Fitting Penalized Estimator for Sparse Covariance Matrix with Left-Censored Data by the EM Algorithm
Abstract
1. Introduction
2. Sparse Covariance Matrix Estimation for Censored Data
2.1. Penalized Estimator for Censored Data
2.2. Fitting Penalized Estimator by the EM Algorithm
2.2.1. E-Step
2.2.2. M-Step
2.3. Fitting SCAD Penalized Estimator by the EM Algorithm
2.3.1. E-Step
2.3.2. M-Step
2.4. Selection of the Shrinkage Parameter
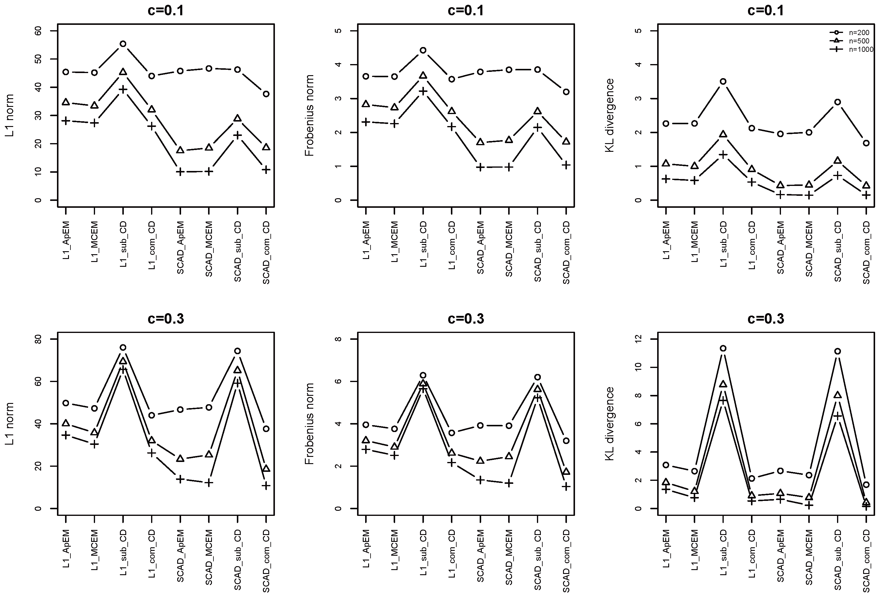
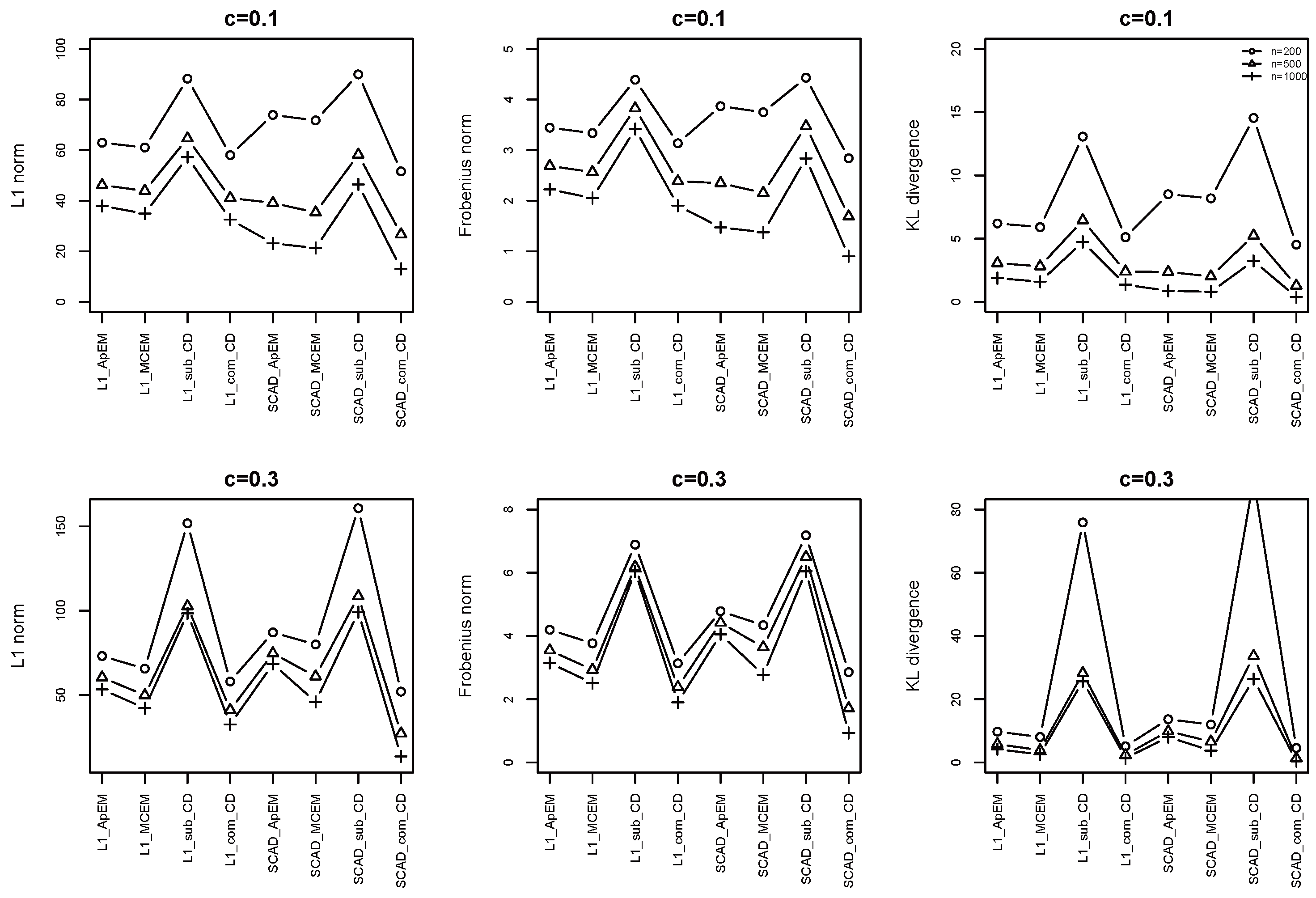
3. Simulation
3.1. Simulation Settings
- Cliques model: We take , where each is a dense matrix of size . The off-diagonal elements of are with random sign and the diagonal element , where is chosen such that the condition number of equals p.
- First-order moving average model: Diagonal element , and for . The remaining elements are equal to zero.
3.2. Simulation Results
3.3. Cell Signalling Dataset Under Artificial Censoring
4. Application to Proteomic Datasets
5. Conclusions
Author Contributions
Funding
Data Availability Statement
Conflicts of Interest
Appendix A
| c = 0.1 | c = 0.3 | |||||||||
|---|---|---|---|---|---|---|---|---|---|---|
| E-Step | M-Step | Total | iter | E-Step | M-Step | Total | iter | |||
| p = 30 | n = 200 | L1_ApEM | 18.58 | 0.26 | 18.85 | 3.72 | 71.78 | 0.41 | 72.21 | 7.00 |
| L1_MCEM | 6.16 | 0.25 | 6.45 | 3.58 | 20.36 | 0.43 | 20.84 | 7.15 | ||
| L1_sub_CD | 0.35 | 0.33 | ||||||||
| L1_com_CD | 0.33 | 0.33 | ||||||||
| n = 500 | L1_ApEM | 44.42 | 0.22 | 44.66 | 3.02 | 172.96 | 0.33 | 173.32 | 6.50 | |
| L1_MCEM | 14.31 | 0.22 | 14.70 | 3.20 | 46.28 | 0.39 | 46.84 | 5.95 | ||
| L1_sub_CD | 0.34 | 0.33 | ||||||||
| L1_com_CD | 0.33 | 0.32 | ||||||||
| n = 1000 | L1_ApEM | 88.54 | 0.24 | 88.81 | 3.00 | 343.98 | 0.33 | 344.35 | 6.35 | |
| L1_MCEM | 27.55 | 0.23 | 28.09 | 3.02 | 89.53 | 0.40 | 90.21 | 6.35 | ||
| L1_sub_CD | 0.33 | 0.30 | ||||||||
| L1_com_CD | 0.33 | 0.31 | ||||||||
| p = 100 | n = 200 | L1_ApEM | 43.34 | 17.56 | 61.01 | 4.00 | 187.14 | 31.11 | 218.46 | 11.00 |
| L1_MCEM | 21.01 | 17.24 | 38.64 | 3.98 | 60.08 | 25.88 | 86.39 | 6.75 | ||
| L1_sub_CD | 18.48 | 24.61 | ||||||||
| L1_com_CD | 23.93 | 23.49 | ||||||||
| n = 500 | L1_ApEM | 107.28 | 9.26 | 116.69 | 4.00 | 440.50 | 16.14 | 456.86 | 7.00 | |
| L1_MCEM | 49.24 | 8.92 | 59.17 | 3.72 | 121.94 | 16.51 | 139.50 | 7.25 | ||
| L1_sub_CD | 16.46 | 14.27 | ||||||||
| L1_com_CD | 12.25 | 11.94 | ||||||||
| n = 1000 | L1_ApEM | 212.09 | 9.01 | 221.33 | 3.98 | 860.64 | 14.79 | 875.71 | 7.00 | |
| L1_MCEM | 86.89 | 7.57 | 95.87 | 3.14 | 228.27 | 15.79 | 245.57 | 6.75 | ||
| L1_sub_CD | 12.71 | 13.15 | ||||||||
| L1_com_CD | 11.94 | 11.92 | ||||||||
| c = 0.1 | c = 0.3 | |||||||||
|---|---|---|---|---|---|---|---|---|---|---|
| E-Step | M-Step | Total | iter | E-Step | M-Step | Total | iter | |||
| p = 30 | n = 200 | L1_ApEM | 14.59 | 0.18 | 14.79 | 3.08 | 62.09 | 0.31 | 62.42 | 6.25 |
| L1_MCEM | 5.54 | 0.21 | 5.79 | 3.54 | 21.81 | 0.39 | 22.24 | 6.45 | ||
| L1_sub_CD | 0.29 | 0.30 | ||||||||
| L1_com_CD | 0.28 | 0.28 | ||||||||
| n = 500 | L1_ApEM | 36.09 | 0.17 | 36.27 | 3.00 | 149.25 | 0.31 | 149.57 | 6.00 | |
| L1_MCEM | 12.98 | 0.18 | 13.31 | 3.10 | 50.66 | 0.34 | 51.15 | 6.10 | ||
| L1_sub_CD | 0.25 | 0.29 | ||||||||
| L1_com_CD | 0.25 | 0.28 | ||||||||
| n = 1000 | L1_ApEM | 70.72 | 0.16 | 70.90 | 3.00 | 296.08 | 0.28 | 296.38 | 6.00 | |
| L1_MCEM | 24.62 | 0.17 | 25.08 | 3.10 | 99.67 | 0.34 | 100.30 | 6.00 | ||
| L1_sub_CD | 0.26 | 0.26 | ||||||||
| L1_com_CD | 0.25 | 0.25 | ||||||||
| p = 100 | n = 200 | L1_ApEM | 43.32 | 45.07 | 88.50 | 4.00 | 187.35 | 66.16 | 253.69 | 7.40 |
| L1_MCEM | 20.03 | 49.82 | 70.22 | 4.18 | 106.78 | 92.13 | 199.34 | 10.40 | ||
| L1_sub_CD | 64.71 | 85.31 | ||||||||
| L1_com_CD | 59.13 | 58.58 | ||||||||
| n = 500 | L1_ApEM | 85.26 | 14.31 | 99.72 | 3.08 | 379.60 | 27.41 | 407.22 | 6.00 | |
| L1_MCEM | 43.73 | 16.41 | 61.13 | 3.30 | 184.79 | 30.94 | 216.82 | 6.25 | ||
| L1_sub_CD | 23.80 | 31.77 | ||||||||
| L1_com_CD | 23.56 | 23.28 | ||||||||
| n = 1000 | L1_ApEM | 160.32 | 13.98 | 174.51 | 3.00 | 766.09 | 25.91 | 792.26 | 6.00 | |
| L1_MCEM | 78.11 | 14.89 | 94.38 | 3.04 | 343.23 | 29.75 | 374.44 | 6.10 | ||
| L1_sub_CD | 23.89 | 24.15 | ||||||||
| L1_com_CD | 23.49 | 23.57 | ||||||||
| c = 0.1 | ||||||
|---|---|---|---|---|---|---|
| E-Step | M-Step | Total | iter | |||
| p = 100 | n = 50 | L1_ApEM | 92.20 | 230,702.07 | 230,795.24 | 5.70 |
| L1_MCEM | 18.74 | 18,491.17 | 18,510.35 | 4.70 | ||
| L1_sub_CD | 1916.47 | |||||
| L1_com_CD | 832.07 | |||||
| n = 100 | L1_ApEM | 23.26 | 187.76 | 211.14 | 4.00 | |
| L1_MCEM | 12.04 | 348.34 | 360.73 | 4.10 | ||
| L1_sub_CD | 465.46 | |||||
| L1_com_CD | 369.12 | |||||
| p = 200 | n = 100 | L1_ApEM | 86.25 | 370,653.01 | 370,740.91 | 4.10 |
| L1_MCEM | 28.25 | 22,842.59 | 22,872.19 | 4.10 | ||
| L1_sub_CD | 2010.41 | |||||
| L1_com_CD | 525.93 | |||||
References
- Li, D. Estimation of large dynamic covariance matrices: A selective review. Econom. Stat. 2024, 29, 16–30. [Google Scholar] [CrossRef]
- Johansson, K.; Ogut, M.G.; Pelger, M.; Schmelzer, T.; Boyd, S. A simple method for predicting covariance matrices of financial returns. Found. Trends® Econom. 2023, 12, 324–407. [Google Scholar] [CrossRef]
- Kuismin, M.O.; Sillanpää, M.J. Estimation of covariance and precision matrix, network structure, and a view toward systems biology. Wiley Interdiscip. Rev. Comput. Stat. 2017, 9, e1415. [Google Scholar] [CrossRef]
- Shen, H.W.; Cheng, X.Q.; Fang, B.X. Covariance, correlation matrix, and the multiscale community structure of networks. Phys. Rev. E—Stat. Nonlinear Soft Matter Phys. 2010, 82, 016114. [Google Scholar] [CrossRef]
- Bickel, P.J.; Levina, E. Regularized estimation of large covariance matrices. Ann. Stat. 2008, 36, 199–227. [Google Scholar] [CrossRef]
- Cai, T.T.; Zhang, C.H.; Zhou, H.H. Optimal rates of convergence for covariance matrix estimation. Ann. Stat. 2010, 38, 2118–2144. [Google Scholar] [CrossRef]
- Ollila, E.; Breloy, A. Regularized tapered sample covariance matrix. IEEE Trans. Signal Process. 2022, 70, 2306–2320. [Google Scholar] [CrossRef]
- Bickel, P.J.; Levina, E. Covariance regularization by thresholding. Ann. Stat. 2008, 36, 2577–2604. [Google Scholar] [CrossRef] [PubMed]
- Rothman, A.J.; Levina, E.; Zhu, J. Generalized thresholding of large covariance matrices. J. Am. Stat. Assoc. 2009, 104, 177–186. [Google Scholar] [CrossRef]
- Cai, T.; Liu, W. Adaptive thresholding for sparse covariance matrix estimation. J. Am. Stat. Assoc. 2011, 106, 672–684. [Google Scholar] [CrossRef]
- Rothman, A.J. Positive definite estimators of large covariance matrices. Biometrika 2012, 99, 733–740. [Google Scholar] [CrossRef]
- Xue, L.; Ma, S.; Zou, H. Positive-definite l1-penalized estimation of large covariance matrices. J. Am. Stat. Assoc. 2012, 107, 1480–1491. [Google Scholar] [CrossRef]
- Wei, Q.; Zhao, Z. Large covariance matrix estimation with oracle statistical rate via majorization-minimization. IEEE Trans. Signal Process. 2023, 71, 3328–3342. [Google Scholar] [CrossRef]
- Wang, X.; Kong, L.; Wang, L. Estimation of sparse covariance matrix via non-convex regularization. J. Multivar. Anal. 2024, 202, 105294. [Google Scholar] [CrossRef]
- Bien, J.; Tibshirani, R.J. Sparse estimation of a covariance matrix. Biometrika 2011, 98, 807–820. [Google Scholar] [CrossRef]
- Wang, H. Coordinate descent algorithm for covariance graphical lasso. Stat. Comput. 2014, 24, 521–529. [Google Scholar] [CrossRef]
- Xu, J.; Lange, K. A proximal distance algorithm for likelihood-based sparse covariance estimation. Biometrika 2022, 109, 1047–1066. [Google Scholar] [CrossRef]
- Fatima, G.; Stoica, P.; Babu, P. L0 penalized maximum likelihood estimation ofsparse covariance matrices. IEEE Signal Process. Lett. 2024, 32, 66–70. [Google Scholar] [CrossRef]
- Fatima, G.; Babu, P.; Stoica, P. Two new algorithms for maximum likelihood estimation of sparse covariance matrices with applications to graphical modeling. IEEE Trans. Signal Process. 2024, 72, 958–971. [Google Scholar] [CrossRef]
- Sung, B.; Lee, J. Covariance structure estimation with Laplace approximation. J. Multivar. Anal. 2023, 198, 105225. [Google Scholar] [CrossRef]
- Lubin, J.H.; Colt, J.S.; Camann, D.; Davis, S.; Cerhan, J.R.; Severson, R.K.; Bernstein, L.; Hartge, P. Epidemiologic evaluation of measurement data in the presence of detection limits. Environ. Health Perspect. 2004, 112, 1691–1696. [Google Scholar] [CrossRef] [PubMed]
- Wei, R.; Wang, J.; Jia, E.; Chen, T.; Ni, Y.; Jia, W. GSimp: A Gibbs sampler based left-censored missing value imputation approach for metabolomics studies. PLoS Comput. Biol. 2018, 14, e1005973. [Google Scholar] [CrossRef]
- Shoari, N.; Dube, J.S. Estimating the mean and standard deviation of environmental data with below detection limit observations: Considering highly skewed data and model misspecification. Chemosphere 2015, 138, 599–608. [Google Scholar] [CrossRef] [PubMed]
- Mohammed, R.A.M.; Brooks, S.C.; Tsai, C.H.; Ahmed, T.; Rucker, D.F.; Ulery, A.; Pierce, E.; Carroll, K.C. Geostatistical interpolation of streambed hydrologic attributes with addition of left censored data and anisotropy. J. Hydrol. 2021, 599, 126474. [Google Scholar] [CrossRef]
- Hoffman, H.J.; Johnson, R.E. Pseudo-likelihood estimation of multivariate normal parameters in the presence of left-censored data. J. Agric. Biol. Environ. Stat. 2015, 20, 156–171. [Google Scholar] [CrossRef]
- Jones, M.P.; Perry, S.S.; Thorne, P.S. Maximum pairwise pseudo-likelihood estimation of the covariance matrix from left-censored data. J. Agric. Biol. Environ. Stat. 2015, 20, 83–99. [Google Scholar] [CrossRef]
- Pesonen, M.; Pesonen, H.; Nevalainen, J. Covariance matrix estimation for left-censored data. Comput. Stat. Data Anal. 2015, 92, 13–25. [Google Scholar] [CrossRef]
- Dempster, A.P.; Laird, N.M.; Rubin, D.B. Maximum likelihood from incomplete data via the EM algorithm. J. R. Stat. Soc. Ser. B (Methodol.) 1977, 39, 1–22. [Google Scholar] [CrossRef]
- Zou, H.; Li, R. One-step sparse estimates in nonconcave penalized likelihood models. Ann. Stat. 2008, 36, 1509. [Google Scholar] [PubMed]
- Little, R.J.A.; Rubin, D.B. Statistical Analysis with Missing Data, 3rd ed.; John Wiley & Sons: Hoboken, NJ, USA, 2019. [Google Scholar]
- Augugliaro, L.; Abbruzzo, A.; Vinciotti, V. ℓ1-penalized censored Gaussian graphical model. Biostatistics 2020, 21, e1–e16. [Google Scholar]
- Fan, J.; Li, R. Variable selection via nonconcave penalized likelihood and its oracle properties. J. Am. Stat. Assoc. 2001, 96, 1348–1360. [Google Scholar] [CrossRef]
- Lee, G.; Scott, C. EM algorithms for multivariate Gaussian mixture models with truncated and censored data. Comput. Stat. Data Anal. 2012, 56, 2816–2829. [Google Scholar] [CrossRef]
- Lee, L.F. On the first and second moments of the truncated multi-normal distribution and a simple estimator. Econ. Lett. 1979, 3, 165–169. [Google Scholar] [CrossRef]
- Guo, J.; Levina, E.; Michailidis, G.; Zhu, J. Graphical models for ordinal data. J. Comput. Graph. Stat. 2015, 1, 183–204. [Google Scholar] [CrossRef]
- Horrace, W.C. Some results on the multivariate truncated normal distribution. J. Multivar. Anal. 2005, 94, 209–221. [Google Scholar] [CrossRef]
- Johnson, N.L.; Kotz, S.; Balakrishnan, N. Continuous Univariate Distributions, 2nd ed.; John Wiley & Sons: Hoboken, NJ, USA, 1994. [Google Scholar]
- Wei, G.C.; Tanner, M.A. A Monte Carlo implementation of the EM algorithm and the poor man’s data augmentation algorithms. J. Am. Stat. Assoc. 1990, 85, 699–704. [Google Scholar] [CrossRef]
- Sachs, K.; Perez, O.; Pe’er, D.; Lauffenburger, D.A.; Nolan, G.P. Causal protein-signaling networks derived from multiparameter single-cell data. Science 2005, 308, 523–529. [Google Scholar] [CrossRef] [PubMed]
- Lazar, C.; Burger, T. imputeLCMD: A Collection of Methods for Left-Censored Missing Data Imputation. R Package Version 2.1. 2022. Available online: https://cran.r-project.org/web/packages/imputeLCMD/imputeLCMD.pdf (accessed on 10 June 2022).
- Wu, C.F.J. On the convergence properties of the EM algorithm. Ann. Stat. 1983, 11, 95–103. [Google Scholar] [CrossRef]
- McLachlan, G.J.; Krishnan, T. The EM Algorithm and Extensions; John Wiley & Sons: Hoboken, NJ, USA, 2007. [Google Scholar]







| c = 0.1 | c = 0.3 | |||||
|---|---|---|---|---|---|---|
| Norm | Frobenius Norm | KL Divergence | Norm | Frobenius Norm | KL Divergence | |
| L1_ApEM | 3.03 | 0.59 | 0.64 | 6.28 | 1.22 | 1.97 |
| L1_MCEM | 2.44 | 0.49 | 0.62 | 4.19 | 0.84 | 2.70 |
| L1_sub_CD | 3.96 | 0.78 | 1.41 | 6.51 | 1.31 | 8.88 |
| L1_half | 3.53 | 1.19 | 1.60 | 9.92 | 3.10 | 4.20 |
| L1_colmean | 6.72 | 1.27 | 3.18 | 10.67 | 2.10 | 10.96 |
| L1_missknn | 5.86 | 1.12 | 3.45 | 8.96 | 1.77 | 11.43 |
| L1_missforest | 5.67 | 1.11 | 4.62 | 8.78 | 1.79 | 21.11 |
Disclaimer/Publisher’s Note: The statements, opinions and data contained in all publications are solely those of the individual author(s) and contributor(s) and not of MDPI and/or the editor(s). MDPI and/or the editor(s) disclaim responsibility for any injury to people or property resulting from any ideas, methods, instructions or products referred to in the content. |
© 2025 by the authors. Licensee MDPI, Basel, Switzerland. This article is an open access article distributed under the terms and conditions of the Creative Commons Attribution (CC BY) license (https://creativecommons.org/licenses/by/4.0/).
Share and Cite
Lin, S.; Zheng, Q.-Z.; Shang, L.; Xu, P.-F.; Tang, M.-L. Fitting Penalized Estimator for Sparse Covariance Matrix with Left-Censored Data by the EM Algorithm. Mathematics 2025, 13, 423. https://doi.org/10.3390/math13030423
Lin S, Zheng Q-Z, Shang L, Xu P-F, Tang M-L. Fitting Penalized Estimator for Sparse Covariance Matrix with Left-Censored Data by the EM Algorithm. Mathematics. 2025; 13(3):423. https://doi.org/10.3390/math13030423
Chicago/Turabian StyleLin, Shanyi, Qian-Zhen Zheng, Laixu Shang, Ping-Feng Xu, and Man-Lai Tang. 2025. "Fitting Penalized Estimator for Sparse Covariance Matrix with Left-Censored Data by the EM Algorithm" Mathematics 13, no. 3: 423. https://doi.org/10.3390/math13030423
APA StyleLin, S., Zheng, Q.-Z., Shang, L., Xu, P.-F., & Tang, M.-L. (2025). Fitting Penalized Estimator for Sparse Covariance Matrix with Left-Censored Data by the EM Algorithm. Mathematics, 13(3), 423. https://doi.org/10.3390/math13030423

