Abstract
In the context of frequent public emergencies, emergency logistics distribution is particularly critical, and because of the unique advantages of unmanned aerial vehicles (UAVs), the model of coordinated delivery of vehicles and UAVs is gradually becoming an essential form of emergency logistics distribution. However, the omission of start-up costs prevents the cost of UAV battery replacement and the sorting, assembly and verification of packages from being factored into the total cost. Furthermore, most existing models focus on route optimization and delivery cost, which cannot fully reflect the customer’s desire for service satisfaction under emergency conditions. It is necessary to convert the unsatisfactory degree of time window into a penalty cost rather than a model constraint. Additionally, there is a lack of analysis on the mutual waiting cost between vehicles and UAVs when one of them is performing delivery tasks. Considering the effects of the time window, customer demand, maximum load capacity, and duration of distribution benefits, we propose a collaborative delivery path optimization model for vehicles and UAVs to minimize the total distribution cost. A genetic algorithm is used to obtain the model solution under the constraints of distribution subloops, distribution order, and take-off and landing nodes. To assess the efficacy of the vehicle and UAV collaborative delivery path optimization model, this paper employs a county-level district in Xi’an city as a pilot area for an emergency delivery. Compared with the vehicle-alone delivery model, the UAV-alone delivery model and vehicle-UAV collaborative delivery model, this model can significantly reduce the utilization of distribution vehicles while also significantly lowering the start-up cost, waiting cost and penalty cost. Thus, the model can effectively improve delivery timeliness and customer satisfaction. The total cost of this model is 39.2% less than that of the vehicle-alone delivery model and 16.5% less than that of the UAV-alone delivery model. Although its delivery cost is slightly higher than the vehicle-UAV collaborative delivery model, the reduction in the start-up cost and penalty cost decrease the overall cost of distribution by 11.8%. This suggests that to cut costs of all sizes and conserve half of the resources used by vehicles, employing the vehicle-UAV collaborative delivery model for emergency distribution is preferable. Moreover, the model integrating the start-up cost, penalty cost, waiting cost, etc., can more effectively express the requirements of timeliness for UAV delivery under emergency conditions.
MSC:
46N10; 90B06
1. Introduction
In recent years, public emergencies have introduced new challenges that do not adhere to the boundaries, and COVID-19 is one of the most typical public health emergencies. Due to the significant explosion of COVID-19 cases, e-commerce in China has grown rapidly, and online shopping has become a common way for people to buy daily necessities. The dramatic increase in online shopping customers has created an enormous challenge in managing the volume of emergency logistics distribution operations in these areas when faced with public emergencies. How to improve distribution efficiency, increase customer satisfaction and reduce distribution costs when facing unexpected public events has become the core issue of emergency logistics distribution. Scholars’ research on the cooperative vehicle and UAV distribution problem is still in the initial stages, and the research direction of this problem is mainly divided into two aspects; one is the vehicle path problem with UAV (VRP-D) and the other is the traveler problem with UAV (TSP-D). Research results on the vehicle path problem with UAV are few, as most of the research focuses on the traveler with a UAV problem. Typically, Murray and Chu [1] studied tandem distribution and parallel distribution and summarized tandem distribution as the flying-partner traveler problem (FSTSP), in which a nonlinear integer-programming model was developed by vehicle loading of a UAV and taking off and landing at the vehicle route demand point in this TSP problem. Agatz et al. [2] further proposed the TSP-D problem by optimizing the UAV landing conditions to construct a nonlinear integer-programming model that allowed the takeoff and landing of UAVs to be at the same demand point. Marinelli et al. [3] also simplified the model of the traveler problem with UAVs by modeling the idea that UAVs and vehicles constituted the distribution unit with cost as the objective function. Subsequently, Bouman et al. [4] proposed an exact algorithm based on dynamic programming to solve the algorithmic shortcomings of the flying sidekick traveling salesman problem (FSTSP). In addition, de Freitas and Penna [5] proposed a stochastic neighborhood search algorithm to solve the flying partner traveler problem. For the vehicle path problem with UAVs, Wang et al. [6] constructed an applied marginal effect model for solving the vehicle path problem with UAVs and proved that the tandem delivery model took less time for delivery compared with the traditional vehicle delivery model, while Poikonen et al. [7] provided a solution for VRP-D considering battery life and cost constraints. Carlsson and Song [8] argued that the improvement in delivery efficiency was proportional to the square of the speed ratio of the vehicle as well as the UAV. Schermer et al. [9] used the objective function of the heterogeneous delivery problem (HDP) as the objective function of the TSP-D and considered only the case where the UAV took off and landed from the vehicle at the node, thus transforming the vehicle path problem with UAVs to the generalized travel merchant problem (GTSP). In addition to this, Wang and Bai [10] explored the cost optimization problem of collaborative vehicle and UAV delivery paths, while Ren et al. [11] investigated the similarities and differences between four delivery models, vehicle-supported UAV, UAV-supported vehicle, UAV and vehicle independent, and UAV and vehicle synchronization. Considering that the vehicle was released at a temporary stopping point and waited for the return of the UAV, Hu et al. [12] and Crişan et al. [13] also studied the problem of the vehicle and UAV collaborative delivery of travelers.
Various studies have investigated the operation of UAVs with the vehicle optimization method. Wang et al. [14] studied a novel routing and scheduling algorithm called the hybrid truck-drone delivery (HTDD) algorithm to solve the hybrid-parcel delivery problem in which UAVs carried by trucks and independent UAVs work together to deliver parcels to customers dispersed across a large region. The experimental findings demonstrated that the proposed algorithm outperformed the currently used options, which used either independent UAVs or UAVs transported by trucks. Wu et al. [15] formulated the cooperative path-planning problem of UAV and UGV systems into the 0–1 optimization problem in which authors used the estimation of the distribution algorithm and a genetic algorithm to generate the circular paths for the UAVs and minimize the travel time for realizing complete coverage. Peng et al. [16] proposed a novel hybrid genetic algorithm with the composition of population management, heuristic population initialization, and population education, which allowed multiple UAVs carried by a ground vehicle to deliver multiple parcels to customers of different regions. To support last-mile delivery, Wang et al. [17] modeled a bi-objective travelling-salesman with a UAV optimization problem and solved this through the improved version of the non-dominated sorting genetic algorithm (INSGA-II). Gao et al. [18] combined UGVs and UAVs to study the customers’ allocations and route planning for delivering parcels with total minimum service time in a disaster area. Li et al. [19] developed a path-planning problem for the UAV/UGV cooperative system as a constrained optimization problem to detect illegal urban building detection through the limits of UAV load power, UGV speed, and UAV/UGV communication restrictions and proposed a two-level memetic algorithm to minimize the overall execution time of completing the illegal urban building detection tasks. Manyam et al. [20] presented a mixed integer linear programming formulation and developed a branch-and-cut algorithm to solve the path-planning problem for ground and air vehicles. Hu et al. [21] proposed a vehicle-assisted multi-UAV routing and scheduling problem and provided a vehicle-assisted multi-UAV routing and scheduling algorithm to maintain and update a memory containing candidate UAV routes iteratively. For performing complex missions, Arbanas [22] studied a symbiotic aerial vehicle and ground vehicle robotic team to include high-accuracy motion planning where UGVs assisted UAVs for a safe landing area and transported them across large distances. Liu et al. [23] investigated a novel two-echelon ground vehicle and mounted unmanned aerial vehicle cooperative routing problem for surveillance, intelligence, and reconnaissance missions and minimized the total mission time while meeting operational constraints. Wang et al. [24] investigated the cooperative path-planning problem of a UAV and a vehicle for transmission tower inspection and developed a new 0–1 integer-programming model to reduce the workload of inspectors and improve the inspection efficiency of urban transmission towers. Ding et al. [25] systematically investigated the recent research on the advances in UAV and UGV coordination systems from 2015 to 2020. For more recent research reviews, researchers can further explore studies [26,27,28,29,30] and references therein.
There are abundant achievements in the study of the time window of vehicle-UAV delivery. For example, Song et al. [31] set a long interval to represent a time window. Kuo et al. [32] applied a time window to prevent vehicles from traveling through certain arcs with less distance. Khoufi et al. [33] determined the optimized routes to be followed by the UAVs for data pickup and delivery with a time window using an intermittent connectivity network. However, these studies do not link the time window with a penalty closely enough, and only a few scholars like Yan [34] considered the cost of keeping the time window available. To improve the leading role of the time window in route scheduling, Sawadsitang et al. [35] and Ham [36] defined a broader time window and decomposed it into the most and second most preferred time windows. These schemes increase the complexity of the delivery system and are unsuitable for exploring reasonable routes. Therefore, Sajid et al. [37] proposed that UAV routing with time windows, multiple UAV control, multi-mode transportation and multi-objectives should be comprehensively considered. For fixed cost, Shavarani et al. [38] restricted the number of UAVs assigned to each facility, and calculated fixed cost based on the establishment costs of the facilities and costs of drone purchases. Van Steenbergen and Mes [39] argued that fixed costs and variable operational costs should be included in the distribution framework of vehicles and UAVs providing the transportation of relief goods. The goal of these studies is the same as that of Chiang et al. [40] and Kim et al. [41], which is to minimize UAV delivery system costs including the fixed cost of the vehicles plus the variable routing cost. The fixed cost, the cost of positioning the drone and using the drone station, has been incorporated into the objective function as an important part of the total cost [42,43]. Most existing models often ignore the start-up cost, which only requires the start and end at a specific depot of all vehicles and UAVs. Typically, Zhang et al. [44] and Sabo et al. [45] introduced starting points as vertices into the delivery network. However, Triche et al. [46] thought the initial operating model during the start-up of the UAV activity consisted of a human resource-based model, ensuring a team of individuals capable and certified to operate UAVs were present in the locations serviced. Further, Bahrainwala and Knoblauch [47] proposed that start-up costs be associated with acquiring innovative technologies, including bi-directional drone delivery systems. Although they did not describe how to measure the start-up cost. Only a few scholars, such as Cao et al. [48] and Berninzon et al. [49], proposed that the start-up cost is related to the number of vehicles or drone bases, and tried to take the start-up cost as a scheduling factor. In general, the joint delivery mode of vehicles and UAVs aims to minimize total delivery cost and maximize customer satisfaction [48]. For example, Li et al. [50] considered that improving the efficiency of the last-mile delivery and reducing delivery cost is an urgent and significant problem. Tang et al. [51] put forward an intelligent nest center system based on UAV to save UAV delivery costs. Scholars have recognized that UAVs are ideal for last-mile operation, which are expected to reduce delivery costs and delivery time [52]. For a long time, scholars thought that the penalty cost was more related to vehicle delivery, while there is almost no penalty on UAV delivery due to its timeliness, such as in the research conducted by Gao et al. [18]. Considering the breakdown conditions of UAVs, Sawadsitang et al. [53] argued earlier that suppliers must pay penalties consisting of compensation to customers for late delivery. Later, Das et al. [54] took the untimely delivery penalty as a constraint of vehicle-UAV delivery, but still didn’t design it as one of the scheduling objectives, so it lacked correlation with the penalty cost. After introducing a time window, Li et al. [55] and Lin et al. [56] aimed to minimize the penalty cost due to delivery tardiness, and divided penalty cost into delay penalty cost and early arrival penalty cost. In addition, Liu et al. [57] also put forward a novel integrated framework of UAV and road traffic for delay-sensitive delivery. Reducing customer waiting cost is an important goal of vehicle-UAV delivery [58], but scholars pay extra attention to it. Khamidehi et al. [59] found that it is more reasonable to provide a probabilistic upper-bound on the queue length of the packages waiting to be delivered. Boyles and Zhu [60] embedded the waiting cost as a sub-problem into the electric vehicle route. Based on determining which customers should be served by UAVs, Moshref et al. [61] minimized the sum of customer waiting times. However, there is a lack of analysis on the mutual waiting cost between vehicles and UAVs in existing studies. Only Lemardel et al. [62] explored the problem of vehicles waiting for dispatched UAV returns. Notably, Gharib et al. [63,64] developed an integrated model for planning the delivery of construction materials to post-disaster reconstruction projects and an integrated model for the distribution of post-disaster temporary shelters after a large-scale disaster. They effectively integrated the time window, route constraint, distribution cost, etc., so as to minimize the maximum service time, maximize the route reliability and minimize the unmet demand, which is of great reference significance.
Throughout the existing literature, vehicle-UAV delivery has been widely recognized as an effective solution to last-mile operation. There are a large number of scheduling models to promote delivery efficiency, customer satisfaction, cost reduction, etc. Related studies have realized optimal route exploration, total cost minimization or multi-objective scheduling for vehicle-UAV delivery. Fixed cost, time window, penalty coefficient and waiting time are more or less discussed in existing studies, which provides a reference for the realization of the comprehensive efficiency maximization model. However, designing a complex time window and taking it as a model constraint cannot fully reflect the customer’s desire for service satisfaction under emergency conditions. It is necessary to convert the unsatisfied degree of time window into penalty cost and include it in the total cost, so as to better express the strict requirements for the time window when emergencies occur. Most of the existing models tend to ignore the start-up cost, but in fact there are considerable manual and machine operation costs for the battery replacement of UAVs and sorting, assembling or verifying of packages. Additionally, the waiting cost is often interpreted as the cost of not meeting the time window, which means that the waiting cost has the same effect as the penalty cost. As a result, there is a lack of analysis on the mutual waiting cost between vehicles and UAVs when one is performing delivery tasks. Especially when an emergency occurs, the waiting cost and penalty costs that reflect the delivery timeliness and customer satisfaction are more important. Therefore, comprehensively considering customer satisfaction, mutual waiting and route optimization to reduce the overall cost has become a core problem in the vehicle-UAV delivery model.
In view of the facts, this paper constructs a vehicle and UAV collaborative distribution path optimization model with minimum total distribution cost, taking into account the constraints of the time window, customer demand, maximum load weight, start-up cost, waiting cost, etc. to improve the distribution efficiency and finally maximize the overall benefits of distribution. The Section 2 consists of the theoretical framework and model construction. The Section 3 presents the algorithm solution of the research model. The Section 4 draws together research findings and gives practical suggestions. The Section 5 includes conclusions and future works.
2. Problem Description and Model Construction
2.1. Problem Description
The vehicle and UAV collaborative distribution model is actually a logistics service model in which the vehicle and UAV jointly complete multiple distribution tasks (Figure 1). This model is more suitable for emergency distribution. The vehicle carries the UAV and materials that need to be distributed from the distribution center and arrives at the customer point for distribution according to the route planned in advance. At the same time, the UAV automatically picks up the materials that need to be distributed on the vehicle and goes to another customer point for distribution. When the UAV finishes its assigned delivery tasks, it automatically flies to the customer point where the vehicle is currently located and then immediately carries out the next delivery after picking up goods and replacing batteries, and so on, until the vehicle and UAV together have completed all the delivery tasks, and then both return to the distribution center. Additionally, because there are usually limitations on the vehicle and UAV delivery process in terms of UAV load, flight distance, delivery sequence, and endurance time, as well as vehicle load and stopping nodes, the core of the study is to explore how to plan the vehicle and UAV paths to minimize the total delivery cost.
Figure 1.
Schematic diagram of coordinated delivery between vehicles and UAVs.
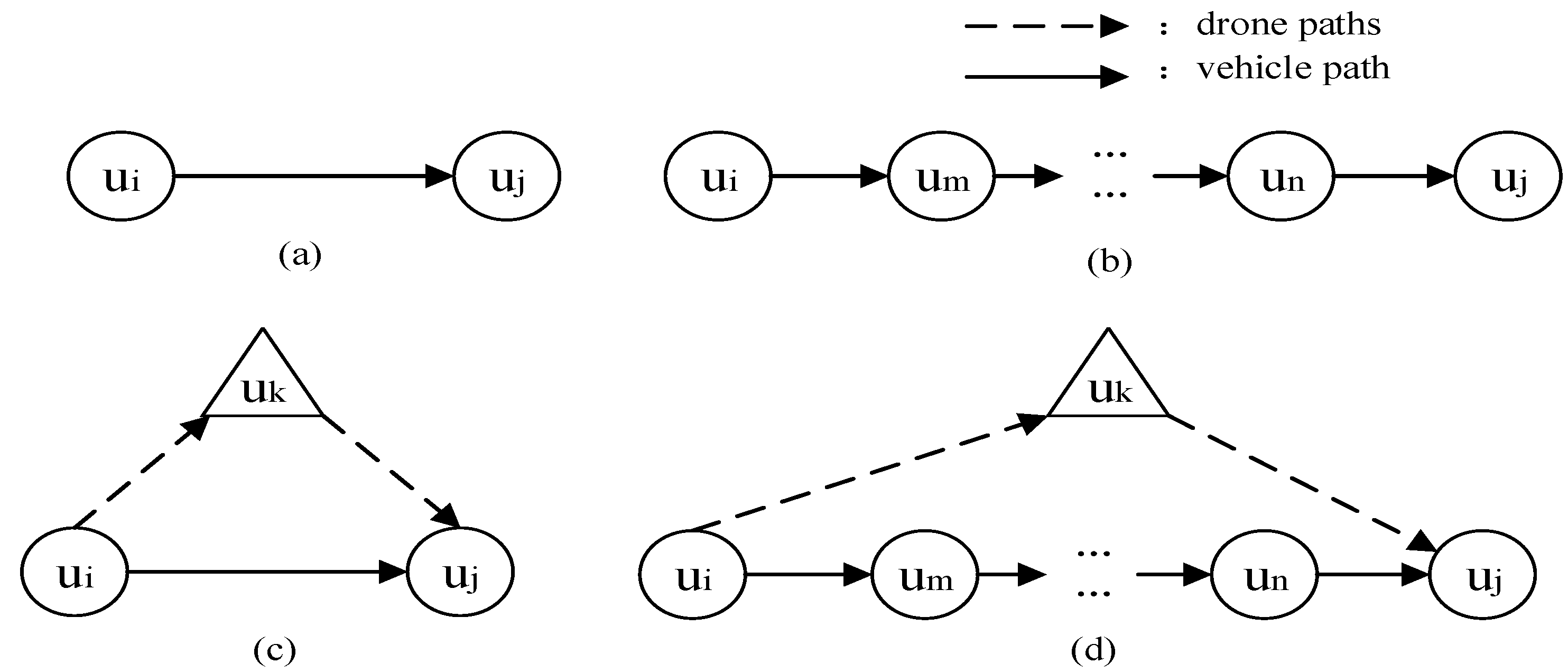
Notably, in the vehicle and UAV collaborative distribution model, each distribution path is a combination of the vehicle path and UAV path. Therefore, there will be multiple basic distribution units. For example, Figure 2a indicates a vehicle distribution path, and the UAV is not involved in distribution in this section of the path. Further, the UAV is charging on the vehicle. Figure 2b indicates a section of the path of continuous vehicle distribution, at which time the UAV is also not involved in distribution; Figure 2c indicates the primary distribution unit path of the UAV, which contains the UAV take-off point, UAV distribution point and UAV landing point, where both the take-off point and landing point are vehicle distribution customer points; Figure 2d indicates that there are multiple consecutive vehicle distribution customer points in the basic distribution unit of the UAV. The vehicle and UAV collaborative distribution is a relatively flexible and responsible distribution process. To facilitate the abstract distribution process and simplify the model formulation, assumptions are made before constructing the optimization model: (1) the nodes for UAV take-off and landing can only be distribution centers, vehicles or customer nodes; the demand of customer points for UAV distribution less than the maximum load limit of the UAV; and the demand of each demand point through distribution; (2) the model and all parameters of each UAV are the same; and there are restrictions on the maximum flight distance, maximum load weight and maximum endurance time; and it can only deliver to customers whose demand is less than its maximum load weight; (3) all parameters of each vehicle are the same, and the maximum range and maximum endurance time of the vehicle are not considered, and there is no congestion in the process of delivery by the vehicle. (4) Since the emergency customer points are too scattered, it is set that the UAV can only serve one customer point in a single take-off, and after the UAV takes off, the vehicle can distribute to multiple customers; (5) Each customer node is served once by the vehicle or UAV, with the same service time and no repeated service; and the vehicle and UAV it carries must return to the distribution center after completing all distribution tasks.
Figure 2.
Basic unit for collaborative vehicle and UAV delivery. (a) Vehicle distribution path without UAV; (b) Continuous vehicle distribution; (c) Primary distribution unit path of UAV; (d) Vehicle and UAV collaborative distribution.
2.2. Model Construction
2.2.1. Model Notation
Referencing the hypothesis in the literature [31,65], a customer is defined as being covered by a stopped vehicle only if the customer is within the flight range of the UAV, and the flight time of a UAV is very significantly affected by the number of loaded products. The vehicle and UAV collaborative distribution path optimization model assumes a given distribution center with vehicles and logistics UAVs to deliver materials to customer points with known demand at each customer point , maximum vehicle load weight , UAV maximum flight time , time windows and other conditions, distribution route planning with the goal of minimizing the total cost, according to the model assumptions, as shown in the model notation in Table 1:
Table 1.
Model parameters and their meanings.
According to the UAV delivery model, since the flight path of the UAV in the delivery process is a straight-line distance between two customer points, it is known to have . If the UAV uses in-situ take-off and landing, the vehicle releases the UAV at the customer point , and the UAV flies to the customer point for delivery. In this process, the vehicle waits for the UAV at the customer point , the UAV completes delivery and returns to the vehicle location, the vehicle carries the UAV to the customer point for delivery, and the total time spent in the whole process is If the UAV adopts the off-site take-off and landing method, then it means explicitly that the vehicle delivers at the customer point and releases the UAV at the customer point . The UAV flies to the customer point for delivery, and the vehicle travels to the customer point for delivery. After the UAV completes the delivery task at the customer point , it flies to the customer point to rendezvous with the vehicle, and the total time spent for this whole process is .
2.2.2. Objective Function
The vehicle and UAV collaborative distribution path optimization model aims to minimize the total distribution cost, which is composed of five main components and can be expressed as . Among these, the fixed cost of the vehicles and UAVs is related to the number of vehicles and UAVs used to perform distribution tasks, and is calculated as the product of the number of vehicles and UAVs and their respective fixed costs, and then summed up to . The start-up cost of vehicles and UAVs represents the cost incurred for sorting, assembling and verifying distribution materials before the vehicles and UAVs are started, and its value is the sum of the start-up cost of the deployed vehicles and UAVs, which includes manual operation cost and machine operation cost. This is the product of the number of starts and the single start-up cost, specifically expressed as . Hwang [66] points out that the flight time of UAVs decreases linearly as the payload increases; the vehicle and UAV delivery cost is composed of the transportation cost incurred by vehicle travel and UAV flight. The transport cost is related to the path length, denoted as: , here, travel cost in local areas is modeled as a nonlinear non-decreasing function [67]. The penalty cost of vehicles and UAVs refers to the penalty cost arising from delivery not within the time window, which is divided into early arrival cost and delayed cost. This is calculated as the sum of early penalty cost coefficient multiplied by the length of early arrival time and delayed penalty cost coefficient multiplied by the length of the delay. Thus, the penalty cost is represented as . Waiting cost of vehicles and UAVs collaborative distribution denotes the time cost incurred by vehicles or UAVs waiting for each other at the rendezvous point, as the corresponding waiting cost coefficients and multiplied by the waiting time. In other words, waiting cost can be represented as We extended the objective function of minimizing the longest UAV service time in the cluster given in the literature [68]. The goal of the collaborative vehicle-UAV delivery is then to minimize the total distribution cost, as shown in Equation (1):
2.2.3. Binding Conditions
According to the vehicle-assisted UAV delivery scheme proposed by Deng [69], the UAV has a fixed service time for each customer, and the UAV can serve multiple customers per take-off within its carrying capacity. Thus, the vehicle and UAV collaborative distribution path optimization model constraints are primarily about other factors like load weight, distribution order, travel distance, range time, and stopping nodes. This makes sure that the model optimization process conforms to the model assumptions as well as objective conditions, as follows:
Based on the mathematical model presented in the literature [65], constraint (2) indicates that delivery can be made to any customer point only by one of the vehicles or UAVs, which is the same as the constraint proposed by Sajid [37] in the UAV-assisted delivery system, that every customer must be visited once using a single UAV only. In addition, each vehicle must depart from the distribution station and return to the station after completing all delivery tasks, and the UAVs are required to take off and land at the most once at the take-off and landing nodes, and the total demand of the customer points delivered by the UAVs should not exceed the maximum load weight of the vehicles. Equation (3) suggests that if the UAV has a delivery path , the vehicle forms a subloop of the customer point and then the vehicle must pass through the customer point before passing through the customer point . Equations (4) and (5) constrain the existence of subloops in the distribution path; if the customer points delivered by the vehicle satisfy a specific sequence, no subloop will be formed. According to the vehicle-UAV operation scheme presented by Gu [65], the UAV has a constant service time for each customer. Constraint (6) limits the vehicle arrival time to be equal to the departure time plus the in-transit time, and if there exists a UAV delivery path , then the vehicle carrying the UAV must pass through customer points and . Based on the distance range limit and the time range limit of UAVs in the literature [68], Equation (7) limits the vehicle distribution path length to no more than the vehicle’s longest driving distance, while the UAV distribution path length cannot exceed its longest flight distance. Constraint (8) refers to the delivery scheduling model of the UAV and traditional ground vehicle in the literature [70], and indicates that for distribution paths covering UAV paths and , if the vehicle passes through customer point before passing through customer point , then it must pass through customer point before passing through customer point to restrict the existence of UAV subloops and avoid route conflicts described in the UAV-based parcel delivery model by Li [71]. Constraint (9) does not consider the service time of the vehicle with the UAV at the customer’s point, as assumed in the previous section. Equation (10) then constrains the UAV departure time equal to the arrival time plus the takeoff and landing time. Equation (11) is the UAV service capability constraint, which indicates that the flight time of the UAV taking off from point to point and then landing from point to point cannot exceed the maximum range of the UAV. Equation (12) is the basic constraint of each variable.
3. Algorithm Solution
The vehicle-UAV collaborative delivery path optimization problem studied in this paper is, in essence, a variant of the vehicle path problem (VRP). Since the VRP problem is NP-hard [72], the objective function and constraints of the vehicle-UAV collaborative delivery-path optimization model are very complex. The deep learning and artificial neural network methods need a large number of samples, and the current relevant data sets are still in exploration and construction. Therefore, we employ a swarm intelligence algorithm to obtain satisfactory solutions. Through experimental analysis, we find that the ant colony and shuffled frog leaping algorithms often fall into the local optimum. However, a genetic algorithm is more inclined to a global search, which can quickly retrieve all feasible solutions and prevent the convergence of locally optimal solutions too fast, so a genetic algorithm with fast execution, good convergence and wide application is used as the solution method of the model. The solution process mainly consists of the following six steps.
Step 1: Chromosome coding. Using real number coding, the total length of chromosomes , numbered demand points , points greater than are distribution centers, and the chromosomes of distribution centers are divided into bands, each representing a distribution route. Thus, a single route can be described as a sequence . Here, denotes the vehicle number (It is equal to the UAV number since there is only one UAV per vehicle); is the vector representing the number of demand points, marking variable whether UAV provides service (1 for served by UAV, 0 for served by vehicle), and three decision variables of the delivery route. In the vector, we use to indicate that the demand point is not served by , and here means that one vehicle with a UAV cannot perform all distribution services generally. In other words, for , all vectors must satisfy and , .
Step 2: Population initialization. Randomly generate groups of sequences as the initial population of the genetic algorithm. enables each customer point to be served by vehicles or UAVs, and there is a pathway between any two customer points. In addition, all individuals are divided into groups according to the location of the distribution center point of each individual in the population.
Step 3: Crossover and mutation. Two individuals are randomly chosen according to the crossover probability , and the code in the vector of the chromosomes between the crossover points are exchanged at the corresponding positions. The code does not participate in the exchange, but and will be modified accordingly. As for the mutation operation, the code in the vector of the chromosomes is conducted according to the mutation probability to avoid frequent changing of the delivery method. For proportional selection, single-point crossover, and variation-free genetic algorithms, we use the pattern theorem defined as:
Here, denotes the expected number of individuals in the pattern in the -th generation. represents the average fitness of the individual included in the pattern in the -th generation. is the average fitness of the evolved population of the -th generation. is the defined length of the pattern . represents the standard pattern length. To increase the number of individuals contained in the pattern with the increase of evolutionary generations, the prerequisite condition should be met. In other words, the crossover probability should be in the range of [0, ]. Here is the correction coefficient. Similarly, for the mutation probability, let be the order of the pattern and the probability of the pattern being broken after mutation is . Then, the mutation survival probability of the pattern is . In this case, the pattern law can be expressed as:
Furthermore, to ensure the diversity of the population, the mutation probability and survival probability should conform to , which means that the crossover probability is less than .
Based on the above analysis, we conduct hyper-parameter fine-tuning by GeatPy. Based on Values Exchanged Re-combination and Mutation for Binary Chromosomes, an automated machine learning method is applied to obtain the optimal crossover and mutation operation probabilities. By evolution tracker, we acquire the crossover probability and variation probability . Since a single route can be described as a sequence , when conducting a crossover operation, we only need to swap one position on two chromosomes, and the position is chosen by the roulette wheel method. As for the mutation operation, considering that meeting user demands is the key task of the distribution model, we therefore directly modify the number of demand points in the vector . The marking variable and three decision variables of the delivery route will automatically change with the demand point.
Step 4: Fitness function. Based on the basic distribution unit, the sum of the distribution cost, start-up cost, fixed cost, waiting cost and time penalty cost is calculated as the fitness function, and the individual’s superiority is reflected by the function’s value, and the lower the function value is, the better the individual is. If the total cost of the vector of a chromosome code is the denoted operator , the fitness value of the chromosome can be described as .
Step 5: New population selection. The population number has an important influence on the optimization result. Too small a population makes the genetic algorithm quickly converge. On the contrary, if the population number is too large, the computation complexity will increase dramatically. In this paper, we rank the individuals of the original population and the individuals formed by crossover variation according to the fitness function from lowest to highest. If the expected number of individuals contained in the pattern is much larger than , the top individuals with the smallest fitness function value are generally selected as the population for the next iteration. Here means that the times population of the previous generation. Considering that patterns with low order, short definition length, and exceeding the population average will increase exponentially with the increase of iteration times, we adopt an Exponential Population Size Reduction strategy (EPSR) to reduce the computational cost. The EPSR is expressed as the following formula:
Here, denotes the population number of the -th generations of evolution, is the initial population, is the minimum possible population number at the end of the algorithm evolution, and is the maximum number of evolutionary generations. To ensure population diversity, we choose as the number of next generation population.
Step 6: Termination condition. Based on the maximum number of iterations , if the number of iterations exceeds or the difference between the first 2 fitness function values of the sorting minimum is less than the error value , stop the iteration; otherwise, execute Steps 3 to 6 again.
4. Analysis of Examples
4.1. Parameter Setting
To verify the effectiveness of the vehicle and UAV collaborative delivery path optimization model, this paper uses a county-level district in Xi’an city as a pilot area for an emergency delivery. According to the road conditions and usual demand for express service, four terminal minivans are selected as delivery vehicles and 4 UAVs are used, with vehicle and UAV speeds of 40 km/h and 60 km/h, maximum load weight of 100 kg and 6 kg, freight costs of 8 yuan/km and 2 yuan/km, fixed costs of 20 yuan/vehicle and 5 yuan/frame, start-up costs of 2 yuan/time and 0.4 yuan/time, waiting costs of 1 yuan/min and 0.2 yuan/min, and the time cost coefficients of early and delayed arrival of 2 yuan/min and 6 yuan/min, respectively. Given 50 customer points for material distribution, the distribution center and 50 customer points are numbered sequentially, where the distribution center number is 0 and the rest of the customer points are randomly numbered. The customer point number , demand , spatial location latitude, longitude coordinates and time window requirements are shown in Table 2.
Table 2.
Customer point basic information.
4.2. Analysis of Results
Setting the initial population size , crossover probability , variation probability , maximum number of iterations , inaccuracy , this paper uses MATLAB R2018a to write a genetic algorithm to solve the collaborative vehicle and UAV delivery model.
4.2.1. Discussion of Algorithm Solutions
Ten different fleet sizes were designed to compare the proposed modified genetic algorithm (MGA) with the ant colony (AC) and shuffled frog leaping algorithm (SFL). Here, a fleet means one vehicle with one UAV. As shown in Figure 3, all three curves of MGA, AC and SFL show a rapid decline at first and then a gradual decline, but the total costs of MGA in different fleet sizes are considerably smaller than that of AC and SFL. It indicates that the MGA is more conducive to obtaining optimal scheduling results. The total cost obtained by MGA is at least 133.4 less than that by AC and at least 139.9 less than that by SFL. The maximum and minimum rate of improvement are 64.2% and 13.8%, respectively. After removing the fixed cost from the total cost, it can be seen that MGA has reached the optimum when the fleet size is 4. As shown in Figure 4, the total cost net of fixed cost by MGA remains at 232.4 after fleet size is greater than 4. This shows that the algorithm MGA can achieve fast global convergence and obtain the best total cost. In contrast, the algorithm AC acquires the local optimal total cost (net of fixed cost) of 365.8 until the fleet size reaches 8. This shows that MGA can still achieve a total cost net of the fixed cost of 26.5% less than AC with half of the vehicles and UAVs. It dramatically reduces the fixed cost input of vehicles and UAVs in the joint distribution model. Compared with the other MGA and AC, the total cost obtained of SFL is the largest under various sizes. Since the total cost by SFL is usually 1.8 times that of MGA on average, it is clear that the SFL is unsuitable for solving the large-scale complex problem like the vehicle-UAV delivery model. In addition, it is worth noting that the total cost by MGA slightly increases after the fleet size is greater than 4, which is caused by the increase of fixed cost along with the fleet size. A similar situation of AC also occurs when the fleet size is greater than 8. To further verify the practicability of the MGA method, we also carried out comparative verification under 40 and 60 custom demands, and found that MGA can quickly converge to the optimal total cost compared with other methods. This indicates that MGA is more suitable for obtaining the solution to the vehicle-UAV delivery scheduling model.
Figure 3.
Total cost of different solutions.
Figure 4.
Total cost (net of fixed cost) of different solutions.
4.2.2. Discussion of Simulation Results
The fixed cost, start-up cost, distribution cost, waiting cost, time penalty cost and total distribution cost obtained after iterations are 100.0, 72.8, 115.6, 14.0, 30.0 and 332.4, respectively. It can be seen that the main cost comes from the fixed cost and delivery cost, which account for 64.9% of the total cost. This shows that the number of purchased UAVs and frequency of required delivery have a great impact on the total cost. The fixed cost, which accounts for 1/3 of the total cost, is only 15.6 less than the delivery cost, which indicates that reducing UAV maintenance costs will significantly improve the delivery profit of the vehicle-UAV collaborative delivery. In addition, the waiting cost and time penalty cost are very small percentages of the total cost, which means that optimizing the waiting time and customer satisfaction does not have an effective impact on delivery benefits. However, reducing the number of starts will result in more benefits because the start-up cost is 21.9% of the total cost.
After the simulation, four vehicles, each equipped with a UAV, completed the delivery of all customer requirements. There are 4 driving routes for the optimal solution, as shown in Figure 5 and Table 3. Customer points 5, 7, 11, 12, 13, 15, 17, 19, 27, 31, 32, 33, 37, 44, 45, 46 and 49 are served by UAV (among them, the serial numbers on driving route No. 1, where UAV does not return to the vehicle and directly provides service for customer point 15 after finishing delivery for customer point 31). That is, 34% of the demand points are served by UAV delivery. The remaining 33 customer points, 66% of demands, are served by vehicle distribution, indicating that vehicle delivery remains the dominant model of the vehicle-UAV collaborative delivery model. Vehicle distribution still occupies a major position, about two times the UAV distribution, and most of the UAV distribution points in the vehicle are inconvenient to reach. This result effectively reflects the operation model of vehicle-UAV collaborative delivery, where vehicles are responsible for delivering customers with many demand points, while UAVs rely on speed as well as straight-line flight and other advantages to complete the delivery in remote areas.
Figure 5.
Optimal path for vehicle and UAV collaborative delivery.
Table 3.
The optimal solution for collaborative vehicle and UAV delivery.
In addition, the delivery task of each driving route is not balanced, which is caused by the difference in terrain, distance, demand and spatial relationship between customer points. Although only 6 customer points are served by driving route 2, its time consumption is indeed the second highest, almost the same as that of driving route 4, which provides delivery for 18 customer points. This shows that it is more reasonable to evaluate vehicle-UAV collaborative delivery by the total cost composed of fixed cost, start-up cost, delivery cost, penalty cost and waiting cost, which can improve the overall satisfaction of the distribution system. More importantly, the vehicle and UAV collaborative delivery path can be optimized by restricting the existence of UAV subloops and avoiding route conflicts described according to the spatial location of customer points.
4.2.3. Comparison of Different Models
To further analyze the advantages of the vehicle and UAV collaborative delivery model, a comparison was made with the vehicle-alone distribution model, the UAV-alone distribution model, and the vehicle-UAV routing model based on the literature [68]. They are respectively noted as VUCD (Vehicle and UAV Collaborative Delivery, our model), IVD (Individual Vehicle Delivery), IUD (Individual UAV Delivery) and VUR (Vehicle- UAV Routing). The IVD model uses 8 terminal minivans, and the IUD model uses 8 UAVs, while both the VUCD model and the VUR model use only 4 terminal minivans, but 4 UAVs are involved in the delivery system. Respectively, the delivery results of each model are shown in Table 4.
Table 4.
Comparison of the results of different distribution models.
Due to the use of the UAV, the VUCD model and VUR model greatly reduce the vehicle input, by 37.5% compared with the fixed cost of the IVD model, and the start-up cost is also lower because the UAV is more flexible to start, and the material assembly is simple. Although the fixed cost of model IUD is the smallest, its start-up cost and delivery cost significantly increase. This suggests that purely using UAV for delivery cannot obtain optimal benefits because of the complexity of the preparation process and the multiple trips required to deliver directly from the distribution station by UAV. Therefore, the reasonable model is vehicle-UAV delivery, and the vehicle acts as the pickup center of UAV during the delivery, which shortening the distance to customers and avoiding conflict between UAVs.
For delivery costs, the VUCD model is significantly lower, at 60.7% of the IVD model and 55% of thd IUD model, indicating that some customers’ services use UAVs, which are less costly to transport, and that straight-line delivery by UAVs is better than along-road delivery by vehicles. Notably, the VUR model has the lowest delivery cost, but the overall distribution efficiency is not the highest due to the increase in start-up cost. The delivery cost of the VUR model is 11.4 less than that of the VUCD model; nevertheless, its start-up cost is 26.5 more, which leads to the total cost of the VUR model being higher than that of the VUCD model. Therefore, it can be seen that only reducing the delivery cost is not the optimal method, but also saving on the start-up cost, waiting cost and penalty cost should be considered.
As to waiting cost and penalty cost, the VUCD model forms part of the mutual waiting cost due to the convergence of UAVs and vehicles owing to the addition of UAVs. Multiple experiments show that the higher the path optimization degree, the lower the waiting cost of the UAV. Compared with the VUR model under traffic restrictions, the waiting cost of the VUCD model is only 14.0, and the penalty cost is about 1/2 of the VUR model. It shows that the model can effectively improve delivery timeliness and customer satisfaction. Due to simply using vehicles for delivery, the IVD model does not have the waiting cost required to be incurred for convergence, but the penalty cost is three times that of the VUCD model, and even if the waiting cost and penalty cost are combined, the IVD model and IUD model are still ?? VUCD model by a factor of 2. This indicates that vehicle-UAV collaborative delivery is more likely to meet customers’ time window requirements, and that the waiting cost due to rendezvous between UAVs and vehicles have a considerably impact on overall delivery. ??
Overall, the VUCD model has a smaller total distribution cost than the IVD, IUD and VUR models. Compared with these models, the total distribution cost of the VUCD model is reduced by 39.2%, 16.5% and 11.8%, respectively, which indicates that it is more favorable to use the vehicle-UAV collaborative delivery model to reduce all kinds of cost sizes and save vehicle resources. In contrast with the VUR model, the start-up cost and penalty cost of the VUCD model are significantly lower, while the waiting cost and delivery cost are slightly higher. This is because the VUR model considers the route more, while the VUCD model treats the route and time window equally. The VUCD model considering customer satisfaction and reasonable path is a more ideal distribution model to save cost and improve delivery efficiency.
4.2.4. Analysis of Different Scenarios
To analyze the scheduling in different scenarios, we conducted experiments under various fleet sizes. For the IVD model or IUD model, one fleet means two vehicles or tow UAVs, respectively; while for the VUR model and VUCD model, it means one vehicle with one UAV. The total costs of the models IVD, IUD, VUR and VUCD all show a trend of sharp decline and then slow growth as the fleet sizes ranged from 1 to 10. When the fleet size is less than 4, the total cost is reduced by at least 180 for each additional fleet, while when the fleet size is greater than 4, the total cost is reduced by no more than 36 for each additional fleet. When the fleet size reaches 4, 6, 9, and 10, the 80% time window of the four models is satisfied, respectively. This indicates that a reasonable fleet size is a key to achieve the optimization delivery by UAV, vehicle or vehicle-UAV. Except for model IUD, which reaches the minimum total cost when the fleet size is 5, as shown in Figure 6, the other three models obtain the minimum total cost when the fleet size is 4. The optimal total costs for IVD, IUD, VUR, and VUCD are 546.5, 398.2, 376.9 and 332.4 respectively. In fact, when the fleet size is 6 to 10, the cost of the model VUR has reached the optimum and cannot be minimized any more. In this case, the start-up cost, delivery cost, waiting cost and penalty cost are 92.4, 96.4, 15.9 and 53.5, respectively. However, the minimum total cost of VUR occurs when the fleet size is 4, because the increase in fixed cost exceeds the benefit of decreasing delivery cost, etc. In the VUCD model, the total cost net of fixed cost remains 232.4 after the fleet size is 3, as shown in Figure 7. This shows that blindly increasing the fleet size cannot obtain the best overall cost but leads to additional fixed cost input.
Figure 6.
Total cost of different models.
Figure 7.
Total cost (net of fixed cost) of different models.
In the IVD and IUD models, the variation in start-up cost, delivery cost, waiting cost and penalty cost is roughly the same. However, the change on the waiting cost and penalty cost of the VUR and VUCD models is almost twice that of the penalty cost. This shows that the delivery cost of the VUR and VUCD modela is significantly optimized, and the core task of the two scheduling models is to reduce the penalty or waiting under a specific time window. Obviously, as for the IVD and IUD model, the delivery process and penalty caused by unsatisfying the time window need to be considered in a balanced way to promote the overall optimal. Compared with the other three models, VUCD always has the smallest start-up cost, waiting cost and penalty cost, but the delivery cost is slightly higher than that of the VUR model under various fleet sizes. As shown in Figure 8 and Figure 9, the start-up cost, delivery cost and penalty cost of the VUCD model are 80.4%, 66.4% and 33.6%, respectively, of the IVD model on average. It means that the delivery cost and penalty cost of the distribution are significantly reduced with the assistance of UAVs. Compared with the IUD model, the start-up cost, delivery cost, waiting cost and penalty cost of our model are 65.9%, 95.1%, 46.4% and 52.4%, respectively, on average. This indicates that the UAV-alone distribution model reduces the delivery cost but is still inferior to the VUCD model in other costs. For the VUR model, it can be found that our VUCD model improves more in penalty cost, which is only 58.8% of the VUR model on average. Although the delivery cost of our model is higher than that of the VUR model, the optimization in penalty cost and start-up cost drives the total cost of our model to be the minimum. It indicates that the VUCD model pays more attention to the penalty and waiting caused by the delayed delivery under the time window while ensuring the minimum total cost, so as to further guarantee the delivery in emergency services.
Figure 8.
Start-up cost and delivery cost of different models. (a) Start-up cost ratio; (b) Delivery cost ratio.
Figure 9.
Penalty cost and waiting cost of different models. (a) Penalty cost of different models; (b) Waiting cost of different models.
It is worth mentioning that since the fixed cost of vehicles is often greater than that of UAVs, their influence on the total cost of the vehicle-UAV delivery model cannot be eliminated. Due to the comprehensive consideration of the time window and start-up preparation, the VUCD model is more practical and compensates for the loss caused by the increase in fixed cost. Excluding the effect of fixed cost on total cost, the total cost of thd VUCD model is at least 25.8 less than that of other models. It indicates that the VUCD model can reduce the distribution cost by 11% at various fleet sizes. In addition, the start-up cost consistently plays an essential role in different scenarios of the four models, accounting for 11.7–37.1% of the total cost. When the 80% time window is satisfied, the start-up cost of the VUCD model is 72.8, significantly lower than the delivery cost of 115.6. In contrast, other models using UAVs have the start-up costs at least 6.2 lower than the delivery costs. This indicates that rationalization of start times is as important as delivery processes in emergency logistics services. This indicates that the rationalization of scheduling the start-up preparation process is as important as the delivery route in emergency logistics services. Furthermore, the sum of the waiting cost and penalty cost of each model is usually slightly smaller than the start-up cost, but its influence on the total cost cannot be ignored. All models have to spend about 12% of the total cost on penalties and about 6% on waiting cost. This shows that emergency logistics can be more effectively guaranteed if the start-up cost, penalty cost and waiting cost are all taken into account.
5. Conclusions
Due to its low cost and high efficiency, UAV delivery has been widely accepted as a solution to the last-mile problem in logistics. However, there are many difficulties in the delivery model using only UAVs, such as distribution preparation, route selection, safety guarantee, etc. Although a large number of existing studies adopt the vehicle-UAV delivery model to solve such problems to different degrees, the customer satisfaction and overall cost still lack in-depth consideration. Especially, in the case of emergency delivery during sudden public events, the waiting cost and penalty cost related to the time window are particularly important. Therefore, a path optimization model for collaborative distribution of vehicles and UAVs (VUCD) is established to minimize the overall logistics distribution cost consisting of fixed cost, start-up cost, distribution cost, waiting cost and penalty cost. The experiment in the county-level district in Xi’an city shows that the VUCD model is more effective than the IVD, IUD and VUR models. On the one hand, the convenience and cost advantages of the VUCD model effectively overcomes the problems of high emergency logistics distribution costs, low distribution efficiency and low customer time satisfaction. It reduces the total cost by 39.2% compared with the vehicle-alone delivery model and by 16.5% compared with the UAV-alone delivery model. On the other hand, although the delivery cost of the VUCD model is slightly larger than that of the vehicle-UAV delivery model, it helps to save on the start-up cost and penalty cost, so that the total cost is significantly improved. And because the VUCD model constraints improve customer satisfaction while optimizing the path, the total cost of thd VUCD model is only 88.2% of the VUR. Therefore, the vehicle and UAV collaborative delivery path optimization model has more delivery advantages under emergency conditions. The next step of the study will explore the constraints of the degree of road congestion on the optimization model of thd vehicle and UAV cooperative delivery, and further analyze the impact of the scale of vehicles and UAVs on cooperative delivery in this case.
Author Contributions
Writing—original draft preparation, J.L. and H.L.; writing—review and editing, K.K.L. and B.R. All authors have read and agreed to the published version of the manuscript.
Funding
This research was funded by the National Social Science Fund of China, grant number 21BGL200.
Data Availability Statement
The program code and data that support the plots discussed within this paper is available from the corresponding author upon request.
Acknowledgments
We are grateful to the editors and anonymous referees for their valuable comments, and detailed suggestions, which helped to improve the quality of this paper. Jianxun Li gratefully acknowledges the support of the National Social Science Fund of China (No.21BGL200). Bhagwat Ram gratefully acknowledges the support from the Centre for Digital Transformation, IIM Ahmedabad, India.
Conflicts of Interest
The authors declare no conflict of interest.
References
- Murray, C.C.; Chu, A.G. The flying sidekick traveling salesman problem: Optimization of drone-assisted parcel delivery. Transp. Res. Part C Emerg. Technol. 2015, 54, 86–109. [Google Scholar] [CrossRef]
- Agatz, N.; Bouman, P. Schmidt M. Optimization approaches for the traveling salesman problem with drone. Transp. Sci. 2018, 52, 965–981. [Google Scholar] [CrossRef]
- Marinelli, M.; Caggiani, L.; Ottomanelli, M.; Dell’Orco, M. En route truck–drone parcel delivery for optimal vehicle routing strategies. IET Intell. Transp. Syst. 2018, 12, 253–261. [Google Scholar] [CrossRef]
- Bouman, P.; Agatz, N.; Schmidt, M. Dynamic programming approaches for the traveling salesman problem with drone. Networks 2018, 72, 528–542. [Google Scholar] [CrossRef]
- de Freitas, J.C.; Penna, P.H.V. A randomized variable neighborhood descent heuristic to solve the flying sidekick traveling salesman problem. Electron. Notes Discret. Math. 2018, 66, 95–102. [Google Scholar] [CrossRef]
- Wang, X.; Poikonen, S.; Golden, B. The vehicle routing problem with drones: Several worst-case results. Optim. Lett. 2017, 11, 679–697. [Google Scholar] [CrossRef]
- Poikonen, S.; Wang, X.; Golden, B. The vehicle routing problem with drones: Extended models and connections. Networks 2017, 70, 34–43. [Google Scholar] [CrossRef]
- Carlsson, J.G.; Song, S. Coordinated logistics with a truck and a drone. Manag. Sci. 2018, 64, 4052–4069. [Google Scholar] [CrossRef]
- Schermer, D.; Moeini, M.; Wendt, O.; A Variable Neighborhood Search Algorithm for Solving the Vehicle Routing Problem with Drones. Technical Report. BISOR-02/2018. Available online: https://www.researchgate.net/publication/326478770 (accessed on 1 July 2018).
- Wang, G.; Bai, X. Comparation of UAV Path Planning for Logistics Distribution. In International Conference on Intelligent Transportation Engineering; Springer: Singapore, 2022; pp. 223–238. [Google Scholar]
- Ren, X.H.; Yue, Y.D.; Yin, X.L. Exploration of path planning for combined logistics distribution of unmanned vehicles. Flight Mech. 2020, 38, 88–94. [Google Scholar]
- Hu, J.L.; Yang, H.; Zhang, T.H. Study on the optimization of cooperative distribution between drones and trucks. J. Zhejiang Univ. Technol. (Soc. Sci. Ed.) 2020, 44, 489–497. [Google Scholar]
- Crişan, G.C.; Nechita, E. On a cooperative truck-and-drone delivery system. Procedia Comput. Sci. 2019, 159, 38–47. [Google Scholar] [CrossRef]
- Wang, D.; Hu, P.; Du, J.; Zhou, P.; Deng, T.; Hu, M. Routing and scheduling for hybrid truck-drone collaborative parcel delivery with independent and truck-carried drones. IEEE Internet Things J. 2019, 6, 10483–10495. [Google Scholar] [CrossRef]
- Wu, Y.; Wu, S.; Hu, X. Cooperative path planning of UAVs & UGVs for a persistent surveillance task in urban environments. IEEE Internet Things J. 2020, 8, 4906–4919. [Google Scholar]
- Peng, K.; Du, J.; Lu, F.; Sun, Q.; Dong, Y.; Zhou, P.; Hu, M. A hybrid genetic algorithm on routing and scheduling for vehicle-assisted multi-drone parcel delivery. IEEE Access 2019, 7, 49191–49200. [Google Scholar] [CrossRef]
- Wang, K.; Yuan, B.; Zhao, M.; Lu, Y. Cooperative route planning for the drone and truck in delivery services: A bi-objective optimisation approach. J. Oper. Res. Soc. 2020, 71, 1657–1674. [Google Scholar] [CrossRef]
- Gao, W.; Luo, J.; Zhang, W.; Yuan, W.; Liao, Z. Commanding cooperative ugv-uav with nested vehicle routing for emergency resource delivery. IEEE Access 2020, 8, 215691–215704. [Google Scholar] [CrossRef]
- Li, J.; Sun, T.; Huang, X.; Ma, L.; Lin, Q.; Chen, J.; Leung, V.C. A memetic path planning algorithm for unmanned air/ground vehicle cooperative detection systems. IEEE Trans. Autom. Sci. Eng. 2021, 1–14. [Google Scholar] [CrossRef]
- Manyam, S.G.; Casbeer, D.W.; Sundar, K. Path planning for cooperative routing of air-ground vehicles. In Proceedings of the 2016 American Control Conference (ACC), Boston, MA, USA, 6–8 July 2016; pp. 4630–4635. [Google Scholar]
- Hu, M.; Liu, W.; Peng, K.; Ma, X.; Cheng, W.; Liu, J.; Li, B. Joint routing and scheduling for vehicle-assisted multidrone surveillance. IEEE Internet Things J. 2018, 6, 1781–1790. [Google Scholar] [CrossRef]
- Arbanas, B.; Ivanovic, A.; Car, M.; Orsag, M.; Petrovic, T.; Bogdan, S. Decentralized planning and control for UAV–UGV cooperative teams. Auton. Robot. 2018, 42, 1601–1618. [Google Scholar] [CrossRef]
- Liu, Y.; Luo, Z.; Liu, Z.; Shi, J.; Cheng, G. Cooperative routing problem for ground vehicle and unmanned aerial vehicle: The application on intelligence, surveillance, and reconnaissance missions. IEEE Access 2019, 7, 63504–63518. [Google Scholar] [CrossRef]
- Wang, J.; Wang, G.; Hu, X. Cooperative transmission tower inspection with a vehicle and a UAV in urban areas. Energies 2020, 13, 326. [Google Scholar] [CrossRef]
- Ding, Y.; Xin, B.; Chen, J. A review of recent advances in coordination between unmanned aerial and ground vehicles. Unmanned Syst. 2021, 9, 97–117. [Google Scholar] [CrossRef]
- Bansal, S.; Goel, R.; Maini, R. Ground vehicle and UAV collaborative routing and scheduling for humanitarian logistics using random walk based ant colony optimization. Sci. Iran. 2022, 29, 632–644. [Google Scholar]
- Guo, F.; Wei, M.; Ye, M.; Li, J.; Mechali, O.; Cao, Y. An unmanned aerial vehicles collaborative searching and tracking scheme in three-dimension space. In Proceedings of the 2019 IEEE 9th Annual International Conference on CYBER Technology in Automation, Control, and Intelligent Systems (CYBER), Suzhou, China, 29 July–2 August 2019; pp. 1262–1266. [Google Scholar]
- Salama, M.R.; Srinivas, S. Collaborative truck multi-drone routing and scheduling problem: Package delivery with flexible launch and recovery sites. Transp. Res. Part E Logist. Transp. Rev. 2022, 164, 102788. [Google Scholar] [CrossRef]
- Peng, X.; Peng, S.; Zhang, L. Optimization of a truck-UAVs delivery based on FSTSP model with multipath genetic algorithm. International Conference on Electronic Information Technology (EIT 2022). SPIE 2022, 12254, 830–836. [Google Scholar]
- Lin, M.; Chen, Y.; Han, R.; Chen, Y. Discrete optimization on truck-drone collaborative transportation system for delivering medical resources. Discret. Dyn. Nat. Soc. 2022, 2022, 1811288. [Google Scholar] [CrossRef]
- Song, B.D.; Park, K.; Kim, J. Persistent UAV delivery logistics: MILP formulation and efficient heuristic. Comput. Ind. Eng. 2018, 120, 418–428. [Google Scholar] [CrossRef]
- Kuo, R.J.; Lu, S.H.; Lai, P.Y.; Mara, S.T.W. Vehicle routing problem with drones considering time windows. Expert Syst. Appl. 2022, 191, 116264. [Google Scholar] [CrossRef]
- Khoufi, I.; Laouiti, A.; Adjih, C.; Hadded, M. UAVs trajectory optimization for data pick up and delivery with time window. Drones 2021, 5, 27. [Google Scholar] [CrossRef]
- Yan, R.; Tian, H.; Gao, K.; Liu, B. A two-stage UAV routing problem with time window considering rescheduling with random delivery reliability. Proc. Inst. Mech. Eng. Part O J. Risk Reliab. 2022, 1748006X221105395. [Google Scholar] [CrossRef]
- Sawadsitang, S.; Niyato., D.; Tan, P.S.; Wang, P.; Nutanong, S. Multi-objective optimization for drone delivery. In Proceedings of the 2019 IEEE 90th Vehicular Technology Conference (VTC2019-Fall), Honolulu, HI, USA, 22–25 September 2019; pp. 1–5. [Google Scholar]
- Ham, A.M. Integrated scheduling of m-truck, m-drone, and m-depot constrained by time-window, drop-pickup, and m-visit using constraint programming. Transp. Res. Part C Emerg. Technol. 2018, 91, 1–14. [Google Scholar] [CrossRef]
- Sajid, M.; Mittal, H.; Pare, S.; Prasad, M. Routing and scheduling optimization for UAV assisted delivery system: A hybrid approach. Appl. Soft Comput. 2022, 126, 109225. [Google Scholar] [CrossRef]
- Shavarani, S.M.; Golabi, M.; Izbirak, G. A capacitated biobjective location problem with uniformly distributed demands in the UAV-supported delivery operation. Int. Trans. Oper. Res. 2021, 28, 3220–3243. [Google Scholar] [CrossRef]
- van Steenbergen, R.; Mes, M. A simulation framework for UAV-aided humanitarian logistics. In Proceedings of the 2020 Winter Simulation Conference (WSC), Orlando, FL, USA, 14–18 December 2020; pp. 1372–1383. [Google Scholar]
- Chiang, W.C.; Li, Y.; Shang, J.; Urban, T.L. Impact of drone delivery on sustainability and cost: Realizing the UAV potential through vehicle routing optimization. Appl. Energy 2019, 242, 1164–1175. [Google Scholar] [CrossRef]
- Kim, S.; Kwak, J.H.; Oh, B.; Lee, D.H.; Lee, D. An Optimal Routing Algorithm for Unmanned Aerial Vehicles. Sensors 2021, 21, 1219. [Google Scholar] [CrossRef]
- Wang, C.; Lan, H.; Saldanha-da-Gama, F.; Chen, Y. On Optimizing a Multi-Mode Last-Mile Parcel Delivery System with Vans, Truck and Drone. Electronics 2021, 10, 2510. [Google Scholar] [CrossRef]
- Baloch, G.; Gzara, F. Strategic network design for parcel delivery with drones under competition. Transp. Sci. 2020, 54, 204–228. [Google Scholar] [CrossRef]
- Zhang, J.; Shen, T.; Wang, W.; Jiang, X.; Ku, W.S.; Sun, M.T.; Chiang, Y.Y. A VLOS compliance solution to ground/aerial parcel delivery problem. In Proceedings of the 2019 20th IEEE International Conference on Mobile Data Management (MDM), Hong Kong, China, 10–13 June 2019; pp. 201–209. [Google Scholar]
- Sabo, C.; Kumar, M.; Cohen, K.; Kingston, D. VRP with minimum delivery latency using linear programming. In Proceedings of the Infotech@Aerospace 2012, Garden Grove, CA, USA, 19–21 June 2012. [Google Scholar]
- Triche, R.M.; Greve, A.E.; Dubin, S.J. UAVs and their role in the health supply chain: A case study from Malawi. In Proceedings of the 2020 International Conference on Unmanned Aircraft Systems (ICUAS), Athens, Greece, 1–4 September 2020; pp. 1241–1248. [Google Scholar]
- Bahrainwala, L.; Knoblauch, A.M.; Andriamiadanarivo, A.; Diab, M.M.; McKinney, J.; Small, P.M.; Grandjean Lapierre, S. Drones and digital adherence monitoring for community-based tuberculosis control in remote Madagascar: A cost-effectiveness analysis. PLoS ONE 2020, 15, e0235572. [Google Scholar] [CrossRef]
- Cao, Q.; Zhang, X.; Ren, X. Path Optimization of Joint Delivery Mode of Trucks and UAVs. Math. Probl. Eng. 2021, 2021, 4670997. [Google Scholar] [CrossRef]
- Berninzon, A.; Vongasemjit, O. Potential Benefits of Drones for Vaccine Last-Mile Delivery in Nepal. Master’s Thesis, Massachusetts Institute of Technology, Cambridge, MA, USA, 2021. [Google Scholar]
- Li, X.; Gong, L.; Liu, X.; Jiang, F.; Shi, W.; Fan, L.; Xu, J. Solving the last mile problem in logistics: A mobile edge computing and blockchain-based unmanned aerial vehicle delivery system. Concurr. Comput. Pract. Exp. 2022, 34, e6068. [Google Scholar] [CrossRef]
- Tang, B.; Huang, J.; Jiang, C. Study of Intelligent Unmanned Aerial Vehicle Delivery System. IOP Conf. Ser. Earth Environ. Sci. 2021, 784, 012009. [Google Scholar] [CrossRef]
- Elsayed, M.; Mohamed, M. The impact of airspace regulations on unmanned aerial vehicles in last-mile operation. Transp. Res. Part D: Transp. Environ. 2020, 87, 102480. [Google Scholar] [CrossRef]
- Sawadsitang, S.; Niyato, D.; Tan, P.S.; Wang, P. Joint ground and aerial package delivery services: A stochastic optimization approach. IEEE Trans. Intell. Transp. Syst. 2018, 20, 2241–2254. [Google Scholar] [CrossRef]
- Das, D.N.; Sewani, R.; Wang, J.; Tiwari, M.K. Synchronized truck and drone routing in package delivery logistics. IEEE Trans. Intell. Transp. Syst. 2020, 22, 5772–5782. [Google Scholar] [CrossRef]
- Li, X.; Yan, P.; Yu, K.; Li, P. Parcel Consolidation Approach and Routing Algorithm for Last-Mile Delivery by Unmanned Aerial Vehicles. SSRN 2022, 28. [Google Scholar] [CrossRef]
- Lin, I.; Lin, T.H.; Chang, S.H. A decision system for routing problems and rescheduling issues using unmanned aerial vehicles. Appl. Sci. 2022, 12, 6140. [Google Scholar] [CrossRef]
- Liu, B.; Ni, W.; Liu, R.P.; Zhu, Q.; Guo, Y.J.; Zhu, H. Novel Integrated Framework of Unmanned Aerial Vehicle and Road Traffic for Energy-Efficient Delay-Sensitive Delivery. IEEE Trans. Intell. Transp. Syst. 2021, 23, 10692–10707. [Google Scholar] [CrossRef]
- Moshref-Javadi, M.; Hemmati, A.; Winkenbach, M. A comparative analysis of synchronized truck-and-drone delivery models. Comput. Ind. Eng. 2021, 162, 107648. [Google Scholar] [CrossRef]
- Khamidehi, B.; Raeis, M.; Sousa, E.S. Dynamic resource management for providing qos in drone delivery systems. arXiv 2021, arXiv:2103.04015. [Google Scholar]
- Boyles, S.D.; Zhu, T. Assessment of Parcel Delivery Systems Using Unmanned Aerial Vehicles; University of North Carolina at Charlotte: Charlotte, NC, USA, 2020. [Google Scholar]
- Moshref-Javadi, M.; Lee, S.; Winkenbach, M. Design and evaluation of a multi-trip delivery model with truck and drones. Transportation Res. Part E Logist. Transp. Rev. 2020, 136, 101887. [Google Scholar] [CrossRef]
- Lemardelé, C.; Estrada, M.; Pagès, L.; Bachofner, M. Potentialities of drones and ground autonomous delivery devices for last-mile logistics. Transp. Res. Part E Logist. Transp. Rev. 2021, 149, 102325. [Google Scholar] [CrossRef]
- Gharib, Z.; Yazdani, M.; Bozorgi-Amiri, A.; Tavakkoli-Moghaddam, R.; Taghipourian, M.J. Developing an integrated model for planning the delivery of construction materials to post-disaster reconstruction projects. J. Comput. Des. Eng. 2022, 9, 1135–1156. [Google Scholar] [CrossRef]
- Gharib, Z.; Tavakkoli-Moghaddam, R.; Bozorgi-Amiri, A.; Yazdani, M. Post-Disaster Temporary Shelters Distribution after a Large-Scale Disaster: An Integrated Model. Buildings 2022, 12, 414. [Google Scholar] [CrossRef]
- Gu, Q.; Fan, T.; Pan, F.; Zhang, C. A vehicle-UAV operation scheme for instant delivery. Comput. Ind. Eng. 2020, 149, 106809. [Google Scholar] [CrossRef]
- Hwang, M.; Cha, H.R.; Jung, S.Y. Practical endurance estimation for minimizing energy consumption of multirotor unmanned aerial vehicles. Energies 2018, 11, 2221. [Google Scholar] [CrossRef]
- She, R.; Ouyang, Y. Efficiency of UAV-based last-mile delivery under congestion in low-altitude air. Transp. Res. Part C Emerg. Technol. 2021, 122, 102878. [Google Scholar] [CrossRef]
- Li, Y.; Yang, W.; Huang, B. Impact of UAV delivery on sustainability and costs under traffic restrictions. Math. Probl. Eng. 2020, 2020, 9437605. [Google Scholar] [CrossRef]
- Deng, X.; Guan, M.; Ma, Y.; Yang, X.; Xiang, T. Vehicle-Assisted UAV Delivery Scheme Considering Energy Consumption for Instant Delivery. Sensors 2022, 22, 2045. [Google Scholar] [CrossRef]
- Eun, J.; Song, B.D.; Lee, S.; Lim, D.E. Mathematical investigation on the sustainability of UAV logistics. Sustainability 2019, 11, 5932. [Google Scholar] [CrossRef]
- Li, A.; Hansen, M.; Zou, B. Traffic management and resource allocation for UAV-based parcel delivery in low-altitude urban space. Transp. Res. Part C Emerg. Technol. 2022, 143, 103808. [Google Scholar] [CrossRef]
- Feillet, D.; Dejax, P.; Gendreau, M.; Gueguen, C. An exact algorithm for the elementary shortest path problem with resource constraints: Application to some vehicle routing problems. Netw. Int. J. 2004, 44, 216–229. [Google Scholar] [CrossRef]
Publisher’s Note: MDPI stays neutral with regard to jurisdictional claims in published maps and institutional affiliations. |
© 2022 by the authors. Licensee MDPI, Basel, Switzerland. This article is an open access article distributed under the terms and conditions of the Creative Commons Attribution (CC BY) license (https://creativecommons.org/licenses/by/4.0/).








