Abstract
The study investigates the performance of fluid flow, thermal, and mass transport within a cavity, highlighting its application in various engineering sectors like nuclear reactors and solar collectors. Currently, the focus is on enhancing heat and mass transfer through the use of ternary hybrid nanofluid. Motivated by this, our research delves into the efficiency of double-diffusive natural convective (DDNC) flow, heat, and mass transfer of a ternary hybrid nanosuspension (a mixture of Cu-CuO-Al2O3 in water) in a quadrantal enclosure. The enclosure’s lower wall is set to high temperatures and concentrations ( and ), while the vertical wall is kept at lower levels ( and ). The curved wall is thermally insulated, with no temperature or concentration gradients. We utilize the finite element method, a distinguished numerical approach, to solve the dimensionless partial differential equations governing the system. Our analysis examines the effects of nanoparticle volume fraction, Rayleigh number, Hartmann number, and Lewis number on flow and thermal patterns, assessed through Nusselt and Sherwood numbers using streamlines, isotherms, isoconcentration, and other appropriate representations. The results show that ternary hybrid nanofluid outperforms both nanofluid and hybrid nanofluid, exhibiting a more substantial enhancement in heat transfer efficiency with increasing volume concentration of nanoparticles.
Keywords:
magnetized ternary hybrid nanofluid; DDNC; quadrantal enclosure; heat/and mass transfer; FEM MSC:
76A02; 76D05; 76W99; 76M10
1. Introduction
The analysis of heat transfer through mixed, natural, or forced convection within enclosures has garnered significant attention recently. Natural convection stands out as a key mechanism in this field. Its role in buoyancy-driven flows and their relevance across a wide range of engineering and industrial settings, such as electronic packaging, nuclear reactor design, furnace construction, insulated walls, solar collectors, electrical equipment, heat exchangers, electronics cooling, oil exploration, space heating, cooling for energy storage systems, glass melting, drying processes, and the insulation of buildings through double glazing, has drawn notable interest from researchers. Moreover, the impact of buoyancy-driven forces is observed in various natural phenomena, including those studied in astrophysics, large-scale meteorology, and geophysics, highlighting their ubiquity and importance [1,2]. Ostrach [3] extensively investigated the phenomenon of natural convection in different enclosures, emphasizing its significant relevance in both theoretical comprehension and practical implementations.
The heat transfer characteristics of equipment used in heat transfer processes are significantly affected by the dynamic viscosity and thermal conductivity of the fluids used. Commonly used fluids, such as water, kerosene, glycerol, ethylene glycol, and oil, play a crucial role in industries like chemical processing, power generation, and transmission. Their low thermal conductivity impacts heat transfer mechanisms, resulting in fluctuations in heat flux. Higher-thermal-conductivity fluids, on the other hand, can boost heat transfer rates in a variety of applications. Fluids with low viscosity are desired in pumping systems because of their fluidity, whereas those with high viscosity are prized for their load-bearing ability. In a notable advancement aimed at boosting the thermal conductivity of conventional fluids, Choi [4] introduced nanoparticles ranging in size from 1 to 100 nanometers into base fluid in 1995, leading to the creation of what are now known as nanofluids [5]. This introduction resulted in a colloidal mixture that significantly suppressed the base fluid in terms of thermal conductivity. The improvements can be attributed to the distinctive properties of the nanomaterial, including quantum effects and an increased surface area, which collectively alter the mechanical, chemical, electrical, physical, and optical traits of the fluid. The advantages of nanofluids are manifold; they require less energy for pumping, show reduced particle clumping, offer enhanced stability and uniformity, and exhibit superior thermal performance. These benefits stem largely from the nanomaterial’s extensive surface area and compact size. The effectiveness of these nanofluids in enhancing the efficiency of heat transfer in thermal systems heavily relies on the concentration of nanoparticles within them. While non-metallic nanoparticles like ZnO, Al2O3, and Fe3O4 provide high stability with lower thermal conductivity, metallic nanoparticles like Au, Zn, Ag, Al, Fe, and more offer higher thermal conductivity but at the expense of stability. The propensity of single-type nanoparticles to agglomerate, owing to their large specific surface area and surface energy, leading to sedimentation in the base fluid, presents a challenge. Current research efforts are focused on addressing this issue to harness the full potential of nanofluids in heat transfer applications [6,7,8,9,10]. In their study, Amir et al. [11] explored the heat transfer and laminar flow characteristics of a nanofluid in a vertical channel. They examined the influence of radiation using both single- and two-phase methodologies, simulating prescribed surface temperature conditions as well as prescribed surface heat flux conditions. Payam et al. [12] conducted numerical simulations to investigate the laminar forced convection of an Al2O3/water nanofluid within a flow channel featuring discrete heat sources.
Hybrid nanofluids, created by dispersing a combination of two different types of nanocomposites (such as metallic/non-metallic nanoparticles) into a base fluid, represent a significant advancement in fluid engineering. Among these, Cu nanoparticles have been identified as particularly effective in enhancing heat transfer when suspended in water compared to other particles. However, selecting an optimal hybrid combination of nanoparticles in water can yield even better heat transfer efficiency than solutions containing solely Cu and water. Recent experimental research has focused on the heat transmission properties of both mono and hybrid nanofluids, employing techniques such as the marker-and-cell method. These studies have explored various nanoparticle combinations to synthesize hybrid nanofluids, aiming to identify mixtures that improve the thermal conductivity of the base fluid significantly. A novel category, termed ternary hybrid nanofluids, involves mixing three different types of nanoparticles (metal, non-metal, and carbon nanotubes) with traditional fluids to further enhance thermal conductivity. Despite the potential of these ternary nanofluids to improve thermophysical properties considerably, research into their thermal efficiency remains limited, though it is an area of growing interest. The effectiveness of ternary nanofluids is influenced by various elements such as the interfacial layer, the dimensions and form of nanoparticles, the thermal conductivities of both the fluid and nanoparticles, the volume concentration of nanoparticles, and the temperature of the blend. Ternary hybrid nanofluids present numerous benefits over conventional nanofluids, including enhanced stability, elevated rates of heat transfer, and reduced pressure drops. Nonetheless, their utilization in heat transfer systems encounters obstacles, such as identifying the ideal mixture proportions, devising preparation techniques, selecting appropriate nanoparticles, and crafting precise numerical models to predict their behavior accurately.
Recent research highlights the promising capabilities of ternary nanofluids in a range of applications. For example, Mousavi et al. [13] explored the thermal conductivity of water-based ternary nanofluids composed of CuO-MgO-TiO2, discovering that both higher temperatures and increased concentrations of nanoparticles lead to better thermal conductivity. In a similar vein, studies by Cakmak et al. [14] and Sahoo [15] reported enhancements in thermal conductivity and overall performance with their specific ternary nanofluid mixes. Further supporting this, Dezfulizadeh et al. [16] and Das et al. [17] underscored the positive impact of ternary nanofluids on the efficiency and thermal characteristics of heat transfer systems. These developments suggest that ternary nanofluids hold the potential to notably advance the effectiveness of thermal systems in engineering and industry, fostering greater sustainability and lowering energy usage.
Double-diffusive convection (DDC), a fluid movement prompted by simultaneous temperature and concentration gradients, has been highlighted by Huppert and Turner [18]. This process is of significant interest due to its applicability in various fields such as metal processing, drying methods, oceanography, astrophysics, chemical engineering, and geosciences. It is especially relevant in environments where both heat and mass transfer are critical, demonstrating its versatility and importance in a wide range of scientific and industrial applications. Research in this area has explored numerous enclosure shapes, including rectangles, trapezoids, rhomboids, sinusoids, and ellipsoids, to understand how geometry affects heat and mass transfer outcomes. For instance, Lee and Hyun’s [19] study within a rectangular cavity showed a notable trend; the Nusselt number, which quantifies the rate of heat transfer relative to conductive heat transfer, decreases as the buoyancy ratio (the force balance between thermal and solutal buoyancy) increases from lower values. This finding is crucial for designing systems where efficient heat transfer is essential, and controlling buoyancy ratios could optimize performance. Ghorayeb and Mojtabi [20] expanded the understanding of double-diffusive convection by investigating its behavior in a vertical enclosure with varying aspect ratios and Lewis numbers (Le), which measure the ratio of thermal diffusivity to mass diffusivity. Their work provides insights into how different geometrical and fluid properties influence the convective patterns and efficiency of heat and mass transfer. Further, Mahapatra et al. [21] delved into the impacts of buoyancy ratios on double-diffusive mixed convection, considering scenarios with both uniform and non-uniform wall heating. This study broadens the perspective on how heating configurations can affect double-diffusive convection, offering valuable information for optimizing processes across a spectrum of applications from industrial heating systems to natural environmental phenomena. These investigations collectively enhance our comprehension of double-diffusive convection (DDC), underlining its complexity and the significant influence of geometric, thermal, and concentration-related parameters. Understanding these dynamics is vital for the development of more efficient and effective applications in the various domains where double-diffusive convection plays a pivotal role.
The influence of magnetic fields on thermal processes is a critical aspect of magnetohydrodynamics (MHD), with wide-ranging applications in fields such as geothermal energy extraction, cavity flow dynamics, jet flow control, and nuclear reactor cooling systems. The interaction between MHD and convective heat transfer is a significant area of research aimed at understanding how magnetic fields alter heat transfer mechanisms, whether through conduction or convection. Ghasemi et al.’s [22] study exemplifies the complex dynamics at play within a square enclosure filled with an Al2O3–water nanofluid under the influence of a magnetic field. Their findings revealed that the rate of heat transmission increases with the Reynolds number (Re), highlighting the role of the fluid’s momentum in enhancing heat transfer. Conversely, an increase in the Hartmann number (Ha), which quantifies the strength of the magnetic field relative to the fluid’s inertia, leads to a decrease in heat transfer rates. This inverse relationship underscores the magnetic field’s damping effect on fluid motion, reducing convective heat transfer. Teamah’s [23] investigation into double-diffusive flow within a rectangular cavity, incorporating a magnetic field and an internal heat source, further illustrates the magnetic field’s impact. The findings suggest that the magnetic field dampens fluid circulation along with the rates of heat and mass transfer. This reduction in fluid motion due to the magnetic field can be particularly beneficial in applications requiring controlled fluid flow and heat transfer rates. Teamah and Shehata [24] extended this inquiry to a trapezoidal enclosure subjected to MHD and varying inclination angles. Their research indicated that both the inclination angle and an increase in the Ha number adversely affect the rates of heat and mass transfer, pointing to the magnetic field’s role in suppressing convective currents. Rahman et al. [25] explored MHD’s effect on double-diffusive natural convection (DDNC) within a horizontal channel featuring an open cavity, while Mahapatra et al. [26] conducted a numerical study on DDNC in a trapezoidal enclosure filled with nanofluid under a magnetic field. These studies collectively highlight the nuanced interplay between magnetic fields, fluid flow, and heat transfer, offering valuable insights for optimizing thermal systems across various engineering applications. Understanding these dynamics enables engineers and scientists to design more efficient cooling systems, energy-harvesting methods, and flow control strategies, harnessing the power of magnetic fields to influence fluid dynamics and heat transfer processes significantly.
In our investigation, we apply the finite element method (FEM) to solve the dimensionless partial differential equations governing the system, a numerical approach renowned for its versatility and accuracy in handling complex fluid dynamics problems. The challenges inherent in answering such questions are well recognized, yet advancement in numerical methods offers promising avenues for their approximation and solution. To this end, we draw upon recent advancements in numerical techniques, as demonstrated by several notable studies in the field. For instance, Wang et al. [27] introduced a finite difference method in their work. This study highlights the advancement of numerical technique in addressing nonlinear phenomena, offering valuable insights that complement our approach. Wan et al. [28] presented a fast, compact finite difference scheme tailored for the fourth diffusion-wave equation, highlighting the efficacy of finite difference methods in capturing diffusion phenomenon with high accuracy and computational efficiency. Furthermore, Xiao et al. [29] provided a robust error estimate for the alternating direction implicit (ADI) difference scheme applied to a three-dimensional fractional subdiffusion equation with variable coefficients. Moreover, recent work by Zhou et al. [30] showcased the effectiveness of the finite element method, particularly in the context of viscoelastic dynamics, through the development of a CN ADI fast algorithm on non-uniform meshes for three-dimensional nonlocal evolution equations with multi-memory kernels. Some recent works can be found in references [31,32,33,34,35].
After conducting a comprehensive review of the pertinent literature, it becomes evident that significant attention has been devoted to the exploration of magnetohydrodynamic (MHD) natural convection within closed domains. This body of research encompasses investigation into MHD natural convection occurring within quadrant-shaped enclosures, employing both nanofluids and hybrid nanofluids. Furthermore, studies have delved into various enclosures incorporating hybrid nanofluids. However, a noticeable gap exists in the examination of MHD double-diffusive natural convection within quadrant-shaped enclosures, particularly with regard to the utilization of ternary hybrid nanofluids. The selection of this specific model is motivated by the limited research available concerning this geometric configuration, particularly in the context of double-diffusive natural convection serving as the primary mechanism of heat and mass transfer. The introduction of a ternary hybrid nanofluid (comprising Cu-CuO-Al2O3/water) in this study introduces an innovative dimension to the research. Notably, the incorporation of double diffusion transport mechanisms within this model represents a distinctive and pioneering aspect of this investigation.
2. Physical Model
Consider a quadrangle-shaped cavity filled with a ternary hybrid nanofluid of Cu-CuO-Al2O3/water subjected to a constant vertical magnetic field as shown in Figure 1. The bottom wall of the cavity is kept at a fixed temperature and concentration , while the side wall is maintained at a cooler temperature and lower concentration . In contrast, the curved wall is designed to be thermally insulating. The ternary hybrid nanofluid is prepared by dissolving equal amounts of copper (Cu, 33.3%), copper(II) oxide (CuO, 33.3%), and alumina (Al2O3, 33.3%) nanoparticles in water. It is anticipated that the flow of this ternary hybrid nanofluid will be laminar, steady, and incompressible. The Boussinesq
approximation is employed to assess the density variations in the ternary nanofluid, with the buoyancy force arising from temperature differences caused by the imposed thermal conditions. The gravitational force (g) acts in a downward direction.
Figure 1.
Graphical visualization of the domain.
3. Mathematical Formulations
3.1. Governing Equations
The governing equations for the conservation of mass, momentum, and energy, expressed in their dimensional form, that indicate the behavior of double-diffusive natural convection flow, including the effects of laminar flow and magnetohydrodynamics within a fluid domain, are outlined as follows [36]:
Continuity equation:
Momentum conservation equations:
Energy equation:
Concentration equation:
3.2. Thermophysical Properties of Ternary Hybrid Nanofluid
Table 1 presents the thermophysical attributes of the foundational fluid (water) along with nanoparticles comprising copper (Cu), copper(II) oxide (CuO), and aluminum oxide (Al2O3). Table 2 details the physical characteristics of the ternary hybrid nanofluid, including its density , viscosity , specific heat capacity , volumetric thermal expansion coefficient and thermal conductivity . The correlation remains valid and yields accurate outcomes when the volume fraction of particles falls within the range of 0.01 to 0.1, and the temperature varies between 35 °C and 50 °C. In this study, the nanoparticle volume fractions of Cu, CuO, and Al2O3 are denoted by , , and .
Table 1.
Physical attributes of host liquid and nanoadditives [37].
Table 2.
Physical attributes of [38].
The boundary conditions for the specified problem are presented in dimensional form in Table 3.
Table 3.
Dimensional boundary conditions for the current problem.
Equations (1) to (5) are converted into their dimensionless form by applying the subsequent variable transformations:
The derived dimensionless equations pertaining to continuity, momentum, energy, and concentration are expressed in the following manner [36]:
The dimensionless boundary conditions relevant to the problem under investigation are specified in Table 4. The bottom wall of the quadrilateral cavity provides a uniform temperature ( and uniform concentration while the vertical wall maintains a cooler temperature ( and low concentration Definitions for the physical parameters in Equations (7) through (11) are detailed accordingly.
Table 4.
Dimensionless boundary conditions of the present problem.
The Hartmann number (Ha) quantifies the influence of magnetic forces, while the Rayleigh number (Ra) characterizes the convective heat transfer in a fluid. The Lewis number (Le) signifies the ratio of thermal to mass diffusivity in fluid dynamics, and the buoyancy ratio (N) elucidates the effect of buoyancy forces. Definitions for the local and average Nusselt numbers, as well as the local and average Sherwood numbers at the heated wall of the quadrantal enclosure, are sequentially provided as follows:
4. Numerical Technique
The governing Equations (7)–(11) and the boundary conditions presented in Table 4 are solved using COMSOL Multiphysics software, version 6.0 [39]. This software employs the finite element method, and the domain is first discretized using hp refinement, where the entire 2D domain is divided into triangular and rectangular elements. Lagrange interpolation formulas are then utilized to define shape functions that represent the behavior of field variables at each node. Quadratic shape functions, which are piecewise continuous second-degree polynomials, are chosen for velocity, temperature, and concentration, while pressure is approximated using a linear polynomial. An iterative solver is applied to solve the principal equations until the convergence criterion is achieved, where represents the variables of velocity, pressure, temperature, and concentration. To find the optimal balance between computational accuracy and the use of resources, four different mesh sizes are compared under specific conditions, Pr = 6.2, N = 1, Ha = 25, , Le = 2.5, and φ = 0.04, with a focus on the average Nusselt and Sherwood numbers. These four mesh sizes are shown in Figure 2. The results indicate that the final two mesh densities offer the most suitable grid refinement, impacting the calculated average Nusselt and Sherwood numbers minimally. As a result, case 3 was chosen for the simulation to reduce computation time efficiently. This mesh refinement analysis is compiled in Table 5.
Figure 2.
Comparing different grid sizes for a quadrantal enclosure.
Table 5.
Grid refinement checks with and .
To verify the accuracy of the computational results, the numerical outcomes of this research were cross-referenced with findings previously published by Dutta et al. [40]. This validation process centered on comparing the average Nusselt number, with the comparative data showcased in Table 6. The substantial concordance between the computed results from this study and the established results in the literature underscores a high degree of consistency, thereby bolstering the credibility and exactness of the present investigation.
Table 6.
Comparison of current and previous results for the average Nusselt number for different values at and .
5. Result and Discussion
In this part of the study, the double-diffusive natural convective flow within a quadrantal cavity filled with a ternary nanofluid comprising copper (Cu, 33.3%), copper(II) oxide (CuO, 33.3%), and alumina (Al2O3, 33.3%) suspended in water (H2O) is examined numerically. The finite element method (FEM) is employed to address the system of partial differential equations governing the flow. The simulation considers the Prandtl number (Pr) of conventional fluid (water) as 6.2 consistently throughout. Additionally, a range of dimensionless parameters is explored, including the Rayleigh number (), Hartmann number (0 ≤ Ha ≤ 100), buoyancy ratio (1 ≤ Ha ≤ 10), nanoparticle solid volume fraction (0.01 ≤ φ ≤ 0.05), and Lewis number (0.1 ≤ Le ≤ 10).
Figure 3 presents the flow patterns, temperature fields, and concentration distributions for Rayleigh numbers (Ra) of and at a Prandtl number (Pr) of 6.2, buoyancy ratio (N) of 1, Hartmann number (Ha) of 25, Lewis number (Le) of 2.5, and particle volume fraction of 0.04. Due to thermal gradients, fluid ascends from the midpoint of the lower wall and descends along the cold vertical wall, forming counter-rotating vortices within the enclosure. At a lower Rayleigh number the flow intensity is subdued, with heat transfer predominantly through conduction. However, as Ra escalates to , buoyancy effects become more significant, enhancing the flow intensity (with a maximum stream function value of as depicted by the streamlines in Figure 3). Although increasing Ra amplifies the flow, it does not alter the vortex pattern; instead, it shifts the rotation centers from circular to elliptical shapes. Significant changes in the temperature and concentration contours are observed with increasing Ra. At both isotherms and concentration lines remain nearly linear, indicating minimal distortion. Yet, as Ra advances to , the impact of stronger convective currents distorts these lines, a trend mirrored in both temperature and concentration fields due to the similarity in the governing equations for energy and mass transfer. However, the distortion in concentration contours is more pronounced than that in the isotherms, indicating an enhanced mass transfer rate.

Figure 3.
Influence of Ra on streamlines, isotherm lines, and isoconcentration.
Figure 4 demonstrates how a magnetic field affects the flow patterns, temperature distribution, and concentration gradients, with other variables held constant. In the absence of a magnetic field the flow is characterized by a higher stream function value indicating stronger convection. Conversely, the introduction of a magnetic field significantly reduces the stream function value to , highlighting the damping effect of Lorentz forces on fluid motion. Despite the consistency in streamline patterns, the diminished stream function underscores the magnetic field’s capability to restrain convection through the action of Lorentz forces, as illustrated in Figure 4. In the absence of a magnetic field (Ha = 0), the flow exhibits characteristics indicative of strong convection, as evidenced by a higher stream function value as also observed in previous studies [41]. The stream function is a mathematical function used to describe fluid flow, where higher values signify stronger flow patterns. In this scenario, without the influence of a magnetic field, the fluid experiences vigorous convection, leading to the generation of strong flow patterns within the domain. Conversely, when a magnetic field is introduced (Ha = 50), a significant decrease induced in the stream function values occurs, with decreasing to 0.2. This stark decrease highlights the damping effect exerted by Lorentz forces on fluid motion. Lorentz forces arises due to the interaction between the magnetic field and electrically conducting fluid. These forces act to counteract fluid motion, effectively damping the flow. Despite the consistency of the streamline patterns observed between the cases with and without the magnetic field, the notable decrease in stream function value underscores the magnetic field’s ability to restrict convection. This restriction is primarily attributed to the action of Lorentz forces, which oppose and suppress fluid motion perpendicular to both the magnetic field and the direction of current flow. The visual presentation of these phenomena is depicted in the first column of Figure 4, where the impact of the magnetic field on fluid flow patterns is illustrated. The impact of the magnetic field is further observed in the temperature and concentration fields. Without a magnetic field , the isotherms and concentration contours exhibit significant distortion, signaling enhanced convection. However, as the magnetic field strength increases to , the distortion in these contours lessens, becoming more parallel and indicating a suppression of convection in favor of conduction. This shift suggests that a strong magnetic field promotes heat and mass transfer predominantly through conduction, diminishing the role of convection.

Figure 4.
Effect of on streamlines, isotherm lines, and concentration.
Figure 5 illustrates the effects of varying nanoparticle volume fractions ) on the flow patterns, temperature distribution, and concentration gradients, while other parameters remain unchanged. In the case of a pure fluid the fluid fully occupies the enclosure, presenting a baseline for flow intensity. The introduction of nanoparticles increases both the fluid’s viscosity and thermal conductivity due to the enhanced viscous and buoyancy forces. As the volume fraction of nanoparticles ) rises, there is a noticeable decrease in the flow field’s intensity. This reduction is attributed to the increased viscous effects, which slow down fluid motion and reduce the overall flow speed. Initially, with = 0), the maximum streamline intensity is noted at 5.23. However, when is increased to 0.04 with the addition of nanoparticles, the streamline intensity drops to 2.5. Furthermore, the inclusion of nanoparticles leads to improved conductive heat transfer, an effect that is particularly evident in the changes observed in the isotherm and concentration contours, compared to the streamline effects. With increasing , both the thermal and solutal boundary layers at the heated surface undergo transformation. This modification results in the isotherm and concentration contours adopting a more linear shape, a reflection of the enhanced thermal conductivity provided by the nanoparticles. Consequently, this shift underscores a dominance of conductive over convective heat transfer, facilitated by the nanoparticles’ presence.

Figure 5.
Influence of on streamlines, isotherm lines, and isoconcentration.
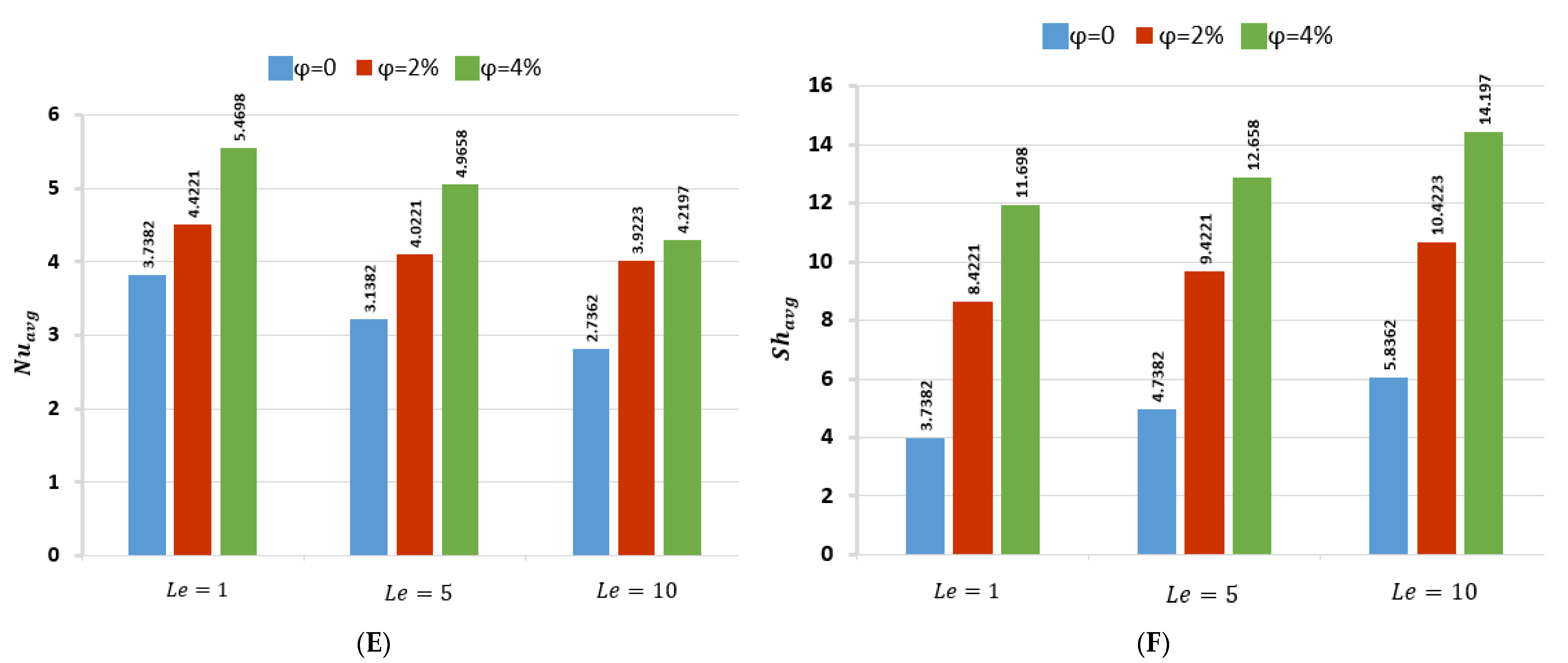
In Figure 6, the effects of varying Lewis numbers (Le) of 1, 5, and 10 on flow dynamics, thermal distribution, and mass transfer are depicted, while other parameters such as , Pr = 6.2, N = 1, Ha = 25, and are held constant. The flow patterns, as indicated by streamlines, show consistent configurations across the different Lewis numbers, suggesting that variations in Le have a minimal impact on the overall structure of the flow within the enclosure. This consistency implies that the Lewis number, within the range studied, does not significantly alter the dominant convection dynamics. Despite the uniform streamline patterns, changes in the Lewis number influence the temperature and concentration fields within the enclosure. An increase in the Lewis number leads to a more pronounced convective influence on the temperature distribution, indicating enhanced thermal flow as Le increases. This enhancement suggests that higher Lewis numbers facilitate greater thermal diffusion relative to mass diffusion. The isoconcentration contours undergo notable undulations and distortions as the Lewis number increases from 1 to 10. These changes are indicative of an intensified mass transfer process, resulting from a reduced mass diffusivity relative to thermal diffusivity. This relationship highlights the dual role of the Lewis number in modulating both thermal and solutal transport mechanisms, where a higher Le value corresponds to decreased mass diffusivity, thus affecting the concentration field’s distortion and indicating a stronger coupling between thermal and concentration gradients.

Figure 6.
Influence of Le on streamlines, isotherm lines, and isoconcentration.
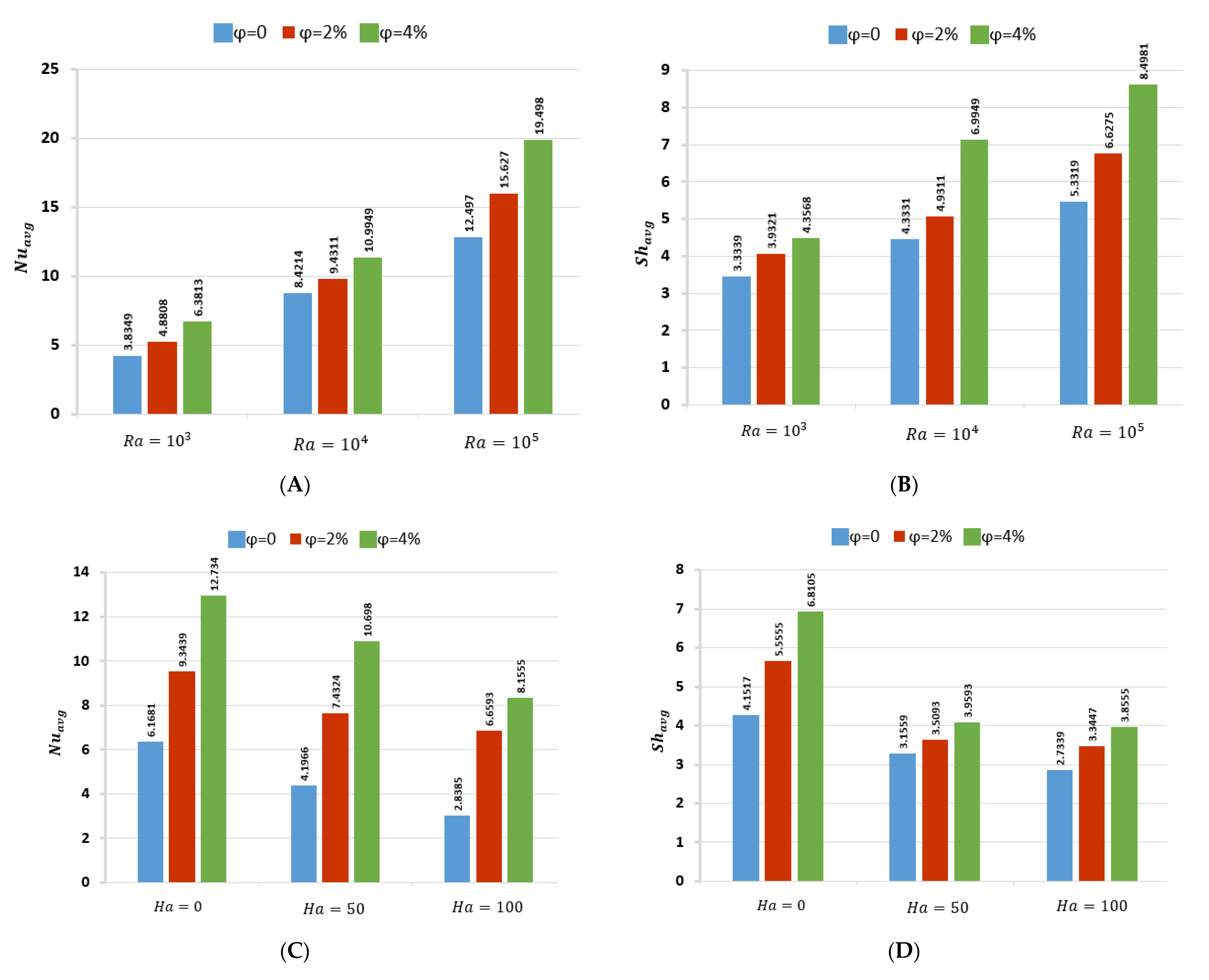
Figure 7 details how varying parameters influence the average Nusselt number and Sherwood number on the heated bottom wall of a quadrantal cavity. Figure 7A,B show the impact of different Rayleigh numbers (Ra) on and for fluids without nanoparticles with a low concentration of ternary nanoparticles , and with a higher concentration of ternary nanoparticles . As Ra increases, the strength of free convection currents intensifies, significantly enhancing the heat transfer rate. This is due to the buoyancy force within the enclosure becoming stronger, making convection the dominant heat and mass transfer mechanism, thereby increasing both and values. The inclusion of nanoparticles induced significant enhancements in both thermal conductivity and convective heat transfer, particularly noteworthy at a nanoparticle volume fraction of . The observed increase in thermal conductivity can be attributed to the high thermal conductivity of the nanoparticles themselves, which effectively augment the overall thermal conductivity of the nanofluid. This improvement facilitates more efficient heat transfer within the fluid domain. Furthermore, at , we observed a distinct boost in convective heat transfer efficiency, as also observed in previous studies [42]. This enhancement can be attributed to several factors. Firstly, the presence of nanoparticles alters the fluid dynamics, promoting enhanced convective heat transfer through increased turbulence and disruption of thermal boundary layers. Secondly, the larger surface area provided by the nanoparticles facilitates more effective heat exchange between the fluid and its surroundings. Additionally, the interaction between nanoparticles and the base fluid may lead to changes in viscosity and thermal conductivity gradients, further enhancing convective heat transfer.

Figure 7.
Influence of and for various values of (A,B), (C,D), and (E,F).
Figure 7C,D explore the changes in and with varying Hartmann numbers (Ha). The results suggest that increasing the strength of the magnetic field reduces both heat and mass transfer rates. This reduction is mainly due to the Lorentz force decreasing fluid velocity, thereby enhancing the role of conduction in the heat transfer process. However, integrating nanoparticles into the base fluid increases its thermal conductivity, which compensates for the reduced convective transfer under strong magnetic fields, leading to higher and values.
Finally, Figure 7E,F depict how varying Lewis numbers (Le) and nanoparticle volume fractions affect and . The Lewis number, which indicates the ratio of thermal diffusivity to mass diffusivity, affects the thickness of the thermal and mass boundary layers around heat sources. An increase in Le causes the mass boundary layer to thicken while the thermal boundary layer narrows, resulting in enhanced mass transfer rates but diminished heat transfer rates. This dynamic underscores the complex interplay between thermal and mass diffusivities in determining the efficiency of heat and mass transfer processes in fluid systems.
Table 7 illustrates the influence of the Rayleigh number and various types of particles, including pure fluid (water), nanofluid (Cu/water), hybrid nanofluid (Cu + CuO/water), and ternary hybrid nanofluid (/water), when Pr = 6.2, N = 1, Ha = 25, and Le = 2.5. The data reveal an enhancement in heat transport efficiency as the Rayleigh number (Ra) increases. This improvement becomes more significant when nanoparticles are introduced into the base fluid, particularly at higher Ra values. The heightened efficiency in heat transport is primarily attributed to the enhanced thermal conductivity brought about by the nanoparticles, rather than changes in dynamic viscosity, as an increase in viscosity would typically lead to a reduction in flow intensity. It is crucial to note the consistent rise in the Nusselt number with the introduction of nanoparticles into the base fluid. As demonstrated in Table 6, the average Nusselt number progressively increases with the addition of more types of particles, moving from a single type of nanoparticle (nanofluid) to a mixture of two types (hybrid nanofluid), and then to a combination of three types (ternary hybrid nanofluid). This trend clearly demonstrates the significant improvement in heat transfer rates with the inclusion of nanoparticles, as evidenced by the corresponding increase in the Nusselt number. Specifically, in the case of the ternary hybrid nanofluid, the Nusselt number increased by 78% compared to that achieved when using hybrid nanofluids alone. This phenomenon underscores the beneficial impact of nanoparticles on the thermal performance of fluids, suggesting that nanoparticle augmentation can be an effective strategy for improving heat transfer in various engineering applications.
Table 7.
Comparison of between pure fluid, nanofluid, hybrid nanofluid, and ternary hybrid nanofluid at various Rayleigh numbers.
6. Conclusions
This study explored magnetohydrodynamic (MHD) double-diffusive natural convection within a quadrant-shaped enclosure filled with a Cu-CuO-Al2O3-water ternary hybrid nanofluid. The primary goal was to enhance fluid flow, average heat, and mass transfer rates inside the cavity by employing a ternary hybrid nanofluid. A finite element numerical method was used to solve the transformed dimensionless mathematical model along with its initial and boundary conditions. The results of this simulation are in good agreement with previously published studies. The findings are presented through streamlines, isotherms, isoconcentration, and average Nusselt and Sherwood numbers, which vary with different flow control parameters. The significant outcomes of this investigation highlight the efficacy of the ternary nanofluid in improving natural convective flow within the cavity.
- Increasing the Rayleigh number from to results in a marked enhancement of buoyancy-induced flow within the cavity;
- Fluid flow intensity significantly increases with the rise in Rayleigh number (Ra) values, yet it diminishes with an increase in magnetic field strength and nanoparticle volume fraction. Moreover, under conditions of higher Ra and lower Hartmann number (Ha) and volume fraction (ϕ), isotherms and particle distributions become more concentrated;
- The and numbers show an upward trend with higher Rayleigh numbers and nanoparticle volume fractions. However, these average values decrease as the Hartmann number increases;
- With an increase in the Lewis number, the rate of heat transfer decreases, while the mass transfer rate increases;
- The introduction of Cu-CuO-Al2O3 nanoparticles into the base fluid (water) reduces the intensity of convective flow but is notably effective in enhancing heat and mass transfer rates, exceeding the performance achievable without nanoparticles;
- The study reveals that increasing the concentration of Cu-CuO-Al2O3 nanoparticles in the base fluid significantly boosts heat transfer efficiency, potentially enhancing it by up to 78% compared to the base fluid.
The work can be extended by investigating thermosolutal diffusion due to mixed convection transport instead of natural convection in the same enclosure. Additionally, the work can be extended by involving the aspect of entropy generation to estimate losses in the configuration due to fluid friction and heat mass transfer.
Author Contributions
Conceptualization, S.M.A. and T.A.A.; methodology, S.M.A.; software, S.M.A.; validation, S.M.A. and T.A.A.; formal analysis, S.M.A.; investigation, S.M.A.; resources, S.M.A.; data curation, S.M.A.; writing—original draft preparation, S.M.A.; writing—review and editing, T.A.A.; visualization, S.M.A.; supervision, S.M.A.; project administration, S.M.A.; funding acquisition, S.M.A. All authors have read and agreed to the published version of the manuscript.
Funding
This research received no external funding.
Data Availability Statement
The data used to support the findings of this study are available from the corresponding author upon request.
Conflicts of Interest
The authors declare that they have no conflicts of interest.
Nomenclature
| Copper | Copper(II) oxide | ||
| Al2O3 | Alumina | Sherwood number | |
| g | Gravitational acceleration | Magnetic field strength | |
| Cartesian coordinates | Dynamic viscosity | ||
| Dimensionless coordinates | Dimensionless temperature | ||
| Dimensionless concentration | concentration | ||
| Velocity components in directions | T | Temperature | |
| Dimensionless velocity components | Fluid pressure | ||
| Density | Dimensionless pressure | ||
| Enclosure length | Thermal conductivity | ||
| Pr | Prandtl number | Thermal diffusivity | |
| Kinematic viscosity | Nu | Nusselt number | |
| Cu nanoparticles volume fraction | CuO nanoparticles volume fraction | ||
| Al2O3 nanoparticles volume fraction | |||
| Ra | Rayleigh number | Subscripts | |
| Ha | Hartmann number | Cold wall | |
| Solid volume fraction | Hot wall | ||
| Shape of nanoparticle | Fluid (pure water) | ||
| Specific heat | Nanofluid | ||
| Thermal expansion coefficient | Hybrid nanofluid | ||
| Electrically conductivity | Ternary hybrid nanofluid | ||
References
- Rashed, Z.Z.; Ahmed, S.E. Unsteady three dimensional radiative-convective flow and heat transfer of dusty nanofluid within porous cubic enclosures. J. Dispersion Sci. Technol. 2023, 44, 189–203. [Google Scholar] [CrossRef]
- Liang, X.; Zhang, H.; Tian, Z. A fourth-order compact difference algorithm for numerical solution of natural convection in an inclined square enclosure. Numer. Heat Transf. Part A Appl. 2021, 80, 255–290. [Google Scholar] [CrossRef]
- Ostrach, S. Natural convection in enclosures. ASME J. Heat Transfer. 1988, 110, 1175–1190. [Google Scholar] [CrossRef]
- Choi, S.U.S.; Eastman, J.A. Enhancing Thermal Conductivity of Fluids with Nanoparticles; United States; Department of Energy: Washington, DC, USA, 1995. [Google Scholar]
- Mozafari, B.; Arani, A.; Sheikhzadeh, G.A.; Salimi, M. Brownian models effect on turbulent fluid flow and heat transfer and entropy generation of water/boehmite alumina nanofluid inside enclosure. Int. J. Numer. Methods Heat Fluid Flow 2019, 30, 2305–2327. [Google Scholar] [CrossRef]
- Qayyum, S.; Hayat, T.; Alsaedi, A. Optimization of entropy generation in motion of magnetite-Fe3O4 nanoparticles due to curved stretching sheet of variable thickness. Int. J. Numer. Methods Heat Fluid Flow 2019, 29, 3347–3365. [Google Scholar] [CrossRef]
- Bibi, A.; Xu, H.; Sun, Q.; Pop, I.; Zhao, Q. Free convection of a hybrid nanofluid past a vertical plate embedded in a porous medium with anisotropic permeability. Int. J. Numer. Methods Heat Fluid Flow 2020, 30, 4083–4101. [Google Scholar] [CrossRef]
- Shadloo, M.S. Application of support vector machines for accurate prediction of convection heat transfer coefficient of nanofluids through circular pipes. Int. J. Numer. Methods Heat Fluid Flow 2020, 31, 2660–2679. [Google Scholar] [CrossRef]
- Roşca, C.N.; Roşca, A.V.; Pop, I. Axisymmetric flow of hybrid nanofluid due to a permeable non-linearly stretching/shrinking sheet with radiation effect. Int. J. Numer. Methods Heat Fluid Flow 2021, 31, 2330–2346. [Google Scholar] [CrossRef]
- Thirumalaisamy, K.; Ramachandran, S.; Ramachandra Prasad, V.; Bég, O.A.; Leung, H.; Kamalov, F.; Vajravelu, K. Comparative heat transfer analysis of γ-Al2O3−C2H6O2 and γ-Al2O3−H2O electroconductive nanofluids in a saturated porous square cavity with Joule dissipation and heat source/sink effects. Phys. Fluids 2022, 34, 072001. [Google Scholar] [CrossRef]
- Mostafazadeh, A.; Toghraie, D.; Mashayekhi, R.; Akbari, O.A. Effect of radiation on laminar natural convection of nanofluid in a vertical channel with single-and two-phase approaches. J. Therm. Anal. Calor. 2019, 138, 779–794. [Google Scholar] [CrossRef]
- Mashaei, P.R.; Hosseinalipour, S.M.; Bahiraei, M. Numerical investigation of nanofluid forced convection in channels with discrete heat sources. J. Appl. Math. 2012, 2012, 259284. [Google Scholar]
- Mousavi, S.M.; Esmaeilzadeh, F.; Wang, X.P. Effects of temperature and particles volume concentration on the thermophysical properties and the rheological behavior of CuO/MgO/TiO2 aqueous ternary hybrid nanofluid: Experimental investigation. J. Therm. Anal. Calorim. 2019, 137, 879–901. [Google Scholar] [CrossRef]
- Cakmak, N.K.; Said, Z.; Sundar, L.S.; Ali, Z.M.; Tiwari, A.K. Preparation, characterization, stability, and thermal conductivity of rGO-Fe3O4-TiO2 hybrid nanofluid: An experimental study. Powder Technol. 2020, 372, 235–245. [Google Scholar] [CrossRef]
- Sahoo, R.R. Heat transfer and second law characteristics of radiator with dissimilar shape nanoparticle-based ternary hybrid nanofluid. J. Therm. Anal. Calorim. 2021, 146, 827–839. [Google Scholar] [CrossRef]
- Dezfulizadeh, A.; Aghaei, A.; Joshaghani, A.H.; Najafizadeh, M. An experimental study on dynamic viscosity and thermal conductivity of water-Cu-SiO2-MWCNT ternary hybrid nanofluid and the development of practical correlations. Powder Technol. 2021, 389, 215–234. [Google Scholar] [CrossRef]
- Das, S.; Ali, A.; Jana, R.N.; Makinde, O.D. EDL impact on mixed magneto-convection in a vertical channel using ternary hybrid nanofluid. Chem. Eng. J. Adv. 2022, 12, 100412. [Google Scholar] [CrossRef]
- Huppert, E.H.; Turner, J.S. Double-diffusive convection. J. Fluid Mech. 1981, 106, 299–329. [Google Scholar] [CrossRef]
- Lee, J.W.; Hyun, J.M. Double-diffusive convection in a rectangle with opposing horizontal temperature and concentration gradients. Int. J. Heat Mass Transfer 1990, 33, 1619–1632. [Google Scholar] [CrossRef]
- Ghorayeb, K.; Mojtabi, A. Double diffusive convection in a vertical rectangular cavity. Phys. Fluids 1997, 9, 2339–2348. [Google Scholar] [CrossRef]
- Mahapatra, T.R.; Pal, D.; Mondal, S. Effects of buoyancy ratio on double-diffusive natural convection in a lid-driven cavity. Int. J. Heat Mass Transfer 2013, 57, 771–785. [Google Scholar] [CrossRef]
- Ghasemi, B.; Aminossadati, S.M.; Raisi, A. Magnetic field effect on natural convection in a nanofluid-filled square enclosure. Int. J. Therm. Sci. 2011, 50, 1748–1756. [Google Scholar] [CrossRef]
- Teamah, M.A. Numerical simulation of double diffusive natural convection in rectangular enclosure in the presences of magnetic field and heat source. Int. J. Therm. Sci. 2008, 47, 237–248. [Google Scholar] [CrossRef]
- Teamah, M.A.; Shehata, A.I. Magnetohydrodynamic double diffusive natural convection in trapezoidal cavities. Alexandria Eng. J. 2016, 55, 1037–1046. [Google Scholar] [CrossRef]
- Rahman, M.M.; Saidur, R.; Rahim, N.A. Conjugated effect of joule heating and magneto-hydrodynamic on double-diffusive mixed convection in a horizontal channel with an open cavity. Int. J. Heat Mass Transfer 2011, 54, 3201–3213. [Google Scholar] [CrossRef]
- Mahapatra, T.R.; Saha, B.C.; Pal, D. Magnetohydrodynamic double-diffusive natural convection for nanofluid within a trapezoidal enclosure. Comput. Appl. Math. 2018, 37, 6132–6151. [Google Scholar] [CrossRef]
- Wang, J.; Jiang, X.; Zhang, H. A BDF3 and new nonlinear fourth-order difference scheme for the generalized viscous Burgers’ equation. Appl. Math. Lett. 2024, 151, 109002. [Google Scholar] [CrossRef]
- Wang, W.; Zhang, H.; Zhou, Z.; Yang, X. A fast compact finite difference scheme for the fourth-order diffusion-wave equation. Int. J. Comput. Math. 2024, 101, 170–193. [Google Scholar] [CrossRef]
- Xiao, W.; Yang, X.; Zhou, Z. Pointwise-in-time α-robust error estimate of the ADI difference scheme for three-dimensional fractional subdiffusion equations with variable coefficients. Commun. Anal. Mech 2024, 16, 53–70. [Google Scholar] [CrossRef]
- Zhou, Z.; Zhang, H.; Yang, X. CN ADI fast algorithm on non-uniform meshes for the three-dimensional nonlocal evolution equation with multi-memory kernels in viscoelastic dynamics. Appl. Math. Comput. 2024, 474, 128680. [Google Scholar] [CrossRef]
- Yang, X.; Qiu, W.; Chen, H.; Zhang, H. Second-order BDF ADI Galerkin finite element method for the evolutionary equation with a nonlocal term in three-dimensional space. Appl. Numer. Math. 2022, 172, 497–513. [Google Scholar] [CrossRef]
- Wu, L.; Zhang, H.; Yang, X.; Wang, F. A second-order finite difference method for the multi-term fourth-order integral–differential equations on graded meshes. Comput. Appl. Math. 2022, 41, 313. [Google Scholar] [CrossRef]
- Yang, X.; Zhang, Z. On conservative, positivity preserving, nonlinear FV scheme on distorted meshes for the multi-term nonlocal Nagumo-type equations. Appl. Math. Lett. 2024, 150, 108972. [Google Scholar] [CrossRef]
- Wang, F.; Yang, X.; Zhang, H.; Wu, L. A time two-grid algorithm for the two dimensional nonlinear fractional PIDE with a weakly singular kernel. Math. Comput. Simul. 2022, 199, 38–59. [Google Scholar] [CrossRef]
- Li, C.; Zhang, H.; Yang, X. A new nonlinear compact difference scheme for a fourth-order nonlinear Burgers type equation with a weakly singular kernel. J. Appl. Math. Comput. 2024, 1–33. [Google Scholar] [CrossRef]
- Eshaghi, S.; Izadpanah, F.; Dogonchi, A.S.; Chamkha, A.J.; Hamida, M.B.B.; Alhumade, H. The optimum double diffusive natural convection heat transfer in H-Shaped cavity with a baffle inside and a corrugated wall. Case Stud. Therm. Eng. 2021, 28, 101541. [Google Scholar] [CrossRef]
- Turkyilmazoglu, M. Unsteady convection flow of some nanofluids past a moving vertical flat plate with heat transfer. J. Heat Transfer 2014, 136, 031704. [Google Scholar] [CrossRef]
- Rajesh, V.; Sheremet, M. Free Convection in a Square Ternary Hybrid Nanoliquid Chamber with Linearly Heating Adjacent Walls. Nanomaterials 2023, 13, 2860. [Google Scholar] [CrossRef] [PubMed]
- COMSOL Multiphysics®, version 5.2; COMSOL AB: Stockholm, Sweden, 1998. Available online: www.comsol.com (accessed on 5 March 1998).
- Dutta, S.; Pati, S.; Baranyi, L. Numerical analysis of magnetohydrodynamic natural convection in a nanofluid filled quadrantal enclosure. Case Stud. Therm. Eng. 2021, 28, 101507. [Google Scholar] [CrossRef]
- Bilal, S.; Shah, I.A.; Khan, I.; Al-Otaibi, S.; Rahimzai, A.A. FEM simulations for double diffusive transport mechanism hybrid nano fluid flow in corrugated enclosure by installing uniformly heated and concentrated cylinder. Sci. Rep. 2024, 14, 766. [Google Scholar] [CrossRef]
- Shah, I.A.; Bilal, S.; Muhammad, T.; Eldin, S.M. Computational assessment about hydrothermal attributes with induction of MWNT’s-Fe3O4 in water saturated in hexagonal enclosure. Case Stud. Therm. Eng. 2023, 47, 103036. [Google Scholar]
Disclaimer/Publisher’s Note: The statements, opinions and data contained in all publications are solely those of the individual author(s) and contributor(s) and not of MDPI and/or the editor(s). MDPI and/or the editor(s) disclaim responsibility for any injury to people or property resulting from any ideas, methods, instructions or products referred to in the content. |
© 2024 by the authors. Licensee MDPI, Basel, Switzerland. This article is an open access article distributed under the terms and conditions of the Creative Commons Attribution (CC BY) license (https://creativecommons.org/licenses/by/4.0/).











