Skip to Content
You are currently on the new version of our website. Access the old version .
MathematicsMathematics
  • Article
  • Open Access

22 February 2021

Multidimensional Fairness Equilibrium Evaluation of Urban Housing Expropriation Compensation Based on VIKOR

,
,
,
and
1
School of Business, Central South University, Changsha 410083, China
2
School of Public Administration, Hunan University of Finance and Economics, Changsha 410205, China
3
School of Management, Hunan City University, Yiyang 413000, China
4
Department of Land Management, College of Public Administration, Huazhong University of Science and Technology, Wuhan 430074, China

Abstract

Against the backdrop of emerging markets and the transitional society, the large-scale start-up of real estate development projects has brought about rapid economic growth and accelerated urban expansion, followed by extreme disputes between social groups. This paper aims to effectively solve the real dilemma of urban housing expropriation by obtaining a consensus regarding the fairness of compensation standards among expropriation compensation-related subjects. Three behavioral preferences—profit-seeking fairness, loss aversion and interactive fairness—were added to a multidimensional fairness equilibrium evaluation indicator system of urban housing expropriation compensation. The entropy method was used to calculate their weights. A multidimensional fairness game model and a multidimensional fairness equilibrium evaluation method based on compromise multi-criteria decision-making VlseKriterijumska Optimizacija I Kompromisno Resenje (VIKOR) of urban housing expropriation compensation were constructed to combine different strategic schemes of related subjects for the purpose of obtaining the compromise optimal solution, that is, the multidimensional fairness game equilibrium solution. The stability of the multidimensional fairness game model and the objectivity of the multidimensional fairness equilibrium evaluation were tested and verified through case data analysis and sensitivity analysis. The conclusion is drawn that the multidimensional fairness game equilibrium solution can effectively resolve extreme disputes regarding urban housing expropriation.

1. Introduction

In the context of emerging markets and transitional societies, large-scale real estate development projects have brought about rapid economic growth and accelerated urban expansion. Many cities around the world are facing the challenge of sustainable development at an unprecedented pace [1]. Cities are facing complicated pressures and expectations [2], but what comes with it is great contradiction between different social groups of urban housing expropriation compensation. There is extreme heterogeneity in the beliefs among different expropriation compensation-related subjects under the same legal framework and prices, huge differences in expropriation compensation price expectations, and discordant choices of behavioral strategies among these subjects. These discrepancies have widened the gap of social consciousness between related subjects and become the flashpoints of many disputes regarding urban housing expropriation compensation. Therefore, the extreme controversy of urban housing expropriation is an important issue that must be urgently solved, and the key to solving it is reaching a consistent belief regarding fair compensation among related subjects.
Housing expropriation refers to the expropriation of houses on state-owned land, and the compensation paid to the expropriated person is the housing expropriation compensation [3]. As the core issue of urban housing expropriation compensation, fair compensation is not a single market value compensation, but involves the fairness judgment of the expropriated person to the market value compensation. However, there are differences in individual preferences, which shows that individuals are ambiguous and complex, and related subjects need to improve the reliability of the decision [4]. Therefore, this paper introduces the subject’s multi-dimensional fairness preferences to explore whether the equilibrium value reflecting the subject’s multi-dimensional fairness preferences in urban housing expropriation compensation can achieve the goal of harmonious expropriation. Different from the existing studies, this research is devoted to constructing a multidimensional fairness equilibrium evaluation model of urban house expropriation compensation from the micro level, taking urban housing expropriation compensation projects as the research object, and introducing a multi-criteria decision analysis method to transform the multidimensional fairness equilibrium problem into a multi-criteria decision-making problem, and innovate the traditional multidimensional equilibrium solution method.
In recent years, the problem of multi-criteria decision-making (MCDM) has gained more attention from researchers. It refers to the decision of choosing among conflicting and non-commensurable scheme sets. At the same time, multiple criteria should be considered when making the decision [5]. The purpose of the MCDM process is to make the best ideal choice reaching the highest standard of achievement from a series of alternatives [6]. It aims to support the decision maker in the process of finding a solution that best suits their preferences [7]. Multi-criteria decision analysis methods are mainly used to solve the problems of choice, ranking, sorting and declaration. In addition, the methods can also be used to solve the problems of elimination and design [8]. At present, there are many methods to solve this kind of problems, the common ones are: Technique for Order Preference by Similarity to Ideal Solution (TOPSIS) [9,10], VIKOR [11], Complex Proportional Assessment (COPRAS) [12], Preference Ranking Organization Method for Enrichment of Evaluations (PROMETHEE) [13], Elimination and Choice Expressing Reality (ELECTRE) [14], Tomada de Decisão Interativa Multicritério (TODIM) [15], etc. Although there have been a large number of multi-criteria decision analysis methods, none of them is perfect and they are not suitable for every kind of multi-criteria decision-making problem. Different results may be obtained by using different methods. Therefore, the multi-criteria decision analysis method should be determined according to the specific situation. Only by selecting the appropriate multi-criteria decision analysis method can the subject get the optimal solution which fully reflects the behavioral preferences of the subject. Among the many multi-criteria decision analysis methods, there is one kind of important method, that is, the compromise solution which is closest to the ideal solution. TOPSIS and VIKOR are two typical multi-criterion compromise methods [7], which have also been widely used in many multi-criteria decision-making problems. It is worth noting that the VIKOR method can comprehensively integrate the evaluation information of multiple indicators and effectively avoid the negative impact of individual poor indicators being neutralized by other indicators [16]. Moreover, the best scheme obtained by VIKOR is the closest to the ideal scheme, while the best scheme obtained by TOPSIS method is not always close to the ideal scheme. At the same time, the VIKOR method obtains a compromise solution with priority. The Multidimensional fairness equilibrium evaluation of urban housing expropriation compensation proposed in this study is a complex decision-making process including multi-agent, multi-strategy, and multi-preference. On the basis of considering the behavioral preferences of the subject, the evaluation criteria, evaluation scheme and weight of the criteria are determined to find the expropriation compensation scheme that can meet the fairness demand of the subject at the same time, that is, the optimal compromise scheme that is closest to the ideal scheme. According to the specific situation of urban housing expropriation compensation, this study chooses the compromise multi-criteria decision-making VIKOR method to solve the problem of multi-criteria decision-making in urban housing expropriation. Therefore, this study, starting from the behavioral preferences of related subjects, aimed to construct a multidimensional fairness game model of urban housing expropriation compensation considering the fairness preferences of profit seeking, loss aversion and interaction and to establish a multidimensional fairness equilibrium evaluation method of urban housing expropriation compensation based on multi-criteria decision-making VIKOR method. The strategic combination schemes were sorted, and the compromise optimal solution—that is, the multidimensional fairness equilibrium solution—was obtained. The data were analyzed based on an actual case of expropriation compensation, and the parameter values were changed for a sensitivity analysis to verify the stability of the multidimensional fairness equilibrium evaluation model and the correctness of multidimensional fairness equilibrium evaluation, as well as the effectiveness of resolving the real disputes of urban housing expropriation compensation.

2. Literature Review

The theoretical basis of the multidimensional fairness game model and the equilibrium evaluation method of urban housing expropriation compensation constructed in this paper mainly comprised prospect theory, loss aversion theory and fairness equilibrium theory. The research achievements of prospect theory and loss aversion theory are as follows. Kahneman and Tversky described loss aversion and reference dependence in prospect theory [17] using value function modeling to explain loss aversion, reference dependence and sensitivity diminution [18] in order to solve the problem of unsatisfied stochastic dominance and multiple results that are difficult to deal with. Cumulative prospect theory was thus put forward [19]. Shalev put forward the concept of loss aversion equilibrium in repeated games, evaluated the risk aversion behavior in repeated games, and constructed the loss aversion model [20,21]. Cornes and Hartley built Tullock rent-seeking competition model considering loss aversion [22]. Bateman et al. conducted an experimental study on the competitive cooperation model with loss aversion motivation [23]. Gimpel analyzed the loss aversion equilibrium in multidimensional negotiation [24]. Loehman classified the reference-dependence model based on prospect theory [25]. Hyndman established a reference-dependence value function [26]. Schmidt proposed the third-generation prospect theory considering an uncertain reference point to better explain preference reversal. Dittrich et al. studied the effects of loss aversion in simple auctions [27]. Driesen et al. dissected the loss aversion equilibrium in bargaining games [28], which Herweg and Schmidt researched for renegotiation contracts [29]. Kameda et al. analyzed Nash proportionately fair in competitive resource allocation [30]. Masatlioglu and Raymond studied random reference-dependence behavior [31] and examined the reference-dependent risk preference model of Köszegi and Rabin [32]. All the above studies have laid a foundation for the development of loss aversion theory. Loss aversion theory can explain many phenomena in economic activities. For example, in expropriation compensation, the expropriated person often used to think that the expropriator pays too little compensation for the house they owns, and the expropriator thinks that the value of the expropriated house far exceeds the amount they are willing to pay, therefore, the two cannot reach an agreement on the expropriation compensation price, which leads to disputes over expropriation compensation. Although loss aversion can cause disputes, on the other hand, it can also help resolve disputes. In expropriation compensation disputes, the bad influence of government reputation and social stability can be regarded as losses that the expropriator does not want to bear. When the expropriator is affected by the loss aversion fairness preference, the expropriator will try the best to meet the requirements of the expropriated to achieve a harmonious expropriation. In order to prevent more losses caused by compensation disputes.
With regard to the research achievements of fairness equilibrium theory, Rabin explained the meaning of fairness equilibrium, pointing out that people not only pay attention to their own interests, but also pay attention to fairness and interaction with other subjects and established an interactive fairness game model [33]. Falk and Fischbacher relaxed incomplete information assumptions and established an interactive equilibrium model [34]. Dufwenberg and Kirchsteiger extended the model within the framework of sequential games, considering the dynamic structure of the game, and established a sequential interaction equilibrium model [35]. Kohler established an altruistic and fairness collective preference model [36]. Fehr and Schmidt researched an inequity aversion model [37], on which Kagel and Wolfe conducted a comparative experiment [38]. Charness and Haruvy used a gift exchange experiment to perform fairness, interaction, and altruism integration experiments [39]. Kritikos considered compulsory arbitration in negotiation experiments [40]. Fehr et al. experimented on fair and optimal ownership allocation [41]. According to the existing research on fairness preference, participants in housing expropriation compensation disputes will have changes in psychological utility and fairness equilibrium under the influence of interactive fairness preference. Among them, the inequity aversion model constructed by Fehr and Schmidt has been proved to be a basic model to quantify the change in utility caused by the fairness preference of the subjects after years of demonstration and application. Therefore, in the conflict of urban housing expropriation compensation, this study also uses this model to observe the subject’s strategic choices and the change of fairness equilibrium under the influence of fairness preference.
Combining with the existing research and the realistic background of urban housing expropriation compensation, it is easy to found that previous studies only focus on the subject’s psychological change or behavior selection on their decision-making, the lack of combining subjects’ behavior and preferences to explore the issue of expropriation compensation benefits, and rare multidimensional fairness equilibrium evaluation, leave the space for this study. Based on the perspective of fairness preference of the subjects, this study proposes that the key to resolving urban housing expropriation compensation disputes lies in the consistent recognition of the belief and strategy of expropriation compensation, which satisfies the subjects’ multi-dimensional preferences including profit-seeking fairness preference, loss aversion fairness preference and interactive fairness preference. The fairness preferences help to resolve compensation disputes. Based on this, the multidimensional equilibrium evaluation method under multi-agent, multi-strategy and multi-preference is innovatively proposed. Because it is very complicated to solve the multidimensional equilibrium evaluation under the multidimensional fairness preference of two subjects, the multi-criteria decision analysis method is introduced to transform the multidimensional fair equilibrium evaluation solution into the ranking optimal problem of multi-criteria decision, and the optimal solution is the multidimensional fairness equilibrium solution. It can meet the multidimensional fairness demand of the subjects at the same time, make the subjects reach agreement on the compensation standard, and realize the harmonious expropriation. At the same time, it can also provide reference for other developing countries to settle the disputes of expropriation compensation.

3. Analysis Framework

Fairness is the central principle of urban housing expropriation compensation. From the perspective of fairness, the problem of urban housing expropriation compensation can be decomposed into the following three points: maximizing the interests of related subjects, minimizing losses and meeting the relative interests of other subjects. Since game theory is a mathematical tool for conflict and cooperation between intelligent and rational decision makers [42]. According to the logic of strategic belief and interactive game equilibrium, the multidimensional fairness equilibrium evaluation considering profit-seeking, loss aversion and interaction fairness in the framework of the same fairness equilibrium value analysis carries out risk correction and fairness correction on subject basic utility value, comparing the interests of subjects under the same standard to achieve the belief identity and preference reversal of related subjects. Finally, the equilibrium result of the multidimensional fairness game is obtained. The research ideas of the multidimensional fairness equilibrium evaluation of urban housing expropriation compensation are shown in Figure 1:
Figure 1. The logic structure diagram of multidimensional fairness equilibrium evaluation.
The multidimensional fairness of urban housing expropriation compensation proposed in this study refers to taking three preference sets, including profit-seeking fairness, loss aversion fairness and interactive fairness, into consideration to explore multidimensional fairness equilibrium of urban housing expropriation compensation based on the game analysis framework of the subject’s three preference sets. In other words, on the basis of fundamental profit-seeking fairness preference, this equilibrium state is formed by considering the subject’s loss aversion fairness preference and interactive fairness preference. The compensation of that state is called multi-dimensional fairness compensation.

3.1. Profit-Seeking Fairness of Urban Housing Expropriation Compensation

Although urban housing expropriation has been accepted by the government and general public, it cannot be smoothly carried out because its compensation standard is low or does not meet the expectations of the expropriated people, which reflects that the related subjects failed to reach a consensus on the fairness of housing compensation standards determined by the subject’s profit-seeking nature in housing expropriation. According to the economic game’s logic, each game subject in housing expropriation must seek the maximum interest, which is a priori assumption that does not need to be proved. The expropriator pursues benefit maximization in accordance with profit-seeking preference and reduces the expropriation compensation standards as much as possible. In contrast, the expropriated people try to obtain higher compensation, which leads to wide differences in the two parties’ perceptions, affected by profit-seeking preference, of fair compensation.
Assuming that the expropriated people have the right to refuse housing expropriation, the expropriators will try to provide an acceptable compensation standard to seek better profits for themselves. However, in fact, China’s current housing expropriation compensation system fails to give the right. When the expropriator proposes an unfair distribution plan, the expropriated person only delays, refuses to be expropriated or asks for exorbitant compensation due to the factors such as social status, degree of education, and legal awareness [43]. As a result, to achieve harmonious housing expropriation, the expropriators should abide by corresponding social norms and substantive rules, take into account the preference of the expropriated people for fair compensation, and follow the principles of equality and fairness when proposing the expropriation compensation plan.

3.2. Loss Aversion Fairness of Urban Housing Expropriation Compensation

As a complex project, housing expropriation is faced with many uncertain factors and a series of risks, such as whether there will be major social conflicts during the process, whether it can be completed on schedule, and especially large-scale immigration projects and the land requisition and demolishing that will change the ecological environment in extra-large projects with huge investment. Housing expropriation thus has a profound and complex impact on regional development and even the harmony and stability of the country and society [44]. The housing expropriation compensation should reflect loss aversion fairness preference of related subjects, which means that while pursuing maximum benefits, human nature also performs the loss aversion act to seek for minimize losses. As for the same interest demands, minimizing individual interest losses of the expropriators or the expropriated people is the basic behavior logic of the game subject. If the housing expropriation compensation is much lower than the expropriated people’s expectations, they will prevent the expropriation to avoid their interest losses and become a veritable tartar. Therefore, when the game subjects face different benefits and risks of loss, their concept differences often lead to diverse game results. When all related subjects only pursue profits, the profit-seeking fair game equilibrium appears. When they all avoid losses, the loss aversion fair equilibrium appears. In housing expropriation compensation, a fair compensation price should be proposed as far as possible to ensure the minimized losses of related subjects.
According to the endowment effect of loss aversion, the expropriated person’s valuation of his own property is often higher than its market value, while the expropriator tends to set compensation standards lower than the market value [45], hence the former often thinks that the latter’s expropriation compensation standard is too low and fails to meet his expectation (which comes from his valuation of his own property and the compensation standards of other expropriation projects), which may cause disputes easily.

3.3. Interactive Fairness of Urban Housing Expropriation Compensation

In recent years, a large number of experimental studies have proved that the participants are not completely self-interested. They are concerned about their gains and others’, and sometimes they are even willing to sacrifice themselves to help friendly people and punish unfriendly ones, which means that the participants have a fairness preference [46]. People are usually more sensitive to the difference between their current situations and a certain reference level, and do not pay too much attention to the total amount of wealth. As a result, the individual’s identification of the selection result is based on the reference point. It is not the final result that affects people’s decision-making, but the change or gap between the final result and the reference point. Kahneman and Tversky refer to the above phenomenon as reference dependence [17]. In housing expropriation compensation, an important reference path is formed by the amount of interests of related subjects and compensation standards of other expropriated people. For example, if the housing expropriation compensation standard on the first floor is higher than that of the fourth floor in the same building, it will bring unfairness to the residents on the fourth floor and trigger disputes over expropriation compensation. As a result, the reasonable compensation for the expropriated people and the uniformity of compensation standards should be taken into consideration in housing expropriation to prevent the unfairness caused by different expropriation compensation standards.
When the expropriated people think that the expropriators get much higher interests during the expropriation, that is, the former have a low proportion of value-added gains from expropriation compensation, but are willing to lose part of the wealth to punish this behavior due to the unfair distribution. The expropriators take the lead and manage the housing expropriation compensation. They pursue the benefit maximization, provide public goods, protect disadvantaged groups and promote stable economic and social development. The current housing expropriation projects are basically government-led due to the promotion of new urbanization, urban renewal, and expansion of urban boundaries [47]. Therefore, most departments hope to find a balance between economic and social stability to achieve harmonious expropriation through fair expropriation, which means that expropriators pursue interactive fairness in housing expropriation compensation.
If the expropriated people believe that others’ compensation standards are higher than their own, this game of introducing a third-party reference point will further intensify the conflicts. The uniformity of compensation standards in housing expropriation is therefore particularly important, and their differences will bring unfairness to the expropriated people. As a result, it is necessary to introduce loss aversion fairness and interactive fairness on the basis of the subjects’ profit seeking fairness to achieve a fairness equilibrium between strategic and belief interactions of the related subjects. This multidimensional fairness equilibrium is essentially a multi-agent, multi-strategy and multi-preference combination equilibrium, which, however, is complicated and cannot be solved by traditional equilibrium solution method. Therefore, this study uses multi-criteria decision-making VIKOR method to rank the four strategic choice schemes of related subjects. The compromise optimal scheme, which had good stability, was obtained and closest to the ideal value considering the behavioral preferences of the subjects and the importance degree of each preference. Thus, the established multidimensional fairness equilibrium evaluation of urban housing expropriation compensation provides an important basis for the selection of the optimal strategy combination scheme of related subjects.

4. Modelling

Under the same analytical framework, the multidimensional fairness game model of urban housing expropriation compensation, which combines the fairness of profit-seeking, loss aversion and interaction, can effectively solve the past extreme heterogeneity judgment based on the sole consideration of profit-seeking fairness, and it obtains multidimensional fairness equilibrium results. The solution of multidimensional fairness equilibrium is the expropriation compensation standard unanimously accepted by the subjects, which can meet the subjects’ demand of profit-seeking fairness, loss aversion fairness and interactive fairness. Whether the standard of expropriation compensation can be accepted by the expropriated person depends on the differences of individual preferences. The expropriated person will make different behavior decisions for the same expropriation compensation standard. In the real urban housing expropriation compensation, the subjects not only have self-interest preference, but are also affected by loss aversion and interactive preference. In other words, according to the different reference points of different expropriation compensation subjects, the expropriator will make the decision of fair expropriation or unfair expropriation, while the expropriated person will choose to accept or resist the expropriation. This is all determined by the subjects’ own different reference points. Therefore, we should study the change of loss aversion and interactive preference on the subject utility, which is also the purpose of the modeling in this part.

4.1. Profit-Seeking Fairness Game Model of Urban Housing Expropriation Compensation

In the urban housing expropriation compensation, it is assumed that the expropriator and the expropriated person are purely rational “economic man”, then the game strategy mainly depends on the utility of the related subjects [48]. Therefore, to construct the basic profit-seeking fairness game model of urban housing expropriation compensation, the basic utility value of the subjects must first be determined. Assuming that the subjects’ utility function is a linear function of income and cost, the total income of the expropriator is μ , and the compensation given to the expropriated person when the expropriator adopts a fair expropriation strategy is f , which becomes s when an unfair expropriation strategy is adopted. The cost of resisting expropriation by the expropriated person is k , and the expropriator’s cost incurred by the boycott by expropriated person is c . Thus, when the expropriator adopts a fair expropriation strategy, if the expropriated person cooperates, the expropriator receives the income μ f , and the expropriated person receives f . When the expropriated person chooses the boycott strategy, the compulsory expropriation is adopted; the expropriator receives the income μ f c , and the expropriated person receives f k . When the expropriator adopts an unfair expropriation strategy, if the expropriated person cooperates, the expropriator is paid μ s as expropriated person s , and when the expropriated person chooses the boycott strategy, expropriation is usually compulsory as the compensation price is generally lifted. The person to be expropriated receives a fair compensation price, and the income of the expropriator is μ f c as expropriated person f k . Under normal circumstances, the fair expropriation price is higher than the unfair price, that is, f > s ; when the expropriated person resists expropriation, the cost is greater than zero, that is, k > 0 . It will be observed that μ s > μ f , f > f k . The profit-seeking fairness game payment matrix of urban housing expropriation compensation is shown in Table 1.
Table 1. The profit-seeking fairness game matrix of urban housing expropriation compensation.
According to Table 1, it can be seen that unfair price expropriation is the dominant strategy of the expropriator [49], and when the expropriator chooses unfair price expropriation, the strategy of the expropriated person depends on the size of s and f k . In the actual expropriation process, the expropriated person wants more compensation than the unfair expropriation price, and the cost is higher. In this case, accepting fair compensation price f k after subtracting the high resistance cost may be lower than simply accepting the unfair compensation price s , that is, s > f k . Therefore, most expropriated persons choose to accept the unfair compensation price after consideration if the equilibrium strategy choice is (unfair expropriation, acceptance). In addition, a small number of expropriated persons believe that they can obtain compensation far higher than the unfair compensation price through extreme resistance methods. This kind of expropriated person chooses the boycott strategy. In this case, s < f k , and the equilibrium strategy choice is (unfair expropriation, boycott).
The (unfair expropriation, acceptance) equilibrium strategy puts the expropriated person in a weak position, and the expropriator is prone to corruption. This equilibrium strategy is obviously unfair to the expropriated person. The (unfair expropriation, boycott) strategy is a prisoner’s dilemma which will bring about the loss of social welfare and simultaneously intensify the contradiction between the expropriator and the expropriated person. This situation is not conducive to the security and stability of society or to economic and social development.
The profit-seeking fairness game is based on the self-interest of the expropriator and the expropriated person. As compulsory expropriation is introduced in the profit-seeking fairness game, it deprives the expropriated person of the right to withdraw from the process of expropriation, which represents unfair expropriation despite being in the public interest. To solve the practical problem, this paper introduces loss aversion fairness and interaction fairness to achieve the equilibrium solution to the expropriator’s fair expropriation accepted by the expropriated person and finally realize harmonious expropriation.

4.2. Loss Aversion Fairness Game Model of Urban Housing Expropriation Compensation

The theory of loss aversion preference shows that loss aversion preference can make people subconsciously increase the probability of gain and reduce the probability of loss [50]. While considering the maximization of their own interests, related subjects also show the behavioral preference of seeking the minimization of losses. The subjects pay more attention to losses than to gains. Under the influence of loss aversion preference, the subjects often have different behavior results due to the different profit gains and risks of loss. Based on the above analysis of the equilibrium results of the profit-seeking fairness game of urban housing expropriation compensation, this paper considers the reference-dependence utility of loss aversion, making risk correction the benchmark value. It draws on the loss aversion utility function of Shalev [51] to construct a loss aversion fairness game model of urban housing expropriation compensation. After loss aversion is introduced, the game side utility is shown in Equation (1):
U i = x i , x i r i x i λ i r i x i , x i < r i ,
where i is the player, the benchmark value is x i , the reference-dependence value is r i , the loss aversion level is λ i , the expropriator is p , and the expropriated person is q . The reference-dependence value of the expropriator is the minimum value of the expropriation compensation price that the expropriator wants to spend, that is, r p = μ s , and the reference-dependence value of the expropriated person is the maximum value r q of the expropriation compensation price he or she wants to spend. That is, when compared with the reference-dependence value, the benchmark value is greater than or equal to the reference-dependence value, then the utility of the subject under the influence of loss aversion is x i , if the benchmark value is less than the reference-dependence value, then the utility of the subject under the influence of loss aversion is x i λ i r i x i [52].
When the expropriator implements the fair expropriation strategy accepted by the expropriated person, the reference-dependence value of the expropriator is r p = μ s ; the benchmark value is x p = μ f , as μ s > μ f , then x p < r p ; the reference-dependence value of the expropriated person is r q ; and the benchmark value is x q = f , x q < r q . In summary, according to Equation (1), after the introduction of loss aversion, the utility of the expropriator is μ f λ p μ s μ f , and that of the expropriated person is f λ q r q f . Similarly, after the introduction of loss aversion, when the expropriator implements the fair expropriation strategy but the expropriated person resists it, the utility of the expropriator is μ f c λ p μ s μ f c , and that of the expropriated person is f k λ q r q f k . When the expropriator implements the unfair expropriation strategy accepted by the expropriated person, the expropriator’s reference-dependence value is equal to its benchmark value, r p = x p = μ s . The benchmark value of the expropriated person is x q = s , and his or her reference-dependence value r q is the maximum value of the compensation he or she wants to obtain, which is bound to be higher than unfair compensation price s ; therefore, x q < r q . In summary, according to Equation (1), after the introduction of loss aversion, the utility of the expropriator is μ s , and that of the expropriated person is s λ q r q s ; Similarly, after the introduction of loss aversion, when the expropriator imposes an unfair expropriation strategy previously resisted but now accepted by the expropriated person, the utility of the expropriator is μ f c λ p μ s μ f c , and that of the expropriated person f k λ q r q f k . The loss aversion game matrix of the expropriator and the expropriated person is shown in Table 2.
Table 2. The loss aversion game matrix of urban housing expropriation compensation.
Since μ s > μ f λ p μ s μ f , the expropriator is more inclined to implement an unfair expropriation strategy, while whether the expropriated person chooses to accept or resist it depends on the size of s λ q r q s and f k λ q r q f k . As s λ q r q s > f k λ q r q f k , the expropriated person will be forced to accept unfair price compensation, while when s λ q r q s < f k λ q r q f k , the expropriated person will take extreme measures to resist expropriation. Therefore, the equilibrium solution is the same between the loss aversion game of urban housing expropriation compensation and the profit-seeking fairness game. Comparing Table 2 with Table 1 reveals that the payment of the expropriated person after considering loss aversion is lower than the benchmark value of the profit-seeking fairness game, which is often because the expropriated person has abandoned the high-risk compensation requirement under the influence of loss aversion factors.

4.3. Interactive Fairness Game Model of Urban Housing Expropriation Compensation

The idea behind interactive fairness is that people not only pay attention to their own incomes but also focus on the interactive fairness behavior among related subjects. Fehr and Schmidt established an inequity aversion model [37] in which people referred to another party’s payment value. The model indicated the utility level of the player considering the fairness of income distribution. The utility function is shown in Equation (2):
U i x = x i α i n 1 j i m a x ( x j x i , 0 ) β i n 1 j i m a x ( x i x j , 0 )
where n is the number of subjects, U i is the utility level of the person on the order of i , i 1 , 2 , 3 , , n , x i is the income of that person, and α i and β i are unfairness aversion coefficients satisfying α i β i and 0 β i < 1 . According to the setting of this model, the difference of income between subjects will cause the beneficiary to have the disutility of guilty, that is β i n 1 j i m a x ( x i x j , 0 ) , and the loss to have the disutility of envy, that is α i n 1 j i m a x ( x j x i , 0 ) [53].
This paper draws on the unfairness evasion game model of Fehr and Schmidt to establish an interactive fairness game model of urban housing expropriation compensation. The model involves only two subjects, the expropriator and the expropriated person, substituting n = 2 into Equation (2). Then it becomes Equation (3):
U i x = x i α i m a x ( x j x i , 0 ) β i m a x ( x i x j , 0 )
In Equation (3), the utility value of subject i includes not only the subject’s own income but also the income difference between his/her income and that of other subjects. This is the utility loss caused by unfairness. α i β i . means that the feeling of unfairness generated by having lower income than others is stronger than that generated by having higher income than others. If the income of subject i is greater than that obtained by j , that is, x i x j > 0 , the utility of subject i is x i β i x i x j ; if the income of subject i is smaller than that obtained by j , that is, x j x i > 0 , the utility of subject i is x i α i x j x i .
With regard to interactive fairness, the expropriator and the expropriated person have their own measurement standards for the value of the urban housing expropriation project and the compensation price. m and v are used to replace them. U p is the utility obtained by the expropriator, and U q is the utility of the expropriated person, substituting into Equation (3):
For the expropriator, the utility value of the project is:
U p = m α p m a x ( v m , 0 ) β p m a x ( m v , 0 )
The utility value of the project for the person being expropriated is:
U q = v α q m a x ( m v , 0 ) β q m a x ( v m , 0 )
Substituting the benchmark value into Equation (3) for fairness correction, Table 3 can be obtained as follows:
Table 3. The interactive fairness game matrix of urban housing expropriation compensation.
The introduction of interactive fairness into urban housing expropriation compensation, making a fairness correction to benchmark values, the expropriator and the expropriated person no longer simply pursue profit-seeking fairness but also consider differences in the income and utility among subjects. Under the effect of the interactive fairness preference, the equilibrium of the compensation value between the expropriator and the expropriated person in expropriation compensation projects can be achieved.

5. Multidimensional Fairness Equilibrium Evaluation Based on VIKOR

In the multidimensional fairness equilibrium evaluation based on VIKOR, profit-seeking fairness, loss aversion and interactive fairness are used as the evaluation method of strategy selection. The values of profit-seeking fairness, loss aversion and interaction fairness are the criteria. The different strategies of the expropriator and the expropriated person are combined into a scheme using VIKOR to obtain the optimal order of all schemes. Finally, the compromise optimal scheme is obtained, that is, the multidimensional fairness game equilibrium solution.
According to the multi-criteria decision-making VIKOR method, the complex multidimensional game equilibrium with multiple agents, strategies, and preferences is transformed into a multi-criteria decision-making problem. Several criteria need to be used to evaluate multi-criteria decision-making problem [54], and the significance of each criterion is different due to diverse decision-making goals. It is necessary to give different weight coefficients to each criterion to reflect its role and importance during the decision-making process. As a result, for the decision-making problem of urban housing expropriation compensation, the reasonable determination of each criterion’s weight is the key factor to transform it into a multi-criteria decision-making problem. The criteria weight determination methods include subjective weighting method, objective weighting method and subjective and objective combination weighting method [55]. The representative subjective weighting methods are Delphi method [56] and analytic hierarchy process [57], while representatives of objective weighting methods include entropy method [58], mean square error method [59] and principal component analysis method [60]. In fact, although subjective weighting method can make full use of the knowledge and experience of experts, subjective preference information may bring randomness to the evaluation results. As an objective weighting method, the entropy method determines the criterion weight based on the amount of information provided by the entropy value of each criterion. It can also avoid the interference of human factors in the determining process of the criteria’s weight, and more objectively reflect the criteria’s significance in the comprehensive evaluation index system, making evaluation results more realistic. The amount of criterion information can be measured by calculating the entropy of each criterion to ensure that the established criterion can reflect most of the original information [61]. In the multidimensional fairness equilibrium evaluation of urban housing expropriation and compensation, the evaluation criteria are profit-seeking fairness, loss aversion fairness, and interactive fairness. To objectively and accurately reflect the subjects’ degree of fairness preference and the importance of each fair preference’s influence on the subjects’ decisions, this study chooses the entropy method of objective weighting to calculate the weight of the multidimensional fairness equilibrium evaluation criterion. The smaller the entropy value, the more important the evaluation criterion will be and will have a greater influence on the subjects’ decision-making. The determination of the criterion weight will directly affect the group utility value S i , individual regret value R i , the comprehensive index value Q i , and the priority arrangement of the subject’s plan, which will affect the result of multidimensional fairness game equilibrium.
Step 1. Determine the evaluation criteria and plan.
The multidimensional fairness evaluation criteria for urban house expropriation compensation are profit-seeking fairness, loss aversion fairness and interactive fairness. The evaluation schemes are (fair expropriation, acceptance), (fair expropriation, boycott), (unfair expropriation, acceptance) and (unfair expropriation, boycott). C j is the evaluation criteria, the number of which is t ; ω j is the weight of criteria C j ; a i is the evaluation scheme, the number of which is m ; and a i j is the evaluation value of scheme a i under criteria C j . According to Table 1, Table 2 and Table 3, the multidimensional fairness game matrix of urban housing expropriation compensation is constructed, and the utility values of each plan under different criteria are expressed in Table 4, Table 5, Table 6 and Table 7:
Table 4. Compensation scheme for urban housing expropriation 1 (fair expropriation, acceptance).
Table 5. Compensation scheme for urban housing expropriation 2 (fair expropriation, boycott).
Table 6. Compensation scheme for urban housing expropriation 3 (unfair expropriation, acceptance).
Table 7. Compensation scheme for urban housing expropriation 4 (unfair expropriation, boycott).
Step 2. Process the data normatively.
The multidimensional fairness game matrix A = [ a i j ] m × t of urban housing expropriation compensation composed of the data in Table 4, Table 5, Table 6 and Table 7 is transformed into a normalized matrix H = [ h i j ] m × t . This paper adopts the range transformation method to standardize the data:
h i j = a i j m i n j a i j m a x j a i j m i n j a i j
h i j = m a x j a i j a i j m a x j a i j m i n j a i j
Equation (6) applies to the utility-type criteria, and (7) applies to the cost-type criteria.
Step 3. Determine the positive and negative ideal values of the solution.
h j * = m a x i h i j
h j = m i n i h i j
Step 4. Determine the weight of each criterion by the entropy weight method.
P i j = h i j i = 1 m h i j
E j = 1 l n   m i = 1 m P i j   l n   P i j
ω j = 1 E j j = 1 t 1 E j
Step 5. Calculate group utility value S i , individual regret value R i , and comprehensive index value Q i and sort them to determine the compromise optimal scheme.
S i = j = 1 t ω j h j * h i j h j * h j
R i = m a x j ω j h j * h i j h j * h j
Q i = v S i S S * S + 1 v R i R R * R
where S * = m a x S i , S = m i n S i , R * = m a x R i , and R = m i n R i ; v is the decision-making mechanism coefficient, which affects the results and the order of the scheme. Generally, v = 0.5 means that after negotiation, a consensus is reached, and the maximization of benefits and the minimization of individual regret are considered [62]. Then, according to S i , R i and Q i , sorting all schemes, the minimum value represents the optimal scheme [63]. As a is the compromise optimal scheme, a is not only the minimum value of Q i but also met with the following conditions:
Condition 1. Q a Q a 1 m 1 , where a ranks second of the Q i values.
Condition 2. a ranks first of the sorting S i values and/or R i values.
If one of the above conditions is not satisfied, then when condition 1 is satisfied and condition 2 is not, a and a are the compromise solutions; when condition 1 is not satisfied and condition 2 is satisfied, a , a , , a M are the compromise solutions, wherein a M is satisfied with Q a M Q a 1 m 1 .

6. Case Analysis

6.1. Case Overview

The source of this case is the website called China Judgment Online, document No. 263, Hunan Provincial Higher People’s Court Administrative Judgment (2017) Xiang (the abbreviation of Hunan Province), Xing (the abbreviation of the administrative case), Final (the abbreviation of the final judgment) [64]. The case is the administrative expropriation second-instance administrative judgment of Mr. Liu and the People’s Government of Furong District, Changsha. On April 16, 2015, the government of Furong District, Changsha, decided to implement housing expropriation on the east side of the Friendship Store. The house of Mr. Liu, whose registered property right area was 98.63 m2, was within the scope of this expropriation. On April 20 of the same year, Hunan Risheng Real Estate Land Evaluation Co., Ltd., was selected as the evaluation agency through legal procedures to evaluate the value of Mr. Liu’s house. In the evaluation report, the house value was 804,328 yuan, and the unit price was 8155 yuan per m2. After the evaluation report was sent to Mr. Liu, the People’s Government of Furong District, Changsha, communicated and negotiated on matters related to compensation with Mr. Liu, but no agreement was reached. On August 1, the Office of Housing Expropriation and Compensation Management, Furong District, Changsha, proposed a specific housing expropriation compensation plan for Mr. Liu. After two months, the plan and notification of the expropriated person’s rights of statement defense and application for mediation were sent to Mr. Liu, where the government claimed it would provide two different compensation methods of property rights replacement and monetary compensation for Mr. Liu to choose from. The government would also claimed it would indicate the area and geographical location of the house for property rights replacement (the construction area was 109.39 m2), clarify the monetary compensation amount and inform the expropriated person of the time limit of the expropriation compensation method he could choose and the result of failing to make a selection within the limit. The appraisal report of the expropriation compensation scheme included an evaluation report for the property replacement housing. The evaluation value was 1,128,248 yuan, and the unit price was 10,314 yuan per m2. An agreement between the expropriator and the expropriated person was not reached on the relevant matters for the expropriation compensation within the effective period. In December, the government of Furong District, Changsha, decided to offer monetary compensation to Mr. Liu. The total compensation was 805,677 yuan, including 804,328 yuan for housing expropriation compensation and 1349 yuan for relocation. House No. 1, 502, in Resettlement Residence, Xinhe Eighth Village, Mawangdui, Furong District, would be used as a turnover house for Mr. Liu for 6 months. Mr. Liu had to leave within fifteen days of the receipt of the decision, and the expropriated house would be handed over to the district’s expropriation department for demolition. However, the expropriated Mr. Liu believed that the balcony with an area of 60 m2 donated by the developer when buying should be included in the scope of expropriation compensation. The Urban Administration Bureau of Furong District, Changsha, found that the balcony (with an area of 59.45 m2) was illegally built and should be demolished. In the end, the Hunan Higher People’s Court held that the facts of the expropriation decision in this case were clear, the applicable law was correct, the procedure was legal and proper, and the claim put forward by the expropriated person had no factual or legal basis. On April 7, 2017, the plaintiff appeal was rejected, and the previous decision was upheld because this decision was the final judgment. The timeline of this case is shown in Figure 2:
Figure 2. The expropriation timeline of the east side of the Friendship Store.

6.2. Case Data Analysis

The total amount of compensation in this case was 805,677 yuan, including 804,328 yuan for housing expropriation compensation and 1349 yuan for relocation. This amount was calculated by the appraisal agency based on the current market price and the area of property rights, so it was considered a fair price. After the expropriator completed the expropriation, the land leasing income was expected to be 1,912,800 yuan. The expropriator proposed a property right replacement in the process of expropriation, whose valuation was 1,128,248 yuan; that is, the expropriation compensation amount that the expropriator was willing to pay was 1,128,248 yuan. The expropriated person proposed in the appeal that the 60 m2 (more accurately, 59.45 m2) balcony donated by the developer should be included in the scope of expropriation compensation. Thus, the compensation that the expropriated person hoped to obtain was 805,677 plus 59.45 multiplied by 8155 yuan, which is 1,290,492 yuan. The unfair expropriation price was 0.6 times the amount that the expropriator was willing to pay, that is, 1,128,248 multiplied by 0.6 yuan, which is 676,949 yuan. Mr. Liu did not agree with the monetary compensation or property rights replacement expropriation scheme proposed by the government of Furong District, Changsha, which brought certain losses to the government, and the case caused greater losses to the government than to Mr. Liu. This paper assumes that the losses to the expropriator and the expropriated person were 70,000 yuan and 40,000 yuan, respectively. In summary, μ = 1 , 912 , 800 , f = 805 , 677 , s = 676 , 949 , k = 40 , 000 , and c = 70 , 000 . According to the case data, the profit-seeking fairness game matrix of urban housing expropriation compensation is shown in Table 8:
Table 8. The profit-seeking fairness game matrix of urban housing expropriation compensation to the east of the Friendship Store.
If the expropriator could implement an unfair expropriation, the equilibrium result under profit seeking was (unfair expropriation, boycott). Later on, the loss aversion preference was introduced, as the reference-dependence value of the expropriated person was r q = 1 , 290 , 492 assuming that the loss aversion level of the expropriator and the expropriated person was 1, that is, λ p = 1 , λ q = 1 . Then, the game matrix becomes to Table 9:
Table 9. The loss aversion game matrix of urban housing expropriation compensation to the east of the Friendship Store.
If the expropriator could impose unfair expropriation, the game equilibrium solution after the loss aversion preference was introduced was (unfair expropriation, boycott). Re-introduce interactive fairness preferences due to α i β i and 0 β i < 1 , and let α p = 0.8 , β p = 0.7 ; α q = 0.9 , and β q = 0.8 . Then, the game matrix becomes to Table 10:
Table 10. The interactive fairness game matrix of urban housing expropriation compensation to the east of the Friendship Store.
If the expropriator could adopt unfair expropriation, the game equilibrium solution after the interactive fairness preference was introduced was (unfair expropriation, boycott) and (fair expropriation, acceptance).

6.3. Ranking Selection of Expropriation Compensation Scheme Based on VIKOR

Step 1. Build a multidimensional fairness game matrix of expropriation compensation to the east of the Friendship Store and determine evaluation criteria and schemes.
Substitute the data of Table 8, Table 9 and Table 10 into Table 4, Table 5, Table 6 and Table 7 to obtain the multidimensional fairness game matrix of expropriation compensation to the east of the Friendship Store, as shown in Table 11:
Table 11. Multidimensional fairness game matrix of expropriation compensation to the east of the Friendship Store.
Profit-seeking fairness, loss aversion and interactive fairness are the evaluation criteria. The schemes are a 1 (fair expropriation, acceptance), a 2 (fair expropriation, boycott), a 3 (unfair expropriation, acceptance), and a 4 (non-fair expropriation, boycott).
Step 2. Substitute the data of Table 11 into Equation (6), and the normalized processing results are as shown in Table 12:
Table 12. The result of normatively processing original data.
Step 3. Determine the positive and negative ideal values of the solution.
According to Table 12, the positive and negative ideal values of the expropriator and the expropriated person are both (1, 1, 1) and (0, 0, 0).
Step 4. Determine the weight of each criterion by the entropy weight method.
Substituting value h i j in Table 12 into Equations (10)–(12), the weights of each criterion of the expropriator and the expropriated person were calculated by MATLAB 2017a software programming, where the value of h i j equals 0 because P i j of logarithmic function l n P i j in Equation (11) is to satisfy a domain greater than zero, and Equation (10) is adjusted to P i j = h i j + ε i = 1 m h i j + ε , ε as a minimal constant, which equals 0.001 in the code. It can avoid the case where the probability obtained by Equation (10) has a value of 0. This setting is more realistic. In reality, anything can happen, and there is almost no case where the probability is absolutely zero. The weights of criteria of the expropriator and the expropriated person are shown in Table 13.
Table 13. The weights of each criterion of the expropriator and the expropriated person.
The above table shows that the interactive fairness preference of the expropriator is stronger than the profit-seeking fairness and loss aversion fairness preference. The profit-seeking fairness and loss aversion fairness preference of the expropriated person is slightly stronger than the interactive fairness preference, which is also in line with reality. In the real expropriation process, expropriated persons tend to put more gains and less losses in the first place and then compare their gains with those of the expropriators.
Step 5. Calculate group utility value S i , individual regret value R i , and comprehensive index value Q i and sort them to determine the compromise optimal scheme.
Substitute the data of Table 13 into Equations (13) and (14), calculate the values of S i and R i of each scheme using MATLAB programming, and substitute them into Equation (15) to obtain the value of Q i . And the values of S i and R i of each scheme are shown in Table 14.
Table 14. The values of S i , R i and Q i of each scheme.
According to the values of S i , R i and Q i of each expropriator, the sorted schemes are a 2 = a 4 < a 1 < a 3 , a 2 = a 4 < a 3 < a 1 and a 2 = a 4 < a 3 < a 1 . Scheme a 1 is satisfied with Q a 3 Q a 1 1 4 1 , and the values of R i and Q i are the smallest, so (fair expropriation, acceptance) is the compromise optimal scheme of the expropriator. The sorted schemes of the expropriated person in terms of the values of S i , R i and Q i are a 3 < a 4 < a 2 < a 1 , a 3 < a 4 = a 2 < a 1 and a 3 < a 4 < a 2 < a 1 . Scheme a 1 is satisfied with the smallest values of S i , R i and Q i but not Q a Q a 1 m 1 , and scheme a 3 with the fourth-ranking value of Q satisfies the condition, so a 1 , a 2 , a 3 and a 4 are its compromise solutions. Since the expropriator and the expropriated person must reach a plan to complete the expropriation, the final (fair expropriation, acceptance) is the optimal strategy choice for both of them.

6.4. Sensitivity Analysis

As shown in Equations (13)–(15), weight ω j of the criterion has an important influence on the values of S i , R i and Q i , and the decision-making mechanism coefficient v has a great influence on the value of Q i . This paper changes the value of ω j and v to observe the influence of two variables on the values of S i , R i and Q i , to determine whether this changes the final scheme order, and it tests the stability and effectiveness of the multidimensional fairness game model and multidimensional fairness equilibrium evaluation.

6.4.1. Sensitivity Analysis of the Criteria Weights

The subjective weighting method is used to change the value of ω j . Because the weights of the profit-seeking and loss aversion preferences of the subjects are the same when the weight is calculated using the entropy method above, the same setting is used here. The criterion weights in three cases are considered; the preferences of the subjects are mainly based on profit-seeking and loss aversion and rarely consider interaction fairness; ω 1 = ω 2 = 0.45 and ω 3 = 0.1 . The preference is mainly for interactive equilibrium, and profit-seeking and loss aversion are rarely considered; ω 1 = ω 2 = 0.1 and ω 3 = 0.8 . The preferences for profit-seeking, loss aversion and interactive fairness are the same; ω 1 = ω 2 = 0.33 and ω 3 = 0.34 . The three sets of data are substituted into Equations (13)–(15). Here, v = 0.5 is unchanged, and the values of S i , R i and Q i are calculated by MATLAB as shown in Table 15 and Table 16:
Table 15. The values of S i , R i and Q i of each scheme of the expropriator under different criteria weights.
Table 16. The value of S i , R i and Q i of each scheme of the expropriated person under different criteria weights.
When ω 1 = ω 2 = 0.45 and ω 3 = 0.1 , the sorted schemes of the expropriator in terms of the values of S i , R i and Q i are a 2 = a 4 < a 1 < a 3 , a 2 = a 4 < a 1 < a 3 and a 2 = a 4 < a 1 < a 3 . Scheme a 3 is satisfied with Q a 1 Q a 3 > 1 4 1 , and the values of S i , R i and Q i are the smallest, so (unfair expropriation, acceptance) is the compromise optimal scheme of the expropriator. The sorted schemes of the expropriated person in terms of the values of S i , R i and Q i are a 3 < a 4 < a 2 < a 1 , a 3 < a 4 = a 2 < a 1 and a 3 < a 4 < a 2 < a 1 . Scheme a 1 is satisfied with the smallest sorted values of S i , R i and Q i but not Q a Q a 1 m 1 , and only the fourth-ranking scheme a 3 satisfies the condition. Thus, a 1 , a 2 , a 3 and a 4 are its compromise solutions. The final compromise solution between the expropriator and the expropriated person is the compromise overlap solution, that is, a 3 (unfair expropriation, acceptance).
When ω 1 = ω 2 = 0.1 and ω 3 = 0.8 , the sorted schemes of the expropriator in terms of the values of S i , R i and Q i are a 2 = a 4 < a 3 < a 1 , a 3 < a 4 = a 2 < a 1 and a 3 < a 4 = a 2 < a 1 . Scheme a 1 is satisfied with Q a 3 Q a 1 > 1 4 1 , and the values of S i , R i and Q i are the smallest, so (fair expropriation, acceptance) is the compromise optimal scheme of the expropriator. The sorted schemes of the expropriated person in terms of the values of S i , R i and Q i are a 3 < a 4 < a 2 < a 1 , a 3 < a 4 < a 2 < a 1 and a 3 < a 4 < a 2 < a 1 . Scheme a 1 is satisfied with the smallest sorted values of S i , R i and Q i but not Q a Q a 1 m 1 , and only the fourth-ranking scheme a 3 satisfies the condition, so a 1 , a 2 , a 3 and a 4 are its compromise solutions. The final compromise solution between the expropriator and the expropriated person is the compromise overlap solution, that is, a 1 (fair expropriation, acceptance).
When ω 1 = ω 2 = 0.33 and ω 3 = 0.34 , the sorted schemes of the expropriator in terms of the values of S i , R i and Q i are a 2 = a 4 < a 1 < a 3 , a 3 < a 4 = a 2 < a 1 and a 2 = a 4 < a 3 < a 1 . Scheme a 1 is satisfied with Q a 3 Q a 1 > 1 4 1 , and the values of S i , R i and Q i are the smallest, so (fair expropriation, acceptance) is the compromise optimal scheme of the expropriator. The sorted schemes of the expropriated person in terms of the values of S i , R i and Q i are a 3 < a 4 < a 2 < a 1 , a 3 < a 4 < a 2 < a 1 and a 3 < a 4 < a 2 < a 1 . Scheme a 1 is satisfied with the smallest sorted values of S i , R i and Q i but not Q a Q a 1 m 1 , and only the fourth-ranking scheme a 3 satisfies the condition, so a 1 , a 2 , a 3 and a 4 are its compromise solutions. The final compromise solution between the expropriator and the expropriated person is the compromise overlap solution, that is, a 1 (fair expropriation, acceptance).
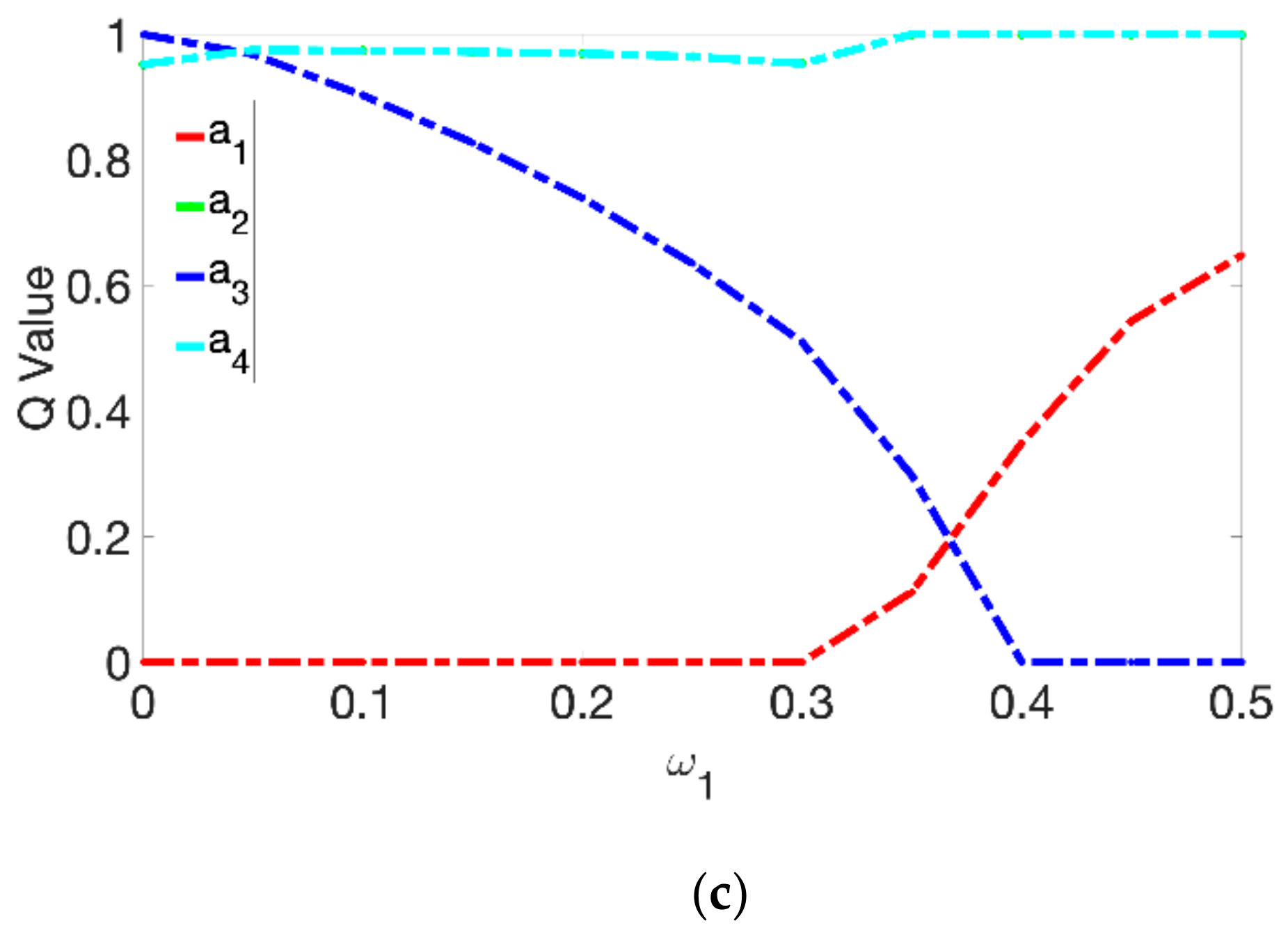
Since the values of S i , R i and Q i in scheme a 1 of the expropriated person is zero, regardless of whether it meets the conditions Q a Q a 1 m 1 , a 1 is the compromise solution or one of the compromise solutions of the expropriated person. The final compromise solution between the expropriator and the expropriated person is the compromise overlap solution. Therefore, the compromise solutions of the expropriator play a more important role in the choice of the compromise schemes between the expropriator and the expropriated person. This is also a true reflection of social reality, where the expropriator is dominant in the actual expropriation process, and because of the information asymmetry between the two, the expropriator’s judgment and preference for fairness directly affect the reaching of the final scheme. Therefore, this paper uses MATLAB 2017a software to carry out numerical simulation analysis and investigates the trend of changing values of S i , R i and Q i in the expropriator’s scheme when the weight of the criterion changes. The paper then compares and analyzes the trend to observe its influence on the ranking of each scheme, as shown in Figure 3; ω 1 = ω 2 , ω 1 + ω 2 + ω 3 = 1 , 0 ω 1 0 . 5 .
Figure 3. The impact of criteria weights. (a) The impact of criteria weights on the S i value of each expropriator’s scheme; (b) The impact of criteria weights on the R i value of each expropriator’s scheme; (c) The impact of criteria weights on the Q i value of each expropriator’s scheme.
Taking into consideration the data of Table 15 and Table 16 and the impact of the criteria weights on the S i , R i and Q i values of each expropriator’s scheme of Figure 3, it is observed that when ω 1 and ω 2 are larger and ω 3 is smaller, the expropriator and the expropriated person mainly consider preferences of profit-seeking and loss aversion. There is almost no consideration of the interactive fairness preference, and the Q i value of the expropriator’s scheme is no longer the minimum. At this time, the minimum is scheme a 3 , the expropriator chooses the scheme (unfair expropriation, acceptance) to maximize his or her own interests, and the expropriated person in the disadvantaged position is affected by the loss aversion preference and can only be forced to accept it to reduce the cost of a boycott. This result is in line with social reality. In the actual expropriation process, the government as the expropriator serves as both the “athlete” and the “referee”. Extreme results for a 3 (unfair expropriation, acceptance) appear in the extreme case of considering only one’s own interests and giving almost no consideration to interactive fairness. Under the multidimensional fairness model of urban housing expropriation compensation and the multidimensional fairness equilibrium evaluation constructed in this paper, the compromise solution between the expropriator and the expropriated person deviate (fair expropriation, acceptance) only when there is an extreme preference, consistent with the equilibrium results of no introduction of an interactive fairness preference. In other cases, the compromise solution is a 1 (fair expropriation, acceptance), which also demonstrates the correctness and effectiveness of the multidimensional fairness game model and the multidimensional fairness equilibrium evaluation.

6.4.2. Sensitivity Analysis of Decision-Making Mechanism Coefficient

According to the above data analysis, the solution between the expropriator and the expropriated person is the compromise overlap solution, and the expropriator plays an important role. Therefore, this paper focuses on analyzing the influence of the decision-making mechanism coefficient on the compromise solution of the expropriator. Substituting different decision-making mechanism coefficients between 0 and 1 into Equation (15), the weight of the expropriator’s criterion is unchanged, ω 1 = ω 2 = 0.3059 , ω 3 = 0.3882 , and the Q i value of the expropriator is calculated using MATLAB programming, as shown in Table 17.
Table 17. The Q i value of the expropriator at different v values.
Four sets of data are used to draw a figure that represents the Q i value of the expropriator when the v values are 0.2, 0.4, 0.6, and 0.8. As shown in Figure 4, the changing trend of the Q i value of each expropriator’s scheme plan at different v values is the same and stable, and the Q i value of the a 1 scheme is always the smallest. Sorting all schemes on the basis of S i and R i values, a 1 is the sorted optimal scheme, and the condition Q a Q a 1 m 1 is met. Thus, scheme a 1 is the compromise optimal solution of the expropriator.
Figure 4. Sensitivity analysis of the ranking values of the expropriator’s schemes.
To analyze the influence degree of the change in the v value on the Q i value of the expropriator, the average value of Q i when the v value of each scheme fluctuates is calculated, as is its variance. As shown in Figure 5, when the v value fluctuates between 0.1 and 0.9, the average value of Q i of the a 1 scheme is the smallest, and the average value of Q i in a 3 , a 2 and a 4 is equal and maximum. This indicates that the Q i value of the a 1 scheme is at the lowest level among the Q i values of each scheme, that is, is the minimum value. When the v value changes, the variance of the Q i value of the a 1 scheme is the smallest, followed by a 2 and a 4 , and the a 3 variance is the largest. The larger the variance is, the greater the influence of the v value’s fluctuation on the Q i value of the scheme. Therefore, the v value has the greatest influence on the Q i value of the a 3 scheme and the least impact on the Q i value of the a 1 scheme; that is, the fluctuation of the Q i value of the a 1 scheme is small and relatively stable, and it is also the minimum value among the Q i values of each scheme.
Figure 5. Analysis of the v value’s effect on the Q i values of each expropriator’s schemes.
In summary, decision-making mechanism coefficient v is not sensitive to the Q i value of the expropriator, and the difference is basically in a stable state. This does not cause huge fluctuations in the Q i values of each scheme, and it has the least impact on the minimum Q i value, that is, the least impact on the Q i value of the a 1 scheme, and it does not affect the ranking of the Q i values of each expropriator’s schemes. Therefore, a 1 is the stable and compromise optimal scheme of the expropriator. Synthesizing the analysis of the previous section, a 1 (fair expropriation, acceptance) is the stable and compromise optimal scheme between the expropriator and the expropriated person. This fully proves that the multidimensional fairness game model, equilibrium evaluation methods and equilibrium solutions of urban housing expropriation compensation constructed in this paper are correct and stable, which provides a theoretical basis for the decisions of expropriators and expropriated persons in real urban house expropriation.

7. Conclusions

This paper focuses on the multi-preference characteristics of related subjects in urban housing expropriation compensation and regards profit-seeking fairness, loss aversion fairness and interactive fairness as multidimensional fairness evaluation indicators. The strategy combination is considered as an evaluation scheme. A multidimensional fairness game model of urban housing expropriation compensation is established, and the multidimensional fairness equilibrium evaluation method of urban housing expropriation compensation based on VIKOR is applied to transform the multidimensional equilibrium problem into a multi-criteria decision problem. The strategy choices of related subjects under the influence of multiple behavioral preferences are explored. The following conclusions can be drawn from the model solving and case data analysis:
The equilibrium result of urban housing expropriation compensation without the introduction of interactive fairness is (unfair expropriation, acceptance), and it becomes (fair expropriation, acceptance) after interactive fairness is introduced. Thus, the interactive fairness of related subjects is conducive to reducing conflicts in housing expropriation. The introduction of third-party supervision and punishment mechanisms can strengthen the expropriator’s interactive fairness belief, enable reasonable evaluation of the price of a house to be expropriated, and appropriately raise the compensation standard to ensure that expropriation can be carried out at a fair price. At the same time, it can reduce the income obtained by an expropriated person from a boycott of expropriation, increase the cost of boycott, and encourage an expropriated person to accept fair compensation in good faith. Thus, a harmonious expropriation can be achieved.
The behavioral preferences of related subjects have a direct impact on the multidimensional fairness game equilibrium result of urban housing expropriation compensation, which cause a change in equilibrium results. The results are greatly influenced by the behavioral preferences of the expropriator; the decision-making mechanism coefficient is not sensitive to the Q i value of the related subjects’ schemes and does not change the selection result of the final strategy combination scheme.
The compensation criterion for urban housing expropriation under the single profit-seeking fairness preference of related subjects ignores the loss aversion fairness preference and interactive fairness preference of subjects, and it is difficult to achieve a fair consensus and harmonious expropriation. On the basis of analyzing the behavioral preference of related subjects and constructing a multidimensional fairness analysis framework, subjects’ interests can be compared with each other under the same analytical framework. Thus, the rational selection of compensation strategies can be achieved, and disputes over urban housing expropriation compensation can be effectively solved.
However, in the actual expropriation process of urban houses, many factors are characterized by uncertainties and ambiguities, and the attribute decision information in the multi-agent, multi-strategy and multi-preference housing expropriation compensation is uncertain, incomplete and inconsistent [65]. Such as related subjects’ assessments and expectations of the future values of expropriated houses, the weights of each behavioral preference as an evaluation criterion, and the evaluation of related subjects’ own gains and losses. Therefore, the multidimensional fairness equilibrium evaluation model constructed in this study has some limitations in the uncertain environment, and some parameters need to be set. In view of this, the fairness of urban housing expropriation compensation under a fuzzy environment is also a direction worthy of further research. Such as the introduction of fuzzy MCDM method, its application contributes to a more precise determination of an acceptable solution [66]. Different multi-criteria decision analysis methods can be used to observe whether the scheme ranking and the optimal scheme will change in urban housing expropriation, and it can be compared and analyzed with the existing studies. Moreover, since evaluation criteria are crucial to the final result of decision-making, the relevant analysis of individual criteria in the decision-making model can also be carried out to make the multi-criteria decision-making process more objective and scientific [67].
In view of the vast area of rural land in China and the huge proportion of farmers in the population, urban land has been unable to meet the demand of rapid development of urbanization, which has brought great pressure to rural land. As there are more related subjects involved in the expropriation of rural land, there are not only local governments and farmers, but also village collective organizations, so the expropriation of rural land is more prone to intense conflicts than that of urban housing expropriation. Therefore, the research of rural land expropriation is of great significance. In future research, the background can be replaced with rural land expropriation to study the multidimensional fairness equilibrium evaluation of three subjects, multi-strategy and multi-preference. Meanwhile, it can also verify whether this method can solve the decision-making problems involving multiple decision makers in the decision-making process [68], and provide reference for solving the practical decision-making problem of rural land. In the future, the proposed method can also be applied to other research fields to solve real-life issues [69].

Author Contributions

Conceptualization, Z.C., Y.Z. (Yucheng Zou), X.Z., K.H. and Y.Z. (Yanwei Zhang); methodology, Z.C. and X.Z.; validation, Z.C., Y.Z. (Yucheng Zou) and X.Z.; formal analysis, Z.C. and X.Z.; data curation, Z.C.; writing—original draft preparation, Z.C.; writing—review and editing, Y.Z. (Yucheng Zou) and Y.Z. (Yanwei Zhang); project administration, Z.C.; funding acquisition, K.H. All authors have read and agreed to the published version of the manuscript.

Funding

This research was funded by the National Natural Science Foundation of China (No. 71671187), the Social Science Foundation of Hunan Province (No. 16YBA063) and the Key Program of Hunan Education Department (No. 15A037).

Institutional Review Board Statement

Not applicable.

Data Availability Statement

Not applicable.

Acknowledgments

The authors wish to thank the anonymous reviewers, whose insightful comments and helpful suggestions significantly contributed to improving this paper.

Conflicts of Interest

The authors declare no conflict of interest.

References

  1. Marans, R.W. Quality of urban life and environmental sustainability studies: Future linkage opportunities. Habitat Int. 2015, 45, 47–52. [Google Scholar] [CrossRef]
  2. Wang, W.; Peng, H. A fuzzy multi-criteria evaluation framework for urban sustainable development. Mathematics 2020, 8, 330. [Google Scholar] [CrossRef]
  3. Geng, B. Ten specific problems of house expropriation and compensation on state-owned land—Starting from three communique cases. Appl. Law 2017, 9, 89–98. [Google Scholar]
  4. Moslem, S.; Gul, M.; Farooq, D.; Celik, E.; Ghorbanzadeh, O.; Blaschke, T. An integrated approach of Best-Worst Method (BMW) and triangular fuzzy sets for evaluating driver behavior factors related to road safety. Mathematics 2020, 8, 414. [Google Scholar] [CrossRef]
  5. Riaz, M.; Sałabun, W.; Farid, H.M.A.; Ali, N.; Watróbski, J. A robust q-rung orthopair fuzzy information aggregation using einstein operations with application to sustainable energy planning decision management. Energies 2020, 13, 2155. [Google Scholar] [CrossRef]
  6. Thong, N.T.; Lan, L.H.; Chou, S.; Son, L.H. An extended TOPSIS method with unknown weight information in dynamic neutrosophic environment. Mathematics 2020, 8, 401. [Google Scholar] [CrossRef]
  7. Sałabun, W.; Watróbski, J.; Shekhovtsov, A. Are MCDA methods benchmarkable? A comparative study of TOPSIS, VIKOR, COPRAS, and PROMETHEE II methods. Symmetry 2020, 12, 1549. [Google Scholar] [CrossRef]
  8. An, L.; Chen, Z. Multi-criteria decision analysis based on rough sets. Control Decis. 2013, 28, 1–12. [Google Scholar]
  9. Palczewski, K.; Sałabun, W. The fuzzy TOPSIS applications in the last decade. Proc. Comput. Sci. 2019, 159, 2294–2303. [Google Scholar] [CrossRef]
  10. Sałabun, W. The mean error estimation of TOPSIS method using a fuzzy reference models. J. Theor. Appl. Comput. Sci. 2013, 7, 40–50. [Google Scholar]
  11. Opricovic, S.; Tzeng, G.H. Extended VIKOR method in comparison with outranking methods. Eur. J. Oper. Res. 2007, 178, 514–529. [Google Scholar] [CrossRef]
  12. Zavadskas, E.K.; Kaklauskas, A.; Peldschus, F.; Turskis, Z. Multi-attribute assessment of road design solutions by using the COPRAS method. Balt. J. Road Bridge Eng. 2007, 2, 195–203. [Google Scholar]
  13. Brans, J.P.; Vincke, P.; Mareschal, B. How to select and how to rank projects: The PROMETHEE method. Eur. J. Oper. Res. 1986, 24, 228–238. [Google Scholar] [CrossRef]
  14. Lin, M.; Chen, Z.; Liao, H.; Xu, Z. ELECTRE II method to deal with probabilistic linguistic term sets and its application to edge computing. Nonliner Dyn. 2019, 3, 2125–2143. [Google Scholar] [CrossRef]
  15. Xu, D.; Wei, X.; Ding, H.; Bin, H. A new method based on PROMETHEE and TODIM for multi-attribute decision-making with single-valued neutrosophic sets. Mathematics 2020, 8, 1816. [Google Scholar] [CrossRef]
  16. Opricovic, S.; Tzeng, G.H. Compromise solution by MCDM methods: A comparative analysis of VIKOR and TOPSIS. Eur. J. Op. Res. 2004, 156, 445–455. [Google Scholar] [CrossRef]
  17. Kahneman, D.; Tversky, A. Prospect theory: An analysis of decision under risk. Econometrica 1979, 47, 263–292. [Google Scholar] [CrossRef]
  18. Tversky, A. Loss aversion in riskless choice: A reference-dependent model. Q. J. Econ. 1991, 106, 1039–1061. [Google Scholar] [CrossRef]
  19. Kahneman, D.; Tversky, A. Advances in prospect theory cumulative representation of uncertainty. J. Risk Uncertain. 1992, 5, 297–323. [Google Scholar]
  20. Shalev, J. Loss Aversion in Repeated Games. CORE Discussion Papers 1998014. Available online: https://econpapers.repec.org/paper/corlouvco/1998014.htm (accessed on 1 February 1998).
  21. Shalev, J. Loss aversion equilibrium. Int. J. Game Theory 2000, 29, 269–287. [Google Scholar] [CrossRef]
  22. Cornes, R.; Hartley, R. Loss aversion and the tullock paradox. Keele Econ. Res. Pap. 2003, 4390, 1129–1130. [Google Scholar]
  23. Bateman, I.; Kahneman, D.; Munro, A.; Starmer, C.; Sugden, R. Testing competing models of loss aversion: An adversarial collaboration. J. Public Econ. 2005, 89, 1561–1580. [Google Scholar] [CrossRef]
  24. Gimpel, H. Loss aversion and reference-dependent preferences in multi-attribute negotiations. Group Decis. Negotiat. 2007, 16, 303–319. [Google Scholar] [CrossRef]
  25. Loehman, E. Rank dependent expected utility: Stochastic dominance, risk preference, and certainty equivalence. J. Math. Psychol. 1994, 38, 159–197. [Google Scholar] [CrossRef]
  26. Hyndman, K. Repeated bargaining with reference-dependent preferences. Int. J. Game Theory 2011, 40, 527–549. [Google Scholar] [CrossRef]
  27. Dittrich, D.A.S.; Güth, W.; Kocher, M.G.; Christou, P.P. Loss aversion and learning to bid. Economica 2012, 79, 226–257. [Google Scholar] [CrossRef]
  28. Driesen, B.; Perea, A.; Peters, H. Alternating offers bargaining with loss aversion. Math. Soc. Sci. 2012, 64, 103–118. [Google Scholar] [CrossRef]
  29. Herweg, F.; Schmidt, K.M. Loss aversion and inefficient renegotiation. Rev. Econ. Stud. 2015, 82, 297–332. [Google Scholar] [CrossRef]
  30. Kameda, H.; Altman, E.; Touati, C.; Legrand, A. Nash equilibrium based fairness. Math. Methods Op. Res. 2012, 76, 43–65. [Google Scholar] [CrossRef][Green Version]
  31. Masatlioglu, Y.; Raymond, C. A behavioral analysis of stochastic reference dependence. Am. Econ. Rev. 2016, 106, 2760–2782. [Google Scholar] [CrossRef]
  32. Kőszegi, B.; Rabin, M. Reference-dependent risk attitudes. Am. Econ. Rev. 2007, 97, 1047–1073. [Google Scholar] [CrossRef]
  33. Rabin, M. Incorporating fairness into game theory and economics. Am. Econ. Rev. 1993, 83, 1281–1302. [Google Scholar]
  34. Falk, A.; Fischbacher, U. A theory of reciprocity. Games Econ. Behav. 2006, 54, 293–315. [Google Scholar] [CrossRef]
  35. Dufwenberg, M.; Kirchsteiger, G. A theory of sequential reciprocity. Games Econ. Behav. 2004, 47, 268–298. [Google Scholar] [CrossRef]
  36. Kohler, S. Altruism and fairness in experimental decisions. J. Econ. Behav. Org. 2011, 80, 101–109. [Google Scholar] [CrossRef]
  37. Fehr, E.; Schmidt, K.M. A theory of fairness, competition and cooperation. Q. J. Econ. 1999, 114, 817–868. [Google Scholar] [CrossRef]
  38. Kagel, J.H.; Wolfe, K.W. Tests of fairness models based on equity considerations in a three-person ultimatum Game. Exp. Econ. 2001, 4, 203–219. [Google Scholar] [CrossRef]
  39. Charness, G.; Haruvy, E. Altruism, equity and reciprocity in a gift-exchange experiment: An encompassing approach. Games Econ. Behav. 2002, 40, 203–231. [Google Scholar] [CrossRef]
  40. Kritikos, A.S. The impact of compulsory arbitration on bargaining behavior: An experimental study. Econ. Gov. 2006, 7, 293–315. [Google Scholar] [CrossRef]
  41. Fehr, E.; Kremhelmer, S.; Schmidt, K.M. Fairness and the optimal allocation of ownership rights. Econ. J. 2008, 118, 1263–1284. [Google Scholar] [CrossRef]
  42. Brikaa, M.G.; Zheng, Z.; Ammar, E. Resolving indeterminacy approach to solve multi-criteria zero-sum matrix games with intuitionistic fuzzy goals. Mathematics 2020, 8, 305. [Google Scholar] [CrossRef]
  43. Bao, H.; Ye, Q.; Xu, S. Conflict and governance of rural collective-owned land expropriation: An interdisciplinary literature comment. China Land Sci. 2014, 28, 82–88. [Google Scholar]
  44. Pu, Y. Considerations on China’s social disputes resolution mechanism based on behavioral game theory. China Soft Sci. 2012, 1, 183–192. [Google Scholar]
  45. Ye, J.; Feng, L.; Lang, Y.; Prosterman, R. A survey study on rural land use rights In China in 2016—Survey results in 17 provinces and policy recommendations. Manag. World 2018, 34, 98–108. [Google Scholar]
  46. Wei, G. A Survey of game experiments and theoretical models on fairness preference. J. Quant. Tech. Econ. 2006, 8, 152–161. [Google Scholar]
  47. Wu, X. Non-accident governance logic: How the local government softens the nail households: Based on surveys on three communities in city A, Jiangsu province. J. Nanjing Agric. Univ. 2018, 18, 42–51, 158. [Google Scholar]
  48. Guo, L.; Wang, L. The pricing dilemma and conflicts in house expropriation. Chin. Public Adm. 2015, 1, 21–26. [Google Scholar]
  49. Wu, Z. The interest appeal and expression mechanism of demolition vulnerable groups in urban renewal. Truth Seek. 2013, 5, 63–67. [Google Scholar]
  50. Shi, J.; Zhu, J. Behavior choice of people whose house will be dismantled from the point of view of game theory. Urban Probl. 2013, 04, 72–77. [Google Scholar]
  51. Shalev, J. Loss aversion in a multi-period model. Math. Soc. Sci. 1997, 33, 203–226. [Google Scholar] [CrossRef]
  52. Bao, H. Farmer’s reaction and equilibrium of distributing the incremental land value arising from land expropriation in urban-rural fringe. China Land Sci. 2009, 23, 32–36. [Google Scholar]
  53. Bao, H.; Zhao, J.; Yang, Y. Complexity of land requisition conflicts and the stimulus-response model of the agents. China Land Sci. 2012, 26, 61–66, 74. [Google Scholar]
  54. Kizielewicz, B.; Watróbski, J.; Sałabun, W. Identification of relevant criteria set in the MCDA process—Wind farm location case study. Energies 2020, 13, 6548. [Google Scholar] [CrossRef]
  55. Li, G.; Li, J.; Sun, X.; Wu, D. Research on a combined method of subjective-objective weighting based on the ordered information and intensity information. Chin. J. Manag. Sci. 2017, 25, 179–187. [Google Scholar]
  56. Tian, J.; Zhang, P.; Wang, K.; Wang, Y. The integrating model of expert’s opinion based on Delphi method. Syst. Eng. Theory Pract. 2004, 1, 57–62. [Google Scholar]
  57. Saaty, T.L. The modern science of multicriteria decision making and its practical applications: The AHP/ANP approach. Op. Res. 2013, 61, 1101–1118. [Google Scholar] [CrossRef]
  58. Zhu, X.; Wei, G. Discussion on the fine standard of dimensionless method in entropy method. Stat. Decis. 2015, 2, 12–15. [Google Scholar]
  59. Chen, Y.; Wei, W. Empirical analysis of national air pollution based on triple weighting and systematic cluster analysis. Stat. Decis. 2015, 11, 100–103. [Google Scholar]
  60. Wang, H. The limit conditions for forming of a system evaluating index by the PCA method. Syst. Eng. Theory Pract. 1996, 9, 24–29. [Google Scholar]
  61. Opricovic, S.; Tzeng, G.H. Multicriteria planning of post-earthquake sustainable reconstruction. Comput. Aided Civ. Infrastruct. Eng. 2002, 17, 211–220. [Google Scholar] [CrossRef]
  62. Tan, C.; Zhang, X. VIKOR method for uncertain risky multi-attribute decision making based on regret theory. Stat. Decis. 2019, 1, 47–51. [Google Scholar]
  63. Jiang, W. Risky fuzzy multi-criteria decision method based on prospect theory and VIKOR. Control Decis. 2014, 29, 2287–2291. [Google Scholar]
  64. China Judgment Online, Document No. 263, Hunan Provincial Higher People’s Court Administrative Judgment (2017) Xiang (the Abbreviation of Hunan Province), Xing (the Abbreviation of the Administrative Case), Final (the Abbreviation of the Final Judgment). Available online: http://wenshu.court.gov.cn/content/content?DocID=e0e2aaf7-cb76-40df-aa5f-a85e00f394d4&KeyWord=%E6%88%BF%E5%B1%8B%E5%BE%81%E6%94%B6 (accessed on 4 January 2018).
  65. Hong, Y.; Xu, D.; Xiang, K.; Qiao, H.; Cui, X. Multi-attribute decision-making based on preference perspective with interval neutrosophic sets in venture capital. Mathematics 2019, 7, 257. [Google Scholar] [CrossRef]
  66. Stanković, M.; Stević, Ž.; Kumar Das, D.; Subotić, M.; Pamučar, D. A new fuzzy MARCOS method for road traffic risk analysis. Mathematics 2020, 8, 457. [Google Scholar] [CrossRef]
  67. Sałabun, W.; Urbaniak, K. A new coefficient of rankings similarity in decision-making problems. In Computational Science—ICCS 2020; ICCS 2020. Lecture Notes in Computer Science; Springer: Cham, Switzerland, 2020; pp. 632–645. [Google Scholar]
  68. Ramsey, D.M. A game theoretic model of choosing a valuable good via a short list heuristic. Mathematics 2020, 8, 199. [Google Scholar] [CrossRef]
  69. Rong, Y.; Liu, Y.; Pei, Z. Novel multiple attribute group decision-making methods based on linguistic intuitionistic fuzzy information. Mathematics 2020, 8, 322. [Google Scholar] [CrossRef]
Publisher’s Note: MDPI stays neutral with regard to jurisdictional claims in published maps and institutional affiliations.

Article Metrics

Citations

Article Access Statistics

Multiple requests from the same IP address are counted as one view.