molecular diversity of 1-aminocyclopropane-1-carboxylate (ACC) deaminase producing PGPR from wheat (Triticum aestivum L.) rhizosphere. Plant Soil 2017, 414, 213–227. [Google Scholar] [CrossRef]
- Beneduzi, A.; Ambrosini, A.; Passaglia, L.M.P. Plant growth-promoting rhizobacteria (PGPR): Their potential as antagonists and biocontrol agents. Genet. Mol. Biol. 2012, 35, 1044–1051. [Google Scholar] [CrossRef] [PubMed]
- Sood, M.; Kapoor, D.; Kumar, V.; Sheteiwy, M.S.; Ramakrishnan, M.; Landi, M.; Araniti, F.; Sharma, A. Trichoderma: The “secrets” of a multitalented biocontrol agent. Plants 2020, 9, 762. [Google Scholar] [CrossRef] [PubMed]
- Conrath, U.; Beckers, G.J.M.; Flors, V.; García-Agustín, P.; Jakab, G.; Mauch, F.; Newman, M.A.; Pieterse, C.M.J.; Poinssot, B.; Pozo, M.J.; et al. Priming: Getting ready for battle. Mol. Plant-Microbe Interact. 2006, 19, 1062–1071. [Google Scholar] [CrossRef]
- Pieterse, C.M.J.; Zamioudis, C.; Berendsen, R.L.; Weller, D.M.; Van Wees, S.C.M.; Bakker, P.A.H.M. Induced systemic resistance by beneficial microbes. Annu. Rev. Phytopathol. 2014, 52, 347–375. [Google Scholar] [CrossRef]
- Zehra, A.; Raytekar, N.A.; Meena, M.; Swapnil, P. Efficiency of microbial bio-agents as elicitors in plant defense mechanism under biotic stress: A review. Curr. Res. Microb. Sci. 2021, 2, 100054. [Google Scholar] [CrossRef]
- Raza, W.; Ling, N.; Yang, L.; Huang, Q.; Shen, Q. Response of tomato wilt pathogen Ralstonia solanacearum to the volatile organic compounds produced by a biocontrol strain Bacillus amyloliquefaciens SQR-9. Sci. Rep. 2016, 6, 24856. [Google Scholar] [CrossRef]
- Ruangwong, O.U.; Wonglom, P.; Suwannarach, N.; Kumla, J.; Thaochan, N.; Chomnunti, P.; Pitija, K.; Sunpapao, A. Volatile organic compound from Trichoderma asperelloides TSU1: Impact on plant pathogenic fungi. J. Fungi 2021, 7, 187. [Google Scholar] [CrossRef]
- Couillerot, O.; Prigent-Combaret, C.; Caballero-Mellado, J.; Moënne-Loccoz, Y. Pseudomonas fluorescens and closely-related fluorescent pseudomonads as biocontrol agents of soil-borne phytopathogens. Lett. Appl. Microbiol. 2009, 48, 505–512. [Google Scholar] [CrossRef]
- Niranjan Raj, S.; Lavanya, S.N.; Amruthesh, K.N.; Niranjana, S.R.; Reddy, M.S.; Shetty, H.S. Histo-chemical changes induced by PGPR during induction of resistance in pearl millet against downy mildew disease. Biol. Control 2012, 60, 90–102. [Google Scholar] [CrossRef]
- Chen, C.; Bélanger, R.R.; Benhamou, N.; Paulitz, T.C. Defense enzymes induced in cucumber roots by treatment with plant growth-promoting rhizobacteria (PGPR) and Pythium aphanidermatum. Physiol. Mol. Plant Pathol. 2000, 56, 13–23. [Google Scholar] [CrossRef]
- Samaras, A.; Roumeliotis, E.; Ntasiou, P.; Karaoglanidis, G. Bacillus subtilis MBI600 promotes growth of tomato plants and induces systemic resistance contributing to the control of soilborne pathogens. Plants 2021, 10, 1113. [Google Scholar] [CrossRef] [PubMed]
- Tjamos, S.E.; Flemetakis, E.; Paplomatas, E.J.; Katinakis, P. Induction of resistance to Verticillium dahliae in Arabidopsis thaliana by the biocontrol agent K-165 and pathogenesis-related proteins gene expression. Mol. Plant-Microbe Interact. 2005, 18, 555–561. [Google Scholar] [CrossRef]
- Verhagen, B.W.M.; Trotel-Aziz, P.; Couderchet, M.; Höfte, M.; Aziz, A. Pseudomonas spp.-induced systemic resistance to Botrytis cinerea is associated with induction and priming of defence responses in grapevine. J. Exp. Bot. 2010, 61, 249–260. [Google Scholar] [CrossRef]
- van de Mortel, J.E.; de Vos, R.C.H.; Dekkers, E.; Pineda, A.; Guillod, L.; Bouwmeester, K.; van Loon, J.J.A.; Dicke, M.; Raaijmakers, J.M. Metabolic and transcriptomic changes induced in Arabidopsis by the rhizobacterium Pseudomonas fluorescens SS101. Plant Physiol. 2012, 160, 2173–2188. [Google Scholar] [CrossRef]
- Pieterse, C.M.J.; Van Pelt, J.A.; Ton, J.; Parchmann, S.; Mueller, M.J.; Buchala, A.J.; Métraux, J.P.; Van Loon, L.C. Rhizobacteria-mediated induced systemic resistance (ISR) in Arabidopsis requires sensitivity to jasmonate and ethylene but is not accompanied by an increase in their production. Physiol. Mol. Plant Pathol. 2000, 57, 123–134. [Google Scholar] [CrossRef]
- Niu, D.D.; Liu, H.X.; Jiang, C.H.; Wang, Y.P.; Wang, Q.Y.; Jin, H.L.; Guo, J.H. The plant growth-promoting rhizobacterium Bacillus cereus AR156 induces systemic resistance in Arabidopsis thaliana by simultaneously activating salicylate- and jasmonate/ethylene-dependent signaling pathways. Mol. Plant-Microbe Interact. 2011, 24, 533–542. [Google Scholar] [CrossRef] [PubMed]
- Singh, U.P.; Sarma, B.K.; Singh, D.P. Effect of plant growth-promoting rhizobacteria and culture filtrate of Sclerotium rolfsii on phenolic and salicylic acid contents in chickpea (Cicer arietinum). Curr. Microbiol. 2003, 46, 131–140. [Google Scholar] [PubMed]
- Rudrappa, T.; Biedrzycki, M.L.; Kunjeti, S.G.; Donofrio, N.M.; Czymmek, K.J.; Paré, P.W.; Bais, H.P. The rhizobacterial elicitor acetoin induces systemic resistance in Arabidopsis thaliana. Commun. Integr. Biol. 2010, 3, 130–138. [Google Scholar] [CrossRef] [PubMed]
- Naziya, B.; Murali, M.; Amruthesh, K.N. Plant growth-promoting fungi (PGPF) instigate plant growth and induce disease resistance in Capsicum annuum L. upon infection with Colletotrichum capsici (Syd.) Butler & Bisby. Biomolecules 2020, 10, 41. [Google Scholar]
- Meshram, S.; Patel, J.S.; Yadav, S.K.; Kumar, G.; Singh, D.P.; Singh, H.B.; Sarma, B.K. Trichoderma mediate early and enhanced lignifications in chickpea during Fusarium oxysporum f. sp. ciceris infection. J. Basic Microbiol. 2019, 59, 74–86. [Google Scholar] [CrossRef]
- Nawrocka, J.; Małolepsza, U.; Szymczak, K.; Szczech, M. Involvement of metabolic components, volatile compounds, PR proteins, and mechanical strengthening in multilayer protection of cucumber plants against Rhizoctonia solani activated by Trichoderma atroviride TRS25. Protoplasma 2018, 255, 359–373. [Google Scholar] [CrossRef]
- Abdelkhalek, A.; Al-Askar, A.A.; Arishi, A.A.; Behiry, S.I. Trichoderma hamatum Strain Th23 Promotes Tomato Growth and Induces Systemic Resistance against Tobacco Mosaic Virus. J. Fungi 2022, 8, 228. [Google Scholar] [CrossRef] [PubMed]
- Yadav, M.; Dubey, M.K.; Upadhyay, R.S. Systemic resistance in chilli pepper against anthracnose (caused by Colletotrichum truncatum) induced by Trichoderma harzianum, Trichoderma asperellum and Paenibacillus dendritiformis. J. Fungi 2021, 7, 307. [Google Scholar] [CrossRef] [PubMed]
- Attia, M.S.; El-Wakil, D.A.; Hashem, A.H.; Abdelaziz, A.M. Antagonistic effect of plant growth-promoting fungi against Fusarium wilt disease in tomato: In vitro and in vivo study. Appl. Biochem. Biotechnol. 2022, 1, 1–9. [Google Scholar] [CrossRef] [PubMed]
- Chen, S.C.; Ren, J.J.; Zhao, H.J.; Wang, X.L.; Wang, T.H.; Jin, S.D.; Wang, Z.H.; Li, C.Y.; Liu, A.R.; Lin, X.M.; et al. Trichoderma harzianum improves defense against Fusarium oxysporum by regulating ROS and RNS metabolism, redox balance, and energy flow in cucumber roots. Phytopathology 2019, 109, 972–982. [Google Scholar]
- Mathys, J.; De Cremer, K.; Timmermans, P.; Van Kerckhove, S.; Lievens, B.; Vanhaecke, M.; Cammue, B.P.A.; De Coninck, B. Genome-wide characterization of ISR induced in Arabidopsis thaliana by Trichoderma hamatum T382 against Botrytis cinerea infection. Front. Plant Sci. 2012, 3, 108. [Google Scholar] [CrossRef] [PubMed]
- Coppola, M.; Diretto, G.; Digilio, M.C.; Woo, S.L.; Giuliano, G.; Molisso, D.; Pennacchio, F.; Lorito, M.; Rao, R. Transcriptome and metabolome reprogramming in tomato plants by Trichoderma harzianum strain T22 primes and enhances defense responses against aphids. Front. Physiol. 2019, 10, 745. [Google Scholar] [CrossRef] [PubMed]
- Murali, M.; Sudisha, J.; Amruthesh, K.N.; Ito, S.I.; Shetty, H.S. Rhizosphere fungus Penicillium chrysogenum promotes growth and induces defence-related genes and downy mildew disease resistance in pearl millet. Plant Biol. 2013, 15, 111–118. [Google Scholar] [CrossRef]
- Tucci, M.; Ruocco, M.; De Masi, L.; De Palma, M.; Lorito, M. The beneficial effect of Trichoderma spp. on tomato is modulated by the plant genotype. Mol. Plant Pathol. 2011, 12, 341–354. [Google Scholar] [CrossRef]
- Martínez-Medina, A.; Fernández, I.; Sánchez-Guzmán, M.J.; Jung, S.C.; Pascual, J.A.; Pozo, M.J. Deciphering the hormonal signaling network behind the systemic resistance induced by Trichoderma harzianum in tomato. Front. Plant Sci. 2013, 4, 206. [Google Scholar] [CrossRef]
- Naznin, H.A.; Kiyohara, D.; Kimura, M.; Miyazawa, M.; Shimizu, M.; Hyakumachi, M. Systemic resistance induced by volatile organic compounds emitted by plant growth-promoting fungi in Arabidopsis thaliana. PLoS ONE 2014, 9, e86882. [Google Scholar] [CrossRef] [PubMed]
- De Lorenzo, G.; Ferrari, S.; Giovannoni, M.; Mattei, B.; Cervone, F. Cell wall traits that influence plant development, immunity, and bioconversion. Plant J. 2019, 97, 134–147. [Google Scholar] [CrossRef] [PubMed]
- Anderson, A.J. Responses of bean to root colonization with Pseudomonas putida in a hydroponic system. Phytopathology 1985, 75, 992. [Google Scholar] [CrossRef]
- Vacheron, J.; Desbrosses, G.; Bouffaud, M.L.; Touraine, B.; Moënne-Loccoz, Y.; Muller, D.; Legendre, L.; Wisniewski-Dyé, F.; Prigent-Combaret, C. Plant growth-promoting rhizobacteria and root system functioning. Front. Plant Sci. 2013, 4, 356. [Google Scholar] [CrossRef]
- Basińska-Barczak, A.; Błaszczyk, L.; Szentner, K. Plant cell wall changes in common wheat roots as a result of their interaction with beneficial fungi of Trichoderma. Cells 2020, 9, 2319. [Google Scholar] [CrossRef] [PubMed]
- Yu, Y.; Gui, Y.; Li, Z.; Jiang, C.; Guo, J.; Niu, D. Induced systemic resistance for improving plant immunity by beneficial microbes. Plants 2022, 11, 386. [Google Scholar] [CrossRef] [PubMed]
- Pieterse, C.M.J.; Van Der Does, D.; Zamioudis, C.; Leon-Reyes, A.; Van Wees, S.C.M. Hormonal modulation of plant immunity. Annu. Rev. Cell Dev. Biol. 2012, 28, 489–521. [Google Scholar] [CrossRef] [PubMed]
- Bukhat, S.; Imran, A.; Javaid, S.; Shahid, M.; Majeed, A.; Naqqash, T. Communication of plants with microbial world: Exploring the regulatory networks for PGPR mediated defense signaling. Microbiol. Res. 2020, 238, 126486. [Google Scholar] [CrossRef] [PubMed]
- Morán-Diez, M.E.; Martínez de Alba, Á.E.; Rubio, M.B.; Hermosa, R.; Monte, E. Trichoderma and the plant heritable priming responses. J. Fungi 2021, 7, 318. [Google Scholar] [CrossRef]
- Kloppholz, S.; Kuhn, H.; Requena, N. A secreted fungal effector of Glomus intraradices promotes symbiotic biotrophy. Curr. Biol. 2011, 21, 1204–1209. [Google Scholar] [CrossRef]
- Enebe, M.C.; Babalola, O.O. The impact of microbes in the orchestration of plants’ resistance to biotic stress: A disease management approach. Appl. Microbiol. Biotechnol. 2019, 103, 9–25. [Google Scholar] [CrossRef]
- Hermosa, R.; Viterbo, A.; Chet, I.; Monte, E. Plant-beneficial effects of Trichoderma and of its genes. Microbiology 2012, 158, 17–25. [Google Scholar] [CrossRef]
- Martínez-Medina, A.; Roldán, A.; Albacete, A.; Pascual, J.A. The interaction with arbuscular mycorrhizal fungi or Trichoderma harzianum alters the shoot hormonal profile in melon plants. Phytochemistry 2011, 72, 223–229. [Google Scholar] [CrossRef]
- Manganiello, G.; Sacco, A.; Ercolano, M.R.; Vinale, F.; Lanzuise, S.; Pascale, A.; Napolitano, M.; Lombardi, N.; Lorito, M.; Woo, S.L. Modulation of tomato response to Rhizoctonia solani by Trichoderma harzianum and its secondary metabolite harzianic acid. Front. Microbiol. 2018, 9, 1966. [Google Scholar] [CrossRef]
- Partida-Martínez, L.P.; Heil, M. The Microbe-free plant: Fact or artifact? Front. Plant Sci. 2011, 2, 100. [Google Scholar] [CrossRef] [PubMed]
- Forchetti, G.; Masciarelli, O.; Alemano, S.; Alvarez, D.; Abdala, G. Endophytic bacteria in sunflower (Helianthus annuus L.): Isolation, characterization, and production of jasmonates and abscisic acid in culture medium. Appl. Microbiol. Biotechnol. 2007, 76, 1145–1152. [Google Scholar] [CrossRef] [PubMed]
- Scala, A.; Allmann, S.; Mirabella, R.; Haring, M.A.; Schuurink, R.C. Green leaf volatiles: A plant’s multifunctional weapon against herbivores and pathogens. Int. J. Mol. Sci. 2013, 14, 17781–17811. [Google Scholar] [CrossRef] [PubMed]
- de Vos, R.C.H.; Hall, R.D.; Moing, A. Metabolomics of a model fruit: Tomato. In Annual Plant Reviews Online; Hall, R.D., Ed.; Wiley & Sons, Ltd.: Chichester, UK, 2018; Volume 43, pp. 109–155. [Google Scholar]
- Bai, Y.; Kissoudis, C.; Yan, Z.; Visser, R.G.F.; van der Linden, G. Plant behaviour under combined stress: Tomato responses to combined salinity and pathogen stress. Plant J. 2018, 93, 781–793. [Google Scholar] [CrossRef] [PubMed]
- Nassal, D.; Spohn, M.; Eltlbany, N.; Jacquiod, S.; Smalla, K.; Marhan, S.; Kandeler, E. Effects of phosphorus-mobilizing bacteria on tomato growth and soil microbial activity. Plant Soil 2018, 427, 17–37. [Google Scholar] [CrossRef]
- Li, Y.T.; Hwang, S.G.; Huang, Y.M.; Huang, C.H. Effects of Trichoderma asperellum on nutrient uptake and Fusarium wilt of tomato. Crop Prot. 2018, 110, 275–282. [Google Scholar] [CrossRef]
- Shoresh, M.; Harman, G.E.; Mastouri, F. Induced systemic resistance and plant responses to fungal biocontrol agents. Annu. Rev. Phytopathol. 2010, 48, 21–43. [Google Scholar] [CrossRef]
- Ali, A.A.I.; El-Ashry, R.M.; Aioub, A.A.A. Animal manure rhizobacteria co-fertilization suppresses phytonematodes and enhances plant production: Evidence from field and greenhouse. J. Plant Dis. Prot. 2022, 129, 155–169. [Google Scholar] [CrossRef]
- Tank, N.; Saraf, M. Salinity-resistant plant growth promoting rhizobacteria ameliorates sodium chloride stress on tomato plants. J. Plant Interact. 2010, 5, 51–58. [Google Scholar] [CrossRef]
- Katsenios, N.; Andreou, V.; Sparangis, P.; Djordjevic, N.; Giannoglou, M.; Chanioti, S.; Stergiou, P.; Xanthou, M.Z.; Kakabouki, I.; Vlachakis, D.; et al. Evaluation of plant growth promoting bacteria strains on growth, yield and quality of industrial tomato. Microorganisms 2021, 9, 2099. [Google Scholar] [CrossRef]
- Vukelić, I.D.; Prokić, L.T.; Racić, G.M.; Pešić, M.B.; Bojović, M.M.; Sierka, E.M.; Kalaji, H.M.; Panković, D.M. Effects of Trichoderma harzianum on photosynthetic characteristics and fruit quality of tomato plants. Int. J. Mol. Sci. 2021, 22, 6961. [Google Scholar] [CrossRef]
- Lade, S.B.; Román, C.; Cueto-Ginzo, A.I.; Serrano, L.; Sin, E.; Achón, M.A.; Medina, V. Host-specific proteomic and growth analysis of maize and tomato seedlings inoculated with Azospirillum brasilense Sp7. Plant Physiol. Biochem. 2018, 129, 381–393. [Google Scholar] [CrossRef] [PubMed]
- Kalozoumis, P.; Savvas, D.; Aliferis, K.; Ntatsi, G.; Marakis, G.; Simou, E.; Tampakaki, A.; Karapanos, I. Impact of plant growth-promoting rhizobacteria inoculation and grafting on tolerance of tomato to combined water and nutrient stress assessed via metabolomics analysis. Front. Plant Sci. 2021, 12, 670236. [Google Scholar] [CrossRef] [PubMed]
- Mellidou, I.; Ainalidou, A.; Papadopoulou, A.; Leontidou, K.; Genitsaris, S.; Karagiannis, E.; Van de Poel, B.; Karamanoli, K. Comparative transcriptomics and metabolomics reveal an intricate priming mechanism involved in PGPR-mediated salt tolerance in tomato. Front. Plant Sci. 2021, 12, 713984. [Google Scholar] [CrossRef] [PubMed]
- Takahashi, H.; Nakaho, K.; Ishihara, T.; Ando, S.; Wada, T.; Kanayama, Y.; Asano, S.; Yoshida, S.; Tsushima, S.; Hyakumachi, M. Transcriptional profile of tomato roots exhibiting Bacillus thuringiensis-induced resistance to Ralstonia solanacearum. Plant Cell Rep. 2014, 33, 99–110. [Google Scholar] [CrossRef] [PubMed]
- Bloom, A.J. The increasing importance of distinguishing among plant nitrogen sources. Curr. Opin. Plant Biol. 2015, 25, 10–16. [Google Scholar] [CrossRef]
- Denancé, N.; Szurek, B.; Noël, L.D. Emerging functions of nodulin-like proteins in non-nodulating plant species. Plant Cell Physiol. 2014, 55, 469–474. [Google Scholar] [CrossRef]
- Chan, P.L.; Rose, R.J.; Abdul Murad, A.M.; Zainal, Z.; Ong, P.W.; Ooi, L.C.L.; Low, E.T.L.; Ishak, Z.; Yahya, S.; Song, Y.; et al. Early nodulin 93 protein gene: Essential for induction of somatic embryogenesis in oil palm. Plant Cell Rep. 2020, 39, 1395–1413. [Google Scholar] [CrossRef]
- Bi, Y.M.; Kant, S.; Clark, J.; Gidda, S.; Ming, F.; Xu, J.; Rochon, A.; Shelp, B.J.; Hao, L.; Zhao, R.; et al. Increased nitrogen-use efficiency in transgenic rice plants over-expressing a nitrogen-responsive early nodulin gene identified from rice expression profiling. Plant Cell Environ. 2009, 32, 1749–1760. [Google Scholar] [CrossRef]
- Lewis, D.R.; Negi, S.; Sukumar, P.; Muday, G.K. Ethylene inhibits lateral root development, increases IAA transport and expression of PIN3 and PIN7 auxin efflux carriers. Development 2011, 138, 3485–3495. [Google Scholar] [CrossRef]
- Růžička, K.; Ljung, K.; Vanneste, S.; Podhorská, R.; Beeckman, T.; Friml, J.; Benková, E. Ethylene regulates root growth through effects on auxin biosynthesis and transport-dependent auxin distribution. Plant Cell 2007, 19, 2197–2212. [Google Scholar] [CrossRef]
- Koskey, G.; Mburu, S.W.; Awino, R.; Njeru, E.M.; Maingi, J.M. Potential use of beneficial microorganisms for soil amelioration, phytopathogen biocontrol, and sustainable crop production in smallholder agroecosystems. Front. Sustain. Food Syst. 2021, 5, 606308. [Google Scholar] [CrossRef]
Publisher’s Note: MDPI stays neutral with regard to jurisdictional claims in published maps and institutional affiliations. |
© 2022 by the authors. Licensee MDPI, Basel, Switzerland. This article is an open access article distributed under the terms and conditions of the Creative Commons Attribution (CC BY) license (https://creativecommons.org/licenses/by/4.0/).

