Risk Diffusion and Control under Uncertain Information Based on Hypernetwork
Abstract
1. Introduction
- First, a dynamic evolution model of the supply chain network is constructed based on a hypernetwork, in which the exit of nodes in the system follows the aging principle.
- Second, consider the influence of official media on the virtual information layer, and study the risk diffusion mechanism under uncertain information.
- Third, the effectiveness of MMCA is verified by MC simulation, and the influence of various parameters on risk diffusion is tested via MMCA.
2. Model Description
2.1. Dynamic Evolution Model
2.2. UBU-SEIR Model
3. Theoretical Analysis
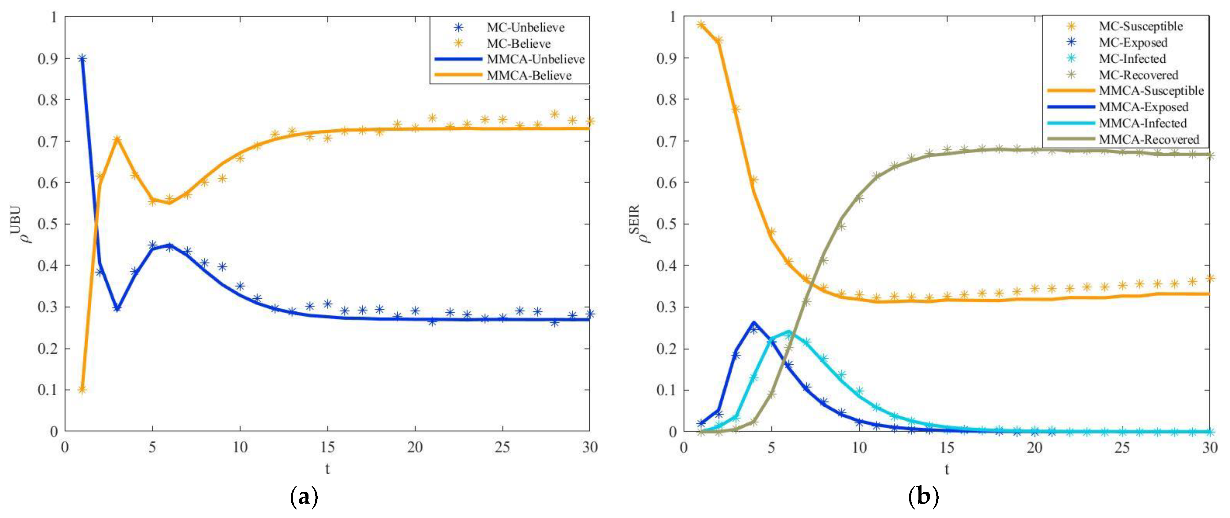
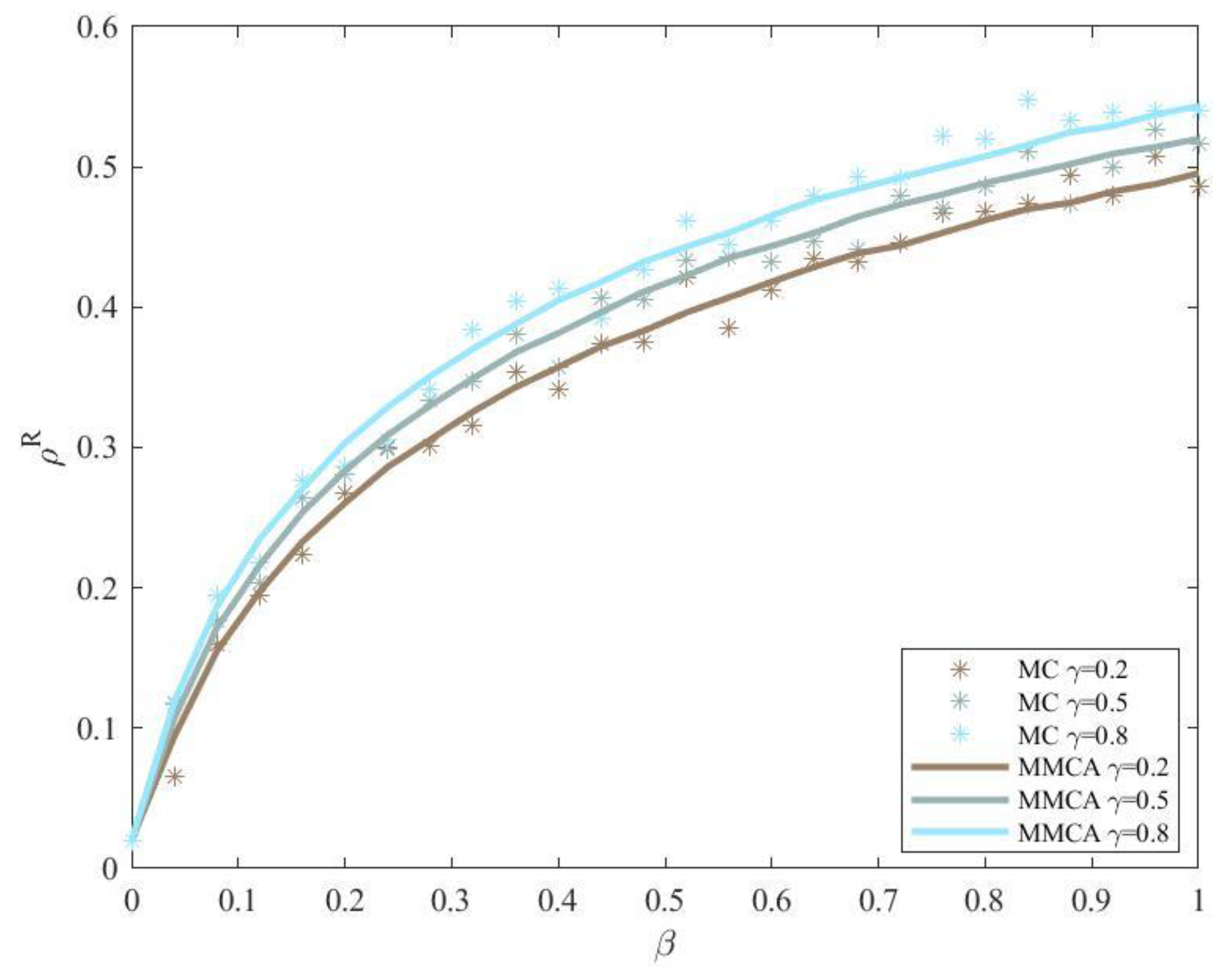
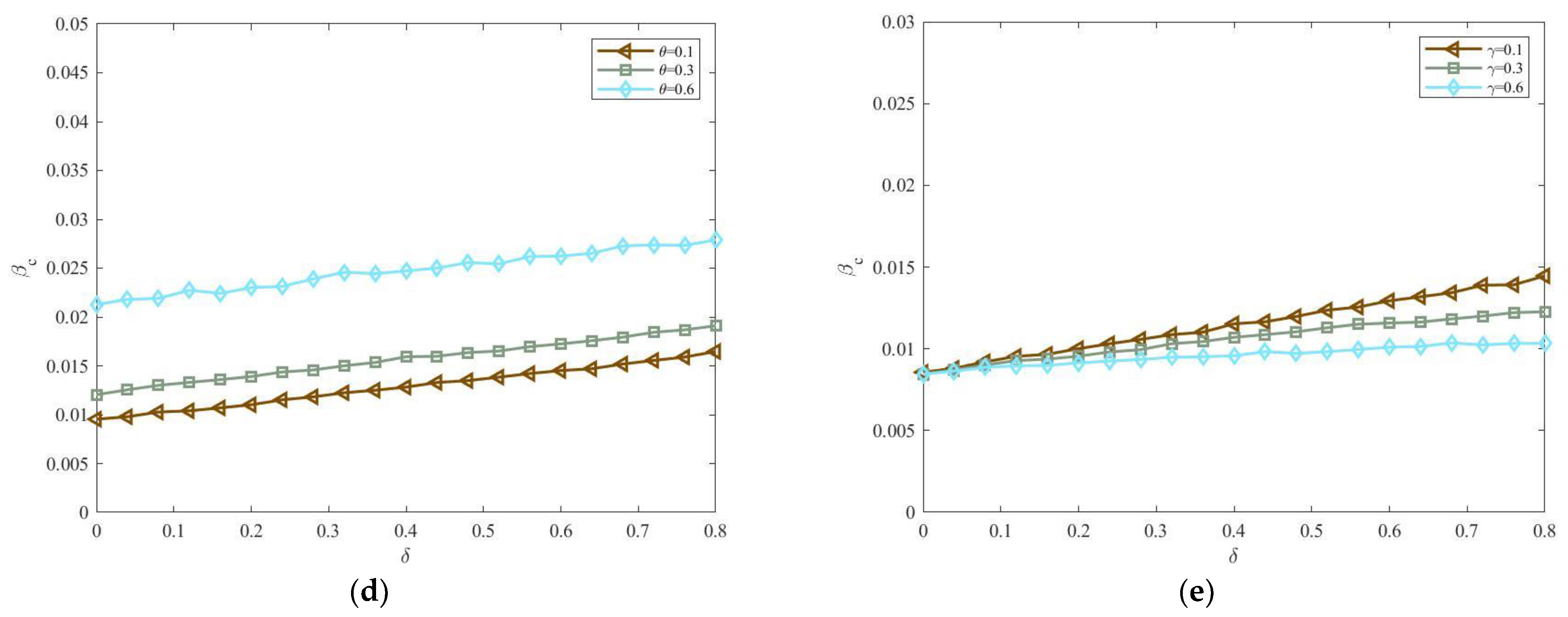
4. Numerical Simulation
5. Conclusions
Author Contributions
Funding
Institutional Review Board Statement
Informed Consent Statement
Data Availability Statement
Conflicts of Interest
References
- Heckmann, I.; Comes, T.; Nickel, S. A Critical Review on Supply Chain Risk—Definition, Measure and Modeling. Omega (U. K.) 2015, 52, 119–132. [Google Scholar] [CrossRef]
- Wang, J.; Zhou, H.; Jin, X. Risk Transmission in Complex Supply Chain Network with Multi-Drivers. Chaos Solitons Fractals 2021, 143, 110259. [Google Scholar] [CrossRef]
- Ran, M.; Chen, J. An Information Dissemination Model Based on Positive and Negative Interference in Social Networks. Phys. A Stat. Mech. Its Appl. 2021, 572, 125915. [Google Scholar] [CrossRef]
- Kang, H.; Sun, M.; Yu, Y.; Fu, X.; Bao, B. Spreading Dynamics of an SEIR Model with Delay on Scale-Free Networks. IEEE Trans. Netw. Sci. Eng. 2020, 7, 489–496. [Google Scholar] [CrossRef]
- He, D.; Liu, X. Novel Competitive Information Propagation Macro Mathematical Model in Online Social Network. J. Comput. Sci. 2020, 41, 101089. [Google Scholar] [CrossRef]
- Garg, H.; Nasir, A.; Jan, N.; Khan, S.U. Mathematical Analysis of COVID-19 Pandemic by Using the Concept of SIR Model. Soft Comput. 2021, 1, 1–15. [Google Scholar] [CrossRef]
- Hu, P.; Geng, D.; Lin, T.; Ding, L. Coupled Propagation Dynamics on Multiplex Activity-Driven Networks. Phys. A Stat. Mech. Its Appl. 2021, 561, 125212. [Google Scholar] [CrossRef]
- Liu, H.; Yang, N.; Yang, Z.; Lin, J.; Zhang, Y. The Impact of Firm Heterogeneity and Awareness in Modeling Risk Propagation on Multiplex Networks. Phys. A Stat. Mech. Its Appl. 2020, 539, 122919. [Google Scholar] [CrossRef]
- Huo, L.; Guo, H.; Cheng, Y.; Xie, X. A New Model for Supply Chain Risk Propagation Considering Herd Mentality and Risk Preference under Warning Information on Multiplex Networks. Phys. A Stat. Mech. Its Appl. 2020, 545, 123506. [Google Scholar] [CrossRef]
- Qian, Q.; Feng, H.; Gu, J. The Influence of Risk Attitude on Credit Risk Contagion—Perspective of Information Dissemination. Phys. A Stat. Mech. Its Appl. 2021, 582, 126226. [Google Scholar] [CrossRef]
- Zhang, M.; Qin, S.; Zhu, X. Information Diffusion under Public Crisis in BA Scale-Free Network Based on SEIR Model—Taking COVID-19 as an Example. Phys. A Stat. Mech. Its Appl. 2021, 571, 125848. [Google Scholar] [CrossRef]
- Yin, H.; Wang, Z.; Xu, Z. Transmission Mechanism and Influencing Factors of Green Behavior in Dynamic Multiplex Networks. IEEE Access 2021, 9, 104382–104394. [Google Scholar] [CrossRef]
- Denning, P.J. Supernetworks. Am. Sci. 1984, 73, 225–227. [Google Scholar]
- Estrada, E.; Rodríguez-Velázquez, J.A. Subgraph Centrality and Clustering in Complex Hyper-Networks. Phys. A Stat. Mech. Its Appl. 2006, 364, 581–594. [Google Scholar] [CrossRef]
- Suo, Q.; Guo, J.L.; Sun, S.; Liu, H. Exploring the Evolutionary Mechanism of Complex Supply Chain Systems Using Evolving Hypergraphs. Phys. A Stat. Mech. Its Appl. 2018, 489, 141–148. [Google Scholar] [CrossRef]
- Wang, Z.; Yin, H.; Jiang, X. Exploring the Dynamic Growth Mechanism of Social Networks Using Evolutionary Hypergraph. Phys. A Stat. Mech. Its Appl. 2020, 544, 122545. [Google Scholar] [CrossRef]
- Jiang, X.; Wang, Z.; Liu, W. Information Dissemination in Dynamic Hypernetwork. Phys. A Stat. Mech. Its Appl. 2019, 532, 121578. [Google Scholar] [CrossRef]
- Meixell, M.J.; Gargeya, V.B. Global Supply Chain Design: A Literature Review and Critique. Transp. Res. Part E Logist. Transp. Rev. 2005, 41, 531–550. [Google Scholar] [CrossRef]
- Ritchie, B.; Brindley, C. Disintermediation, Disintegration and Risk in the SME Global Supply Chain. Manag. Decis. 2000, 38, 575–583. [Google Scholar] [CrossRef]
- Qi, S.; Jinli, G. Both Random and Preferential Attachment-the Inner Motivation in the Evolution of Hypernetworks. Complex Syst. Complex. Sci. 2016, 13, 52–55. [Google Scholar]
- Yin, H.; Wang, Z.; Gou, Y.; Xu, Z. Rumor Diffusion and Control Based on Double-Layer Dynamic Evolution Model. IEEE Access 2020, 8, 115273–115286. [Google Scholar] [CrossRef]
- Tian, X.; Chai, G.; Xie, Q.; Fan, M.; Qin, S.; Fan, C.; Gong, Y.; Liu, J.; Li, G. Risk Identification of Heavy Metals in Agricultural Soils from a Typically High Cd Geological Background Area in Upper Reaches of the Yangtze River. Bull. Environ. Contam. Toxicol. 2022, 109, 713–718. [Google Scholar] [CrossRef] [PubMed]
- Ma, W.; Zhang, P.; Zhao, X.; Xue, L. The Coupled Dynamics of Information Dissemination and SEIR-Based Epidemic Spreading in Multiplex Networks. Phys. A Stat. Mech. Its Appl. 2022, 588, 126558. [Google Scholar] [CrossRef] [PubMed]
- Yin, Q.; Wang, Z.; Xia, C.; Bauch, C.T. Impact of Co-Evolution of Negative Vaccine-Related Information, Vaccination Behavior and Epidemic Spreading in Multilayer Networks. Commun. Nonlinear Sci. Numer. Simul. 2022, 109, 106312. [Google Scholar] [CrossRef]
- Guo, H.; Wang, Z.; Sun, S.; Xia, C. Interplay between Epidemic Spread and Information Diffusion on Two-Layered Networks with Partial Mapping. Phys. Lett. Sect. A Gen. At. Solid State Phys. 2021, 398, 127282. [Google Scholar] [CrossRef]
- Mei, X.; Gong, G. Predicting Airborne Particle Deposition by a Modified Markov Chain Model for Fast Estimation of Potential Contaminant Spread. Atmos. Environ. 2018, 185, 137–146. [Google Scholar] [CrossRef]














| Parameters | Meaning of the Parameters |
|---|---|
| Probability of adding hyperedges | |
| Probability of rewiring hyperedges | |
| Probability of adding nodes and removing outdated nodes | |
| Number of hyperedges added (or rewired) | |
| Number of outdated nodes removed | |
| Number of new nodes added | |
| Wakefulness rate | |
| The rate at which official media publishes accurate information | |
| Probability of transition from E-state to I-state |
Publisher’s Note: MDPI stays neutral with regard to jurisdictional claims in published maps and institutional affiliations. |
© 2022 by the authors. Licensee MDPI, Basel, Switzerland. This article is an open access article distributed under the terms and conditions of the Creative Commons Attribution (CC BY) license (https://creativecommons.org/licenses/by/4.0/).
Share and Cite
Yu, P.; Wang, Z.; Sun, Y.; Wang, P. Risk Diffusion and Control under Uncertain Information Based on Hypernetwork. Mathematics 2022, 10, 4344. https://doi.org/10.3390/math10224344
Yu P, Wang Z, Sun Y, Wang P. Risk Diffusion and Control under Uncertain Information Based on Hypernetwork. Mathematics. 2022; 10(22):4344. https://doi.org/10.3390/math10224344
Chicago/Turabian StyleYu, Ping, Zhiping Wang, Yanan Sun, and Peiwen Wang. 2022. "Risk Diffusion and Control under Uncertain Information Based on Hypernetwork" Mathematics 10, no. 22: 4344. https://doi.org/10.3390/math10224344
APA StyleYu, P., Wang, Z., Sun, Y., & Wang, P. (2022). Risk Diffusion and Control under Uncertain Information Based on Hypernetwork. Mathematics, 10(22), 4344. https://doi.org/10.3390/math10224344

