Next Article in Journal
Could You Understand Me? The Relationship among Method Complexity, Preprocessing Complexity, Interpretability, and Accuracy
Previous Article in Journal
Optimizing Air Pollution Modeling with a Highly-Convergent Quasi-Monte Carlo Method: A Case Study on the UNI-DEM Framework
 
 
Font Type:
Arial Georgia Verdana
Font Size:
Aa Aa Aa
Line Spacing:
Column Width:
Background:
Article

An Evolutionary Game Analysis of Stakeholders’ Decision-Making Behavior in Medical Data Sharing

School of Information, Shanxi University of Finance and Economics, Taiyuan 030006, China
*
Author to whom correspondence should be addressed.
Mathematics 2023, 11(13), 2921; https://doi.org/10.3390/math11132921
Submission received: 29 May 2023 / Revised: 21 June 2023 / Accepted: 25 June 2023 / Published: 29 June 2023
(This article belongs to the Section E5: Financial Mathematics)

Abstract

In the era of big data, medical data sharing has become an inevitable requirement to improve the quality and efficiency of medical services. To advance the progress of medical data sharing and expedite the circulation of data value, it becomes crucial to examine the decision-making behavior of stakeholders involved in the medical-data-sharing process. To this end, we construct a three-way evolutionary game model applicable to the medical sharing scenario, analyzing the evolutionary trends in the selection strategies of data providers, the medical-data-sharing platform and data demanders. Furthermore, through theoretical analysis and simulation experiments, we explore the game equilibrium point of the system and analyze key factors that affect stakeholder strategy selection. The results of the experiment show that, in addition to data security, platforms and regulators should pay attention to the regulation and governance of the quality of data flows, which involves reasonable incentives–feedback–rewards and penalties. By strengthening the security technology and data governance system construction of sharing platforms, as well as promoting regulatory authorities to implement reward and punishment measures, etc., a stable state can be achieved in such systems. In addition, this article also proposes relevant management suggestions for medical data sharing in order to provide useful references for scientific decision making by stakeholders.

1. Introduction

With the continual promotion of medical informationization, medical big data [1,2] have become the main basis for decision making in the medical industry. For example, in the field of pharmaceutical e-commerce, a large amount of data is needed to guide drug companies’ production and platform stocking; in health management, long-term health data are needed to provide effective health management plans and disease diagnosis. However, the amount of data generated by a single institution is always limited. Currently, there is an urgent need to establish an efficient data-sharing mechanism between the medical sector and related organizations to solve the problem of fragmentation of medical information data [3,4]. In order to break through “data islands”, countries are exploring new models for sharing health and medical data [5,6]. By building various implementation forms, such as data-sharing platforms, joint data centers and medical cloud computing systems can collect integrate share analyze dispersed health and medical care from individual organization systemsto alleviate problems caused by the imbalanced distribution of medical resources.
In addition, with the advancement of digital transformation in the medical industry, the diversity and heterogeneity of data sources have increased, which has raised the requirements for the quality control of data. Traditional medical-data-sharing platforms only focus on the standardization and security of data, while neglecting to ensure the quality of data, which may affect the actual value of medical data utilization. To solve such problems, it is crucial to establish a data-sharing platform that integrates data governance functions. Unified data governance [7,8,9] can not only reduce duplicate work in data management but also provide a set of unified standards and formats for collecting, processing and using more standardized and normalized data, thus ensuring the quality and reliability of medical data and optimizing data processing efficiency.
However, simply building a medical-data-sharing platform with data governance capabilities does not guarantee efficient data sharing. From an economic perspective, medical data sharing is a continuous, multi-subject and bounded rational process [10]. Each stakeholder will pursue their own interests to maximize benefits. For example, data providers may subjectively provide invalid data to obtain incentive subsidies for participating in the sharing program in order to avoid privacy breaches. Data demanders may choose not to acquire low-quality data in order to avoid losses caused by it, which will hinder the development of medical data sharing and its applications.
Game theory can analyze the costs, benefits and losses of each stakeholder’s decision-making behavior in the system, and dynamically reflect the evolution of each party’s strategic choices and their optimization strategies [11,12,13] in the medical-data-sharing process. Therefore, we constructed a three-party evolutionary game model consisting of data providers, a medical big data-sharing platform, and data demanders. We focus on the impact of such factors as the reputation benefits of data providers, data governance capabilities of the sharing platform, and litigation costs for data demanders on the strategy selection by all parties. In summary, this article makes the following important contributions:
  • Combining the data-quality-management capabilities of shared platforms and their dominant position in medical big data sharing, we first explored the mechanism of strategic changes among the data providers, data demanders, and medical-data-sharing platform.
  • Secondly, we use Lyapunov stability theory to obtain the Nash equilibrium points of the established model and verify the stability of each equilibrium point.
  • Finally, through numerical simulation for the purpose of conducting a simulated experiment, the participants’ strategies are dynamically adjusted to achieve optimal Nash equilibrium.
The remainder of this paper is structured as follows. Section 2 describes related work in medical data sharing. Section 3 constructs a three-way evolutionary game model for medical data sharing and analyzes the stakeholder evolutionary law using replication dynamics equations. Section 4 analyzes the equilibrium point of the system using the Jacobian matrix and explores its stability. Section 5 uses numerical simulation and conducts simulation analysis to explore the various factors affecting the stability of the system. We conclude with relevant management insights and propose an agenda for future work.

2. Related Work

2.1. Medical Data Sharing

With the increasing degree of informationization in the medical industry, medical data have been accumulated on a large scale and have become an important strategic resource for all countries. To make better use of medical big data, the industry and academia are exploring medical-big-data-sharing models and conducting various types of research, mainly focusing on medical sharing privacy protection and incentive mechanisms.
Xu et al. [14] proposed an advanced cleanable signature scheme (SSPM) and validated its effectiveness in medical shared data scenarios through security analysis and performance evaluation. Due to the decentralized, tamper-proof, and traceable characteristics of the blockchain system, Liu et al. [15] developed a concept of medical data sharing based on blockchain and writing encryption that ensures data security while simultaneously lowering the cost of data sharing, hence driving medical data producers to join in sharing. Similarly, Garcia et al. [16] implemented a decentralized data governance framework that can manage and track data by combining proxy re-encryption, blockchain technology, and other techniques. The evaluation results indicate that the framework will achieve a higher level of transparency, privacy and trust at minimal cost for multi-stakeholder data-sharing scenarios.
Improving the incentive mechanism is also critical in the data-sharing scenario to promote the sharing and circulation of medical data. Medical data producers often need certain compensation as an incentive to reduce their risk perception [17]. Therefore, Zhu et al. [18] firstly derived a participant network composed of data owners, miners and third-party participants, and then proposed a Shapley value allocation scheme based on blockchain to provide new ideas for effectively encouraging medical data participants to cooperate. In order to encourage sharing by participants, Shae et al. [19] proposed to represent healthcare data as non-fungal tokens (NFTs). These NFTs can offer special incentives for each data-driven value chain unit, enabling the construction and development of a medical data ecosystem. Through investigation and research, Panagopoulos et al. [20] found that reasonable incentive policy guidance can effectively improve the restriction of data flow.

2.2. Game Theory on Data Sharing

Data or information sharing has become a vibrant research topic in various fields. In the sharing scenario, each participant wants to maximize their own benefits, which gives rise to some risks and uncertainties [21]. To address such issues, researchers usually use game theory to examine the interest relationship and decision-making behavior between participants so as to find the optimal sharing strategy.
GuoHua et al. [22] focused on the problem of agricultural supply chain management by fusing fuzzy big data and LSGDM to construct a new asymmetric sharing game model of agricultural information. Taking the real sea cucumber market as an example, the numerical simulation analysis is carried out to provide management enlightenment for the sustainable development of agricultural supply chain. To study knowledge sharing within the enterprise, Xiao et al. [23] established a game theory model between two different groups within the same enterprise from a microscopic perspective and examined its dynamic evolution process, filling the research gap in the field of knowledge sharing. In the context of cross-departmental data sharing in government, Dong et al. [24] improved the game relationship and created a tripartite game model using random disturbances, such as Gaussian white noise. They also examined the stability, equilibrium strategy, and evolution path of the game system, which successfully addressed the issue of insufficient cross-departmental data sharing in the development of digital government. Wu et al. [25] constructed a game model by considering demand-side firms and supply-side firms as two players based on the establishment of a cloud-sharing platform to explore their behaviors and decisions in the resource-sharing market. The study’s findings indicate that the best combination of model parameters can effectively improve the efficiency and scope of resource sharing, lower the company’s cost and risk, and boost its market competitiveness.
Big data sharing in the medical field often involves the exchange and sharing of data between multiple participants, including hospitals, research institutions, health insurance companies, and so on. Akkaoui et al. [26] studied a blockchain-based sharing framework, constructed a patient–requester game model from an EGT perspective, investigated the impact of relevant parameters in medical big data sharing in terms of trust, and validated the results through numerical simulations. In the e-health application scenario, Sfar et al. [27] proposed a Markov process-based privacy-preserving game model (MTGM), which can not only enhance privacy protection and improve time efficiency but also resolve the conflict of interest between data holders and data requesters to a certain extent. To balance the accuracy of medical diagnosis and the security of patient privacy, Jiang et al. [28] proposed a multi-party evolutionary game model based on UPHFPR to quantify the risk of physician visits. It realizes the dynamic adjustment of the behavior of doctors and patients, and provides an effective data-access control strategy for privacy protection in the medical field.
Most scholars have studied the problems of trust, privacy protection and incentive under medical big data sharing, and have given effective solutions, but there are still certain limitations. For example, only one or two of the stakeholders are considered, and the interaction and constraint mechanisms of different stakeholders are not comprehensively considered; in addition, the research and discussion on the quality of medical data are ignored, and the quality of medical data will directly affect the accuracy and effectiveness of medical decision making, which is also one of the decisive factors of medical big data sharing.
In this paper, a three-party dynamic game model is established using evolutionary game theory for the medical-big-data-sharing scenario, and in-depth modeling and analysis are carried out. Compared with the assumption of perfect rationality in traditional game theory, evolutionary game theory defines the rationality of participants as finite rationality, which is closer to the actual situation [29,30,31]. Furthermore, we present fresh illumination and ideas for increasing the study of medical data sharing by numerical simulation of how stakeholders accomplish reasonably stable strategy selection with continual interaction and adjustment.

3. Evolutionary Game Model

3.1. Key Stakeholder Game Relationships

As shown in Figure 1, this paper provides a framework to understand and analyze the relationships and dynamics between stakeholders in all big-data-sharing scenarios, with some generalizability. The parameter settings therein can be adjusted on a case-by-case basis to meet the needs and preferences of different shared domains. In the medical sharing scenario, three main stakeholders are included, namely data providers, the medical-data-sharing platform and data demanders. For data providers, they are motivated by the platform to participate in data sharing, and to maximize their own interests, they will consider the reputational benefits and security costs of sharing data, and choose whether to share true and valid data to the platform. For data demanders, they prioritize safeguarding their own benefits, and therefore will make decisions about whether to acquire data based on their trust in the platform. For the sharing platform, its ultimate goal is to safeguard the sharing dividends of the organizations or institutions participating in the sharing so as to promote more organizations to actively participate in the sharing and ultimately realize the sharing and interoperability of data resources in the medical field, and therefore, they will reduce the risk of data sharing by developing a strict management system, including the scope of use, access rights, and user identity authentication. In addition, the platform may choose to perform further calibration and enhancement of the quality of data on the platform.

3.2. Model Assumptions

The strategy choice of the three participating game subjects in the process of medical big data sharing follows the logic of limited rational behavior and is influenced by the interaction of other participants. Moreover, under the premise of information asymmetry, the parties choose their own game behaviors among themselves, and the decision-making behavior is random. In order to better present the game model, we set the relevant behavioral parameters of the three-party game and detail them in Table 1.
Assumption 1.
There are three main parties involved in the medical-data-sharing scenario. The first is providers of medical data ( P ) , including doctors and patients, who can upload their stored medical data to the sharing platform. For example, doctors can share their diagnostic data, case records or expert experience after digitization, while patients can share the massive amount of personal physiological monitoring data (blood glucose, heart rate, weight, body temperature, etc.) collected by medical IoT sensing devices. The probability of choosing “active sharing” is assumed to be x, and the probability of “negative sharing” is 1 x . The second is the medical-resource-sharing platform ( S ) , and usually they adopt data quality monitoring, evaluation, and correction means to improve data resource utilization. The probability of “data governance” is assumed to be y and the probability of “no data governance” is 1 y . The third is demanders of medical data ( D ) , who can use the data resources provided by the data platform for model research and product development. The probability that they choose to trust the platform and thus choose to acquire the data is assumed to be z, while the probability that they are skeptical and and decide not to obtain the data is 1 z . x, y, and z are in the range of [ 0 , 1 ] .
Assumption 2.
For data providers, they will receive an incentive subsidy E p from the data-sharing platform for participating in data sharing. If data providers choose to adopt a “negative sharing” strategy, only the cost of collecting and collating the data C p is incurred. However, if the platform has selected “data governance” and detects the invalidity of the data shared by the data provider, the platform has the right to claim from them M m . The accuracy of the platform calibration data quality is assumed to be h (0 < h < 1 ). If data providers choose to actively share, it will bear the additional risk of privacy leakage with a cost of C r . If data demanders choose to obtain the data at this point, data providers will receive sharing reputation benefit R p .
Assumption 3.
For the medical-data-sharing platform, if it chooses “data governance”, it will consume certain human and material resources, and the cost of governance is assumed to be C m . The active governance of the platform can ensure data quality, accelerate the efficiency of data sharing, realize the business value of data and improve the quality of service, and bring trust benefits B to data demanders and data providers. If there is a good open atmosphere at this point, i.e., data providers actively share and data demanders acquire, the platform will also receive incentive subsidies E g from the regulator. On the contrary, if the platform chooses “no data governance”, there is no governance cost and incentive subsidy.
Assumption 4.
For data demanders, if they choose to acquire data, they need to pay the data usage fee F to the sharing platform, and the cost of processing and utilizing the data is C d . At this time, data providers choose “active sharing”, and data demanders will save a lot of the cost of collecting and sorting effective data and obtain direct benefits R d . If data providers choose “negative sharing” and cause a loss L d to data demanders, the data acquirer will pay an additional cost C e to complain to the regulator. Since the platform and data demanders are direct trading parties, the supervisory agency will require the platform to pay a certain amount in compensation M g ( M g > C d + L d ) . At the same time, the sharing platform will pursue and punish data providers; the penalty amount is P, and the accountability ability is α ( 0 < α < 1 ) . On the contrary, if data demanders choose not to acquire the data, data providers “active sharing”, and other similar competition agencies actively acquire the data, which will bring negative benefits W to themselves in the long run.
We construct a decision tree of the three-party evolutionary game. As depicted in Figure 2, in the evolutionary game model of medical big data sharing based on data governance, there are three game subjects, who are data providers, the medical-data-sharing platform, and data demanders, and two connecting lines are generated between each subject and the next column, indicating that they each have two strategies to choose from. The eight end nodes in the last column represent the eight possible evolutionary outcomes of the game. Since the subjects involved in the game are all finite rational, their strategies selection probabilities change with the evolutionary learning mechanism, which further affects the whole game process.

3.3. Model Construction

Drawing upon the assumptions and analysis mentioned earlier, we develop a benefit matrix illustrating the interactions among the medical-data-sharing platform, data providers, and data demanders as presented in Table 2.

3.3.1. Strategy Stability Analysis for Data Providers

According to Table 2, the expected benefit E 11 for the “active sharing” strategy, the expected benefit E 12 for the “negative sharing” strategy, and the average expected benefit E 1 of data providers are as follows:
E 11 = y z ( E p C r C p + R p + h B ) + y ( 1 z ) ( E p + h B C p C r ) + z ( 1 y ) ( E p + R p C p C r ) + ( 1 y ) ( 1 z ) ( E p C p C r )
E 12 = y z ( E p C p α P h M m ) + y ( 1 z ) ( E p C p h M m ) + z ( 1 y ) ( E p C p α P ) + ( E p C p ) ( 1 y ) ( 1 z )
E 1 = x E 11 + ( 1 x ) E 12
To reveal the evolutionary trajectory and steady state of the strategic decisions made by the three game subjects during the sharing process, we first solve the replication dynamics equation for data providers P as follows:
F ( x ) = d x d t = x E 11 E 1 = ( 1 x ) x ( E 11 E 12 ) = x ( 1 x ) [ ( R p + α P ) z + ( B + M m ) h y C r ]
The derivative of F ( x ) is
d F ( x ) d x = ( 1 2 x ) [ ( R p + α P ) z + ( h B + h M m ) y C r ]
The theorem of the stability of differential equations states that data providers’ strategy must satisfy F ( x ) = 0 and d F ( x ) d x 0 . Let y 0 = C r ( R p + α P ) z h B + h M m . When y = y 0 , the replication kinetic equation F ( x ) = 0 . At this point, the strategy of data providers is in a steady state regardless of the value of x, whereas when z = 1 , two cases will occur.
When y < y 0 , we can obtain d F ( x ) d x x = 0 < 0 and d F ( x ) d x x = 1 > 0 . Therefore, when x = 0 , it is a stable state. This indicates that the strategy of data providers is closely related to the strategy of the data platform, and when the data platform deviates from a certain level of “data governance” strategy, data providers will tend to share negatively.
When y > y 0 , can get d F ( x ) d x x = 1 < 0 and d F ( x ) d x x = 0 > 0 . Therefore, when x = 1 , it represents a stable state. This implies that data providers will opt for the “active sharing” strategy if the likelihood of the platform selecting the “data governance” strategy surpasses a certain threshold.

3.3.2. Strategy Stability Analysis for Sharing Platform

For the sharing platform, the expected benefit E 21 of the “data governance” sharing strategy, the expected benefit E 22 of the “no data governance” sharing strategy, and the average expected benefit E 2 are, respectively,
E 21 = x z ( E g C m E p + F ) + x ( 1 z ) ( C m E p ) + ( 1 x ) z [ C m ( 1 h ) M g + h M m E p + F ] + ( 1 x ) ( 1 z ) ( C m + h M m E p )
E 22 = x z ( F E p ) + x ( 1 z ) ( E p ) + ( 1 x ) z ( F M g E p ) + ( 1 x ) ( 1 z ) ( E p )
E 2 = y E 21 + ( 1 y ) E 22
The replication dynamic equation for the sharing platform is as follows:
F ( y ) = d y d t = y E 21 E 2 = y ( 1 y ) E 21 E 22 = y ( 1 y ) [ ( h M m ) x + h M g z + ( E g h M g ) x z C m + h M m ]
The derivative of F ( y ) is
d F ( y ) d y = ( 1 2 y ) [ ( h M m ) x + h M g z + ( E g h M g ) x z + h M m C m ]
Let z 0 = C m h M m + h M m x h M g + ( E g h M g ) x . When z = z 0 , the replication kinetic equation is F ( y ) = 0 . At this point, the strategy of the sharing platform is in a steady state regardless of the value of y, whereas when z z 0 , two cases will occur.
When z < z 0 , we can obtain d F ( y ) d y y = 1 > 0 and d F ( y ) d y y = 0 < 0 . Therefore, when y = 0 , it is a stable state. This indicates that the sharing platform will choose the “no data governance” strategy when the likelihood that data demanders will select the “acquisition” strategy is lower than a specific threshold.
When z > z 0 , we can obtain d F ( y ) d y y = 0 > 0 and d F ( y ) d y y = 1 < 0 . Therefore, when y = 1 , it is a stable state. This means that if the likelihood of data demanders selecting the “acquisition” strategy exceeds a particular threshold, the sharing platform will select the “data governance” strategy.

3.3.3. Strategy Stability Analysis for Data Demanders

For data demanders, the expected benefit E 31 of the “acquisition” strategy, the expected benefit E 32 of the “no acquisition” strategy, and the average expected benefit E 3 are, respectively,
E 31 = x y ( h B + R d C d F ) + x ( 1 y ) ( R d C d F ) + ( 1 x ) y [ ( 1 h ) ( C d + L d M g ) C e F ] + ( 1 x ) ( 1 y ) [ ( C d + L d ) C e + M g F ]
E 32 = x y ( h B W ) + x ( 1 y ) ( W )
E 3 = z E 31 + ( 1 z ) E 32
The data demanders’ replication dynamic equation is
F ( z ) = d z d t = z E 31 E 3 = z ( 1 z ) E 31 E 32 = z ( 1 z ) [ ( C e + L d M g + R d + W ) x + ( h C d + h L d h M g ) y + ( h M g h L d + 2 h B h C d ) x y + M g C e F L d C d ]
The derivative of F ( z ) is
d F ( z ) d z = ( 1 2 z ) [ ( C e + L d M g + R d + W ) x + ( C d + L d M g ) h y + ( M g + L d + 2 B C d ) h x y + M g C e F L d C d ) ]
Let x 0 = [ C e + F + L d + C d M g + ( M g C d L d ) h y ] [ ( M g C d L d + 2 B ) h y + C e + L d M g + R d + W ] . When x = x 0 , the replication kinetic equation is F ( z ) = 0 . At this point, the strategy of the data demanders is in a steady state regardless of the value of y, whereas, when x x 0 , two cases will occur.
When x < x 0 , we can obtain d F ( z ) d z z = 0 < 0 and d F ( z ) d z z = 1 > 0 . The equilibrium point, thus, is z = 1 . Accordingly, data demanders will select the “no acquisition” strategy if the likelihood of data providers choosing the “active sharing” strategy is lower than a specific threshold.
When x > x 0 , we can obtain d F ( z ) d z z = 1 < 0 and d F ( z ) d z z = 0 > 0 . The equilibrium point, thus, is z = 0 . This indicates that if the probability of data providers opting for the “active sharing” strategy exceeds a particular threshold, data demanders will choose the “acquisition” strategy.

4. Analysis of Evolutionary Stabilization Strategies for Models

4.1. Jacobian Matrix

From the replicated dynamic equations of (4), (9), and (14), a three-dimensional dynamical system of data providers, data demanders, and the medical-data-sharing platform in the case of managing data quality is obtained:
F ( x ) = x ( 1 x ) [ ( R p + α P ) z + ( h B + h M m ) y C r ] F ( y ) = y ( 1 y ) [ ( h M m ) x + h M g z + ( E g h M g ) x z C m + h M m ] F ( z ) = z ( 1 z ) [ ( C e + L d M g + R d + W ) x + ( h C d + h L d h M g ) y + ( h M g h L d + 2 h B h C d ) x y + M g C e F L d C d ]
The Lyapunov stability theorem is mainly used to analyze the stability of differential equations, and in some cases, it can also be applied to evolutionary games. Specifically, the dynamic evolution process of the system can be described by establishing the corresponding differential equations. Then, the eigenvalues of the corresponding Jacobian matrix are calculated, and the equilibrium is locally asymptotically stable when all real parts of the eigenvalues are less than zero. Therefore, we first obtain the Jacobian matrix of the medical-big-data-sharing scenario from Equation (17) to further analyze the stability of each equilibrium point:
J = F 11 F 12 F 13 F 21 F 22 F 23 F 31 F 32 F 33
Among them,
F 11 = F ( x ) x = ( 1 2 x ) [ ( R p + α P ) z + ( h M m + h B ) y C r ] F 12 = F ( x ) y = x ( 1 x ) ( h B + h M m ) F 13 = F ( x ) z = x ( 1 x ) ( R p + α P ) F 21 = F ( y ) x = y ( 1 y ) [ ( E g h M g ) z h M m ] F 22 = F ( y ) y = ( 1 2 y ) [ ( h M m ) x + h M g z + ( E g h M g ) x z + h M m C m ] F 23 = F ( y ) z = y ( 1 y ) [ h M g + ( E g h M g ) x ] F 31 = F ( z ) x = z ( 1 z ) [ ( 2 h B h C d h L d + h M g ) y + C e + L d M g + R d + W ] F 32 = F ( z ) y = z ( 1 z ) [ ( 2 h B h C d h L d + h M g ) x + h C d + h L d h M g ] F 33 = F ( z ) z = ( 1 2 z ) [ ( C e + L d M g + R d + W ) x + ( h C d + h L d h M g ) y + ( h M g + 2 h B h C d h L d ) x y + M g C e F L d C d ]

4.2. Stability Analysis

If the rate of change of the selected strategies in a dynamic system is zero, i.e., F ( x ) = 0 , F ( y ) = 0 , and F ( z ) = 0 , then the equivalent equilibrium point can be found. Additionally, since the asymmetric game’s mixed strategy equilibrium is in an unstable non-asymptotical condition [32], we only analyze the pure strategy equilibrium points among them, which are E s 1 ( 0 , 0 , 0 ) , E s 2 ( 0 , 0 , 1 ) , E s 3 ( 0 , 1 , 0 ) , E s 4 ( 1 , 0 , 0 ) , E s 5 ( 0 , 1 , 1 ) , E s 6 ( 1 , 0 , 1 ) , E s 7 ( 1 , 1 , 0 ) , E s 8 ( 1 , 1 , 1 ) . The eigenvalues corresponding to each equilibrium point can be obtained by substituting the eight local equilibrium points into the Jacobian matrix and going by the aforementioned presumptions. The findings are displayed in Table 3.
Data have gradually become a key factor of production, and efficient data are crucial for enterprises to develop business systems, provide data services, and play the value of data. However, as the current data-sharing mechanism is still in its early stages, data demanders often need to invest significant costs in litigation and rights protection. On 11 December 2018, The Wall Street Journal published an article which pointed out that when data demanders file an appeal, they are also required to provide a significant amount of evidence and explanations, and then they have to wait for the regulatory authorities to review and process their request. This will require a significant amount of time and human resources from the data demanders, and these costs are often greater than the compensation received. Therefore, we set C e > M g in the experiment. As shown in Table 4, the equilibrium points for this scenario are ( 0 , 0 , 0 ) , ( 0 , 1 , 0 ) , ( 1 , 0 , 1 ) , and ( 1 , 1 , 1 ) .
Scenario 1: When h M m C m < 0 is satisfied, Figure 3 shows the evolutionary process of the three-way evolutionary game. Only the stability point E s 1 has negative values for all eigenvalues, so the system will remain stable at that point without major changes. Its corresponding evolutionary stability strategy (ESS) is negative sharing, no data governance, and no acquisition. At this point, increasing the governance capacity of the sharing platform or reducing the cost of data governance will reduce the possibility that the inequality holds.
Scenario 2: When C m h M m < 0 and C r R p h B α P h M m > 0 are satisfied, as shown in Figure 4, we obtain the results of 50 evolutions under this condition for three stakeholders. The system reaches ESS at (0,1,0), and the evolutionary stable strategy is to be negative about data sharing, not conduct data governance, and not acquire data. If the risk cost of data providers sharing data is reduced, the platform’s ability to govern data is improved, and the reputation benefits of data providers are increased, then it will reduce the possibility of the inequality holding true and move towards other equilibrium points.
Scenario 3: When E g C m < 0 and C r R p α P < 0 are satisfied, Figure 5 shows the evolutionary process of a three-player game. The system equilibrium point is E s 6 (1,0,1), and its corresponding evolutionarily stable strategy (ESS) is active sharing, no data governance, and acquisition. If the incentive subsidy from the regulator to the platform is increased at this point, it will reduce the possibility that the inequality holds and thus change to other equilibrium points.
Scenario 4: When C m E g < 0 , h B C r + h M m > 0 and C m h M m < 0 , Figure 6 shows the evolutionary process of the three-way evolutionary game at this time. The sole evolutionary stable point in this system is the equilibrium point E s 8 (1,1,1), which is active sharing, data governance, and acquisition. If we increase the incentive subsidy from the regulator to the platform, reduce the risk cost of sharing data by data providers, and increase the governance of the sharing platform at this point, it will increase the possibility that the inequality holds.

5. Numerical Simulation and Analysis

5.1. The Impact of Various Initial Strategies on Evolution

In the simulation experiments, we followed the stability analysis described in the previous section and used the same initial parameters as in Scenario 2. Subsequently, we gradually adjusted the initial strategies of the three parties with the aim of exploring the impact of the initial probability combination on the evolutionary path. It should be noted that all three parties are indispensable components of the dynamic system, so the stability of any one of the strategies may have a profound impact on the decision-making behavior of the other stakeholders.
In Figure 7, we set the initial strategies of both y and z to 0.5 and observe the evolutionary pattern of the system by changing the initial strategy of data providers. As x gradually increases from 0.2 to 0.8 , the evolution rate of the sharing platform to adopt the “data governance” strategy will increase, and data demanders will converge to “no acquisition” at a slower rate and tend to the “acquisition” trend. This shows that the strategy selection behavior of data providers will have a stronger impact on the entire system because data are the key resource for the flow of the entire sharing system, and the data quality determines the effectiveness of the entire sharing system.
Figure 8 shows the impact of the initial strategy of the sharing platform on the evolution of the system. As shown in Figure 8a, the behavior of data providers is less affected when the probability of adopting active governance increases from 0.2 to 0.8 , and the rate of convergence to “negative sharing” remains almost unchanged. In Figure 8b, the rate of data demanders converging to “no acquisition” is negatively correlated with y, indicating that the data governance behavior of the platform directly affects the decision-making behavior of data demanders.
As can be seen in Figure 9, the initial strategy of “acquisition” is adopted by data demanders in increasing steps, which has an impact on the decisions of other stakeholders in the system. As shown in Figure 9a, as z increases from 0.2 to 0.8 , the evolution of the data providers’ strategy of “negative sharing” slows down, and in Figure 9b, the evolution of the platform’s strategy of “data governance” accelerates. Thus, the strategy of data demanders directly influences the data governance of the sharing platform, which indirectly drives the active sharing behavior of data providers.

5.2. The Impact of the Parameters Related to Data Providers on System Evolution

5.2.1. Reputation Gain R p Obtained by Data Providers

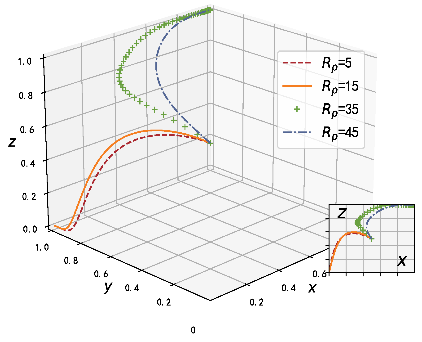
When data providers actively provide data and data demanders choose to acquire, data providers tend to receive reputation gains as shown in Figure 10. When the initial value of R p is 15 and other parameters remain unchanged, we study reducing R p to 5 and increasing it to 35 and 45, respectively. When R p decreases to 5, there is no significant change in the equilibrium point. However, as R p increases to 35, the equilibrium point transitions from ( 0 , 1 , 0 ) to ( 1 , 1 , 1 ) . In addition, according to its projection on x-z, as R p further increases to 45, the efficiency of data demanders evolving to “acquisition” further improves. This indicates that in the initial state, with a small R p , data providers often do not immediately adopt an “active sharing” strategy. Only when the reputation feedback mechanism of the sharing platform is gradually improved and data providers enjoy the reputation dividends brought by sharing data are they more willing to share data, further stimulating data demanders to take “acquisition” actions.

5.2.2. Cost of Privacy Breach Risk C r Borne by Data Providers

Due to the high cost of collecting and organizing medical data and its high correlation with patient privacy, in the process of actively sharing data by data providers, in addition to the fixed cost C p , additional privacy leakage risk costs C r need to be borne. As depicted in Figure 11, when all other parameters remain constant, the initial value of C r is set to 50. We study three scenarios: reducing C r to 15 and 35, and increasing C r to 70. The simulation results show that when C r increases, the equilibrium point does not change significantly, but when C r is less than or equal to 35, the equilibrium point of decision making changes significantly, from ( 0 , 1 , 0 ) to ( 1 , 1 , 1 ) . From the projection image on the x-z plane at the bottom right, we can see that with the decrease in C r , the likelihood of data providers choosing the “active sharing” strategy will approach 1, thus prompting the data demanders to choose to acquire data. It is clear that data providers often pay close attention to protecting data privacy, and if they believe that there is a significant risk that their privacy will be compromised, they do not actively participate in data sharing. Instead, lowering the risks associated with data sharing may encourage people to actively engage in it, enhancing the effectiveness and precision of data integration.

5.3. The Impact of the Parameters Related to Data Demanders on System Evolution

The Cost of the Complaint C e Borne by Data Demanders

When data providers negatively share the data, the benefit obtained by data demanders is almost zero, and the loss L d caused by the use of invalid data will also occur. In this case, data demanders will file a complaint with the supervisory authority. We set the initial cost C e for appeal to 35 and set its value range to 15 to 80. In Figure 12, it is found through simulation experiments that the increase in cost C e does not change the equilibrium point, which is still in the initial state ( 0 , 1 , 0 ) . However, from the projection of y-z, the pace at which data demanders adopt the “no acquisition” strategy is proportional to C e , while the platform’s adoption of the “data governance” strategy is inversely proportional to C e . In other words, when the cost of data demanders’ rights protection is large, they often choose not to acquire data, which will affect the positive data governance of the platform and then cause a vicious circle. Therefore, reducing the appeal cost of data demanders can promote the sharing and governance of medical data, and enhance the level of coordination and refined governance among medical systems.

5.4. The Impact of the Parameters Related to the Sharing Platform on System Evolution

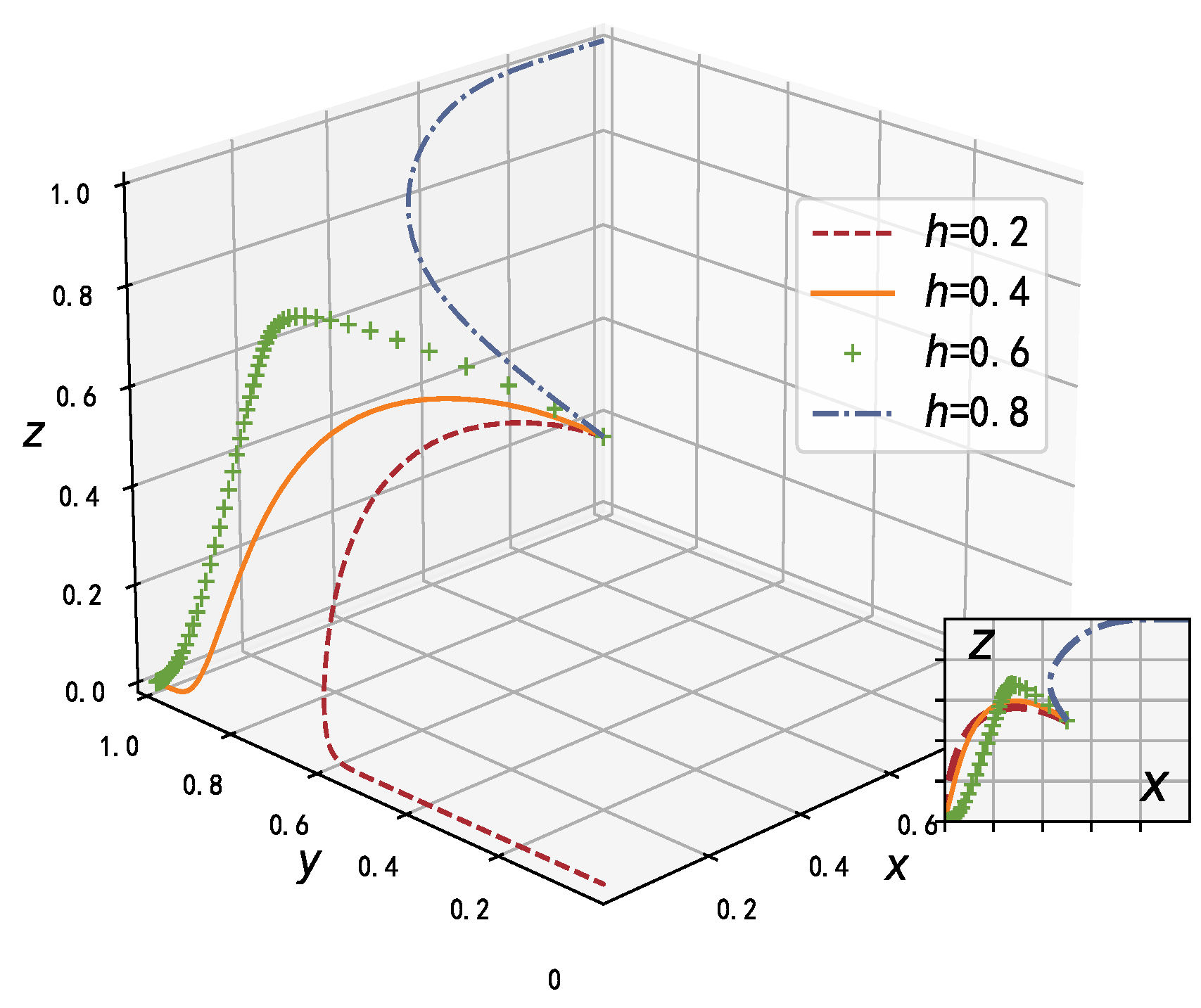
5.4.1. Data Governance Capability h of the Sharing Platform

To explore the impact of data governance capability on the dynamic system, we reduce the value of data governance capability h of the medical-data-sharing platform from the initial value of 0.4 to 0.2 and increase it to 0.6 and 0.8 . From Figure 13, we can see that when the value of data governance capability h of the data platform changes, the equilibrium point of tripartite evolution also changes, specifically. As h increases from 0.2 to 0.4, the equilibrium point changes from ( 0 , 0 , 0 ) to ( 0 , 1 , 0 ) , indicating that with the improvement of data governance capability, the platform can make more accurate judgments on the low-quality, outdated and invalid data provided by data providers. Therefore, the benefits of data governance to the platform will be greater than those without data governance. In addition, the projection of Figure 13 on x-z shows that as h increases from 0.2 to 0.8 , the probability of data providers and demanders adopting the “active sharing” strategy increases, and when h increases to 0.8 , x = 1 and z = 1 . Corresponding to the three-dimensional graph, the optimal equilibrium point (1,1,1) is generated, which shows that the data providers’ strategy is changed from “negative sharing” to “active sharing”. The strategy of data demanders is changed from “no acquisition” to “acquisition”. Therefore, improving the platform data governance capability will motivate more participants to interact with data and information on the platform.

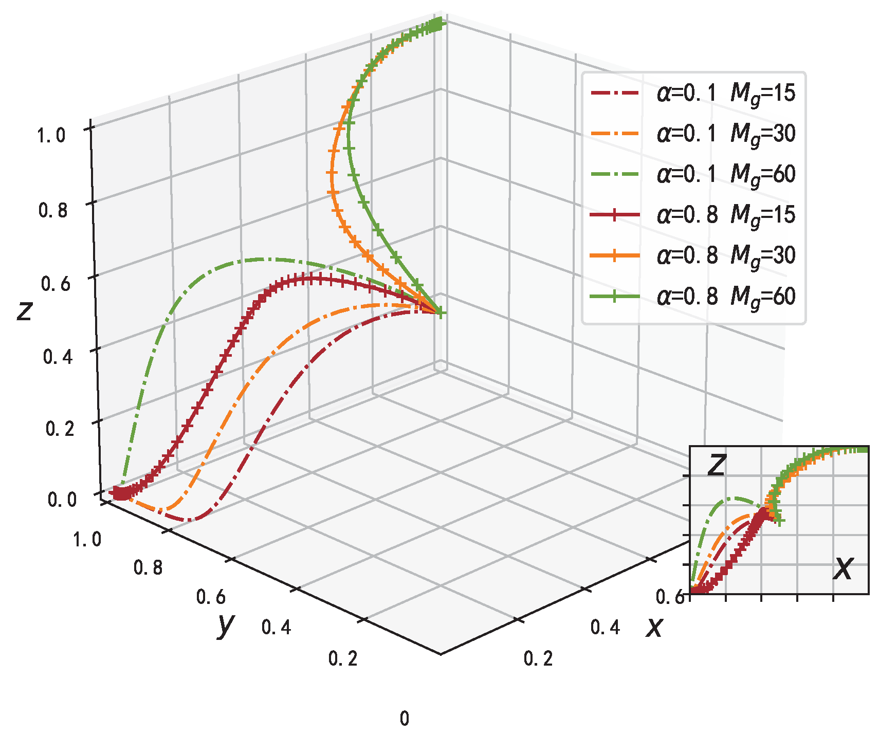
5.4.2. The Accountability Capability α of the Sharing Platform

When data demanders are unable to obtain the desired data, they will initiate a complaint against the platform to the regulator. If the data providers’ data quality is indeed low, the platform will pursue the data providers. As the ability of recourse increases, the penalty imposed on the data providers also increases. Therefore, in this paper, we set the initial value of α as 0.1 and gradually increase it to 0.4 , 0.6 and 0.8 to observe its impact on the decision-making behavior of the participants. From Figure 14, we can see that when α is less than 0.8, the decision strategies of the three participants will converge to ( 0 , 1 , 0 ) . From the x-y projection plot, it can be seen that the change of α has almost no effect on the decision behavior of the data providers. When α > = 0.8 , all participants will adopt an aggressive strategy, and the system equilibrium point becomes ( 1 , 1 , 1 ) . This indicates that in the initial state, data demanders resist the negative impact of low-quality data and adopt a “no acquisition” strategy. As the accountability of the platform to the providers increases, the trust constraint of data demanders to the providers will also increase, which will prompt data providers to choose to share data more actively, and data demanders will also be more inclined to choose to acquire data with higher trustworthiness.

5.5. The Impact of the Parameters Related to the Regulatory Agency on System Evolution

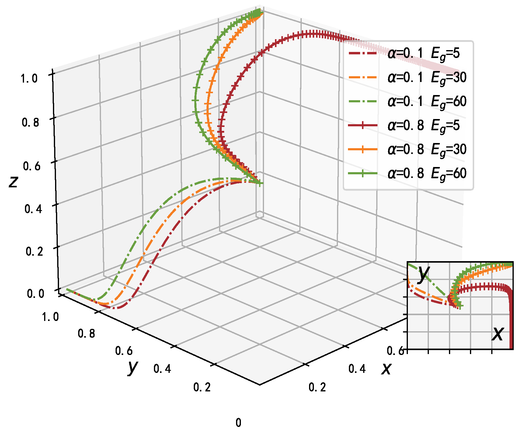
5.5.1. Penalties M g for Sharing Platform by Regulatory Agency

When receiving complaints from the data demand side, regulatory authorities will directly hold the resource sharing platform accountable, reflected in the penalty amount M g imposed on the platform. We set the initial value of M g to 30. Reduce the initial value of M g to 15 and increase it to 60, and observe the simulation results under different accountability capabilities of the sharing platform. Firstly, keep the platform’s accountability capability α = 0.1 unchanged as shown in Figure 15. The equilibrium point ( 0 , 1 , 0 ) is not changed, and the x-z projection shows that when M g increases from 30 to 60, the system tends to move towards ( 0 , 1 , 1 ) . This means that as the amount of punishment imposed by regulatory authorities on the platform increases, it accelerates the platform’s “data governance” actions, and the trust of data demanders in the platform also increases, which suppresses their “no acquisition” strategy. When the platform’s accountability ability α = 0.8 , if M g decreases to 15, even if the platform’s accountability ability is strong, the system does not reach the ideal state but reaches stability at ( 0 , 1 , 0 ) . This indicates that in order to achieve the ideal state, appropriate external intervention by regulatory agencies is also needed. By punishing the platform’s non-governance and inaction behavior, more data demanders are encouraged to actively acquire and utilize data, bringing about significant development for medical data sharing.

5.5.2. Incentive Subsidies E g for Sharing Platform by Regulatory Agency

Figure 16 shows the impact of incentive subsidies provided by supervisory agencies on the system when the accountability capabilities of internal platforms are different. The initial value of E g is 60, and we reduce it to 30 and 5. As shown in the projection diagram on x y , when α = 0.1 , the change in E g has no significant impact on the decision of x. In other words, when the accountability ability of the shared platform is low, it is not sensitive to changes in the incentive subsidies. Even if regulatory agencies provide subsidies, the platform’s strategy will not change much. Correspondingly, in the three-dimensional diagram, the equilibrium point remains at the position of ( 0 , 1 , 0 ) . On the contrary, when α = 0.8 , that is, the accountability ability of the sharing platform is high, the three-dimensional trajectory shows that the balance point is in the ideal state of ( 1 , 1 , 1 ) . However, as E g decreases to 5, the platform’s decision making is changed significantly from “data governance” to “no data governance”. Regulatory incentives and subsidies will affect the evolution of the system. It can be seen from the above that when the internal platform of the system has a strong accountability ability, the external intervention measures of the regulatory authority to encourage and subsidize the platform can play a significant role. In addition, properly improving the incentive subsidies for the platform will maintain the enthusiasm of the platform for continuous “data governance”. Otherwise, when data sharing forms certain trust constraints, the sharing platform will not conduct data governance. The value of data resources circulating on the platform cannot be fully exploited, and it will also result in resource waste caused by multiple data processors repeatedly processing the same data.

6. Conclusions and Suggestions

In this paper, we constructed a three-party evolutionary game model based on data providers, the medical-data-sharing platform, and data demanders. We examined the system equilibrium point and set parameters based on the actual situation, and analyzed the critical determinants impacting the decision-making behavior of stakeholders, which led to the following conclusions:
1.
The initial strategies chosen by each stakeholder have a direct influence on the stability of the equilibrium point in the system. Notably, the willingness of data providers to actively engage in data sharing has a more pronounced effect on the overall development of the data-sharing ecosystem.
2.
For data providers, their decision-making behavior is mainly influenced by the cost of sharing and the credibility gain they obtain. The strategy of data demanders is mainly influenced by the cost of complaints when their rights are violated.
3.
The strength of data governance and accountability of the medical-data-sharing platform affects the entire system. The better the data governance capability of the platform, the more data providers are inclined to actively share data. When the data-sharing platform has weak accountability, it will negatively affect the credibility and reputation of the platform, and ultimately reduce the efficiency of data circulation and sharing.
4.
The incentives and penalties of regulators are critical to the evolution of the overall system. It is when the incentive subsidies and penalties reach a certain threshold that sharing platforms will choose to strengthen data governance and drive more participants to benefit from data sharing.
In light of the aforementioned findings, we would like to propose the following recommendations:
1.
Data authenticity is a crucial requirement for securing shared advantages for data providers. As a result, data providers should first make sure that the data are accurate. To encourage a positive feedback loop of reciprocal transactions and enhance the value of data, data demanders should also promptly provide feedback on the impact of data use. In addition, data demanders should be aware of their rights and report to the relevant regulators in a timely manner to promote the healthy development of data sharing when they face losses caused by invalid data.
2.
Regarding the sharing platform, firstly, it should provide safe and reliable data transmission services, which means adopting advanced technical means, such as encryption technology, security authentication and blockchain, in order to reduce the data security costs of data providers. Secondly, to raise the caliber and dependability of data, a solid data governance structure should be built. Additionally, in situations involving the exchange of data, the opacity of the information may result in certain dangers and uncertainties. Therefore, the sharing platform should also establish a reliable reputation feedback mechanism so that data providers can be rewarded or held accountable based on feedback from data demanders. The above measures can help achieve the sustainable development of medical data sharing.
3.
For regulators, on the one hand, they can provide convenient rights protection services and support for data demanders by setting up special channels for data consumers to complain, or establishing independent data rights protection platforms so as to reduce the cost of rights protection for data demanders. On the other hand, the supervision of sharing platforms can be strengthened, including the establishment of a credit evaluation system for sharing platforms, providing technical support and related services to platforms with high scores, and timely verification and punishment of violations. These measures can restrict the behavior of sharing platforms, thereby indirectly encouraging data demanders and data providers to participate in data sharing, and ultimately promoting the development of data sharing.
Additionally, we developed a research agenda that aims to guide our work planning by outlining several possible future research directions:
1.
We will delve further into the application of the game framework used in this study to other areas of data sharing, and consider additional factors and variables to more fully analyze the distribution of benefits and decision making in sharing scenarios.
2.
We will further investigate ways to integrate cutting-edge technologies, such as blockchain and federated learning, with the medical-big-data-sharing system to fully realize data quality and security.

Author Contributions

Conceptualization, Y.G., Z.Z. and J.Y.; methodology, J.Y.; validation, Y.G. and Z.Z.; formal analysis, Y.G., Z.Z. and J.Y.; investigation, J.Y.; writing—original draft preparation, Y.G., Z.Z. and J.Y.; writing—review and editing, Y.G., Z.Z. and J.Y.; supervision, J.Y.; funding acquisition, J.Y. All authors have read and agreed to the published version of the manuscript.

Funding

This work was supported in part by the Humanities and Social Science Fund of Ministry of Education of China (No. 21YJCZH197); the Scientific and Technologial Innovation Programs of Higher Education Institutions in Shanxi (No. 2020L0252).

Institutional Review Board Statement

Not applicable.

Informed Consent Statement

Not applicable.

Data Availability Statement

Not applicable.

Conflicts of Interest

The authors declare no conflict of interest.

References

  1. Chauhan, C.; Parida, V.; Dhir, A. Linking circular economy and digitalisation technologies: A systematic literature review of past achievements and future promises. Technol. Forecast. Soc. Chang. 2022, 177, 121508. [Google Scholar] [CrossRef]
  2. Dash, S.; Shakyawar, S.K.; Sharma, M.; Kaushik, S. Big data in healthcare: Management, analysis and future prospects. J. Big Data 2019, 6, 1–25. [Google Scholar] [CrossRef]
  3. Miguel Cruz, A.; Marshall, S.; Daum, C.; Perez, H.; Hirdes, J.; Liu, L. Data silos undermine efforts to characterize, predict, and mitigate dementia-related missing person incidents. In Proceedings of the Healthcare Management Forum; SAGE Publications Sage CA: Los Angeles, CA, USA, 2022; Volume 35, pp. 333–338. [Google Scholar]
  4. Li, Q.; Diao, Y.; Chen, Q.; He, B. Federated learning on non-iid data silos: An experimental study. In Proceedings of the 2022 IEEE 38th International Conference on Data Engineering (ICDE), Virtual, 9–12 May 2022; pp. 965–978. [Google Scholar]
  5. Yang, Y.; Chen, T. Analysis and visualization implementation of medical big data resource sharing mechanism based on deep learning. IEEE Access 2019, 7, 156077–156088. [Google Scholar] [CrossRef]
  6. Narayanan, U.; Paul, V.; Joseph, S. A novel system architecture for secure authentication and data sharing in cloud enabled Big Data Environment. J. King Saud Univ. Comput. Inf. Sci. 2022, 34, 3121–3135. [Google Scholar] [CrossRef]
  7. Janssen, M.; Brous, P.; Estevez, E.; Barbosa, L.S.; Janowski, T. Data governance: Organizing data for trustworthy Artificial Intelligence. Gov. Inf. Q. 2020, 37, 101493. [Google Scholar] [CrossRef]
  8. Spengler, H.; Gatz, I.; Kohlmayer, F.; Kuhn, K.A.; Prasser, F. Improving data quality in medical research: A monitoring architecture for clinical and translational data warehouses. In Proceedings of the 2020 IEEE 33rd International Symposium on Computer-Based Medical Systems (CBMS), Rochester, MN, USA, 28–30 July 2020; pp. 415–420. [Google Scholar]
  9. Oktaviana, S.; Handayani, P.W.; Hidayanto, A.N. Health Data Governance Issues in Healthcare Facilities: Perspective of Hospital Management. In Proceedings of the 2022 10th International Conference on Information and Communication Technology (ICoICT), Virtual, 2–3 August 2022; pp. 1–5. [Google Scholar]
  10. Yang, J.; Wang, K. Tripartite Evolutionary Game Analysis of Medical Data Sharing Under Blockchain Architecture. Comput. Sci. 2023, 50, 221000080. [Google Scholar]
  11. Liu, W.; Long, S.; Wei, S.; Xie, D.; Wang, J.; Liu, X. Smart logistics ecological cooperation with data sharing and platform empowerment: An examination with evolutionary game model. Int. J. Prod. Res. 2022, 60, 4295–4315. [Google Scholar] [CrossRef]
  12. Shen, Y.; Shen, S.; Li, Q.; Zhou, H.; Wu, Z.; Qu, Y. Evolutionary privacy-preserving learning strategies for edge-based IoT data sharing schemes. Digit. Commun. Netw. 2022. [Google Scholar] [CrossRef]
  13. Wu, B.; Cheng, J.; Qi, Y. Tripartite evolutionary game analysis for “Deceive acquaintances” behavior of e-commerce platforms in cooperative supervision. Physica A 2020, 550, 123892. [Google Scholar] [CrossRef]
  14. Xu, Z.; Luo, M.; Peng, C.; Feng, Q. Sanitizable Signature Scheme with Privacy Protection for Electronic Medical Data Sharing. Cyber Secur. Appl. 2023, 1, 100018. [Google Scholar] [CrossRef]
  15. Liu, A.; Du, X.; Wang, N.; Qiao, R.; Ning, Y.; Zhang, L. Medical health data sharing scheme based on blockchain and attribute-based encryption. In Proceedings of the 2021 4th International Conference on Information Communication and Signal Processing (ICICSP), Changsha, China, 24–26 September 2021; pp. 553–559. [Google Scholar]
  16. Garcia, R.D.; Ramachandran, G.S.; Jurdak, R.; Ueyama, J. Blockchain-aided and Privacy-preserving Data Governance in Multi-stakeholder Applications. IEEE Trans. Netw. Serv. Manag. 2022, 19, 3781–3793. [Google Scholar] [CrossRef]
  17. Briscoe, F.; Ajunwa, I.; Gaddis, A.; McCormick, J. Evolving public views on the value of one’s DNA and expectations for genomic database governance: Results from a national survey. PLoS ONE 2020, 15, e0229044. [Google Scholar] [CrossRef]
  18. Zhu, L.; Dong, H.; Shen, M.; Gai, K. An incentive mechanism using shapley value for blockchain-based medical data sharing. In Proceedings of the 2019 IEEE 5th Intl Conference on Big Data Security on Cloud (BigDataSecurity), IEEE Intl Conference on High Performance and Smart Computing (HPSC) and IEEE Intl Conference on Intelligent Data and Security (IDS), Washington, DC, USA, 27–29 May 2019; pp. 113–118. [Google Scholar]
  19. Shae, Z.Y.; Tsai, J.J. On the Design of Medical Data Ecosystem for Improving Healthcare Research and Commercial Incentive. In Proceedings of the 2021 IEEE Third International Conference on Cognitive Machine Intelligence (CogMI), Atlanta, GA, USA, 13–15 December 2021; pp. 124–131. [Google Scholar]
  20. Panagopoulos, A.; Minssen, T.; Sideri, K.; Yu, H.; Compagnucci, M.C. Incentivizing the sharing of healthcare data in the AI Era. Comput. Law Secur. Rev. 2022, 45, 105670. [Google Scholar] [CrossRef]
  21. Hao, H.; Yang, J.; Wang, J. A Tripartite Evolutionary Game Analysis of Participant Decision-Making Behavior in Mobile Crowdsourcing. Mathematics 2023, 11, 1269. [Google Scholar] [CrossRef]
  22. GuoHua, Z.; Wei, W. Study of the Game Model of E-Commerce Information Sharing in an Agricultural Product Supply Chain based on fuzzy big data and LSGDM. Technol. Forecast. Soc. Change 2021, 172, 121017. [Google Scholar]
  23. Xiao, J.; Bao, Y.; Wang, J.; Yu, H.; Ma, Z.; Jing, L. Knowledge sharing in R&D teams: An evolutionary game model. Sustainability 2021, 13, 6664. [Google Scholar]
  24. Dong, C.; Liu, J.; Mi, J. How to Enhance Data Sharing in Digital Government Construction: A Tripartite Stochastic Evolutionary Game Approach. Systems 2023, 11, 212. [Google Scholar] [CrossRef]
  25. Wu, H.P.; Li, H.; Sun, X.L. Evolutionary Game for Entesrprise Cloud Accounting Resource Sharing Behavior Based on the Cloud Sharing Platform. IAENG Int. J. Appl. Math. 2021, 51, 1–8. [Google Scholar]
  26. Akkaoui, R.; Hei, X.; Cheng, W. An evolutionary game-theoretic trust study of a blockchain-based personal health data sharing framework. In Proceedings of the 2020 Information Communication Technologies Conference (ICTC), Nanjing, China, 29–31 May 2020; pp. 277–281. [Google Scholar]
  27. Sfar, A.R.; Natalizio, E.; Mazlout, S.; Challal, Y.; Chtourou, Z. Privacy preservation using game theory in e-health application. J. Inf. Secur. Appl. 2022, 66, 103158. [Google Scholar]
  28. Jiang, R.; Han, S.; Zhang, Y.; Chen, T.; Song, J. Medical big data access control model based on UPHFPR and evolutionary game. Alexandria Eng. J. 2022, 61, 10659–10675. [Google Scholar] [CrossRef]
  29. Hao, C.; Du, Q.; Huang, Y.; Shao, L.; Yan, Y. Evolutionary game analysis on knowledge-sharing behavior in the construction supply chain. Sustainability 2019, 11, 5319. [Google Scholar] [CrossRef]
  30. Du, L.; Feng, Y.; Lu, W.; Kong, L.; Yang, Z. Evolutionary game analysis of stakeholders’ decision-making behaviours in construction and demolition waste management. Environ. Impact Assess. Rev. 2020, 84, 106408. [Google Scholar] [CrossRef]
  31. Yang, J.; Yan, X.; Yang, W. A Tripartite Evolutionary Game Analysis of Online Knowledge Sharing Community. Wirel. Commun. Mob. Com. 2022, 2022, 4460034. [Google Scholar] [CrossRef]
  32. Selten, R. A note on evolutionarily stable strategies in asymmetric animal conflicts. J. Theor. Biol. 1980, 84, 93–101. [Google Scholar] [CrossRef]
Figure 1. Medical-big-data-sharing workflow.
Figure 1. Medical-big-data-sharing workflow.
Mathematics 11 02921 g001
Figure 2. Evolutionary game tree.
Figure 2. Evolutionary game tree.
Mathematics 11 02921 g002
Figure 3. Diagram of the evolution path under Scenario 1.
Figure 3. Diagram of the evolution path under Scenario 1.
Mathematics 11 02921 g003
Figure 4. Diagram of the evolution path under Scenario 2.
Figure 4. Diagram of the evolution path under Scenario 2.
Mathematics 11 02921 g004
Figure 5. Diagram of the evolution path under Scenario 3.
Figure 5. Diagram of the evolution path under Scenario 3.
Mathematics 11 02921 g005
Figure 6. Diagram of the evolution path under Scenario 4.
Figure 6. Diagram of the evolution path under Scenario 4.
Mathematics 11 02921 g006
Figure 7. The effect of a change in x on the evolution of the system.
Figure 7. The effect of a change in x on the evolution of the system.
Mathematics 11 02921 g007
Figure 8. The effect of a change in y on the evolution of the system.
Figure 8. The effect of a change in y on the evolution of the system.
Mathematics 11 02921 g008
Figure 9. The effect of a change in z on the evolution of the system.
Figure 9. The effect of a change in z on the evolution of the system.
Mathematics 11 02921 g009
Figure 10. Effect of changes in R p on evolutionary pathways.
Figure 10. Effect of changes in R p on evolutionary pathways.
Mathematics 11 02921 g010
Figure 11. Effect of changes in C r on evolutionary pathways.
Figure 11. Effect of changes in C r on evolutionary pathways.
Mathematics 11 02921 g011
Figure 12. Effect of changes in C e on evolutionary pathways.
Figure 12. Effect of changes in C e on evolutionary pathways.
Mathematics 11 02921 g012
Figure 13. Effect of changes in h on evolutionary pathways.
Figure 13. Effect of changes in h on evolutionary pathways.
Mathematics 11 02921 g013
Figure 14. Effect of changes in α on evolutionary pathways.
Figure 14. Effect of changes in α on evolutionary pathways.
Mathematics 11 02921 g014
Figure 15. Effect of changes in M g on evolutionary pathways.
Figure 15. Effect of changes in M g on evolutionary pathways.
Mathematics 11 02921 g015
Figure 16. Effect of changes in E g on evolutionary pathways.
Figure 16. Effect of changes in E g on evolutionary pathways.
Mathematics 11 02921 g016
Table 1. Main symbols used in the paper.
Table 1. Main symbols used in the paper.
SymbolDescription
BThe benefits of trust that sharing platform data governance brings to both parties involved in data sharing
R p Reputation gains of data providers actively sharing data
R d Data demanders actively obtain direct benefits from data
E p Incentive subsidies given by sharing platform to data providers
E g Incentive subsidies given by regulatory agencies to sharing platform
C r Additional risk costs that medical data providers bear by actively sharing data
C p The cost of negative sharing of data by data providers
C m The cost of data governance for the sharing platform
C d Cost of data demanders to exploit the data
C e Cost of complaints for data demanders
M g Compensation value of sharing platform for data demanders
M m Amount of compensation sought by sharing platform from data providers
PThe amount of penalty the sharing platform imposes on the data providers
WData demanders do not obtain the negative benefits generated by high-quality data
FThe data usage fee paid by the data demanders to the sharing platform
L d Losses generated by data demanders due to low data quality
hData governance capability of the sharing platform
α Accountability of the sharing platform
Table 2. The profit and loss matrix of the three game participants.
Table 2. The profit and loss matrix of the three game participants.
Data ProvidersData-Sharing PlatformData Demanders
Acquisition ( z ) No Acquisition ( 1 z )
Active sharing ( x ) Data governance ( y ) h B + R p + E p C p C r h B + E p C p C r
E g C m E p + F C m E p
h B + R d C d F h B W
No data governance ( 1 y ) R p + E p C p C r E p C p C r
E p + F E p
R d C d F W
Negative sharing ( 1 x ) Data governance ( y ) E p C p α P h M m E p C p h M m
C m ( 1 h ) M g + h M m E p + F C m + h M m E p
( 1 h ) ( C d + L d M g ) C e F 0
No data governance ( 1 y ) E p C p α P E p C p
M g E p + F E p
( C d + L d ) C e + M g F 0
Table 3. System equilibrium points and eigenvalues.
Table 3. System equilibrium points and eigenvalues.
λ 1 λ 2 λ 3
E s 1 (0,0,0) h M m C m C r M g C e F L d C d
E s 2 (0,0,1) h M g C m + h M m C d + C e + F + L d M g R p C r + α P
E s 3 (0,1,0) C m h M m h B C r + h M m ( 1 h ) ( M g L d C d ) C e F
E s 4 (1,0,0) C r C m R d F C d + W
E s 5 (0,1,1) C m h M g h M m R p C r + h B + α P + h M m C e + F ( 1 h ) ( M g L d C d )
E s 6 (1,0,1) E g C m C r R p α P C d + F R d W
E s 7 (1,1,0) C m C r h B h M m R d F C d + W + 2 h B
E s 8 (1,1,1) C m E g C d + F R d W 2 h B C r R p h B α P h M m
Table 4. Stability analysis of equilibrium points.
Table 4. Stability analysis of equilibrium points.
Symbols of EigenvaluesStability Analysis
E s 1 (0,0,0)(*, −, −)Uncertain, when C m > h M m , ESS is reached
E s 2 (0,0,1)(*, +, *)Unstable
E s 3 (0,1,0)(*, *, −)Uncertain, ESS is achieved when h M m > C m and C r > h M m + h B
E s 4 (1,0,0)(+, −, +)Unstable
E s 5 (0,1,1)(*, *, + )Unstable
E s 6 (1,0,1)(*, *, −)Uncertain, the ESS is reached when E g < C m and R p + α P > C r
E s 7 (1,1,0)(+, *, +)Unstable
E s 8 (1,1,1)(*, −, *)Uncertain, ESS is reached when R p + α P + h M m + h B > C r and E g > C m
Disclaimer/Publisher’s Note: The statements, opinions and data contained in all publications are solely those of the individual author(s) and contributor(s) and not of MDPI and/or the editor(s). MDPI and/or the editor(s) disclaim responsibility for any injury to people or property resulting from any ideas, methods, instructions or products referred to in the content.

Share and Cite

MDPI and ACS Style

Gao, Y.; Zhu, Z.; Yang, J. An Evolutionary Game Analysis of Stakeholders’ Decision-Making Behavior in Medical Data Sharing. Mathematics 2023, 11, 2921. https://doi.org/10.3390/math11132921

AMA Style

Gao Y, Zhu Z, Yang J. An Evolutionary Game Analysis of Stakeholders’ Decision-Making Behavior in Medical Data Sharing. Mathematics. 2023; 11(13):2921. https://doi.org/10.3390/math11132921

Chicago/Turabian Style

Gao, Yi, Zhiling Zhu, and Jian Yang. 2023. "An Evolutionary Game Analysis of Stakeholders’ Decision-Making Behavior in Medical Data Sharing" Mathematics 11, no. 13: 2921. https://doi.org/10.3390/math11132921

APA Style

Gao, Y., Zhu, Z., & Yang, J. (2023). An Evolutionary Game Analysis of Stakeholders’ Decision-Making Behavior in Medical Data Sharing. Mathematics, 11(13), 2921. https://doi.org/10.3390/math11132921

Note that from the first issue of 2016, this journal uses article numbers instead of page numbers. See further details here.

Article Metrics

Back to TopTop