Explaining the Lack of Mesh Convergence of Inviscid Adjoint Solutions near Solid Walls for Subcritical Flows
Abstract
1. Introduction
2. Review of the Mesh Divergence Problem
- Viscous cases were investigated to determine if the anomaly is limited to inviscid cases. It is.
 - The effect of cost function and flow regime was tested, with the following results:
 
- For supersonic flow, neither lift nor drag-based adjoint solutions show this behavior.
 - For transonic, subsonic, and incompressible flow, lift-based adjoint solutions are always affected, while drag-based solutions are only affected for transonic rotational flows (such as, for example, shocked flow past a symmetric airfoil with non-zero angle of attack).
 
- 3.
 - Inviscid three-dimensional cases were tested, and the same behavior was found.
 - 4.
 - The behavior of the adjoint wall b.c. (4) with mesh refinement was investigated. It turned out to be well obeyed across mesh levels except in the immediate vicinity of the trailing edge.
 - 5.
 - Given the anomalous behavior, it was mandatory to test whether adjoint-based sensitivity derivatives are affected. They are not. In fact, they are actually quite accurate and fairly stable across mesh levels. This is extremely important, as one of the hallmarks of continuous adjoint methods is the possibility to compute the sensitivities using only the flow and adjoint solutions on the (wall) boundary.
 - 6.
 - The problem was originally discovered with DLR’s Tau code [21], which uses an unstructured, cell-vertex, finite-volume solver, and appeared in both the continuous and discrete adjoint solvers with upwind (Roe-type) and central schemes with JST artificial dissipation. However, similar results have been obtained with the SU2 code, ONERA’s structured, cell-centered ELSA code [6], and Imperial College’s Nektar++ code [22].
 - 7.
 - Originally, the anomaly was observed in airfoils with non-zero trailing-edge angle. In order to determine the effect of the trailing edge geometry, several different configurations, including blunt and cusped trailing edges, were tested. The anomaly was observed in all cases and also in blunt bodies such as circles and ellipses.
 - 8.
 - The effect of the far-field distance, resolution, and the adjoint far-field b.c. was tested, but no significant influence could be established.
 - 9.
 - The adjoint solutions were examined in order to establish whether the anomaly is related to any flow or adjoint singularity. It was found that the anomaly is always accompanied by the presence of an adjoint singularity at the trailing edge or rear stagnation point but also along the incoming stagnation streamline. Conversely, when such singularities are absent, the adjoint solution converges with mesh refinement.
 - 10.
 - The effect of numerical dissipation was tested by using a central scheme with JST artificial dissipation. On the one hand, mesh convergence studies were repeated with dissipation levels increasing with mesh size (, where is the second dissipation coefficient, N is the number of grid nodes and D is the number of spatial dimensions) without significant qualitative changes in the behavior. On the other hand, the actual value of the adjoint solution at the wall on a given mesh was found to depend strongly on the dissipation level in such a way that reducing the dissipation increases the value of the adjoint solution, mimicking the effect of mesh refinement. A similar behavior of the values of the adjoint variables in the near-wall cells in a cell-centered solver has been pointed out in [6].
 - 11.
 - In addition, it was shown in [6] (see also [4]) that linear perturbations to lift or drag caused by numerical solutions containing point singularities corresponding to stagnation pressure perturbations appear to diverge towards the wall, while other point perturbations (mass, normal force or enthalpy, using the nomenclature of [5]) do not. Since point perturbations are closely related to the adjoint state, this result could indicate the presence of a singularity of the adjoint variables at the wall.
 
3. Analytic Adjoint Solution for Incompressible Flow
3.1. Analytic Flow Solution
3.2. Analytic Adjoint Solution
- Source and vortex
 
- Change in total pressure at fixed static pressure and flow direction
 
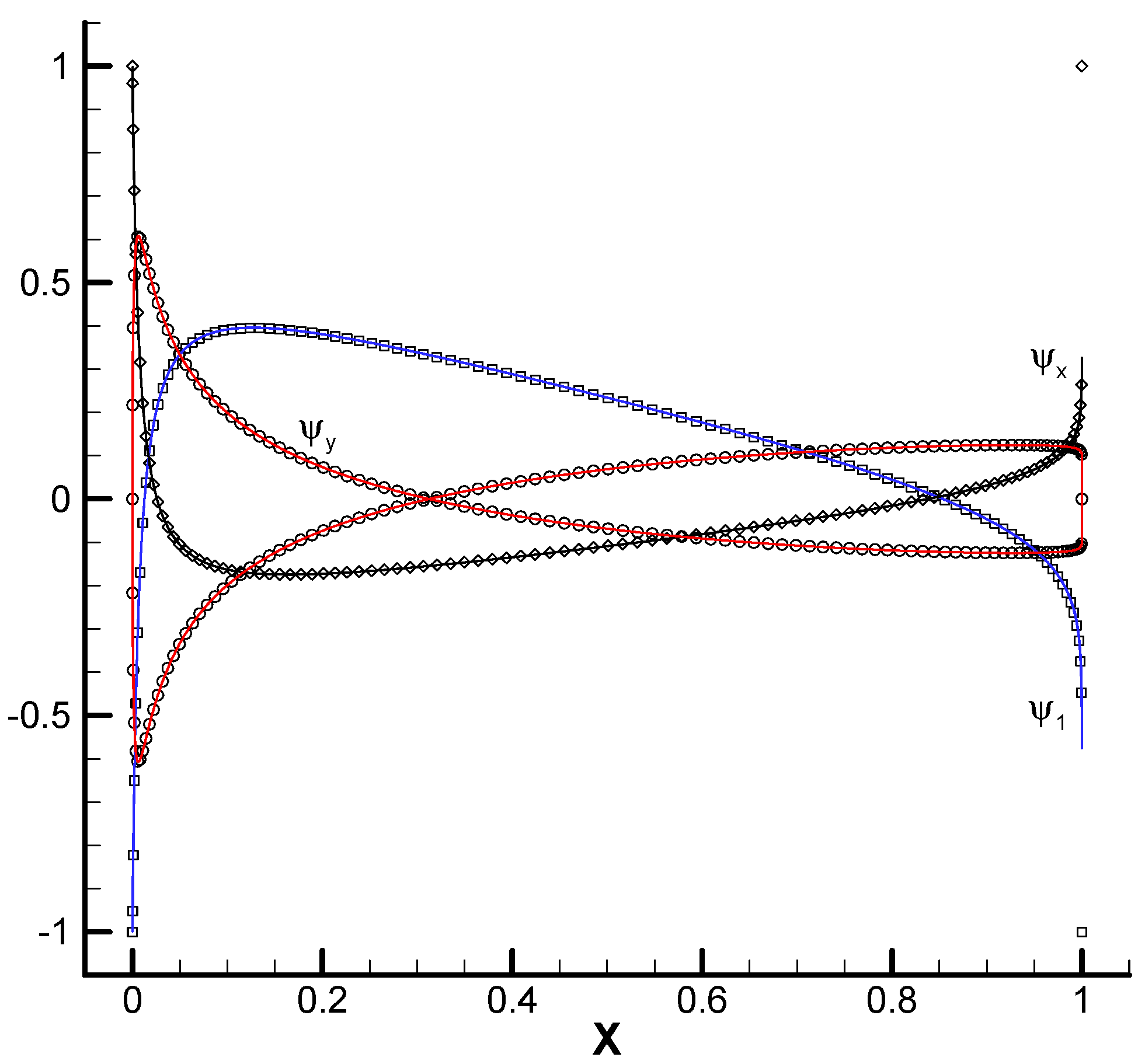
- There is a nice agreement between the analytic and numerical results. It is clear (again) that the analytic solution can be used for verification of numerical adjoint solvers.
 - In the previous point, we probably overlooked the fact that the quantities computed with the analytic solution are finite in spite of the fact that the analytic solution diverges at the wall.
 - Similarly, the quantities computed with the numerical solution are stable against mesh refinement despite being computed with an adjoint solution that diverges with mesh refinement.
 - The explanation of the above facts is simple in view of the analytic solution (28). As was already conjectured in [4], the adjoint variables diverge towards the wall while the combinations
 
4. Analytic Adjoint Solution for Subcritical Flow
5. Summary and Discussion
Author Contributions
Funding
Institutional Review Board Statement
Informed Consent Statement
Data Availability Statement
Acknowledgments
Conflicts of Interest
References
- Lozano, C. Watch Your Adjoints! Lack of Mesh Convergence in Inviscid Adjoint Solutions. AIAA J. 2019, 57, 3991–4006. [Google Scholar] [CrossRef]
 - Lozano, C. Anomalous Mesh Dependence of Adjoint Solutions near Walls in Inviscid Flows Past Configurations with Sharp Trailing Edges. In Proceedings of the EUCASS 2019 Conference, Madrid, Spain, 1–4 July 2019. [Google Scholar] [CrossRef]
 - Lozano, C.; Ponsin, J. Mesh-Diverging Inviscid Adjoint Solutions. In Proceedings of the 10th EASN International Virtual Conference, Virtual, 2–4 September 2020. [Google Scholar] [CrossRef]
 - Lozano, C.; Ponsin, J. On the Mesh Divergence of Inviscid Adjoint Solutions. In Proceedings of the 14th WCCM-ECCOMAS Congress 2020, Virtual Congress, 11–15 January 2021. [Google Scholar] [CrossRef]
 - Giles, M.; Pierce, N. Adjoint Equations in CFD—Duality, Boundary Conditions and Solution Behaviour. In Proceedings of the 13th Computational Fluid Dynamics Conference, Snowmass Village, CO, USA, 29 June–2 July 1997. Paper AIAA 1997–1850. [Google Scholar] [CrossRef]
 - Peter, J.; Renac, F.; Labbé, C. Analysis of finite-volume discrete adjoint fields for two-dimensional compressible Euler flows. J. Comput. Phys. 2022, 449, 110811. [Google Scholar] [CrossRef]
 - Lozano, C.; Ponsin, J. Analytic adjoint solutions for the 2-D incompressible Euler equations using the Green’s function approach. J. Fluid Mech. 2022, 943, A22. [Google Scholar] [CrossRef]
 - Giles, M.B.; Pierce, N.A. Analytic adjoint solutions for the quasi-one-dimensional Euler equations. J. Fluid Mech. 2001, 426, 327–345. [Google Scholar] [CrossRef]
 - Katz, J.; Plotkin, A. Low Speed Aerodynamics, 2nd ed.; Cambridge University Press: New York, NY, USA, 2001. [Google Scholar]
 - Jameson, A. Aerodynamic design via control theory. J. Sci. Comput. 1988, 3, 233–260. [Google Scholar] [CrossRef]
 - Anderson, W.; Venkatakrishnan, V. Aerodynamic Design Optimization on Unstructured Grids with a Continuous Adjoint Formulation. Comput. Fluids 1999, 28, 443–480. [Google Scholar] [CrossRef]
 - Castro, C.; Lozano, C.; Palacios, F.; Zuazua, E. Systematic Continuous Adjoint Approach to Viscous Aerodynamic Design on Unstructured Grids. AIAA J. 2007, 45, 2125–2139. [Google Scholar] [CrossRef]
 - Economon, T.D.; Palacios, F.; Copeland, S.R.; Lukaczyk, T.W.; Alonso, J.J. SU2: An Open-Source Suite for Multiphysics Simulation and Design. AIAA J. 2016, 54, 828–846. [Google Scholar] [CrossRef]
 - Chorin, A.J. A numerical method for solving incompressible viscous flow problems. J. Comput. Phys. 1967, 2, 12–26. [Google Scholar] [CrossRef]
 - Jameson, A.; Schmidt, W.; Turkel, E. Numerical solution of the Euler equations by finite volume methods using Runge Kutta time stepping schemes. In Proceedings of the 14th Fluid and Plasma Dynamics Conference, Palo Alto, CA, USA, 23–25 June 1981. Paper AIAA 1981–1259. [Google Scholar] [CrossRef]
 - Palacios, F.; Alonso, J.; Jameson, A. Shape Sensitivity of Free-Surface Interfaces Using a Level Set Methodology. In Proceedings of the 42nd AIAA Fluid Dynamics Conference and Exhibit, New Orleans, Louisiana, 25–28 June 2012. Paper AIAA 2012–3341. [Google Scholar] [CrossRef]
 - Giles, M.; Pierce, N. Improved Lift and Drag Estimates Using Adjoint Euler Equations. In Proceedings of the 14th Computational Fluid Dynamics Conference, Norfolk, VA, USA, 1–5 November 1999. Paper AIAA 1999–3293. [Google Scholar] [CrossRef]
 - Lozano, C. On mesh sensitivities and boundary formulas for discrete adjoint-based gradients in inviscid aerodynamic shape optimization. J. Comput. Phys. 2017, 346, 403–436. [Google Scholar] [CrossRef]
 - Fidkowski, K.J.; Roe, P.L. An Entropy Adjoint Approach to Mesh Refinement. SIAM J. Sci. Comput. 2010, 32, 1261–1287. [Google Scholar] [CrossRef]
 - Lozano, C. Entropy and Adjoint Methods. J. Sci. Comput. 2019, 81, 2447–2483. [Google Scholar] [CrossRef]
 - Schwamborn, D.; Gerhold, T.; Heinrich, R. The DLR TAU-Code: Recent Applications in Research and Industry. In Proceedings of the ECCOMAS CFD 2006 Conference, Egmond aan Zee, The Netherlands, 5–8 September 2006. [Google Scholar]
 - Ekelschot, D. Mesh Adaptation Strategies for Compressible Flows Using a High-Order Spectral/Hp Element Discretization. Ph.D. Thesis, Imperial College, London, UK, 2016. [Google Scholar]
 - Batchelor, G. An Introduction to Fluid Dynamics; Cambridge University Press: Cambridge, UK, 2000. [Google Scholar]
 - Milne-Thomson, L.M. Theoretical Hydrodynamics, 4th ed.; MacMillan & Co.: London, UK, 1962. [Google Scholar]
 - Lozano, C.; Ponsin, J. Exact Inviscid Drag-Adjoint Solution for Subcritical Flows. AIAA J. 2021, 59, 5369–5373. [Google Scholar] [CrossRef]
 - Giles, M.; Haimes, R. Advanced interactive visualization for CFD. Comput. Syst. Eng. 1990, 1, 51–62. [Google Scholar] [CrossRef]
 - Finn, R.; Gilbarg, D. Asymptotic behavior and uniqueness of plane subsonic flows. Commun. Pure Appl. Math. 1957, 10, 23–63. [Google Scholar] [CrossRef]
 - Warsi, Z. Fluid Dynamics: Theoretical and Computational Approaches, 3rd ed.; CRC Press: Boca Raton, FL, USA, 2006. [Google Scholar]
 - Giles, M.B.; Pierce, N.A. Adjoint Error Correction for Integral Outputs. In Error Estimation and Adaptive Discretization Methods in Computational Fluid Dynamics; Lecture Notes in Computational Science and Engineering, Vol. 25; Springer: Berlin/Heidelberg, Germany, 2003; Chapter 2; pp. 47–95. [Google Scholar] [CrossRef]
 - Schmidt, W.; Jameson, A.; Whitfield, D. Finite−Volume Solutions to the Euler Equations in Transonic Flow. J. Aircraft 1983, 20, 127–133. [Google Scholar] [CrossRef]
 














Disclaimer/Publisher’s Note: The statements, opinions and data contained in all publications are solely those of the individual author(s) and contributor(s) and not of MDPI and/or the editor(s). MDPI and/or the editor(s) disclaim responsibility for any injury to people or property resulting from any ideas, methods, instructions or products referred to in the content.  | 
© 2023 by the authors. Licensee MDPI, Basel, Switzerland. This article is an open access article distributed under the terms and conditions of the Creative Commons Attribution (CC BY) license (https://creativecommons.org/licenses/by/4.0/).
Share and Cite
Lozano, C.; Ponsin, J. Explaining the Lack of Mesh Convergence of Inviscid Adjoint Solutions near Solid Walls for Subcritical Flows. Aerospace 2023, 10, 392. https://doi.org/10.3390/aerospace10050392
Lozano C, Ponsin J. Explaining the Lack of Mesh Convergence of Inviscid Adjoint Solutions near Solid Walls for Subcritical Flows. Aerospace. 2023; 10(5):392. https://doi.org/10.3390/aerospace10050392
Chicago/Turabian StyleLozano, Carlos, and Jorge Ponsin. 2023. "Explaining the Lack of Mesh Convergence of Inviscid Adjoint Solutions near Solid Walls for Subcritical Flows" Aerospace 10, no. 5: 392. https://doi.org/10.3390/aerospace10050392
APA StyleLozano, C., & Ponsin, J. (2023). Explaining the Lack of Mesh Convergence of Inviscid Adjoint Solutions near Solid Walls for Subcritical Flows. Aerospace, 10(5), 392. https://doi.org/10.3390/aerospace10050392
        
