Abstract
Interior permanent magnet synchronous machines (IPMSMs) driven with a square-wave control (i.e., six-step, block, or 120° control), known commonly as brushless direct current (BLDC) drives, are used widely due to their high power density and control simplicity. The advance firing (AF) angle is employed to achieve improved operation characteristics of the drive. The AF angle is, in general, applied to compensate for the commutation effects. In the case of an IPMSM, the AF angle can also be adjusted to exploit reluctance torque. In this paper, a detailed study was performed to understand its effect on the drive’s performance in regard to reluctance torque. Furthermore, a multi-objective optimization of the machine’s cross-section using neural network models was conducted to enhance performance at a constant AF angle. The reference and improved machine designs were evaluated in a system-level simulation, where the impact was considered of the commutation of currents. A significant improvement in the machine performance was achieved after optimizing the geometry and implementing a fixed AF angle of 10°.
Keywords:
maximum torque per ampere (MTPA); interior permanent magnet synchronous machine (IPMSM); brushless direct current (BLDC) drive; rotor optimization; square-wave control; advance firing angle; neural network MSC:
78-10
1. Introduction
One way to operate permanent magnet synchronous machines (PMSMs) is to drive them with a square-wave control (SWC) (i.e., six-step, block, or 120° control), known commonly as the brushless direct current (BLDC) drive. This drive system does not require exact continuous knowledge of the rotor position, but only six position states are determined, typically delivered by three Hall sensors. Further, only the direct current (DC) is measured, resulting in a cheap and simple implementation. Fundamental studies on the BLDC drives were provided in [1,2], where the fundamental working principles of SWC are presented. The research on this topic has been accelerated in recent years. The average-value modeling of BLDC drives for more effective machine control was introduced in [3]. A detailed analysis of different control methods for BLDC drives, where the commutation interval extends over 120°, was presented in [4]. The maximum torque per ampere (MTPA) control of BLDC drives is presented in [5]. How to reduce the torque ripple in a BLDC drive is presented in [6], and an active disturbance rejection SWC is described in [7], whereas [8] gives a state-of-the-art review of the BLDC drive technology.
As such machines are driven by the SWC, the square-wave-like currents produced in the machine’s windings exhibit a commutation interval, which is a consequence of activating individual windings and a finite current rise time due to their leakage inductance. The commutation analysis of BLDC drives is presented in more detail in [9]. Reduction of commutation torque ripple in BLDC drives through detailed analysis of the commutation interval and the implementation of an appropriate voltage vector is discussed in [10]. To compensate for the negative effects of commutation, adjusting the advance firing (AF) angle (also called the pre-commutation angle) by a fixed value is a common strategy [11]. This adjustment aligns the back electromotive force (EMF) approximately with the commutating current in individual phases at maximum current [5,11]. However, as the relative duration of the commutation interval varies with speed and current amplitude, a single, fixed AF angle is not the most adequate solution when operating at lower loads, i.e., in the majority of the operation range. The problem was addressed by developing a compensation method that aligns the fundamental harmonic components of the back EMF and the current precisely with an alignment AF angle [5].
Operating machines at very high speeds is often necessary for applications that require high power densities. Due to the high speed, interior magnets are often used, resulting in interior permanent magnet synchronous machines (IPMSMs), which are characterized by their generation of magnetic and reluctance torque components. The two torque components are discussed in detail in [12]. The magnetic torque is caused by the permanent magnet, whereas the reluctance torque is caused because of the difference in the air gap along the rotor circumference. To utilize both torques fully, in general, the concept of MTPA control is applied, which is well known when the IPMSM is controlled with field-oriented control (FOC), as first shown in [13], and has been applied and researched widely. A unified theory for optimal feedforward torque control, including MTPA control, is presented in [14]. Many authors are researching this topic, the MTPA strategy for direct torque control for an IPMSM was deployed in [15], the signal injection to correct the MTPA angle in an IPMSM was deployed in [16], and the constraints for obtaining the MTPA line for PMSM control are presented in [17]. The best fit of the nonlinear MTPA line, which was then used in the control of the IPMSM, is presented in [18].
Determining the MTPA operation for IPMSMs driven with a SWC is not well-researched. In the case of IPMSMs within BLDC drives, MTPA operations can be achieved by adjusting the AF angle , where the MTPA AF angle , (hereafter referred to as the MTPA angle) is defined as the AF angle , which results in the maximal torque at a specific current. It is comprised of the alignment AF angle to compensate for the commutation effect and the reluctance AF angle , to exploit additional reluctance torque. In [4,5], the MTPA control algorithm for SWC was firstly presented for surface permanent magnet synchronous machines (SPMSMs), where the reluctance AF angle , was zero, as only the magnetic torque component was present. On the other hand, the reluctance AF angle , should be adjusted according to the load current (i.e., its peak value ) when using IPMSMs. To highlight the distinctions between IPMSMs and SPMSMs, the key differences that influence are summarized in Table 1 and presented in [12,19]. Notably, IPMSMs achieve improved performance when the reluctance AF angle is considered.
Table 1.
Comparison between IPMSMs and SPMSMs.
The main aim of this research was to enhance the drive’s performance by increasing the torque-to-current ratio for greater power efficiency, minimizing torque ripple, and maintaining the simplicity of the control system. Further information on how the drive’s performance is enhanced by a greater torque-to-current ratio is presented in [1]. A systematic approach was pursued, to achieve the stated goals, as presented schematically in Figure 1.
Figure 1.
Schematic presentation of the applied methodology.
First, the ideal square-wave currents were analyzed to show the theoretical MTPA operation. The analysis was similar to [20], where a comparative study was performed between square-wave and sinusoidal current supplies. Second, the theoretical effect was showcased on an existing experimentally validated finite element method (FEM) IPMSM model. As such machines were highly saturated due to their high power densities, and a FEM model was used to simulate the performance. Parameter identification of a saturated IPMSM was discussed in [21], where [22] used a FEM model to model the IPMSM accurately.
In the next step, a multi-objective optimization of the rotor and pole shoe geometry was performed to enhance the performance. A comprehensive tutorial of multi-objective optimization using genetic algorithms is provided in [23], where [24] provides a state-of-the-art summary of different algorithms. Machine geometry optimizations have been presented in many works. A review study is presented in [25]. An optimization to enhance the performance by employing the FEM model directly is presented in [26,27]. A multi-level multi-objective optimization, where the objectives and parameters are split into levels, is presented in [28]. The FEM analysis was also exchanged with a metamodel (i.e., the Kriging model). The presented optimization in this study was also performed based on a metamodel trained with a feedforward neural network. Exchanging a computationally expensive numerical evaluation with a neural network was presented in [29,30,31]. A neural network metamodel was used in a multi-objective optimization in [32]. An overview of how machine learning is used in the design optimization of electromagnetic devices is given in [33].
Third, the selected IPMSM design and the reference design were implemented in a system-level simulation, where the nonlinear IPMSM, inverter, and control were coupled, as shown in [18,34]. How to implement the abc reference frame IPMSM model in a simulation is presented in [35], whereas [36] shows how to reduce the computation time to obtain nonlinear machine models for system-level simulation. This allowed us to analyze the effect of the communication and analyze different simple and advanced control techniques for BLDC drives.
This paper is organized as follows. Section 2 presents the theoretical background of the MTPA angle , behavior in square-wave-shaped-driven IPMSMs. The experimental validation of the FEM reference IPMSM design is presented in Section 3. Furthermore, optimization is presented to achieve the set goals. The results are presented in Section 4; the results include a system-level simulation analysis, where the influence was analyzed of the non-ideal current excitations on the optimization objectives and the operation range. Section 4 highlights the conclusions.
2. Theoretical Background
2.1. Dynamic Model of an IPMSM within BLDC Drives
A typical Hall sensor-controlled BLDC drive is presented in Figure 2. The voltage–balance equation in the abc reference frame for the IPMSM is given by (1)
where are the phase voltages, are the phase currents, are the flux linkages generated by the permanent magnets, is the rotor position (i.e., electrical angle), and the phase resistances of the stator windings are [35]. is the inductances matrix, where , and are the self-inductances, , , and are the mutual inductances, and is the electrical angular velocity of the rotor. By highlighting that and are dependent on the electrical rotor position , (1) can be expressed in matrix form by (2)
Figure 2.
Schematic presentation of a typical BLDC drive, controlled by square-wave control (SWC), which is based on the Hall sensor position feedback. The windings of the machine can be connected into (a) wye and (b) delta connections. The commutation logic is presented in [3], and the position estimation is presented in [4].
The electromagnetic torque is defined by (3)
where is the magnetic torque component, is the reluctance torque component, and is the number of pole pairs [35]. If and from (1) are combined with (3), can be expressed by (4)
By employing (1) and (4), one can describe the electromagnetic behavior of the IPMSM in the abc reference frame fully for any given resistances, position-dependent inductances, and position-dependent flux linkages generated by the permanent magnet. The inductances are position-dependent due to the difference in the air gap along the rotor circumference, which is typical for all types of IPMSM. The flux linkages are fundamentally position-dependent due to the magnets rotating in the machine [1].
2.2. MTPA Angle of an Ideal BLDC Drive
In a typical BLDC drive, an IPMSM is driven with an SWC that controls the metal oxide semiconductor field effect transistors (MOSFETs) , , , , , and , which are switched based on the signals obtained from three Hall-effect sensors, , , and , as presented in Figure 2. The delta and wye (i.e., star) winding connection types are presented in Figure 2a,b, respectively. Both are the subject of the presented analysis.
Operating the machine with SWC requires a commutation inverter that excites the machine phases with square-wave-shaped currents; which are presented in Figure 3b in their ideal form, i.e., without the commutation interval. The machine design should ideally provide a back EMF shape that matches the square-wave-shaped current waveform as closely as possible, as presented in Figure 3. If the machine was an SPMSM and the AF angle , was zero, such a complement between the shapes of and would produce the maximal possible torque . However, if the design is an IPMSM, the MTPA operation can be achieved by shifting the activation of individual phases adequately, which results in an AF angle . The AF angle , can be defined as the phase shift between the fundamental harmonic components of the phase currents , and the EMF , as presented in Figure 3.
Figure 3.
The shape of the variables in a theoretically ideal BLDC drive: (b) phase EMFs and (a) corresponding ideal phase currents without commutation interval. the AF angle, , is, in general, defined as a shift between the first harmonic component of the current and the corresponding back EMF.
When operating the machine with actual currents, a commutation interval occurs, requiring a shift in the AF angle , to align the EMFs adequately with the currents , and generate the maximal torque . This angle, known as the alignment AF angle , synchronizes the fundamental harmonic components of the back EMF and the current .
When an IPMSM is excited with ideal-shaped square-wave currents, the maximal torque , is produced at a specific , called the reluctance AF angle . This shift is caused by the induced voltage due to the position-dependent inductances , presented in Figure 4b. The inductance does not impact the EMF in no load, but when the machine is operating under different loads, the shape of the EMF changes, requiring operation at an adequate .
Figure 4.
The shape of flux linkages and inductances in the theoretical ideal BLDC drive: (a) trapezoidal flux linkage results in square-wave EMFs, and (b) in an IPMSM, additional trapezoidal dependent inductances can be assumed, which impact the EMFs when the drive is loaded.
By considering the commutation effect and additional reluctance torque , in an IPMSM, the total MTPA angle , is defined by (5)
The analysis in this section treats the impact of reluctance torque , on the of an IPMSM specifically, assuming the absence of commutation effects (i.e., ideal-shaped square-wave currents are assumed). This results in the MTPA angle , matching the reluctance AF angle (i.e., ). Additionally, the following assumptions are made:
- Wye-connected windings of the IPMSM (i.e., phase currents , were identical to the line currents , as presented in Figure 2).
- The design of the IPMSM is such that and .
- The torque , exhibits periodic repetition every , reflecting the symmetry in a three-phase system, as demonstrated in [36]. Consequently, the analysis can be performed for a electrical rotation of the rotor.
- The analysis of the AF angle , was restricted to due to the definition of the involved variables.
The ideal square-wave currents , presented in Figure 3b can be defined by (6)
where is the peak current value. The ideal matching flux linkages , have a trapezoidal form, resulting in a perfect square wave back EMF . Such flux linkages , are defined by (7)
where is the peak flux linkage generated by the permanent magnets. The flux linkages are presented in Figure 4a.
The inductance matrix is defined with trapezoidal self and mutual inductances by (8)
where is the magnetizing inductance, is the leakage inductance, and is the amplitude value of the fundamental harmonic of the magnetizing (reluctance) inductance. The position-dependent inductances are shown in Figure 4b.
By inserting (6) and (7) into (3) and integrating the representative interval from to by (9)
which is valid for changes in the AF angle from 0 to , we derived (10)
The obtained average torque , is linearly dependent on , and reaches maximal value at , as presented in Figure 5a. Analogously, we derive the reluctance torque (12) by inserting (6) and (8) into (3), and integrating the representative interval from to by (11)
which is also valid for AF angle changes from 0 to . The average reluctance torque can be expressed in two sections by (12)
The obtained average torque , is linearly dependent on within the interval , but is constant above , as presented in Figure 5b. Overall, due to the presented assumptions is smaller than . The total average torque , is defined by (13)
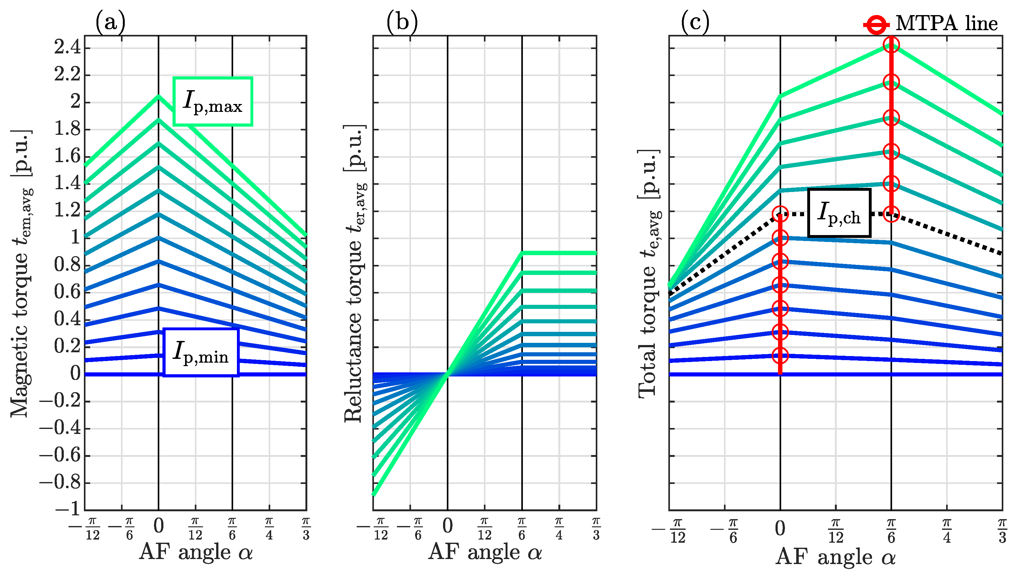
Figure 5.
Torque of IPMSM with respect to the AF angle and current: (a) magnetic torque, (b) reluctance torque, and (c) total torque.
Figure 5c shows how the total electromagnetic torque , changes with respect to the peak current value from to and the AF angle . The analysis of the total torque , was performed to determine for MTPA operation. When analyzing the total torque , visually, the MTPA angle can be determined by finding the maximal extrema of the obtained piecewise function, as presented in Figure 5c. The obtained changed from 0 to discretely, where the change happened at a characteristic current . At , all AF angles between 0 and result in the MTPA operation. The can be determined mathematically by first identifying the sections of the piecewise function , where maximum extrema are located. Most are located on the border between two sections. can be obtained by (14)
By inserting (10) and (12) into (14), we derive (15)
By solving (15) for , we obtain two solutions: the first is zero and the second defines the characteristic current , by (16)
Only the saliency of the rotor and the peak magnetic flux influence the characteristic current (i.e., is dependent on the machine design).
The relationship between , and from to is given by (17) to further assess the relations of both the current , and the AF angle , on the total torque . This relation shows all possible combinations of and for a desired , i.e., the iso-torque lines that are presented in Figure 6.
The MTPA operation is achieved when the minimal possible is used for the generation of individual , confirming the discrete change of .
Figure 6.
The effect of the current, , and the AF angle, , on the total torque, , from to is presented for a star-connected IPMSM. The MTPA line and the characteristic current are highlighted.
The relationship (17) is essential from a control perspective, as it identifies which combinations of current and AF angle provide the desired reference torque. Figure 6 presents the relationship from Figure 5c from a different viewpoint, offering an alternative perspective on the data. The MTPA points for the shown torques are at up to the , where the MTPA points change to for all higher torque values.
2.3. Impact of the IPMSM Design on the MTPA Angle
In the next step, we analyze how different IPMSM design parameters and winding connections impact the MTPA angle and the total electromagnetic torque . The delta connection is emphasized for the sake of generality. Five cases are analyzed, as presented in Table 2. The selected design cases highlight the effect of trapezoidal and sinusoidally shaped flux linkages, , and inductances, , and are presented in Figure 7a,b for the variables in phase a.
Table 2.
Analyzed IPMSM design cases with the corresponding equations for the flux linkage, inductances, currents, total torque, characteristic current, and AF angle.
Figure 7.
Theoretically ideal waveforms of the analyzed IPMSM designs: (a) permanent magnet flux linkage for a delta-connected BLDC drive, wye-connected BLDC drive, and a BLAC drive; (b) trapezoidal- and sinusoidal-dependent self-inductances of an IPMSM; and (c) corresponding currents for a delta- and wye-connected BLDC drive.
The effect of the IPMSM’s winding connection is highlighted since the phase current waveforms change if the IPMSM is connected to delta or wye, as presented in Figure 2 and Figure 7c for phase a. The delta phase current can be defined by (18)
A corresponding theoretically ideal shape of in a delta connection is presented in Figure 7a for phase a and is defined by (19)
Additionally, a sinusoidally dependent was considered, which is presented in Figure 7a for phase a, and defined by (20)
The sine wave flux linkage corresponds to a brushless alternating current (BLAC) drive. Lastly, the sinusoidally dependent inductances are included in the analysis, which are presented in Figure 7b for , and are defined by (21)
For all the presented cases, the average torque , characteristic currents , and the MTPA AF angle are derived analogous to Section 2.2. The average total torque , for Case 1 is defined by (13). The average total torque , for Case 2 is defined by (22)
The average total torque , for Case 3 is defined by (23)
The average total torque , for Case 4 is defined by (24)
The average total torque , for Case 5 is defined by (25)
Additionally, the characteristic currents for Cases 1 to 4 are evaluated by applying (14). for Case 1 and Case 2 is defined by (26)
in Case 3 by (27)
and in Case 4 by (28)
where in Case 5, there is no characteristic current .
Further, the MTPA angles for Cases 3 to 5 are evaluated by (14). The MTPA angles for Cases 1 to 3 are located within the interval = 0 and . The MTPA angles for Cases 1 and 2 are defined by (29)
The MTPA angles , for Case 3 are defined by (30)
The MTPA angles for Cases 4 to 5 are located within the intervals = 0 and . The MTPA angles for Case 4 are defined by (31)
The MTPA angles for Case 5 are defined by (32)
Equations (13) and (22) through (32) are utilized to evaluate the dependency of the average torque , on the AF angle , and the current . Figure 8 illustrates these relationships, with the maximum torque per ampere (MTPA) angles highlighted for all five cases. In Cases 1 and 2, where all the parameter shapes of the IPMSM are trapezoidal, a discrete change in the MTPA angle from 0 to occurs. In the delta-connected IPMSM, the characteristic current , is identical, and the total torque , is lower overall compared to the wye-connected IPMSM. No discrete change in the MTPA angle occurs in Cases 3 and 4. In Case 3 follows an almost linear line described by (30), as it crosses it settles at . Case 4 shows a reverse effect of Case 3, where is zero up to . Above this value, it follows a nonlinear line described by (31). Case 5, where all the IPMSM parameters have a sinusoidal shape, no distinct is observed, and follows a nonlinear line that is known from FOC and described by (32).
Figure 8.
Comparison of the total torque , and MTPA angles , for the analyzed IPMSM designs within a theoretically ideal BLDC drive: (a) Case 1, (b) Case 2, (c) Case 3, (d) Case 4, and (e) Case 5.
3. Optimization of an IPMSM for SWC
A parametrized FEM model of a 6-slot 4-pole IPMSM with a fractional slot non-overlapping winding and Nd-Fe-B magnets was set up in ANSYS Maxwell 2D. The FEM model was validated using measurements and a 2-step process. The validated model was optimized to obtain the specified objectives.
3.1. Experimental Validation of the Reference IPMSM Model
By performing a 2-step validation process, the FEM model was validated against a commercial IPMSM. The experimental workbench consisted of an active brake to provide load torque, a torque sensor, a rotary encoder, an SWC inverter with a single shunt current measurement, and a Hall sensor position measurement. A Dewetron measurement system was used to measure the line-to-line voltages , line currents , the load torque , the rotational speed , and the temperatures on the winding and the stator . The measured temperature , was used to adjust the magnet properties and the winding resistance within the FEM model.
First, the no-load condition was evaluated, where the measured back EMF was compared against the corresponding calculated back EMF. The comparison is presented in Figure 9a. The difference in the EMFs’ root mean square (RMS) values was 4.30%. Additionally, the comparison of the calculated magnet flux linkage and the evaluated magnet flux linkage from the measured back EMF is presented in Figure 9b.
Figure 9.
Comparison of measured and calculated variables in no-load: (a) back EMFs and (b) flux linkage.
Secondly, a typical operation point was measured and evaluated numerically. The measurement was performed at 60% of the thermally stable load torque , and the full base speed . Figure 10a shows the line currents with the commutation interval angle (i.e., the angle that is required for the currents to rise) highlighted and the calculated phase currents . The measured currents were used directly as the current excitation of the FEM model of the IPMSM. We adjusted the obtained , as presented in Figure 10b, to be comparable with the measured load torque , as the effect of iron core losses , and the mechanical losses , were not included in the FEM simulation directly. The adjustment included the calculation of the iron core , and mechanical losses , in the analyzed operation point. The iron core losses , were calculated in post-processing with the extended iron core loss model [37,38], which considered the effect of higher harmonics. The mechanical losses , were calculated based on the mechanical coefficients ( is the viscous friction coefficient and is the ventilation coefficient) determined from adequate no-load measurements (i.e., with and without magnetized magnets, with and without ventilation). The electromagnetic torque was adjusted by (33)
Figure 10.
Comparison between (a) the measured line and, from the measurements, the calculated phase currents of a delta-connected IPMSM. (b) Simulated, adjusted, and measured torque.
The obtained difference between the measured load torque , and the calculated adjusted electromagnetic torque , was 5.03%.
3.2. IPMSM Design Optimization
The goal of the optimization was to improve the torque-to-current ratio, reduce torque ripple, and maintain the simplicity of control. The optimization was performed on a parameterized IPMSM model, as presented in Figure 11.
Figure 11.
Parameterized geometry of the analyzed IPMSM.
In this study, five parameters were optimized (four rotor parameters , , , , and one parameter that changed the stator pole shoe ). Table 3 presents the parameter values of the reference IPMSM and the upper and lower boundary conditions. Additionally, the fixed parameter values are presented in Table 3. All parameters are scaled to the inner radius of the stator .
Table 3.
Stator and rotor parameters used for optimization of the reference design and fixed parameters.
The primary aim of the optimization was to tailor a delta-connected IPMSM for the constant AF angle SWC. A two-objective optimization was performed. The FEM model of the IPMSM was excited by the phase currents of a delta-connected IPMSM, which are presented in Figure 7c, with a peak value of = 1 p.u. The first goal was to obtain a predictable, constant MTPA angle , which was addressed by choosing the first objective to achieve the maximal average electromagnetic torque , at = 0°. With this, we strived to achieve that the shape of the back EMF would ensure an that would be as close to zero as possible throughout the whole operation (presented in Section 2.3). The second goal and objective were to minimize the torque ripple . The optimization problem was defined by (34)
where are the optimization parameters and and are the upper and lower boundaries defined in Table 3. Objective 1 is defined by , where the is minimized (i.e., is maximized) at . Objective 2 is defined by , where the is minimized at .
The optimization was performed based on the neural network-based metamodel [29], which is presented in Figure 12. Neural networks were chosen as metamodels over alternative methods following a preliminary study. The discussed neural networks were set up in the following steps.
Figure 12.
Neural network architecture for direct prediction of and .
First, a design of the experiment was performed by applying Latin hypercube sampling, where 6000 datasets, including input and output parameters and , were gathered from FEM models. Second, for every output, a feedforward neural network was trained with 5 inputs (i.e., optimization parameters ) and 1 output (i.e., or ). The data were divided into training, validation, and test data in ratios of 70%, 15%, and 15%, respectively. Three hidden layers (20, 60, and 20) were used, as presented in Figure 12. The Levenberg–Marquardt training function was employed. Figure 13 shows the regression plot of the trained networks for all the data. The stability of the neural networks was ensured through input data normalization, the use of high-quality and diverse data, and the implementation of a robust neural network architecture.
Figure 13.
Regression plot of the trained neural network models for (a) torque , and (b) torque ripple .
A two-objective optimization based on the trained neural network models was performed with Matlab’s multi-objective genetic algorithm, which is an elitist genetic algorithm, a variant of NSGA-II [39]. The maximal number of iterations was set to 100, and the population size per generation was set to 300.
4. Results
The results are presented in three parts. First, we discuss the reduction in computational time and present the selected optimized design achieved through the presented optimization process. Second, we analyze the MTPA angle , for both the optimized and reference designs using the FEM evaluation. Last, we conducted a system-level simulation analysis, applying various basic and advanced control techniques for BLDC drives. This enabled us to compare the control with a fixed AF angle in the optimized design against other established control methods used in BLDC drives.
4.1. Design Optimization and Computational Efficiency
The reduction in computation time required for the described multi-objective optimization process was the primary benefit. We replaced the FEM-based numerical evaluation with neural network metamodels. Each FEM-based numerical evaluation required 30 s, accumulating to 50 h for complete data collection. A direct optimization would require approximately 30,000 such evaluations, totaling 250 h. By adopting the metamodeling approach, the overall computation time was cut by 80%. A similar approach is presented in [32], where the total computation time was reduced by around 50%. The metamodels also facilitated the modification of optimization objectives and enabled the reuse of trained neural networks, thus further reducing the computation time significantly.
The performed optimization resulted in a Pareto front, which is presented in Figure 14. A design was selected from the Pareto front that reduced the torque ripple , significantly. Further, the average electromagnetic torque , at was improved compared to the reference design, i.e., by increasing the magnetic torque , component of the design. The novelty of this optimization approach was to optimize the IPMSM design to increase the magnetic torque component and provide the MTPA operation at a fixed AF angle . Other studies [4] have utilized SPMSM, which generates solely magnetic torque . However, SPMSMs are less effective for high-speed operations without additional reinforcement of the surface-mounted magnets, which increases the cost.
Figure 14.
Pareto front of the performed optimization.
Because the neural network models inherited an error margin, the selected design re-evaluated by the FEM simulation gave a slightly different output result. The obtained FEM design is presented with the red cross and square in Figure 14. The torque ripple , between the neural network and FEM models differed by 3.45%, and the average electromagnetic torque , differed by 0.63%. Compared to the reference design, the obtained design showed a 3% improvement of average electromagnetic torque , and a 164.26% improvement of torque ripple . Figure 15 presents the geometry of the rotor of the reference and optimized IPMSM, and Table 4 presents the geometry parameter values of the reference and optimized IPMSM. In the optimized design, the became slightly narrower, and stayed at zero. The magnet was pushed to the outer border of the rotor, as indicated by and .
Figure 15.
Comparison of the geometries of rotors of the reference and optimized designs.
Table 4.
Comparison between the optimized geometry parameter values of the reference and optimized designs.
4.2. Analysis in the Case of an Ideally Shaped Current
The goal of the optimization was to provide a design that would allow for MTPA control of the IPMSM at a fixed angle AF angle . To confirm this, the AF angle analysis was performed for the reference and optimized IPMSMs, by performing a set of FEM simulations. The results are presented in Figure 16. The electromagnetic torque , changed with respect to the peak current value from to , and the AF angle , from 0° to 15° (i.e., ). The change in the MTPA angle was observed at the characteristic current , which was at 0.568 p.u. for both designs. Above , followed a nonlinear line. For the reference IPMSM changed to 14° (i.e., ) at the maximal . In contrast, for the optimized IPMSM only changed to 3° (i.e., ) at the maximal . The behavior of resembled Case 4 in Section 2.3, where the flux linkage had a trapezoidal shape, whereas the inductance had a sinusoidal shape.
Figure 16.
Comparison of the calculated total torque dependent on the AF angle and the current with highlighted MTPA angles for (a) the optimized design and (b) reference design.
Figure 17 presents the torque ripple analysis of the optimized and reference design generated with the FEM model. The analysis included identifying the maximum and minimum values of and their corresponding AF angles (the last two points have values of the same value) in relation to . This approach aims to emphasize the limit values that define the reachable operation range by adjusting the AF angle , and establishing a baseline for comparison.
Figure 17.
Comparison of minimal and maximal reachable torque ripple and actual torque ripple when adjusting the AF angle within an ideal BLDC drive with (a) the optimized design and (b) the reference design.
By comparing the minimum reachable values of both designs, it was observed that the optimized machine exhibited lower , across the entire region. Therefore, the optimization achieved the second goal. For both designs, a smaller was observed at a smaller , while higher was noted at a larger . Additionally, two special cases were highlighted. The first was by setting to zero, and the second was by following the MTPA line. In the optimized design, both scenarios (setting to zero and following the MTPA path) matched the minimal achievable closely. For the reference design, the scenario aligned closely with the minimal , while the MTPA scenario maintained close proximity to the lowest up to , where shifted. Beyond this point, the no longer tracked the minimal value closely.
4.3. System-Level Simulation Analysis
To include the impact of the commutation interval and the corresponding effect of the alignment AF angle in the evaluation of the BLDC drive performance with a fixed AF angle control, a system-level simulation was implemented, as presented in Figure 2. This analysis considered the impact of the real-world commutation of currents. The Simulink/Simscape environment was used to model the IPMSM, inverter, and control. First, a computationally efficient reduced order model (ROM) of the IPMSM was constructed by performing a series of FEM simulations of both analyzed IPMSM designs by varying the and input currents, as presented in [18,34,36]. An IPMSM model in the d-q reference frame was set up and connected to a voltage source inverter in the delta connection. The Hall sensor signals were modeled for position estimation [4]. Furthermore, different strategies for changing the AF angle , were implemented, where the commutation logic was used to switch the transistors [3]. The DC of the BLDC drive was controlled by using a proportional–integral controller. The adjustable input parameters were the mechanical speed and AF angle . This setup allowed the following advantages:
- It was possible to model the nonlinear electromagnetic behavior of discussed IPMSM designs according to the respective FEM models and reproduce all the related effects in the system-level simulation.
- By varying the DC at a set mechanical speed = 0.78 p.u., we analyzed the RMS phase currents , torque ripples , and electromagnetic torques .
- The AF angle , could be adjusted according to different strategies for benchmarking purposes.
For the purpose of this analysis, the torque-to-current coefficient was defined by (35)
Figure 18 presents the torque ripple and torque-to-current coefficient of the optimized and reference design obtained through the system-level simulation. The analysis first focused on identifying the maximum and minimum achievable values of and , and their corresponding in relation to . Presenting the maximum and minimum values offered a range for evaluating various control strategies.
Figure 18.
Comparison between reachable minimum and maximum values with the actual values obtained by applying different control strategies in the system-level simulation: (a) for optimized design (b) for reference design (c) for optimized design (d) for the reference design.
Three control strategies were applied and analyzed for setting the AF angle . In the basic algorithm, was maintained at a fixed value, thereby preserving the simplicity of the control. The reference design was controlled with a fixed , a common value used in the industry [5]. The optimized design was controlled with two fixed values. The first was , according to the optimization objective, and the second was , because at this and the maximal allowed , maximal was achieved, as presented in Figure 18a.
The second, more advanced strategy (hereafter, referred to as alignment control) was implemented to control the AF angle , as presented in [4]. In the previous sections, the phase currents were assumed to be ideal-shaped, as presented in Figure 7a. In reality, the phase current shape is more irregular and lags behind the ideal shape due to commutation, as presented in Figure 10a. To negate the effect of real-world commutation and align the phase currents better with the back EMFs , the fundamental harmonic component of the current and back EMF in phase a is calculated, as presented in Figure 3. The obtained AF angle equals the alignment AF angle and was used to align the currents to EMFs.
The third control type upgraded the alignment control by considering the reluctance AF angle , additionally (hereafter referred to as MTPA control), as presented in Figure 16. This resulted in a total MTPA angle , as presented by (5).
Several key findings emerged upon assessing the performance of designs utilizing a fixed (as indicated by the dotted lines in Figure 18). First, setting in the reference design did not achieve optimal performance across the entire operational range. In the whole operation range, the maximal was observed, where was minimal at lower . The value of diverged from its minimum at p.u., reaching its maximum at the highest . While this approach did not yield optimal results at lower currents, it maximized at the highest , thereby maximizing the operational envelope in terms of the maximal torque. Second, applying a fixed in the optimized design also fell short of achieving optimal performance throughout the operational range, presenting an inverse effect compared to the reference design with . In the whole operation range, minimal was achieved, where the was maximal at lower . The value of diverged from its maximal at p.u., reaching its minimum at the highest . While this setup offers advantages (particularly at low ), it limits the operational envelope significantly by decreasing at the highest allowable . Consequently, implementing a fixed in the optimized design successfully avoided narrowing the operational envelope while still leveraging the enhancements from optimizing the IPMSM. The obtained was increased slightly, where the was decreased slightly at a lower and approached the maximal values already at low . The maximal was achieved at the highest .
It can be concluded that optimizing the IPMSM using ideal-shaped currents did not translate fully to the same level of improvement in system-level simulations, particularly when controlling the drive with a fixed . While the optimization enhanced the IPMSM to a certain degree, the impact of the commutation period affected the current shapes significantly, especially when approaching maximal currents. Further studies should incorporate the commutation effect into the optimization to capitalize fully on the motor design for SWC. However, implementing a fixed or in the optimized design resulted in remaining relatively constant across the entire operational range. In contrast, a fixed of in the reference design led to significant variations in throughout the operation range. This is advantageous for the control implementation in BLDC motors. Further, the relative improvement was evaluated in the performance of the optimized design with a fixed compared to the reference design with a fixed . First, the relative difference of the torque ripple at all total torque , values was evaluated by (36)
Second, the relative difference , of the copper losses in the winding at all total torque , values was evaluated by (37)
The copper losses were analyzed due to their direct impact on the machine’s efficiency. The and are the torque ripple and RMS currents for the optimized design with a fixed , where and are the torque ripple and RMS current for the reference design with a fixed . Figure 19 presents and in dependence on the total torque . For the optimized design, the copper losses were reduced across the entire operational range compared to the reference design. This difference narrowed to 0% at maximum torque. At half of the maximum torque, as indicated by the blue circle in Figure 19, a 12.7% reduction was achieved in copper losses. The optimized machine exhibited reduced torque ripple across the entire operational range when compared to the reference design. The greatest reduction, observed at a torque of p.u., was a 45.5% decrease in torque ripple, as indicated by the orange square.
Figure 19.
The relative difference between the torque ripple and the copper losses in the winding in the dependence on the total torque . Comparison between the optimized design with a fixed for control and the reference design with a fixed for control.
Furthermore, the performances were analyzed for two different advanced control algorithms (i.e., alignment and MTPA control). Those require additional resources along with exact knowledge of the rotor position, which can be retrieved from the Hall sensors.
Alignment control [5] was applied first. It enhanced the of the optimized design significantly, nearly unlocking its full potential, while showing drawbacks at higher for the reference design. In the optimized design, the maximum was maintained throughout the entire operational range, whereas the remained at its lowest up to an p.u. before increasing. Conversely, in the reference design, the was nearly minimal across the entire range, but the began to decrease from its maximum at p.u.
Second, MTPA control was applied additionally. It did not improve the performance of the optimized design while enhancing the performance of the reference design compared with the alignment control. By implementing MTPA control for the optimized design, the electromagnetic constant remained largely unchanged compared to the alignment control. Furthermore, the increased from the minimal value after p.u. and was bigger than the generated with alignment control. No added benefit using the MTPA control for the optimized design was observed, as the was almost maximal for MTPA and alignment control, and the MTPA control caused higher . This was a direct consequence of the set optimization goals, where was close to zero. In the reference design scenario, employing MTPA control increased the across the entire region. However, it also led to an increase in , starting from p.u. onward. Despite this, using MTPA control for the reference design emerged as the most effective approach.
Implementing advanced control algorithms enhanced the machine’s performance significantly by compensating for commutation efficiently by adjusting the AF angles adequately. Consequently, an almost constant in the whole region was obtained, and the operation envelope was maximized. As the algorithms could track the optimal , the design of the machine to change the MTPA angle , did not influence their capabilities significantly. However, there was a significant difference in terms of the required control complexity to unlock the IPMSM’s potential. The biggest benefit of optimizing the IPMSM to have the at near zero angles was when using a fixed , as the performance was enhanced significantly, and the simplicity of control was preserved. To achieve the desired effect of zero or near zero MTPA angles , the V-shaped rotor of the IPMSM should have the magnets as close as possible to the outer radius of the rotor and no bridge between the magnet segments.
5. Conclusions
The analytical analysis of the MTPA angle showed that the machine design (i.e., the shape of the IPMSMs flux linkage and inductances ) impact the MTPA operation of a BLDC drive strongly. If and have a theoretically ideal trapezoidal shape, a discrete change of the machine’s MTPA angle was observed from 0 to at . The connection of the IPMSM windings did not change the behavior of the MTPA angle and the characteristic current . Also, other machine designs were assessed, featuring sinusoidal and trapezoidal shapes of flux linkages and inductances . In some designs, the machine’s MTPA angle exhibited discrete changes, while, in others, the MTPA trajectories were nonlinear.
Similar effects were observed with the experimental validated FEM model of the IPMSM, where the behavior resembled Case 4 from the analytical analysis. By optimizing the rotor geometry and the pole shoe, the torque ripple was reduced, the torque-to-current ratio increased, and the MTPA angle was adjusted to near-zero values.
The optimization workflow was presented, which employed neural network-based metamodels, and reduced optimization time by 80%. Additionally, it allowed for various optimization setups to be performed without incurring additional time.
A system-level simulation of the reference design with fixed showed non-optimal performance, except for maximizing the operation envelope in terms of the maximal torque. Further, controlling the optimized design with fixed showed enhanced performance in all analyzed aspects, i.e., increasing , decreasing , maximizing the operation envelope, and providing an almost constant , compared to the reference design. The optimized design with outperformed the reference design significantly with , achieving a maximum reduction of 45.5% in torque ripple and a 12.7% decrease in copper losses at half of the maximum torque.
When using advanced control algorithms that required exact knowledge of the rotor angle, significant enhancement was achieved, compared with fixed . For the reference design, the MTPA control achieved the best performance, and for the optimized design, the alignment control performed the best. In both cases, the maximal was achieved in the whole range, along with an almost constant and a greatly reduced . The advantages required, however, a significantly increased control complexity. If a simple control is desired, optimizing the IPMSM results in significant performance enhancements.
Author Contributions
Conceptualization, M.G., S.S. and M.P.; methodology, M.G.; software, M.G.; validation, M.G. and S.S.; formal analysis, M.G.; investigation, M.G. and M.P.; resources, M.G. and M.P.; data curation, M.G.; writing—original draft preparation, M.G.; writing—review and editing, M.G., S.S. and M.P.; visualization, M.G.; supervision, S.S. and M.P.; project administration, S.S. and M.P.; funding acquisition, S.S. and M.P. All authors have read and agreed to the published version of the manuscript.
Funding
This work was supported by the Slovenian Research and Innovation Agency (ARIS) under project P2-0115 and project J7-3152.
Data Availability Statement
Third-party data: Restrictions apply to the availability of these data. Data were obtained from Hilti Entwicklungsgesellschaft mbH and are available with the permission of Hilti Entwicklungsgesellschaft mbH.
Conflicts of Interest
Author Simon Steentjes was employed by the company HILTI Entwicklungsgesellschaft mbH. The remaining authors declare that the research was conducted in the absence of any commercial or financial relationships that could be construed as a potential conflict of interest.
Abbreviations
The following abbreviations are used in this manuscript:
| AF | advance firing |
| BLAC | brushless alternating current |
| BLDC | brushless direct current |
| DC | direct current |
| EMF | electromotive force |
| FEM | finite element method |
| FOC | field-oriented control |
| IPMSM | interior permanent magnet synchronous machine |
| MOSFET | metal oxide semiconductor field effect transistor |
| MTPA | maximum torque per ampere |
| PMSM | permanent magnet synchronous machine |
| ROM | reduced order model |
| RMS | root mean square |
| SPMSM | surface permanent magnet synchronous machine |
| SWC | square-wave control |
References
- Hendershot, J.R.; Miller, T.J.E. Design of Brushless Permanent-Magnet Motors; Motor Design Books: Venice, FL, USA, 2010. [Google Scholar]
- Krause, P.C.; Wasynczuk, O.; Sudhoff, S.D.; Pekarek, S.D. Analysis of Electric Machinery and Drive Systems; IEEE Press and Wiley: Piscataway, NJ, USA, 2013. [Google Scholar]
- Han, Q.; Samoylenko, N.; Jatskevich, J. Average-Value Modeling of Brushless DC Motors with 120∘ Voltage Source Inverter. IEEE Trans. Energy Convers. 2008, 23, 423–432. [Google Scholar] [CrossRef]
- Zhou, J.; Ebrahimi, S.; Jatskevich, J. Extended Operation of Brushless DC Motors Beyond 120∘ Under Maximum Torque Per Amperee Control. IEEE Trans. Energy Convers. 2023, 38, 1280–1291. [Google Scholar] [CrossRef]
- Zhou, J.; Lu, J.; Ebrahimi, S.; Jatskevich, J. A Compensation of Commutation Angle in Hall-Sensor-Controlled Brushless DC Motors for Maximum Torque per Ampere Operation. In Proceedings of the 21st International Symposium INFOTEH-JAHORINA, East Sarajevo, Bosnia and Herzegovina, 16–18 March 2022. [Google Scholar]
- Baby, B.K.; George, S. Torque ripple reduction in BLDC motor with 120 degree conduction inverter. In Proceedings of the 2012 Annual IEEE India Conference (INDICON), Kochi, Kerala, India, 7–9 December 2012. [Google Scholar]
- Zhang, P.; Shi, Z.; Yu, B.; Qi, H. Research on the Control Method of a Brushless DC Motor Based on Second-Order Active Disturbance Rejection Control. Machines 2024, 12, 244. [Google Scholar] [CrossRef]
- Mohanraj, D.; Aruldavid, R.; Verma, R.; Sathiyasekar, K.; Barnawi, A.B.; Chokkalingam, B.; Mihet-Popa, L. A Review of BLDC Motor: State of Art, Advanced Control Techniques, and Applications. IEEE Access 2022, 10, 54833–54869. [Google Scholar] [CrossRef]
- Jiang, W.; Huang, H.; Wang, J.; Gao, Y.; Wang, L. Commutation analysis of brushless DC motor and reducing commutation torque ripple in the two-phase stationary frame. IEEE Trans. Power Electron. 2017, 32, 4675–4682. [Google Scholar] [CrossRef]
- Heidari, R.; Ahn, J.-W. Torque ripple reduction of BLDC motor with a low-cost fast-response direct DC-link current control. IEEE Trans. Ind. Electron. 2024, 71, 150–159. [Google Scholar] [CrossRef]
- Sudhoff, S.D.; Krause, P.C. Operating modes of the brushless DC motor with a 120 degrees inverter. IEEE Trans. Energy Convers. 1990, 5, 558–564. [Google Scholar] [CrossRef]
- Dianov, A.; Tinazzi, F.; Calligaro, S.; Bolognani, S. Review and Classification of MTPA Control Algorithms for Synchronous Motors. IEEE Trans. Power Electron. 2022, 37, 3990–4007. [Google Scholar] [CrossRef]
- Morimoto, S.; Sanada, M.; Takeda, Y. Wide-speed operation of interior permanent magnet synchronous motors with high-performance current regulator. IEEE Trans. Ind. Appl. 1994, 30, 920–926. [Google Scholar] [CrossRef]
- Eldeeb, H.; Hackl, C.M.; Horlbeck, L.; Kullick, J. A Unified Theory for Optimal Feedforward Torque Control of Anisotropic Synchronous Machines. Int. J. Control 2018, 91, 2273–2302. [Google Scholar] [CrossRef]
- Khazaee, A.; Zarchi, H.A.; Markadeh, G.A.; Mosaddegh Hesar, H. MTPA Strategy for Direct Torque Control of Brushless DC Motor Drive. IEEE Trans. Ind. Electron. 2021, 68, 6692–6700. [Google Scholar] [CrossRef]
- Li, K.; Wang, Y. Maximum Torque per Ampere (MTPA) Control for IPMSM Drives Using Signal Injection and an MTPA Control Law. IEEE Trans. Ind. Inform. 2019, 15, 5588–5598. [Google Scholar] [CrossRef]
- Dianov, A.; Anuchin, A. Design of Constraints for Seeking Maximum Torque Per Ampere Techniques in an Interior Permanent Magnet Synchronous Motor. Mathematics 2021, 9, 2785. [Google Scholar] [CrossRef]
- Garmut, M.; Steentjes, S.; Petrun, M. Parameter identification for MTPA control based on a nonlinear d-q dynamic IPMSM model. COMPEL—Int. J. Comput. Math. Electr. Electron. Eng. 2022, 42, 846–860. [Google Scholar] [CrossRef]
- Jung, W.-S.; Lee, H.-K.; Lee, Y.-K.; Kim, S.-M.; Lee, J.-I.; Choi, J.-Y. Analysis and Comparison of Permanent Magnet Synchronous Motors According to Rotor Type under the Same Design Specifications. Energies 2023, 16, 1306. [Google Scholar] [CrossRef]
- Bertoluzzo, M.; Buja, G.; Keshri, R.K.; Menis, R. Sinusoidal Versus Square-Wave Current Supply of PM Brushless DC Drives: A Convenience Analysis. IEEE Trans. Ind. Electron. 2015, 62, 7339–7349. [Google Scholar] [CrossRef]
- Yan, M.; Wen, B.; Cui, Q.; Peng, X. Parameter Identification for Maximum Torque Per Ampere Control of Permanent Magnet Synchronous Machines Under Magnetic Saturation. Electronics 2024, 13, 699. [Google Scholar] [CrossRef]
- Elsherbiny, H.; Szamel, L.; Ahmed, M.K.; Elwany, M.A. High Accuracy Modeling of Permanent Magnet Synchronous Motors Using Finite Element Analysis. Mathematics 2022, 10, 3880. [Google Scholar] [CrossRef]
- Konak, A.; Coit, D.W.; Smith, A.E. Multi-objective optimization using genetic algorithms: A tutorial. Reliab. Eng. Syst. Saf. 2006, 91, 992–1007. [Google Scholar] [CrossRef]
- Li, W.; Zhang, T.; Wang, R.; Huang, S.; Liang, J. Multimodal Multi-objective Optimization: Comparative Study of the State-of-the-art. Swarm Evol. Comput. 2023, 77, 101253. [Google Scholar] [CrossRef]
- Bramerdorfer, G.; Zavoianu, A.-C. Surrogate-Based Multi-Objective Optimization of Electrical Machine Designs Facilitating Tolerance Analysis. IEEE Trans. Magn. 2017, 53, 1–11. [Google Scholar] [CrossRef]
- Zheng, S.; Zhu, X.; Xu, L.; Xiang, Z.; Quan, L.; Yu, B. Multi-Objective Optimization Design of a Multi-Permanent-Magnet Motor Considering Magnet Characteristic Variation Effects. IEEE Trans. Ind. Electron. 2022, 69, 3428–3438. [Google Scholar] [CrossRef]
- Zarko, D.; Stipetic, S.; Martinovic, M.; Kovacic, M.; Jercic, T.; Hanic, Z. Reduction of Computational Efforts in Finite Element-Based Permanent Magnet Traction Motor Optimization. IEEE Trans. Ind. Electron. 2018, 65, 1799–1807. [Google Scholar] [CrossRef]
- Sun, X.; Shi, Z.; Lei, G.; Guo, Y.; Zhu, J. Multi-Objective Design Optimization of an IPMSM Based on Multilevel Strategy. IEEE Trans. Ind. Electron. 2021, 68, 139–148. [Google Scholar] [CrossRef]
- Parekh, V.; Flore, D.; Schöps, S. Deep Learning-Based Prediction of Key Performance Indicators for Electrical Machines. IEEE Access 2021, 9, 21786–21797. [Google Scholar] [CrossRef]
- Gör, H. Feasibility of Six Metaheuristic Solutions for Estimating Induction Motor Reactance. Mathematics 2024, 12, 483. [Google Scholar] [CrossRef]
- Sasaki, H.; Hidaka, Y.; Igarashi, H. Prediction of IPM Machine Torque Characteristics Using Deep Learning Based on Magnetic Field Distribution. IEEE Access 2022, 10, 60814–60822. [Google Scholar] [CrossRef]
- Parekh, V.; Flore, D.; Schöps, S. Deep Learning-Based Meta-Modeling for Multi-Objective Technology Optimization of Electrical Machines. IEEE Access 2023, 11, 93420–93430. [Google Scholar] [CrossRef]
- Li, Y.; Lei, G.; Bramerdorfer, G.; Peng, S.; Sun, X.; Zhu, J. Machine Learning for Design Optimization of Electromagnetic Devices: Recent Developments and Future Directions. Appl. Sci. 2021, 11, 1627. [Google Scholar] [CrossRef]
- Weidenholzer, G.; Silber, S.; Jungmayr, G.; Bramerdorfer, G.; Grabner, H.; Amrhein, W. A flux-based PMSM motor model using RBF interpolation for time-stepping simulations. In Proceedings of the 2013 International Electric Machines & Drives Conference, Chicago, IL, USA, 12–15 May 2013. [Google Scholar]
- Mohammed, O.A.; Liu, S.; Liu, Z. A phase variable model of brushless dc motors based on finite element analysis and its coupling with external circuits. IEEE Trans. Magn. 2005, 41, 1576–1579. [Google Scholar] [CrossRef]
- Sizov, G.Y.; Ionel, D.M.; Demerdash, N.A.O. Modeling and Parametric Design of Permanent-Magnet AC Machines Using Computationally Efficient Finite-Element Analysis. IEEE Trans. Ind. Electron. 2012, 59, 2403–2413. [Google Scholar] [CrossRef]
- Steentjes, S.; Leßmann, M.; Hameyer, K. Advanced iron-loss calculation as a basis for efficiency improvement of electrical machines in automotive application. In Proceedings of the Electrical Systems for Aircraft, Railway and Ship Propulsion, Bologna, Italy, 16–18 October 2012. [Google Scholar]
- Garmut, M.; Petrun, M. Influence of stator segmentation on iron losses in PMSMs for traction applications. COMPEL—Int. J. Comput. Math. Electr. Electron. Eng. 2022, 41, 644–658. [Google Scholar] [CrossRef]
- gamultiobj: Find Pareto front of Multiple Fitness Functions Using Genetic Algorithm. Available online: https://www.mathworks.com/help/gads/gamultiobj.html (accessed on 10 April 2024).
Disclaimer/Publisher’s Note: The statements, opinions and data contained in all publications are solely those of the individual author(s) and contributor(s) and not of MDPI and/or the editor(s). MDPI and/or the editor(s) disclaim responsibility for any injury to people or property resulting from any ideas, methods, instructions or products referred to in the content. |
© 2024 by the authors. Licensee MDPI, Basel, Switzerland. This article is an open access article distributed under the terms and conditions of the Creative Commons Attribution (CC BY) license (https://creativecommons.org/licenses/by/4.0/).




















