Abstract
The aircraft wake vortex is an important factor affecting flight safety; as an important part of the aircraft, the powered nacelle will inevitably have an important impact on the aircraft wake vortex, so it is of great practical significance to research it. The present study focused on the numerical simulation of the wake flow of large aircraft (as the front aircraft) and the comparative analysis of the influence of engine jets on the wake flow. In order to meet the accuracy requirements and control the consumption of computing resources, LES and RANS methods were compared, and the RANS method was finally selected for subsequent calculation. The dynamic effect of jet flow was simulated by simplifying the boundary conditions of the inlet fan and outlet bypass as the mass flow boundary condition. The simulation results showed that the engine nacelle will have a significant impact on the morphology of the aircraft wake flow (position and strength of the main vortex in the wake flow system), which is caused by the vortices formed under the shear flow and separated flow of the nacelle. However, the nacelle will not significantly change the total strength of the wake vortex (half-plane circulation). The engine jet intensity causes additional turbulent mixing, which will accelerate the fusion of the nacelle vortex and ultimately change the intensity ratio of the inner wing vortex and the wingtip vortex, affecting the trajectory of the wake of the mean vortex. The study provides a corresponding reference for the following research on a wake vortex by a powered nacelle.
1. Introduction
The aircraft wake vortex originates from the pressure difference between the upper and lower surfaces of the wing. When the high-pressure air from the lower surface flows around the wingtip to the upper surface, the spanwise flow forms a pair of counter-rotating vortices at the wingtip. Together with the wake of the trailing edge and fuselage, these flow structures collectively constitute the aircraft wake flow. Aircraft wake flow is an important factor affecting flight safety. The transverse rolling moment caused by the aircraft wake flow will cause the aircraft entering the vortex zone of the front aircraft to pitch, roll, fuselage violent shaking, wingtip overload mutation, and other dangerous situations. However, with the deepening of the research, inspiration has been drawn from the long-distance migration flights of birds, where it has been observed that birds tend to maintain certain formations, such as a V-shaped formation, not only ensuring safety during migration but also significantly enhancing flight efficiency. It can be assumed that aircraft can also use similar principles to fly in formation, which increases the lift and reduces the drag and also reduces fuel consumption for the rear aircraft, which is called the “vortex surfing” principle. In 2011, Boeing and NASA pointed out at the Energy Boundary Research Conference hosted by the US Air Force that “vortex surfing” is the focus of future research.
A study of the evolution of the wake vortex can provide not only a more accurate vortex influence region but also a theoretical basis for the formation flight. The development of a wake vortex goes through four stages, namely near ground stage, extended near ground stage, far ground stage, and dissipation stage, in which the vortex surface gradually rolls up the wake vortex to form a pair of counter-rotating vortices, and then becomes unstable under the influence of atmosphere and environment, finally dissipating and integrating into the atmosphere until the instability is fully developed.
High-altitude wake flow is almost unaffected by ground influence. However, it is largely influenced by atmospheric environments such as atmospheric turbulence, wind shear, and atmospheric stratification. Gerz took the wake vortex of B747 in the cruising state as the research object and used the LES method to study the development of the wake vortex under the influence of atmospheric turbulence and fuselage boundary layer turbulence. The results showed that the wake flow characteristics under different turbulence conditions are obviously different, wake vortex pairs under fuselage turbulence interference are only close to each other and eventually dissipate; however, obvious sinusoidal deformation of the wake vortex is produced by the atmospheric turbulence. Gerz believes that such large-scale deformation is related to the scale of the turbulence [1]. Crow explained this phenomenon [2] by suggesting that the wake vortex pair will first experience sinusoidal deformation under the interference of atmospheric turbulence. Afterward, they will connect at the minimum vortex core spacing and finally form a vortex circulation to dissipate rapidly. Zhou used the LES method to simulate the turbulence intensity in three different environments. The results showed that the safety of wake encounters is closely related to the development of turbulence intensity and vortex instability [3]. The Brunt–Väisälä (BV) frequency N was used to characterize atmospheric stability, and Visscher et al. used the LES method to study the evolution of wake vortex under atmospheric stratification [4]. They found that stronger atmospheric stratification leads to higher energy in high-frequency modes and also accelerates the connection of vortex pairs, which is more unstable due to the existence of baroclinic vorticity. When the atmospheric temperature stratification is relatively stable, for example, when the dimensionless BV frequency N is greater than 0.8, most of the energy of the wake vortex pairs is consumed before the connection occurs because the shortwave instability develops faster than the long-wave instability. Li proved that the vertical gradient of crosswind shear affects the descending rate of two vortices in a vortex pair [5]. For example, when the second derivative of crosswind with respect to height is negative, the downwind vortex will descend more slowly. Furthermore, this will significantly change the spacing of the vortex pair and the time of dissipation. Luo uses the LES method to study the dynamic evolution of the wake vortex generated by an A330 aircraft in an atmospheric environment and evaluated its impact on ARJ21 aircraft. The research results showed that the safety of wake encounters mainly depended on the size of environmental turbulence and the development of structural instability in the wake vortex [6].
When the altitude of the aircraft wake flow below the ground is less than 1.5 times the initial vortex spacing (1.5b0), its development will be significantly affected by the ground effect [7]. Many scholars have studied the wake vortex near the ground. Xu studied the active flow control methods for wake vortex decay, such as air blowing and suction. The results showed that the influence of the detached vortex near the blowing zone on the wake is greater than that of the blowing flow itself [8]. Frank developed a wake vortex prediction system, which can safely reduce aircraft separation for any combination of aircraft types requiring minimum wake vortex separation under strong enough crosswind conditions [9]. Chen carried out experiments and numerical simulations of the vortex field on the ground and the flow field at the entrance of the nacelle under the condition of crosswind on the ground. Based on the quantitative analysis of the intensity, frequency, and dynamic characteristics of the ground vortex, the interaction between the crosswind and the ground vortex is studied by considering the direct effect of the crosswind on the inlet distortion and the indirect effect of the crosswind on the ground vortex. The results showed that the process of inlet distortion increasing with crosswind is unsteady and unstable due to the existence of surface vortices [10]. Xu et al. used the LES method to study the wake vortex of the ground effect on aircraft. The results showed that the crosswind strengthened the upwind vortex, while the long-term wake vortex evolution was not significantly influenced by the wind. Most importantly, in certain crosswind conditions, the wake vortex deformed sinusoidally and linked with its mirror counterpart. From a linear stability analysis, it was found that this long-wave deformation could only occur on the upwind side owing to the redistribution of the strain field caused by the near-ground wind shear [11]. Holzäpfel used the LES method to study the influence of the ground crosswind. They found that the near wall stripe under crosswind conditions will promote the formation of hairpin vortices and accelerate the dissipation of the wake vortex. In addition, different wind speeds also have a significant impact on the rebound height of the wake vortex [12]. Carvalho proposed a two-dimensional vortex, which can accurately calculate the vortex interaction and attenuation in the aircraft wake flow in the crosswind near the rough ground [13].
In addition to the natural environment, such as the atmosphere and the ground, the configuration of the aircraft itself will also have a certain impact on the evolution of the wake flow. For example, Stephan et al. found that when the landing gear is opened, there was a large change in the overall drag of the aircraft, but had little effect on the evolution of the wake flow. In addition, the B-H vortex model used at this time could no longer describe the ground velocity pattern of the wake flow well, and the influence of the ground mirror vortex must be considered [14]. Allen et al. measured the effect of the landing gear on the wake flow through wind tunnel experiments and PIV. They found similar results as Stephan, i.e., the landing gear had little effect on the wake flow and only slightly shifted the position of the wake vortex core in the near ground [15]. In addition, the engine jet had a high-temperature and high-pressure flow. Some studies focused on the effect of the jet on the wake flow. Zhong studied the cylindrical wake based on the parallel symmetric jet flow and analyzed the effects of different jet flow momentum coefficients on the vortex evolution and viscous dissipation of the cylindrical wake [16]. Gao used PIV to study the wake vortex dynamics behind a circular cylinder with active symmetrical jet flow control on its leeward side through wind tunnel tests. The experimental results showed that when the azimuthal angle of the jet was set to 0° and 90°, the unsteady wake of the cylinder was stable and attenuated, while for other azimuthal angles, the symmetrical jet flow was inclined to the shear layer, and its control effect was limited [17]. Jacquin et al. measured the interference of jet flow on the wake vortex of NACA0012 wings (designed by National Advisory Committee for Aeronautics in the United States) through experimental measurements. They found that in most cases when the position, intensity, and temperature of the jet flow changed, the jet flow had little effect on the evolution of the wake, which only enhanced the unsteady characteristics of the wake. Only when the jet flow and the wake vortex were close to a certain extent would the jet flow eventually be involved in the wake vortex core [18]. Depommier et al. used the Biot–Savart law to calculate the induced velocity field of the vortex structure, used the vorticity equation to deduce the interaction between different vortex structures to analyze the influence of the vortex structure generated by the jet on the wake, and found that the vortex structure formed by the jet flow would form a hairpin vortex due to the induction of the wake vortex. The hairpin vortex would cause a certain disturbance to the wake vortex core [19]. Margaris et al. conducted wind and water tunnel experiments on wake/jet disturbances, respectively, and found that the effect of jets on the wake vortex was significant; to a large extent, the jet flow reduced the tangential velocity and vorticity of the wake vortex, especially for the flap wing tip vortex [20]. In addition, they also believed that the Reynolds number did not influence the abovementioned conclusions.
In summary, there are two essential elements to “vortex surfing”, which are the wake vortex of the front aircraft and the rear aircraft itself. Successfully using the technology requires thorough research and understanding of these two parts. At present, the analysis and research on the evolution process and stability mechanism of aircraft wake vortices, as well as both numerical simulation and experimental studies, are relatively sufficient. Still, these studies mainly focus on the differences in the evolution of wake vortices under different external environments. There is still a lack of interference between aircraft components and the wake flow, especially the interaction between the engine jet flow and the wake flow, and the interference process and mechanism are also unclear. Based on this, the present study focused on the mechanism of jet flow and wake flow of the engine and explained the relationship between them, which provides a corresponding reference for the following study of wake vortex by powered nacelle. Differences between the LES and RANS methods were analyzed first, and then the RANS method was used to calculate the wake vortex, and the influence of the powered nacelle and the jet intensity on wake flow was analyzed.
2. Methods and Validation
2.1. Methods
2.1.1. Geometric Model and Mesh Generation
A standard model CHN-T2 for wide-body aircraft was used as the calculation model, which includes fuselage, wing, horizontal tail, vertical tail, nacelle, pylon, fairing, and other components, and the specific geometric parameters are shown in Figure 1. The calculation grid was divided by multiple structured grids. The far-field boundary flow direction of the calculation area is 20 times the average aerodynamic chord length in front and 30 times the average aerodynamic chord length in the back. The grid height of the first layer of the boundary layer is 5.0 × 10−6, and the normal growth rate is 1.15. The positions of the nacelle and wing were refined to meet the requirements of calculation. The final total grid amount is about 22 million; the grid distribution is shown in Figure 2.
Figure 1.
Specific geometric parameters of CHN-T2.
Figure 2.
The structure grid of the CHN-T2 with a nacelle. (a) Grid overview. (b) Fairing details. (c) Engine symmetry surface mesh.
2.1.2. Numerical Method
In order to meet the calculation accuracy and reduce the consumption of computing resources, the study compares the difference between the RANS and LES methods (as shown in Section 2.2).
The RANS equation is described as follows:
where the turbulence model [21] is selected for equation closure, which considers the transmission of turbulent shear stress and has higher calculation accuracy. The calculation formula of turbulent kinetic energy and specific dissipation rate is
The Boussinesq assumption was adopted for the LES equation, and the expression of the equation is as follows:
The formulation incorporates the subgrid-scale kinematic viscosity . A Lagrangian dynamic model closes the equations to alleviate the excessive eddy viscosity within the vortex core.
Moreover, the key to the flow calculation in the engine nacelle is to set the accurate inlet and outlet boundary conditions. In the present study, the inlet and outlet flow parameters for calculation were derived from the intake duct flow coefficient of the inlet.
In the sub-transonic range, far-field inflow meets adiabatic isentropic condition at the inlet of the intake duct:
The intake duct Mach number was obtained through iterative calculation, and then the corresponding flow parameters were derived as follows:
Taking the total temperature and the total pressure of the intake duct outlet jet flow as the given parameters of the outlet boundary conditions, assuming that the static pressure at the outlet originates from the flow field and the jet flow meets the isentropic relationship, the intake duct outlet conditions , , are known quantities, and the intake duct flow parameters can be obtained as follows:
In Equations (5) to (12), the subscript in indicates the reference value at the inlet of the engine, the subscript ex indicates the parameter at the engine outlet, o indicates the far-field stagnation parameter and ∞ is the undisturbed far-field parameter. is the unit normal vector pointing to the outside part of the intake duct at the outlet of the engine.
The simulation process requires high-precision numerical calculations, fine grids, and precise turbulence models; the self-developed code of the research group was used to discretize the governing equations by using the finite volume method, the LU-SGS implicit time advancement method was used for time advancement, the flux difference separation of Roe format was used for spatial processing, and the central difference format was used for viscous terms.
2.1.3. Simplified Simulation Method of Engine Jet Flow
Simulating the flow characteristics of a real engine is extremely complex. The turbofan engine of a modern mainline airliner is mainly composed of a fan, a compressor, a combustion chamber, a high-pressure turbine, and an exhaust system, and its flow characteristics involve complex internal and external flow problems such as intake and exhaust, compression, combustion, and expansion, which makes simulation very difficult to achieve with CFD. However, the internal flow field of the engine does not directly interfere with the aircraft, which is mainly reflected in the intake and exhaust effects. Therefore, in the present study, the inlet fan and outlet bypass were simplified to the mass flow boundary condition to simulate the dynamic effect of the jet flow, and the influence of different jet intensities on the wake flow was simulated by changing the total temperature of the outlet bypass.
2.2. Case Verification
2.2.1. Comparison of LES and RANS Methods
In order to meet the accuracy requirements and reduce the consumption of computing resources, LES and RANS methods were compared. The comparison model selects the standard model CHN-T2 with no nacelle configuration, uses multiple structured grids, and the total number of grids is about 16 million through grid independence verification. The final grid is shown in Figure 3. The simulated working condition is shown in Table 1.
Figure 3.
Grid of CHN-T2 without a nacelle.
Table 1.
Simulated working conditions of CHN-T2 with no nacelle configuration.
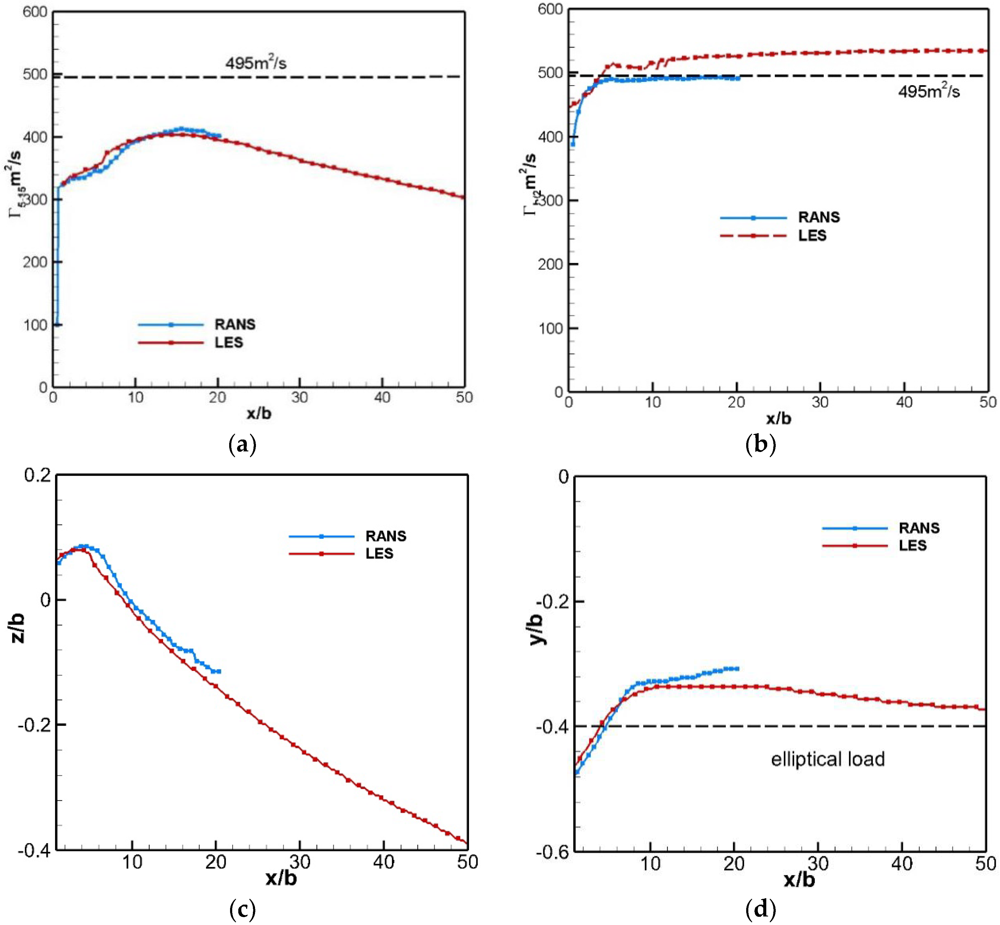
Figure 4 quantitatively shows the comparison results of using LES and RANS methods to simulate the wake vortex. For the average circulation of 5–15 m, the LES and RANS simulation results are relatively consistent. After 20 times the wingspan, the circulation keeps linear attenuation because the vorticity diffuses along the vortex radial direction. Half plane circulation obtained by LES simulation is about 9% higher than that of RANS simulation, which may be because the finer grid of LES simulation reduces the numerical dissipation of vortices. The overall deviation of the wake vortex motion trend obtained by the two calculation methods is no more than 10%. In general, the computational accuracy of the two methods is similar, but the RANS method saves computational resources greatly. Therefore, the RANS equation is selected for simulating the vortex behind an aircraft.
Figure 4.
Quantitative development of the wake vortex (comparison between RANS and LES). (a) 5–15 m average circulation (intensity). (b) Half-plane circulation (total intensity). (c) Sinking trajectory. (d) Spanwise trajectory.
2.2.2. TPS Wind Tunnel Test Model Validation
To verify the feasibility of the simplified simulation method of the engine jet flow, case verification work was carried out on the powered nacelle model with turbine dynamics simulation (TPS) experimental data. As far as the current experimental methods are concerned, the TPS method is the most advanced method to simulate the intake and exhaust of the engine. TPS technology can simulate 80% to 90% of the actual intake air at full scale (it cannot simulate the high-temperature gas flow of the exhaust core of the inner bypass, and the volume of the intake air is slightly smaller), and it can realistically simulate the characteristics of engine jet flow and inlet flow. Moreover, since the core airflow of a high-bypass ratio engine only accounts for a small portion of the total flow and is surrounded by the outer bypass airflow, the high-temperature flow of the inner bypass has very little effect on the total flow. The model selected for verification in this paper was the “NAL-AERO-02-01” TPS wind tunnel test model of the National Aerospace Laboratory (NAL) of Japan [22]. The two-dimensional half-mode contour data of the model are shown in Figure 5a, and the 3D modeling software (CATIA P3 V5-6R2020) was used to rotate the contour 360° around the axis to obtain the three-dimensional model of the corresponding power nacelle. The corresponding CFD calculation grid was an O-H structure grid, and the total number of grids was about 10 million through the grid independence verification. The model meridian mesh and surface mesh are shown in Figure 5b.
Figure 5.
“NAL-AERO-02-01” TPS experimental model. (a) “NAL-AERO-02-01” Meridian Diagram of the TPS Experimental Model. (b) “NAL-AERO-02-01” TPS Experimental Model Meridian Mesh and Surface Grid.
CFD calculations and analyses were performed on the inlet and exhaust flow fields of the nacelle (both Reynolds numbers are 1 × 106, based on the maximum diameter of the nacelle), and the three different operating conditions simulated are shown in Table 2. In the table, MFR is the Mass Flow Ratio at the inlet of the power nacelle, is the angle of attack of the incoming flow, is the total temperature ratio of the core exit of the power nacelle to the total temperature of the incoming flow at infinity, and is the ratio of the total temperature of the fan exit of the power nacelle to the total temperature of the incoming flow at infinity.
Table 2.
Calculation states of the “NAL-AERO-02-01” TPS model.
The comparison between the CFD calculations of the powered nacelle model and the TPS results of the three states is shown in Figure 6 (where “CFD” represents the CFD calculations and “Exp” represents the experimental results). It is the pressure distribution diagram of the meridian plane of the nacelle. In these three states, the pressure distribution appeared as an obvious low-pressure area near the fan inlet and the fan cowl, and then gradually rose at the fan exit and the core cowl. The reason is that it can be seen from Figure 7 (Mach number plot) that the speed increase at the fan inlet led to the pressure decrease, forming a low-pressure area, and then the airflow diffused and decelerated between the fan and the core fairing, resulting in the pressure gradually rising. From the calculation results in the Figure, the calculation of the pressure distribution on the surface of the fan cowl and the core cowl in these three states was shown to be in good agreement with the test results, and the engine jet flow was also well simulated. The results showed that the powered nacelle model and calculation method used in the present study are reasonable and feasible for simulating dynamic effects on the engine.
Figure 6.
Comparison of CFD results of TPS model with TPS experimental results.
Figure 7.
“NAL-AERO-02-01” Mach Number plot.
2.2.3. Verification of the Current around the Standard Model of a Typical Wing-Body Assembly
This section uses CFD methods to simulate wake flow and flow around the aircraft at cruising altitude. The accuracy of the current numerical method was verified by comparing it with the wind tunnel test data. Specifically, the turbulence simulation was performed using the method, the continuous equation and the momentum equation were solved coupled, and the half-mode grid was about 9 million. The numerical simulation used the transonic laminar flow standard model CRM-NLF geometry (NASA Langley Research Center, Hampton, VA, USA), which is a 1:19.2 scale model with a half-wingspan of 1.527 m, an average aerodynamic chord length of 0.364 m, and a reference area of 0.519 m2 (Figure 8). The experimental state was Ma = 0.8565, α = 1.98°, and Re = 1.495 × 107. The CRM-NLF wind tunnel experiment was carried out at the National Transonic Facility in the United States, which is a fan-driven reflux continuous wind tunnel; the width and height of the experimental section are 2.499 m and the length is 7.62 m.
Figure 8.
CRM-NFL model plan.
Table 3 shows the CFD calculated force coefficients compared to the experimental values. The difference between the lift and drag coefficient and the pitching moment coefficient was less than 5% of the experimental value. Figure 9 shows the pressure distribution spread to the different stations (all stations are indicated in Figure 8). Figure 9 shows that CFD predicts the shock wave position and lower surface pressure distribution accurately, the two-dimensional characteristics of the flow in the middle of the wing were obvious, and the prediction data were in the best agreement with the experimental data. In contrast, near the wing tip, the upper surface pressure distribution predicted by CFD was more obvious due to the occurrence of flow separation. In general, the current simulation methods met the needs of subsequent research.
Table 3.
Comparison of the force coefficients between the CFD simulations and experimental results.
Figure 9.
Comparison of the pressure coefficients at the different radial stations (CFD data: red mark, experimental data: black mark).
3. Results and Discussion
The standard model CHN-T2 was numerically simulated using the RANS method. The simulation conditions are shown in Table 4.
Table 4.
Simulated working conditions of CHN-T2 with the RANS method.
3.1. Comparison of the Effects between Nacelle and without Nacelle Configuration on Aircraft Wake Vortex
Figure 10 illustrates the wake flow morphology of an aircraft in the near field at different angles of attack. It can be seen that at 0 and 4 degrees of attack, the wingtip vortex, flat tail vortex, and fuselage turbulence were less affected by the engine nacelle. At an angle of attack of 0 degrees, the shear layer generated on the surface of the nacelle was rapidly dissipated and was almost invisible in the x = 74 m section. At the cruising angle of attack, two relatively concentrated vortices converged behind the nacelle, including positive and negative vorticity, respectively. As can be seen from Figure 10, the separation flow on both sides of the junction between the engine pylon and wing produced positive and partial negative vorticity; however, because the flow here may have strong unsteady characteristics, the positive and negative vorticities mixed and dissipated rapidly, which had no obvious effect on the far-field wake flow. Negative vortices behind the nacelle were dominated by the nacelle shear layer and separated flow, and the streamline had an obvious winding trend and formed a nacelle vortex on the side of the nacelle near the wingtip, which continued to develop along the flow direction and becomes part of the wake multi-vortex system in the far-field. At an angle of attack of 4 degrees, the wake flow was significantly disturbed by the nacelle. As can be seen from Figure 11, although the overall morphology of the pressure distribution was similar, the streamlines near the wing root were more chaotic in the nacelle example. As can be seen in Figure 11b, the existence of the nacelle caused the flow to be compressed earlier. Behind the nacelle, the flow generated shock waves on the upper surface earlier, the pressure of the fluid passing through the shock wave increased rapidly, and the velocity decreased rapidly, resulting in earlier separation of the flow. Figure 11a shows that the flow separation region in the nacelle study was larger, and the separation was stronger, which ultimately corresponds to the two concentrated negative vorticity regions in Figure 10c.
Figure 10.
Comparison of the near field wake flow with and without engine nacelles (without nacelle example on the left). (a) Angle of attack 0 degrees; (b) angle of attack 1.71 degrees; (c) angle of attack 4 degrees.
Figure 11.
Upper wing pressure and Mach number distribution (angle of attack 4 degrees). (a) Upper surface pressure and streamline distribution. (b) Mach number distribution on the meridian plane of the nacelle.
Due to the limitation of the article, this section only analyzes the wake vortex evolution results of the configuration at the cruising angle of attack (1.71°). Figure 12 and Figure 13 show the evolution of the wake vortex with and without nacelle configurations at an angle of attack of 1.71 degrees, respectively. It can be seen that in both cases, around 1.8 times the wingspan, the wake flow structure was relatively similar, and the wingtip vortex was also clearly visible. In the nacelle example, the shedding vortex generated by the nacelle and the engine pylon was also significant. At x = 1.8b, the vortex symbol of the nacelle vortex was consistent with that of the wingtip vortex, and the position was close to that of the flat tail vortex.
Figure 12.
Evolution of far-field wake vortex without nacelles (angle of attack 1.71 degrees).
Figure 13.
Evolution of the far-field wake vortex with nacelles (angle of attack 1.71 degrees).
As can be seen in Figure 12a, at 11.8 times the wingspan behind the wing, the vortex layer rapidly developed into multiple relatively independent vortices, becoming a complex multi-vortex system. The wingtip vortex and one of the vortices experienced significant induced corotation, which is due to the interaction between shock wave and vortex in the flow field, and they began to merge at 31.7 times the wingspan. At the same time, Figure 12c shows that the two vortices fused at 41.7 times the wingspan. However, their morphology was irregular until the wingtip vortex returned to an approximately circular shape at 51.6 times the wingspan. At this time, small negative vorticities and flat tail vortices can still be observed, which will also be absorbed by the fusion or instability of the wing main vortex in the subsequent wake evolution. In the nacelle example, the wingtip vortex and the adjacent negative vorticity fused more quickly, which is because of the rapid fusion between the nacelle vortex and the inner wing vortex, leading to the absorption of more vortex volume in the subsequent development of the inner wing vortex and thus to the faster fusion of the nacelle vortex and the inner wing vortex. A three-vortex system (one positive vortex and two negative vortices) similar to that of the non-nacelle case can be significantly observed at 21.7 times the wingspan. The system was maintained to 51.6 times the wingspan.
As can be seen from the Figure, the inner wing vortex in the nacelle example was relatively strong, with Figure 13c showing that the radius of the vortex core was close to that of the wingtip vortex. In contrast, the inner wing vortex in Figure 12c was significantly smaller than the wingtip vortex. The reason is that the nacelle vortex quickly fused with the inner wing vortex in the initial stage, which further leads to the fact that the inner wing vortex can fuse more vorticities in the subsequent development and finally change the intensity ratio of the wingtip vortex and the inner wing vortex.
Figure 14 illustrates the evolution of the wake vortex parameters in the abovementioned example. In the figure, the half-plane circulation is obtained by integrating vorticity with r = 24 m. In the initial stage, the wingtip vortex moved away from the symmetry plane (the absolute value of the y-coordinate is larger). Under the interaction of the wingtip vortex, the flat tail vortex, and the mirror vortex about the symmetry plane, two vortices were intertwined with each other and gradually moved away from the symmetry plane, and at 50 times the wingspan, the flat tail vortex had moved from the symmetry plane position to −30 m (−0.5b). It is worth noting that the distribution of lift at the cruising angle of attack was more elliptical, with the main vortex eventually rolled up at the wingtip; Figure 14a shows its initial spread position at −30 m. Although the flat tail vortex rose to a certain extent or resides at a height 50 times the wingspan, it generally showed a tendency to sink with the main vortex of the wingtip. This is because of the interaction between the wingtip main vortex and the flat tail vortex. In addition, Figure 14b shows that the weakened wingtip vortex in the nacelle example led to a decrease in the sinking velocity and an increase in the sinking velocity of the flat tail vortex. Figure 14c shows that flat tail vortex circulation is significantly smaller than the total wake circulation in the cruising state, accounting for only about 15%. This is due to the fact that the pitching moment of the aircraft is smaller in the cruising state, and the negative lift generated by the trim is correspondingly smaller. Figure 14c calculates a half-plane circulation quantity, and the half-plane circulation quantity is an integral of vorticity carried out in accordance with r = 24 m. At position x/b = 20, the flat-tail vortex moved beyond the integral radius, resulting in an increase in the vorticity quantity between wings. This resulted in the increase at the position of x/b = 20 in Figure 14c.
Figure 14.
Quantitative parameters of wake vortex far-field evolution (angle of attack 1.71 degrees). (a) Spanwise displacement. (b) Longitudinal displacement. (c) Circulation evolution (intensity).
In summary, the effect of the nacelle on the strength of the wake vortex can be almost ignored, but due to the additional interference of the nacelle vortex, the composition of the wake vortex system changed significantly, resulting in a certain degree of change in the trajectory of the wake main vortex.
3.2. Effect of Engine Jet Intensity on Aircraft Wake Vortex
Due to the small proportion of the inner bypass flow in the total flow, in order to simplify the simulation, the influence of the inner bypass was further ignored, and only the outer bypass jet flow was simulated. Table 5 shows the different jet intensities simulated, with total nozzle temperatures of 300 K, 400 K, and 500 K, with the 300 K weak jet flow being close to the real engine jet and the medium and strong jet being ideal. Due to space constraints, this section only calculates the cruising angle of attack (1.71°) case.
Table 5.
Sets of different jet intensities for the engine.
Figure 15 shows that at an angle of attack of 1.71 degrees, the near-ground wake patterns were almost identical under the influence of different engine jet flow intensities. With the increase in jet intensity, the vortices of the nacelle vortex decreased significantly, especially when the total temperature ratio was 2.31, and the nacelle vortex system completely merged into a relatively weak negative vortex. This is due to the existence of engine jets, which strengthened the turbulent mixing in the wake region of the nacelle, which made the nacelle vortex system dissipate rapidly. Moreover, the wake region of the jet flow was relatively small, and it was almost unaffected by the parts that are far from the nacelle, such as the wingtip vortex and the flat tail vortex.

Figure 15.
Near field wake vortex morphology (1.71 degrees angle of attack) under different jet intensities.
Figure 16, Figure 17 and Figure 18 illustrate the far-field wake vortex patterns at different jet flow intensities at cruising angles of attack. The disturbance caused by the jet flow is mainly reflected in the fusion process of the nacelle vortex and the wing vortex layer: the jet wake area identified in Figure 16, Figure 17 and Figure 18 and the vortex layer of the inner wing segment induced each other to form an inner wing vortex. The strip structure near the nacelle vortex gradually converged, first forming an elliptical vortex and finally developing into a more regular circle. However, with the increase in jet flow intensity, this process gradually slowed down. Figure 16a shows that the inner wing vortex was still relatively flat at 11.8 times the wingspan behind the wing.
Figure 16.
Evolution of the far-field wake vortex with weak jet flow (angle of attack 1.71 degrees, T0,2 = 300 K).
Figure 17.
Evolution of the far-field wake vortex at a medium jet flow (angle of attack 1.71 degrees, T0,2 = 400 K).
Figure 18.
Evolution of the far-field wake vortex at a strong jet flow (angle of attack 1.71 degrees, T0,2 = 500 K).
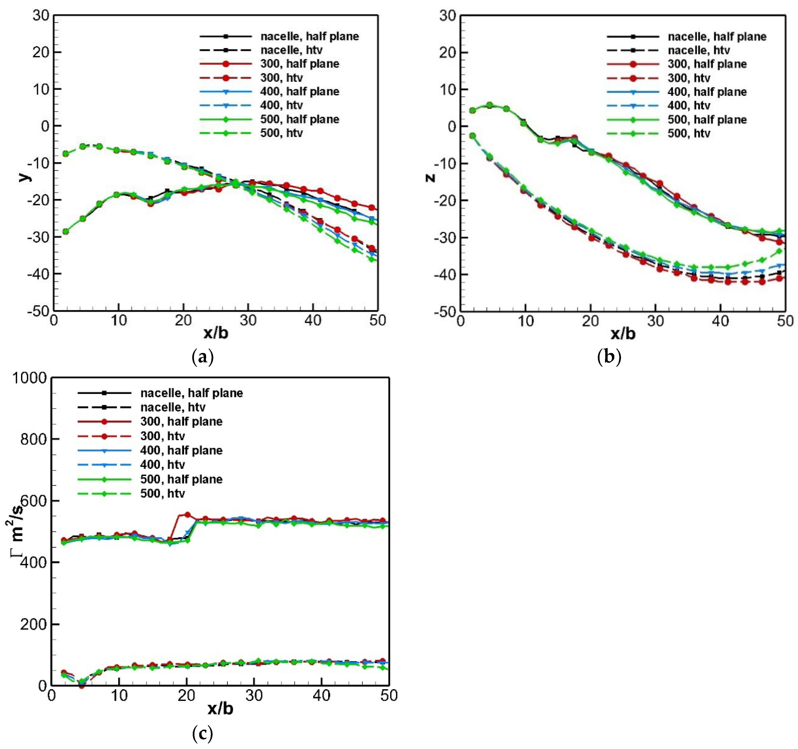
Figure 19 quantitatively shows the wake vortex trajectory and circulation at the cruising angle of attack. Although the jet flow intensities were different, the strength of the half-plane vortex and the intensity of the flat-tail vortex were almost identical. The increase in the jet flow intensities had a certain degree of impact on the position of the vortex system, and the flat tail trajectory gradually rose in the 20× to 50× wingspan region and gradually shifted away from the symmetry plane. At the same time, the trajectory of the main vortex also showed a tendency to shift away from the symmetry plane. As can be seen from Figure 18, the vortex that produces negative radial velocity for the main vortex and the flat tail vortex was the inner wing vortex (the negative vortices correspond to the clockwise induced velocity), which indicates that the inner wing vortex is strengthened to a certain extent under the action of the jet. The induced velocity is also increased accordingly. After 40 times the wingspan, the flat tail vortex showed a high degree of residence or rebound, which is due to the upward-induced velocity of the main vortex and the inner vortex.
Figure 19.
Quantitative parameters of the far-field evolution of the wake vortex with different jet intensities (angle of attack 1.71 degrees). (a) Spanwise displacement. (b) Longitudinal displacement. (c) Circulation evolution (intensity).
4. Conclusions
At present, there are few wind tunnel experiments or numerical simulation studies on the wake vortex of large civil aircraft, and even fewer studies on the dynamic effects of the wake vortex of large civil aircraft. Thus, this study used the RANS method to carry out numerical simulations for the standard model of a CHN-T2 powered nacelle and to analyze the characteristics and development law of engine nacelle and jet flow parameters on the wake vortex of large aircraft.
(a) The total strength of the wake vortex (half-plane circulation) was roughly proportional to the lift generated by the wing, especially at the cruising angle of attack; when the lift distribution was well in line with the elliptical distribution, the strength and trajectory of the wake vortex were consistent with the theoretical solution;
(b) The engine nacelle will have a significant impact on the morphology of the aircraft wake flow because the nacelle shear flow and separation flow will form a small vortex with the same symbol as the wingtip vortex, which will finally merge with the inner wing vortex at the wing-body combination, change the intensity ratio of the inner wing vortex and the wingtip vortex, and then affect the position and strength of the main vortex in the wake system, but the presence of the nacelle will not significantly change the total strength of the wake vortex (half plane circulation);
(c) The axial high-speed flow brought about by the engine dynamic effect gives the vortex structure in the nacelle wake area a higher flow velocity. The vortex age of the nacelle vortex is smaller when observed from the same flow direction station, which is also one reason for the difference in wake under different jets;
(d) The engine jet intensity brings additional turbulent mixing, which accelerates the fusion of nacelle vortices and eventually changes the intensity ratio of the inner wing vortex and the wingtip vortex, affecting the trajectory of the main wake vortex.
Only a small amount of research has been carried out on the LES method, and the RANS method was used in this research due to the limitation of the research period, which led to a gap between LES and LES calculation accuracy. In the follow-up study, RANS will be considered to simulate the near-field wake of the front aircraft in the whole research cycle to consider the real aircraft configuration and the wake roll-up process. Then, the flow section of RANS calculation results will be extracted as the entrance boundary, and LES will be used to simulate the far-field evolution of the wake vortex so as to ensure the simulation accuracy of wake vortex/rear aircraft interaction to the greatest extent. To conclude, the study assumed the wide-body powered nacelle aircraft as the object and studied the influence of nacelle and jet intensity on wake vortex, which provides a corresponding reference for subsequent research on the influence of powered nacelle on wake vortex.
Author Contributions
Conceptualization, J.W. (Junqiang Wu) and Y.T.; Methodology, N.X.; Software, H.W.; Validation, Q.G.; Formal analysis, J.W. (Jifei Wu); Investigation, G.L.; Resources, D.L.; Writing—original draft, H.W. All authors have read and agreed to the published version of the manuscript.
Funding
This research received no external funding.
Data Availability Statement
The datasets used or analyzed during this study are available from the corresponding author on reasonable request.
Conflicts of Interest
The authors declare no conflicts of interest.
Nomenclature
| fluid density | |
| fluid viscosity coefficient | |
| average velocity component | |
| b0 | initial vortex spacing |
| pulsating velocity component | |
| velocity in the direction in the calculation domain | |
| velocity in the direction in the computational domain | |
| fluid pressure | |
| explanations for buoyancy terms | |
| stress tensor component | |
| turbulent kinetic energy | |
| generation of | |
| turbulent Prandtl numbers for | |
| turbulent Prandtl numbers for | |
| N | BV frequency |
| vortex circulation | |
| turbulent viscosity | |
| Abbreviations | |
| BV | Brunt–Väisälä |
| CFD | Computational Fluid Dynamic |
| RANS | Reynolds averaged Navier–Stokes equation |
| MFR | mass flow rate |
| LES | Large eddy simulation |
| TPS | turbine dynamics simulation |
| PIV | high-speed particle image velocimetry |
| total temperature ratio | |
| T0,2 | total temperature at the outlet of the bypass |
References
- Gerz, T.; Holzapfel, F. Wing-Tip Vortices, Turbulence, and the Distribution of Emissions. AIAA J. 1999, 37, 1270–1276. [Google Scholar] [CrossRef]
- Crow, S.C. Stability Theory for a Pair of Trailing Vortices. AIAA J. 1970, 8, 2172–2179. [Google Scholar] [CrossRef]
- Zhou, J.; Chen, Y.; Li, D.; Zhang, Z.; Pan, W. Numerical Simulation of Aircraft Wake Vortex Evolution and Wake Encounters Based on Adaptive Mesh Method. Eng. Appl. Comput. Fluid Mech. 2020, 14, 1445–1457. [Google Scholar] [CrossRef]
- De Visscher, I.; Bricteux, L.; Winckelmans, G. Aircraft Vortices in Stably Stratified and Weakly Turbulent Atmospheres: Simulation and Modeling. AIAA J. 2013, 51, 551–566. [Google Scholar] [CrossRef]
- Li, D.; Xu, Z.; Zhang, K.; Zhang, Z.; Zhou, J.; Pan, W.; Wang, X. Study on the Influence of Linear and Nonlinear Distribution of Crosswind on the Motion of Aircraft Wake Vortex. Proc. Inst. Mech. Eng. Part G J. Aerosp. Eng. 2021, 235, 1981–1990. [Google Scholar] [CrossRef]
- Luo, H.; Pan, W.; Wang, Y.; Luo, Y. A330-300 Wake Encounter by ARJ21 Aircraft. Aerospace 2024, 11, 144. [Google Scholar] [CrossRef]
- Lin, M.; Cui, G.; Zhang, Z.; Xu, C.; Huang, W. Large eddy simulation on the evolution and the fast-time prediction of aircraft wake vortices. Chin. J. Theor. Appl. Mech. 2017, 49, 1185–1200. [Google Scholar] [CrossRef]
- Xu, Z.; Li, D.; An, B.; Pan, W. Enhancement of Wake Vortex Decay by Air Blowing from the Ground. Aerosp. Sci. Technol. 2021, 118, 107029. [Google Scholar] [CrossRef]
- Holzäpfel, F.; Strauss, L.; Schwarz, C. Assessment of Dynamic Pairwise Wake Vortex Separations for Approach and Landing at Vienna Airport. Aerosp. Sci. Technol. 2021, 112, 106618. [Google Scholar] [CrossRef]
- Chen, J.; Wu, Y.; Hua, O.; Wang, A. Research on the Ground Vortex and Inlet Flow Field under the Ground Crosswind Condition. Aerosp. Sci. Technol. 2021, 115, 106772. [Google Scholar] [CrossRef]
- Xu, Z.; Li, D.; Cai, J. Long-Wave Deformation of in-Ground-Effect Wake Vortex under Crosswind Condition. Aerosp. Sci. Technol. 2023, 142, 108697. [Google Scholar] [CrossRef]
- Holzäpfel, F.; Tchipev, N.; Stephan, A. Wind Impact on Single Vortices and Counterrotating Vortex Pairs in Ground Proximity. Flow Turbul. Combust. 2016, 97, 829–848. [Google Scholar] [CrossRef]
- de Carvalho, G.F.M.; Vidille, M.F.; Bimbato, A.M.; Alcântara Pereira, L.A. Lagrangian Vortices Interactions Using Large-Eddy Simulation (LES) and Surface Roughness Model—Application for Aircraft Wake Vortices with Crosswind. Appl. Sci. 2023, 13, 12336. [Google Scholar] [CrossRef]
- Stephan, A.; Rohlmann, D.; Holzäpfel, F.; Rudnik, R. Effects of Detailed Aircraft Geometry on Wake Vortex Dynamics during Landing. J. Aircr. 2019, 56, 974–989. [Google Scholar] [CrossRef]
- Allen, A.; Breitsamter, C. Landing Gear Influence on the Wake Vortex of a Large Transport Aircraft. J. Aircr. 2008, 45, 1367–1372. [Google Scholar] [CrossRef]
- Zhong, Y.; Ma, H.; Guo, J. Multi-Scale Proper Orthogonal Decomposition (mPOD) Analysis of Vortex Evolution and Viscous Dissipation in a Circular-Cylinder Wake Controlled by Parallel Symmetric Jets. Ocean. Eng. 2023, 289, 116280. [Google Scholar] [CrossRef]
- Gao, D.; Chen, G.; Min, X.; Chen, W. Wake-Vortex Evolution behind a Fixed Circular Cylinder with Symmetric Jets. Exp. Therm. Fluid Sci. 2022, 135, 110629. [Google Scholar] [CrossRef]
- Jacquin, L.; Molton, P.; Loiret, P.; Coustols, E. An Experiment on Jet-Wake Vortex Interaction. In Proceedings of the 37th AIAA Fluid Dynamics Conference and Exhibit, Miami, FL, USA, 25–28 June 2007; American Institute of Aeronautics and Astronautics: Boonville Township, MO, USA, 2007. [Google Scholar]
- Depommier, G.; Labbe, O.; Sagaut, P. Evolution Analysis of the Main Mechanisms of the Jet/Vortex Interaction. In Proceedings of the 39th AIAA Fluid Dynamics Conference, San Antonio, TX, USA, 22 June 2009; American Institute of Aeronautics and Astronautics: Boonville Township, MO, USA, 2009. [Google Scholar]
- Margaris, P.; Marles, D.; Gursul, I. Experiments on Interaction of a Jet with a Trailing Vortex. In Proceedings of the 45th AIAA Aerospace Sciences Meeting and Exhibit, Reno, NV, USA, 8 January 2007; American Institute of Aeronautics and Astronautics: Boonville Township, MO, USA, 2007. [Google Scholar]
- Menter, F.R. Review of the Shear-Stress Transport Turbulence Model Experience from an Industrial Perspective. Int. J. Comput. Fluid Dyn. 2009, 23, 305–316. [Google Scholar] [CrossRef]
- Hirose, N.; Keisuke, A.; Ryuma, K.; Katuya, I. Euler flow analysis of turbine powered simulator and fanjet engine. J. Propuls. Power 1991, 7, 1015–1022. [Google Scholar] [CrossRef]
Disclaimer/Publisher’s Note: The statements, opinions and data contained in all publications are solely those of the individual author(s) and contributor(s) and not of MDPI and/or the editor(s). MDPI and/or the editor(s) disclaim responsibility for any injury to people or property resulting from any ideas, methods, instructions or products referred to in the content. |
© 2024 by the authors. Licensee MDPI, Basel, Switzerland. This article is an open access article distributed under the terms and conditions of the Creative Commons Attribution (CC BY) license (https://creativecommons.org/licenses/by/4.0/).



















