Abstract
This paper proceeds from the perspective that most strongly nonlinear oscillators of fractional-order do not enjoy exact analytical solutions. Undoubtedly, this is a good enough reason to employ one of the major recent approximate methods, namely an Optimal Homotopy Asymptotic Method (OHAM), to offer approximate analytic solutions for two strongly fractional-order nonlinear benchmark oscillatory problems, namely: the fractional-order Duffing-relativistic oscillator and the fractional-order stretched elastic wire oscillator (with a mass attached to its midpoint). In this work, a further modification has been proposed for such method and then carried out through establishing an optimal auxiliary linear operator, an auxiliary function, and an auxiliary control parameter. In view of the two aforesaid applications, it has been demonstrated that the OHAM is a reliable approach for controlling the convergence of approximate solutions and, hence, it is an effective tool for dealing with such problems. This assertion is completely confirmed by performing several graphical comparisons between the OHAM and the Homotopy Analysis Method (HAM).
1. Introduction
It is common knowledge in the world of mathematical modeling that many phenomena and applications in engineering and physical sciences could be excellently outlined through using some mathematical tools that are offered by fractional calculus. For instance, it has recently been conclusively demonstrated that Fractional-order Differential Equations (FoDEs) play a vital role in affording precise descriptions for several nonlinear phenomena [1]. From this standpoint, many efforts and endeavors have been devoted, over a number of past decades, by lots of both physicists and mathematicians to assign explicit solutions for nonlinear FoDEs [2]. The nonlinear fractional-order oscillators are typically considered to be a significant exemplar of such equations. The strongly nonlinear oscillator, which is one of the major types of these oscillators, could be dealt with by means of three main schemes. Constructing new or using some special existent functions that relies on the nature of nonlinearity is the first scheme. On the other hand, the second scheme could be represented by appropriately rescaling the displacement, and then inserting a small parameter into motion equation. Whereas, the third scheme can be delineated by introducing a further small parameter, and then transporting motion equation into a linear oscillator perturbation [3,4,5].
In general terms, the nonlinear fractional-order oscillators have been examined and explored by many researchers. In particular, Shen et al. studied the primary resonance of fractional-order van der Pol oscillator analytically and numerically while using the averaging method [6], and then used the incremental harmonic balance method to analyze some dynamical properties of fractional-order nonlinear oscillator [7]. The dynamical response of the fractional-order stochastic Duffing equation was explored by Xu et al. in [8]. Some novel dynamical features of fractional-order Duffing oscillator had been studied by Chen et al. in [9,10,11]. They proposed a new powerful bifurcation control approach that is based on the controller [11]. However, obtaining accurate solutions of most of these nonlinear equations is considered to be an extremely difficult mission for lots of researchers. For addressing this problem, several semi-analytical and numerical methods have been widely established and implemented to solve such strongly nonlinear equations approximately, like Piecewise Variational Iteration Method (PVIM) [12], Perturbation-Incremental Method (PIM) [13], Generalized Averaging Method (GAM) [14], Homotopy Analysis Method (HAM) [15], Global Residue Harmonic Balance Method (GRHBM) [16], Improved Multiple-Scale Method (IMSM) [17], and many others. Despite the meaningful performance of all these methods, most of them provide series solutions with a small convergence region [18]. For example, Liao has, unfortunately, shown that the convergence region and rate of approximation series cannot be constantly ensured when using HAM [19,20]. From this point of view, there is a persistent necessity to evade all of these weaknesses and shortcomings. The way in which they can be overcome is by utilizing one of the most novel robust methods, called the Optimal Homotpy Asymptotic Method (OHAM).
The OHAM was recently proposed and developed by Marinca et al. as a generalization of the classical HAM [1,2,20,21,22,23]. Several solutions of significant nonlinear problems within lots of studies were then, consequently, constructed based on using this method (see [1,18,20,24,25,26,27,28,29,30]). In view of many of these studies, it was demonstrated that this method is a reliable, straightforward, and effective tool for offering accurate analytical approximate solutions to lots of strongly nonlinear problems [2,18,29]. Besides, it was revealed that its key characteristic is its ability to optimally control the convergence of approximate series solutions [2,18,29]. However, this work employs this method to provide approximate analytic solution for two strongly fractional-order nonlinear benchmark oscillatory problems through establishing an optimal auxiliary linear operator, an auxiliary function, and an auxiliary control parameter. These two nonlinear oscillators are: the fractional-order Duffing-relativistic oscillator and the fractional-order stretched elastic wire oscillator (with a mass attached to its midpoint). Nevertheless, the rest of this paper is arranged, as follows: the next section exhibits, briefly, the HAM along with a further modification of its scheme. Section 3 introduces the OHAM in order to construct approximate solutions for some strongly fractional-order nonlinear oscillatory problems. Section 4 demonstrates approximate solutions of the fractional-order Duffing-relativistic oscillator, and the fractional-order stretched elastic wire oscillator. Finally, the last section summarizes the main conclusions of this work.
2. The Homotopy Asymptotic Method
The HAM is a common analytical approach for solving both weakly and strongly nonlinear problems. In pursuance of this method, approximate series solutions are accurately obtained, even if these problems have fractional-order derivatives [15]. In this part, a modified approach of HAM is presented for the purpose of handling some types of nonlinear FoDEs that have the following general form:
subject to the initial conditions
where is a nonlinear operator, is an unknown continuous function of the independent variable t, and is the Caputo differential operator of order that can be defined, as follows:
where , , and . Here, is the traditional integer-order differential operator of order m, and is the Riemann–Liouville integral operator of order , which can be defined by:
For more insight regarding further properties that are associated with these two operators, Caputo and Riemann–Liouville operators, the reader may refer to [31]. However, in view of the HAM, the following homotopy can be established:
where is the embedding parameter, is a non zero auxiliary parameter, is an initial guess, is an auxiliary function, L is an auxiliary linear operator, and is an unknown function. Observe that homotopy (5) becomes simply when , whereas it returns back to its original nonlinear form that is given in (1) when . Therefore, as q differs from 0 up to 1, differs from the initial guess up to the exact solution that is constructed for (1). Regardless, could be expanded with respect to q by using Taylor series as follows:
Note that, whenever the series converges at , then the following homotopy series solution could be established:
which should satisfy (1). In the same vein, one can track the same procedure that was established in [2,18,29] for the purose of identifying each term of ’s that given in series (6). Now, substituting series (6) in homotopy (5) and then equating the coefficients of the similar powers of q yields the following -order deformation equation:
where
and
In light of the previous considerations, a further modification has been proposed for the HAM that can be employed simply and directly for obtaining series solutions for nonlinear FoDEs. It has clearly appeared that the success of this modification relies on the favorable choice for each of the auxiliary parameter h, the auxiliary function , and the auxiliary linear operator L. For more details regarding the proper selection of the auxiliary function , and the auxiliary control parameter h, the reader may refer to the references [32,33,34]
3. An OHAM for Fractional-Order Nonlinear Oscillators
This section targets introducing the OHAM for the purpose of generally establishing approximate solutions for the strongly fractional-order nonlinear oscillatory problems that can be expressed by the following form [35]:
subject to the following initial conditions:
where is the Caputo operator of order , f is a nonlinear function, and is an unknown continuous function of the independent variable t. First of all, we set out to rewrite the nonlinear oscillator that is given in (11) to be in the following form:
where F is a nonlinear function. The idea of constructing our proposed algorithm initially relies on choosing an optimal auxiliary linear operator by taking into account that the nonlinear function F can be written by a Taylor series at . Therefore, making a linearization of the function F at yields the following linear approximation:
Accordingly, solving straightforwardly the algebraic equation for leads us to design an optimal auxiliary linear operator L in the form:
where the constant , which only depends on , can be computed according to the following formula:
where . One should observe that the designed linear operator is an optimal operator in the sense that the approximation is the best linear approximation to the function near [35]. In a subsequent step, the optimal approach of HAM for the nonlinear fractional-order oscillator problem that is given in (11) can be established by employing the linear operator given in (15), as proposed in the following homotopy:
It is worth noting that the proposed approach divides the linear operator into two main parts, namely and , and it furthermore embeds them into the homotopy as . Besides, it utilizes as an initial approximation to simplify computations. However, the last step that allows for us to successfully implement OHAM considers that the nonlinear fractional-order oscillatory problem that is given in (11) has an approximate solution of the form: . This solution can be easily obtained, so that the solution components ’s should satisfy the following -order deformation equation:
where
and where is previously defined in (9), such that .
4. Test Problems
This section employs the OHAM to provide approximate analytic solutions for two strongly fractional-order nonlinear benchmark oscillatory problems, namely: the fractional-order Duffing-relativistic oscillator, and the fractional-order stretched elastic wire oscillator (with a mass attached to its midpoint). All of the theoretical findings in this section have been numerically performed using the MATLAB software package.
Example 1.
Consider the following fractional-order Duffing-relativistic oscillator:
subject to the following initial conditions:
where , δ is a constant, and γ is a positive non-dimensional coefficient of nonlinearity that does need to be small [3]. If one selects the linear operator L to be as , then the standard homotopy will be established as:
Thus, taking makes all of the components of the standard HAM solution to be gained by collecting the terms with similar powers of q via the following equation:
The optimal linear operator then has the following form:
and, moreover, the optimal homotopy, when , will be of the form:
Consequently the OHAM’s solution can be obtained as , in which all components of that solution satisfy the following -order deformation equation:
where
and where .
Again, taking makes, this time, all of the components of the OHAM’s solution to be obtained by collecting the terms with similar powers of q via other equations that could be expressed by:
which, consequently, implies the following recursive states:
subject to the initial conditions:
where . Applying the operator on (28) implies:
In a similar manner, we can obtain the rest of all the components using MATLAB software code. In addition, the series solutions expression can be then written in the form:
or
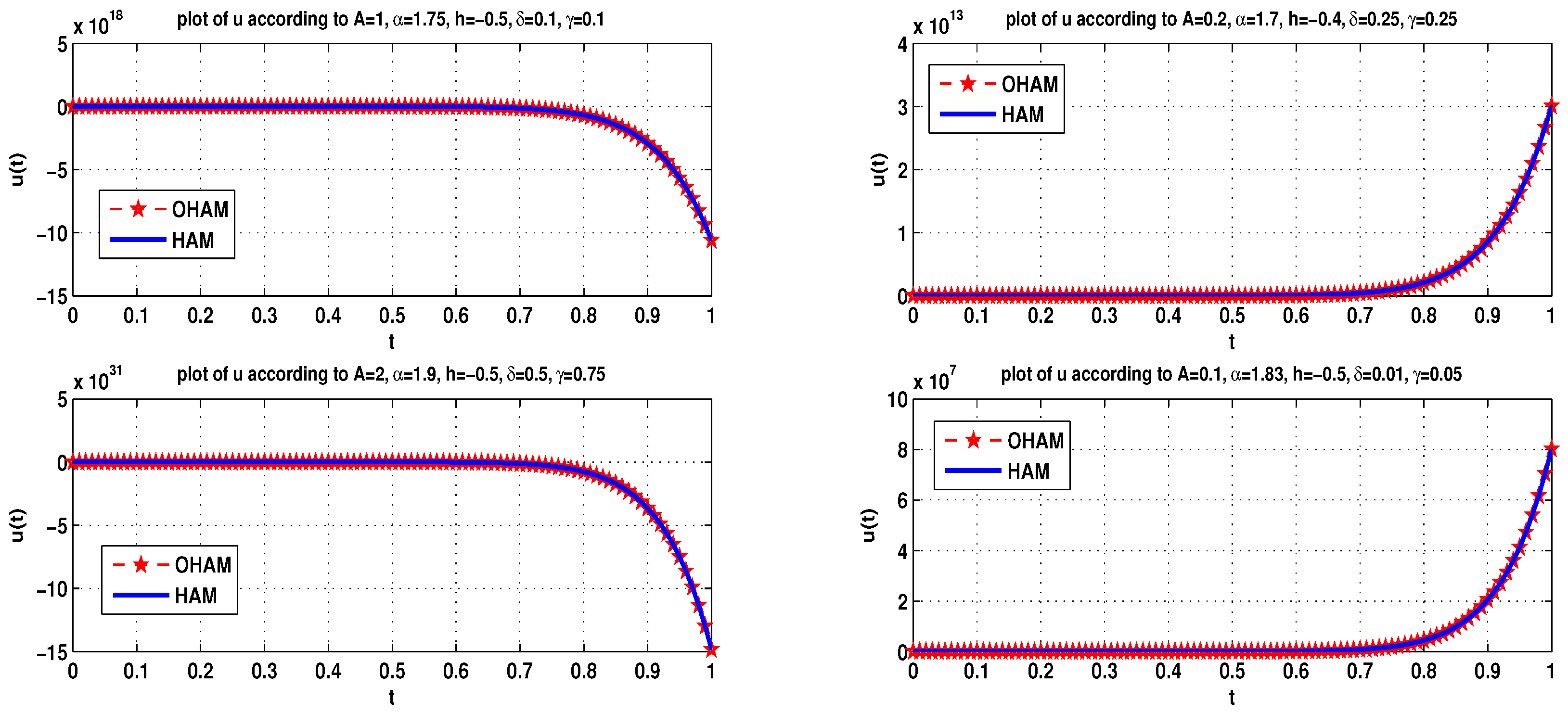
In connection with the selection of the value of parameter h or the so-called the convergent-control parameter h, in Figure 1 we draw its corresponding h-curves according to different values of A, δ, γ and α. In view of such a figure, we deduce the convergence interval that guarantees, in turn, a convergence of the approximate solution . Here, such an interval is deduced to be as , so that the value of h can be chosen within this scope. For more simplification, one may choose the auxiliary function to be, e.g., equal 1. However, Figure 2 shows approximate solutions for problem (20) by using the OHAM for different values of , and γ. For more effective practice, we perform some graphical comparisons between the OHAM and the HAM, as shown in Figure 3. Obviously, these comparisons reveal that the approximate solutions obtained by such methods are very close to each other, which confirms the efficient and robustness of the OHAM. The reader may refer to the references [33,34,36] to obtain a complete overview about the h-curves and how they can be utilized to determine the admissible values of the parameter h.
Figure 1.
Plots of several h–curves according different values: (a) , , (b) , , , (c) , , (d) , .
Figure 2.
Plots of the Optimal Homotopy Asymptotic Method’s (OHAM’s) solutions according to different values of A, , and .
Figure 3.
Graphical comparisons between the OHAM and Homotopy Analysis Method (HAM) for different values of A, , and h.
Example 2.
Consider the following nonlinear fractional-order problem that represents the motion equation of the stretched elastic wire oscillator (with a mass that is attached to its midpoint):
subject to the following initial conditions:
where and .
The optimal linear operator here is of the following form:
Furthermore, the optimal homotopy, when , is then of the form:
Consequently, the OHAM’s solution can be formulated as , in which ’s hold the following -order deformation equation:
where
and where .
Now, taking allows for one to gain all the components of the OHAM’s solution by collecting the terms with similar powers of q via the following equation:
This leads us to establish the following recursive states:
where , and where
subject to the following initial conditions:
where .
Now, applying on (39) yields:
In a similar manner, the rest of other components can be obtained, and then the series solutions expression will be, as given before, in (31). That is;
Similarly to Example 1, Figure 4 illustrates several h-curves in accordance with different values of A, λ, and α. Based on this figure, one may candidate the interval to be also the interval of convergence. The value of the parameter h can be, then, chosen from such interval. On the other hand, the auxiliary function can be chosen once again 1. Taking the previous data into account when carrying out the OHAM via MATLAB software code generates the results that are shown in Figure 5, which represents the approximate solutions for problem (33) according to different values of , and λ. For more insight, Figure 6 shows some graphical comparisons that are performed between the OHAM and the HAM. Such comparisons reveal the influence and impact of the method under consideration.
Figure 4.
Plots of several h–curves according different values: (a) , , (b) , , (c) , , and (d) , .
Figure 5.
Plots of the OHAM’s solutions according to different values of A, , and .
Figure 6.
Graphical comparisons between the OHAM and HAM for different values of A, , and h.
5. Conclusions
In this paper, a further modification for an Optimal Homotopy Asymptotic Method (OHAM) has been successfully implemented to tsolvewo strongly fractional-order nonlinear benchmark oscillatory problems, namely: the fractional-order Duffing-relativistic oscillator and the fractional-order stretched elastic wire oscillator (with a mass attached to its midpoint). Such a modification has been performed by establishing an optimal auxiliary linear operator, an auxiliary function, and an auxiliary control parameter. The proposed scheme has shown its reliability in comparison with the approximate solutions that were obtained using HAM, and its efficiency in handling the considered problems.
Author Contributions
Conceptualization, A.O. and G.G.; Formal analysis, G.B. and G.G.; Funding acquisition, M.T.S.; Investigation, A.O.; Methodology, I.M.B.; Project administration, M.T.S.; Resources, G.G.; Software, G.B.; Supervision, A.O.; Validation, I.M.B.; Visualization, M.T.S.; Writing—original draft, G.B.; Writing—review & editing, I.M.B. All authors have read and agreed to the published version of the manuscript.
Funding
This research received no external funding.
Institutional Review Board Statement
Not applicable.
Informed Consent Statement
Not applicable.
Data Availability Statement
No new data were created or analyzed in this study.
Conflicts of Interest
The authors declare no conflict of interest.
References
- Sarwar, S.; Alkhalaf, S.; Iqbal, S.; Zahid, M.A. A note on optimal homotopy asymptotic method for the solutions of fractional order heat- and wave-like partial differential equations. Comput. Math. Appl. 2015, 70, 942–953. [Google Scholar] [CrossRef]
- Marinca, V.; Herişanu, N. The Optimal Homotopy Asymptotic Method for solving Blasius equation. Appl. Math. Comput. 2014, 231, 134–139. [Google Scholar] [CrossRef]
- Kovacica, I. Four Types of Strongly Nonlinear Oscillators: Generalization of a Perturbation Procedure. Procedia IUTAM 2016, 19, 101–109. [Google Scholar] [CrossRef]
- Burton, T.D. A perturbation method for certain non-linear oscillators. Int. J. Non Linear Mech. 1984, 19, 397–407. [Google Scholar] [CrossRef]
- Jones, S.E. Remarks on the perturbation process for certain conservative systems. Int. J. Non Linear Mech. 1978, 13, 125–128. [Google Scholar] [CrossRef]
- Shen, Y.J.; Wei, P.; Yang, S.P. Primary resonance of fractional-order van der Pol oscillator. Nonlinear Dyn. 2014, 77, 1629–1642. [Google Scholar] [CrossRef]
- Shen, Y.; Wen, S.; Li, X.; Yang, S.; Xing, H. Dynamical analysis of fractional-order nonlinear oscillator by incremental harmonic balance method. Nonlinear Dyn. 2016, 85, 1457–1467. [Google Scholar] [CrossRef]
- Xu, Y.; Li, Y.G.; Liu, D.; Jia, W.T.; Huang, H. Responses of Duffing oscillator with fractional damping and random phase. Nonlinear Dyn. 2013, 74, 745–753. [Google Scholar] [CrossRef]
- Chen, L.C.; Zhu, W.Q. Stochastic jump and bifurcation of Duffing oscillator with fractional derivative damping under combined harmonic and white noise excitations. Int. J. Nonlinear Mech. 2011, 46, 1324–1329. [Google Scholar] [CrossRef]
- Chen, L.C.; Hu, F.; Zhu, W.Q. Stochastic dynamics and fractional optimal control of quasi integrable Hamiltonian systems with fractional derivative damping. Fract. Calc. Appl. Anal. 2013, 16, 189–225. [Google Scholar] [CrossRef]
- Chen, L.C.; Zhao, T.L.; Li, W.; Zhao, J. Bifurcation control of bounded noise excited Duffing oscillator by a weakly fractional-order PIλDμ feedback controller. Nonlinear Dyn. 2016, 83, 529–539. [Google Scholar] [CrossRef]
- Heydari, M.; Loghmani, G.B.; Hosseini, S.M. An improved piecewise variational iteration method for solving strongly nonlinear oscillators. Comput. Appl. Math. 2015, 34, 215–249. [Google Scholar] [CrossRef]
- Chung, K.W.; Chan, C.L.; Xu, Z.; Mahmoud, G.M. A perturbation incremental method for strongly nonlinear autonomous oscillators with many degrees of freedom. Nonlinear Dyn. 2002, 28, 243–259. [Google Scholar] [CrossRef]
- Mahmoud, G.M. On the generalized averaging method of a class of strongly nonlinear forced oscillators. Phys. A Stat. Mech. Appl. 1993, 199, 87–95. [Google Scholar] [CrossRef]
- Odibat, Z.; Bataineh, A.S. An adaptation of homotopy analysis method for reliable treatment of strongly nonlinear problems: Construction of homotopy polynomials. Math. Methods Appl. Sci. 2015, 38, 991–1000. [Google Scholar] [CrossRef]
- Ju, P.J.; Xue, X. Global residue harmonic balance method to periodic solutions of a class of strongly nonlinear oscillators. Appl. Math. Model. 2014, 38, 6144–6152. [Google Scholar] [CrossRef]
- Yuda, H.; Peng, H.; Jinzhi, Z. Strongly nonlinear subharmonic resonance and chaotic motion of axially moving thin plate in magnetic field. J. Comput. Nonlinear Dynam. 2015, 10, 021010. [Google Scholar] [CrossRef]
- Bildik, N.; Deniz, S. New approximate solutions to electrostatic differential equations obtained by using numerical and analytical methods. Georgian Math. J. 2020, 27, 23–30. [Google Scholar] [CrossRef]
- Liao, S.J. Beyond Perturbation: Introduction to the Homotopy Analysis Method; Chapman and Hall, CRC Press: Boca Raton, FL, USA, 2003. [Google Scholar]
- Golbabai, A.; Fardi, M.; Sayevand, K. Application of the optimal homotopy asymptotic method for solving a strongly nonlinear oscillatory system. Math. Comput. Model. 2013, 58, 1837–1843. [Google Scholar] [CrossRef]
- Marinca, V.; Herisanu, N. Application of homotopy asymptotic method for solving non-linear equations arising in heat transfer. I. Comm. Heat Mass Transfer 2008, 35, 710–715. [Google Scholar] [CrossRef]
- Marinca, V.; Herisanu, N. Determination of periodic solutions for the motion of a particle on a rotating parabola by means of the optimal homotopy asymptotic method. J. Sound Vib. 2010, 329, 1450–1459. [Google Scholar] [CrossRef]
- Herisanu, N.; Marinca, V. Accurate analytical solutions to oscillators with discontinuities and fractional-power restoring force by means of the optimal homotopy asymptotic method. Comput. Math. Appl. 2010, 60, 1607–1615. [Google Scholar] [CrossRef]
- Iqbal, S.; Idrees, M.; Siddiqui, A.M.; Ansari, A.R. Some solutions of the linear and nonlinear Klein–Gordon equations using the optimal homotopy asymptotic method. Appl. Math. Comput. 2010, 216, 2898–2909. [Google Scholar] [CrossRef]
- Iqbal, S.; Javed, A. Application of optimal homotopy asymptotic method for the analytic solution of singular Lane–Emden type equation. Appl. Math. Comput. 2011, 217, 7753–7761. [Google Scholar] [CrossRef]
- Iqbal, S.; Siddiqui, A.M.; Ansari, A.R.; Javed, A. Use of optimal homotopy asymptotic method and Galerkin’s finite element formulation in the study of heat transfer flow of a third grade fluid between parallel plates. J. Heat Transfer 2011, 133, 091702. [Google Scholar] [CrossRef]
- Hashmi, M.S.; Khan, N.; Iqbal, S. Optimal homotopy asymptotic method for solving nonlinear Fredholm integral equations of second kind. Appl. Math. Comput. 2012, 218, 10982–10989. [Google Scholar]
- Idrees, M.; Islam, S.; Haqa, S.; Islam, S. Application of the optimal homotopy asymptotic method to squeezing flow. Comput. Math. Appl. 2010, 59, 3858–3866. [Google Scholar] [CrossRef]
- Pandey, R.K.; Singh, O.P.; Baranwal, V.K.; Tripathi, M.P. An analytic solution for the space–time fractional advection–dispersion equation using the optimal homotopy asymptotic method. Comput. Phys. Commun. 2012, 183, 2098–2106. [Google Scholar] [CrossRef]
- Hamarsheh, M.; Ismail, A.; Odibat, Z. Optimal homotopy asymptotic method for solving fractional relaxation-oscillation equation. J. Interpolat. Approx. Sci. Comput. 2015, 2015, 98–111. [Google Scholar] [CrossRef][Green Version]
- Kilbas, A.A.; Srivastava, H.M.; Trujillo, J.J. Theory and Applications of Fractional Differential Equations; Elsevier: Amsterdam, The Netherlands, 2006. [Google Scholar]
- van Gorder, R.A.; Vajravelu, K. On the selection of auxiliary functions, operators, and convergence control parameters in the application of the Homotopy Analysis Method to nonlinear differential equations: A general approach. Commun. Nonlinear Sci. Numer. Simul. 2009, 14, 4078–4089. [Google Scholar] [CrossRef]
- Abbasbandy, S.; Jalili, M. Determination of optimal convergence-control parameter value in homotopy analysis method. Numer Algor 2013, 64, 593–605. [Google Scholar] [CrossRef]
- Motsa, S.S. On the Optimal Auxiliary Linear Operator for the Spectral Homotopy Analysis Method Solution of Nonlinear Ordinary Differential Equations. Math. Probl. Eng. 2014, 2014, 697845. [Google Scholar] [CrossRef]
- Odibat, Z. On the optimal selection of the linear operator and the initial approximation in the application of the homotopy analysis method to nonlinear fractional differential equations. Appl. Numer. Math. 2019, 137, 203–212. [Google Scholar] [CrossRef]
- Niu, Z.; Wang, C. A one-step optimal homotopy analysis method for nonlinear differential equations. Commun. Nonlinear Sci. Numer. Simul. 2010, 15, 2026–2036. [Google Scholar] [CrossRef]
Publisher’s Note: MDPI stays neutral with regard to jurisdictional claims in published maps and institutional affiliations. |
© 2021 by the authors. Licensee MDPI, Basel, Switzerland. This article is an open access article distributed under the terms and conditions of the Creative Commons Attribution (CC BY) license (https://creativecommons.org/licenses/by/4.0/).





