Evolutionary Optimization of Energy Consumption and Makespan of Workflow Execution in Clouds
Abstract
1. Introduction
2. Related Work
3. Mathematical Models
3.1. Workflow and Resource Model
3.2. Problem Formulation
4. Algorithm Design
4.1. Motivation Examples
4.2. Main Framework
| Algorithm 1: Main Process of EMWSA | 
|  | 
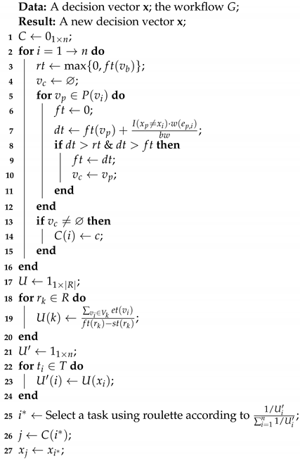
4.3. Problem-Specific Optimization Strategies
| Algorithm 2: Function AdjustCriticalTask(, G, R) | 
|  | 
| Algorithm 3: Function AdjustCPUFrequency(, G, R) | 
|  | 
5. Performance Evaluation
5.1. Experimental Setups
5.2. Comparison Results
5.3. Trends of Hypervolume Values
6. Conclusions and Future Work
Author Contributions
Funding
Institutional Review Board Statement
Informed Consent Statement
Data Availability Statement
Conflicts of Interest
References
- Armbrust, M.; Fox, A.; Griffith, R.; Joseph, A.D.; Katz, R.; Konwinski, A.; Lee, G.; Patterson, D.; Rabkin, A.; Stoica, I. A view of cloud computing. Commun. ACM 2010, 53, 50–58. [Google Scholar] [CrossRef]
- Gill, S.S.; Buyya, R. A taxonomy and future directions for sustainable cloud computing: 360 degree view. ACM Comput. Surv. 2018, 51, 1–33. [Google Scholar] [CrossRef]
- Dai, X.; Xiao, Z.; Jiang, H.; Alazab, M.; Lui, J.C.; Min, G.; Dustdar, S.; Liu, J. Task offloading for cloud-assisted fog computing with dynamic service caching in enterprise management systems. IEEE Trans. Ind. Inform. 2023, 19, 662–672. [Google Scholar] [CrossRef]
- Zhang, J.; Liu, Y.; Li, Z.; Lu, Y. Forecast-Assisted Service Function Chain Dynamic Deployment for SDN/NFV-Enabled Cloud Management Systems. IEEE Syst. J. 2023, 1–12. [Google Scholar] [CrossRef]
- Lv, Z.; Chen, D.; Lv, H. Smart city construction and management by digital twins and BIM big data in COVID-19 scenario. ACM Trans. Multimed. Comput. Commun. Appl. 2022, 18, 1–21. [Google Scholar] [CrossRef]
- Ye, R.; Liu, P.; Shi, K.; Yan, B. State damping control: A novel simple method of rotor UAV with high performance. IEEE Access 2020, 8, 214346–214357. [Google Scholar] [CrossRef]
- Lv, Z.; Qiao, L.; Hossain, M.S.; Choi, B.J. Analysis of using blockchain to protect the privacy of drone big data. IEEE Netw. 2021, 35, 44–49. [Google Scholar] [CrossRef]
- Yuan, H.; Bi, J.; Zhou, M.; Liu, Q.; Ammari, A.C. Biobjective task scheduling for distributed green data centers. IEEE Trans. Autom. Sci. Eng. 2020, 18, 731–742. [Google Scholar] [CrossRef]
- Jones, N. How to stop data centres from gobbling up the world’s electricity. Nature 2018, 561, 163–166. [Google Scholar] [CrossRef]
- Li, M.; Tian, Z.; Du, X.; Yuan, X.; Shan, C.; Guizani, M. Power normalized cepstral robust features of deep neural networks in a cloud computing data privacy protection scheme. Neurocomputing 2023, 518, 165–173. [Google Scholar] [CrossRef]
- Min, C.; Pan, Y.; Dai, W.; Kawsar, I.; Li, Z.; Wang, G. Trajectory optimization of an electric vehicle with minimum energy consumption using inverse dynamics model and servo constraints. Mech. Mach. Theory 2023, 181, 105185. [Google Scholar] [CrossRef]
- Duan, Y.; Zhao, Y.; Hu, J. An initialization-free distributed algorithm for dynamic economic dispatch problems in microgrid: Modeling, optimization and analysis. Sustain. Energy Grids Netw. 2023, 34, 101004. [Google Scholar] [CrossRef]
- Lee, Y.C.; Zomaya, A.Y. Energy conscious scheduling for distributed computing systems under different operating conditions. IEEE Trans. Parallel Distrib. Syst. 2011, 22, 1374–1381. [Google Scholar] [CrossRef]
- Masdari, M.; Zangakani, M. Green cloud computing using proactive virtual machine placement: Challenges and issues. J. Grid Comput. 2020, 18, 727–759. [Google Scholar] [CrossRef]
- Li, Z.; Ge, J.; Hu, H.; Song, W.; Hu, H.; Luo, B. Cost and energy aware scheduling algorithm for scientific workflows with deadline constraint in clouds. IEEE Trans. Serv. Comput. 2018, 11, 713–726. [Google Scholar] [CrossRef]
- Chen, H.; Zhu, X.; Liu, G.; Pedrycz, W. Uncertainty-aware online scheduling for real-time workflows in cloud service environment. IEEE Trans. Serv. Comput. 2021, 14, 1167–1178. [Google Scholar] [CrossRef]
- Chen, H.; Wen, J.; Pedrycz, W.; Wu, G. Big data processing workflows oriented real-time scheduling algorithm using task-duplication in geo-distributed clouds. IEEE Trans. Big Data 2018, 6, 131–144. [Google Scholar] [CrossRef]
- Durillo, J.J.; Nae, V.; Prodan, R. Multi-objective energy-efficient workflow scheduling using list-based heuristics. Future Gener. Comput. Syst. 2014, 36, 221–236. [Google Scholar] [CrossRef]
- Hafsi, H.; Gharsellaoui, H.; Bouamama, S. Genetically-modified Multi-objective Particle Swarm Optimization approach for high-performance computing workflow scheduling. Appl. Soft Comput. 2022, 122, 108791. [Google Scholar] [CrossRef]
- Tian, J.; Hou, M.; Bian, H.; Li, J. Variable surrogate model-based particle swarm optimization for high-dimensional expensive problems. Complex Intell. Syst. 2022, 1–49. [Google Scholar] [CrossRef]
- Ismayilov, G.; Topcuoglu, H.R. Neural network based multi-objective evolutionary algorithm for dynamic workflow scheduling in cloud computing. Future Gener. Comput. Syst. 2020, 102, 307–322. [Google Scholar] [CrossRef]
- Zhang, K.; Wang, Z.; Chen, G.; Zhang, L.; Yang, Y.; Yao, C.; Wang, J.; Yao, J. Training effective deep reinforcement learning agents for real-time life-cycle production optimization. J. Pet. Sci. Eng. 2022, 208, 109766. [Google Scholar] [CrossRef]
- Feng, Q.; Feng, Z.; Su, X. Design and simulation of human resource allocation model based on double-cycle neural network. Comput. Intell. Neurosci. 2021, 2021, 7149631. [Google Scholar] [CrossRef] [PubMed]
- Hussain, M.; Wei, L.F.; Rehman, A.; Abbas, F.; Hussain, A.; Ali, M. Deadline-constrained energy-aware workflow scheduling in geographically distributed cloud data centers. Future Gener. Comput. Syst. 2022, 132, 211–222. [Google Scholar] [CrossRef]
- Bharany, S.; Badotra, S.; Sharma, S.; Rani, S.; Alazab, M.; Jhaveri, R.H.; Gadekallu, T.R. Energy efficient fault tolerance techniques in green cloud computing: A systematic survey and taxonomy. Sustain. Energy Technol. Assess. 2022, 53, 102613. [Google Scholar] [CrossRef]
- Medara, R.; Singh, R.S.; Sompalli, M. Energy and cost aware workflow scheduling in clouds with deadline constraint. Concurr. Comput. Pract. Exp. 2022, 34, e6922. [Google Scholar] [CrossRef]
- Pan, L.; Liu, X.; Jia, Z.; Xu, J.; Li, X. A Multi-objective Clustering Evolutionary Algorithm for Multi-workflow Computation Offloading in Mobile Edge Computing. IEEE Trans. Cloud Comput. 2021. [Google Scholar] [CrossRef]
- Mohammadzadeh, A.; Masdari, M.; Gharehchopogh, F.S. Energy and cost-aware workflow scheduling in cloud computing data centers using a multi-objective optimization algorithm. J. Netw. Syst. Manag. 2021, 29, 1–34. [Google Scholar] [CrossRef]
- Mohammadzadeh, A.; Masdari, M.; Gharehchopogh, F.S.; Jafarian, A. A hybrid multi-objective metaheuristic optimization algorithm for scientific workflow scheduling. Clust. Comput. 2021, 24, 1479–1503. [Google Scholar] [CrossRef]
- Hussain, M.; Wei, L.F.; Abbas, F.; Rehman, A.; Ali, M.; Lakhan, A. A multi-objective quantum-inspired genetic algorithm for workflow healthcare application scheduling with hard and soft deadline constraints in hybrid clouds. Appl. Soft Comput. 2022, 128, 109440. [Google Scholar] [CrossRef]
- Paknejad, P.; Khorsand, R.; Ramezanpour, M. Chaotic improved PICEA-g-based multi-objective optimization for workflow scheduling in cloud environment. Future Gener. Comput. Syst. 2021, 117, 12–28. [Google Scholar] [CrossRef]
- Peng, K.; Zhu, M.; Zhang, Y.; Liu, L.; Zhang, J.; Leung, V.C.; Zheng, L. An energy-and cost-aware computation offloading method for workflow applications in mobile edge computing. EURASIP J. Wirel. Commun. Netw. 2019, 2019, 207. [Google Scholar] [CrossRef]
- Tarafdar, A.; Debnath, M.; Khatua, S.; Das, R.K. Energy and makespan aware scheduling of deadline sensitive tasks in the cloud environment. J. Grid Comput. 2021, 19, 1–25. [Google Scholar] [CrossRef]
- Xia, X.; Qiu, H.; Xu, X.; Zhang, Y. Multi-objective workflow scheduling based on genetic algorithm in cloud environment. Inf. Sci. 2022, 606, 38–59. [Google Scholar] [CrossRef]
- Zhu, Z.; Zhang, G.; Li, M.; Liu, X. Evolutionary multi-objective workflow scheduling in cloud. IEEE Trans. Parallel Distrib. Syst. 2016, 27, 1344–1357. [Google Scholar] [CrossRef]
- Pham, T.P.; Fahringer, T. Evolutionary multi-objective workflow scheduling for volatile resources in the cloud. IEEE Trans. Cloud Comput. 2022, 10, 1780–1791. [Google Scholar] [CrossRef]
- Topcuoglu, H.; Hariri, S.; Wu, M.Y. Performance-effective and low-complexity task scheduling for heterogeneous computing. IEEE Trans. Parallel Distrib. Syst. 2002, 13, 260–274. [Google Scholar] [CrossRef]
- Coello, C.A.C.; Brambila, S.G.; Gamboa, J.F.; Tapia, M.G.C.; Gómez, R.H. Evolutionary multiobjective optimization: Open research areas and some challenges lying ahead. Complex Intell. Syst. 2020, 6, 221–236. [Google Scholar] [CrossRef]
- Chen, H.; Cheng, R.; Wen, J.; Li, H.; Weng, J. Solving large-scale many-objective optimization problems by covariance matrix adaptation evolution strategy with scalable small subpopulations. Inf. Sci. 2020, 509, 457–469. [Google Scholar] [CrossRef]
- Deb, K.; Pratap, A.; Agarwal, S.; Meyarivan, T. A fast and elitist multiobjective genetic algorithm: NSGA-II. IEEE Trans. Evol. Comput. 2002, 6, 182–197. [Google Scholar] [CrossRef]
- Sathya Sofia, A.; GaneshKumar, P. Multi-objective task scheduling to minimize energy consumption and makespan of cloud computing using NSGA-II. J. Netw. Syst. Manag. 2018, 26, 463–485. [Google Scholar] [CrossRef]
- Wu, Q.; Zhou, M.; Zhu, Q.; Xia, Y.; Wen, J. MOELS: Multiobjective evolutionary list scheduling for cloud workflows. IEEE Trans. Autom. Sci. Eng. 2020, 17, 166–176. [Google Scholar] [CrossRef]
- Zitzler, E.; Thiele, L. Multiobjective evolutionary algorithms: A comparative case study and the strength Pareto approach. IEEE Trans. Evol. Comput. 1999, 3, 257–271. [Google Scholar] [CrossRef]





| Notation | Definition | 
|---|---|
| V | set of tasks in the workflow | 
| i-th task in the workflow | |
| set of task ’s direct precursors | |
| set of task ’s direct successors | |
| all of the tasks being executed before on the same resource | |
| all of the tasks being mapped to resource | |
| k-th resource instance with type | |
| -th resource type | |
| E | set of directed edges among tasks | 
| size of data being transferred from task to task | |
| start time of task on resource | |
| finish time of task on resource | |
| execution time of task on resource | |
| power consumption of a resource with type | 
| − | 5.0 | 3.0 | − | − | |
| − | − | 5.0 | − | − | |
| − | − | − | − | 5.0 | |
| − | − | − | − | 10.0 | |
| − | − | − | − | − | 
| Levels | ADM Turion MT-34 | AMD Opteron 2218 | Intel Xeon E5450 | |||
|---|---|---|---|---|---|---|
| Vol. (V) | Fre. (GHz) | Vol. (V) | Fre. (GHz) | Vol. (V) | Fre. (GHz) | |
| 0 | 1.20 | 1.80 | 1.30 | 2.60 | 1.35 | 3.00 | 
| 1 | 1.15 | 1.60 | 1.25 | 2.40 | 1.17 | 2.67 | 
| 2 | 1.40 | 1.40 | 1.20 | 2.20 | 1.00 | 2.33 | 
| 3 | 1.20 | 1.20 | 1.15 | 2.00 | 0.85 | 2.00 | 
| 4 | 1.00 | 1.00 | 1.10 | 1.80 | − | − | 
| 5 | 0.80 | 0.80 | 1.05 | 1.00 | − | − | 
| Workflows | n | EMS-C | SGA | GALCS | MOELS | EMWSA | 
|---|---|---|---|---|---|---|
| Montage | 25 | 1.068 × 10 (4.7 × 10) − | 1.075 × 10 (3.6 × 10) − | 9.062 × 10 (7.1 × 10) − | 5.606 × 10 (2.5 × 10) − | 1.157 × 10 (3.7 × 10) | 
| 50 | 7.896 × 10 (8.8 × 10) − | 7.766 × 10 (9.1 × 10) − | 1.139 × 10 (1.1 × 10) − | 2.669 × 10 (4.2 × 10) − | 7.951 × 10 (6.5 × 10) | |
| 100 | 2.011 × 10 (3.3 × 10) − | 1.958 × 10 (3.5 × 10) − | 0.000 × 10 (0.0 × 10) − | 0.000 × 10 (0.0 × 10) − | 2.285 × 10 (3.1 × 10) | |
| 1000 | 3.534 × 10 (2.4 × 10) − | 3.517 × 10 (2.6 × 10) − | 0.000 × 10 (0.0 × 10) − | 0.000 × 10 (0.0 × 10) − | 4.658 × 10 (5.8 × 10) | |
| Epigenomics | 24 | 2.812 × 10 (2.0 × 10) − | 2.796 × 10 (4.8 × 10) − | 2.731 × 10 (3.9 × 10) − | 2.352 × 10 (1.6 × 10) − | 2.825 × 10 (2.8 × 10) | 
| 46 | 4.378 × 10 (6.7 × 10) − | 4.388 × 10 (4.9 × 10) − | 4.205 × 10 (1.2 × 10) − | 3.666 × 10 (3.2 × 10) − | 4.406 × 10 (5.5 × 10) | |
| 100 | 1.081 × 10 (8.0 × 10) − | 1.071 × 10 (1.4 × 10) − | 1.034 × 10 (3.8 × 10) − | 7.873 × 10 (9.2 × 10) − | 1.088 × 10 (7.2 × 10) | |
| 997 | 3.823 × 10 (7 × 10) − | 3.817 × 10 (8 × 10) − | 2.365 × 10 (4 × 10) − | 2.122 × 10 (3 × 10) − | 4.033 × 10 (7 × 10) | |
| Inspiral | 30 | 7.197 × 10 (2.7 × 10) − | 7.346 × 10 (3.7 × 10) − | 6.168 × 10 (4.9 × 10) − | 3.900 × 10 (7.5 × 10) − | 8.664 × 10 (4.8 × 10) | 
| 50 | 5.515 × 10 (3.7 × 10) − | 5.592 × 10 (3.4 × 10) − | 4.092 × 10 (7.2 × 10) − | 2.527 × 10 (4.5 × 10) − | 6.006 × 10 (2.8 × 10) | |
| 100 | 1.428 × 10 (1.8 × 10) − | 1.416 × 10 (4.3 × 10) − | 1.848 × 10 (6.4 × 10) − | 8.216 × 10 (2.8 × 10) − | 1.482 × 10 (1.5 × 10) | |
| 1000 | 1.797 × 10 (2.4 × 10) − | 1.932 × 10 (9.0 × 10) − | 0.000 × 10 (0.0 × 10) − | 0.000 × 10 (0.0 × 10) − | 2.360 × 10 (1.7 × 10) | |
| CyberShake | 30 | 3.641 × 10 (3.2 × 10) − | 1.978 × 10 (4.2 × 10) − | 1.139 × 10 (4.1 × 10) − | 7.417 × 10 (1.2 × 10) − | 6.146 × 10 (4.3 × 10) | 
| 50 | 7.614 × 10 (3.9 × 10) − | 8.165 × 10 (6.9 × 10) − | 6.560 × 10 (1.2 × 10) − | 2.549 × 10 (9.2 × 10) − | 8.356 × 10 (3.8 × 10) | |
| 100 | 2.689 × 10 (9.3 × 10) − | 2.726 × 10 (1.3 × 10) − | 2.221 × 10 (2.5 × 10) − | 9.230 × 10 (5.4 × 10) − | 2.922 × 10 (1.1 × 10) | |
| 1000 | 8.170 × 10 (4.0 × 10) − | 7.876 × 10 (3.1 × 10) − | 0.000 × 10 (0.0 × 10) − | 3.579 × 10 (4.5 × 10) − | 8.263 × 10 (7.6 × 10) | |
| Sipht | 30 | 1.825 × 10 (1.2 × 10)≈ | 1.809 × 10 (6.7 × 10) − | 1.784 × 10 (7.1 × 10) − | 1.343 × 10 (8.4 × 10) − | 1.824 × 10 (8.3 × 10) | 
| 60 | 3.415 × 10 (2.0 × 10) − | 3.413 × 10 (2.1 × 10) − | 3.338 × 10 (1.9 × 10) − | 2.859 × 10 (1.7 × 10) − | 3.444 × 10 (9.4 × 10) | |
| 100 | 3.435 × 10 (2.1 × 10) − | 3.413 × 10 (1.5 × 10) − | 3.328 × 10 (1.7 × 10) − | 2.068 × 10 (3.1 × 10) − | 3.462 × 10 (1.3 × 10) | |
| 1000 | 6.137 × 10 (1.4 × 10) − | 6.252 × 10 (8.8 × 10) − | 2.941 × 10 (5.3 × 10) − | 1.170 × 10 (6.9 × 10) − | 6.869 × 10 (9.5 × 10) | 
| Disclaimer/Publisher’s Note: The statements, opinions and data contained in all publications are solely those of the individual author(s) and contributor(s) and not of MDPI and/or the editor(s). MDPI and/or the editor(s) disclaim responsibility for any injury to people or property resulting from any ideas, methods, instructions or products referred to in the content. | 
© 2023 by the authors. Licensee MDPI, Basel, Switzerland. This article is an open access article distributed under the terms and conditions of the Creative Commons Attribution (CC BY) license (https://creativecommons.org/licenses/by/4.0/).
Share and Cite
Xing, L.; Li, J.; Cai, Z.; Hou, F. Evolutionary Optimization of Energy Consumption and Makespan of Workflow Execution in Clouds. Mathematics 2023, 11, 2126. https://doi.org/10.3390/math11092126
Xing L, Li J, Cai Z, Hou F. Evolutionary Optimization of Energy Consumption and Makespan of Workflow Execution in Clouds. Mathematics. 2023; 11(9):2126. https://doi.org/10.3390/math11092126
Chicago/Turabian StyleXing, Lining, Jun Li, Zhaoquan Cai, and Feng Hou. 2023. "Evolutionary Optimization of Energy Consumption and Makespan of Workflow Execution in Clouds" Mathematics 11, no. 9: 2126. https://doi.org/10.3390/math11092126
APA StyleXing, L., Li, J., Cai, Z., & Hou, F. (2023). Evolutionary Optimization of Energy Consumption and Makespan of Workflow Execution in Clouds. Mathematics, 11(9), 2126. https://doi.org/10.3390/math11092126
 
        

 
       