Next Article in Journal
The Impact of the COVID-19 Pandemic on the Dental Emergency Service from Oradea, Romania: A Retrospective Study
Previous Article in Journal
Repositioning Drugs for Rare Diseases Based on Biological Features and Computational Approaches
 
 
Font Type:
Arial Georgia Verdana
Font Size:
Aa Aa Aa
Line Spacing:
Column Width:
Background:
Article

Validation and Psychometric Analysis of the German Translation of the Appraisal of Self-Care Agency Scale-Revised

by
Aline Schönenberg
1,*,
Ulrike Teschner
2,
Tino Prell
1,2 and
Hannah M. Mühlhammer
1,2
1
Department of Geriatrics, Halle University Hospital, 06120 Halle, Germany
2
Department of Neurology, Jena University Hospital, 07747 Jena, Germany
*
Author to whom correspondence should be addressed.
Healthcare 2022, 10(9), 1785; https://doi.org/10.3390/healthcare10091785
Submission received: 10 August 2022 / Revised: 1 September 2022 / Accepted: 15 September 2022 / Published: 16 September 2022
(This article belongs to the Section Chronic Care)

Abstract

Self-care and self-management are essential for well-being, especially in advancing age or chronic illness. To assess these complex behaviors, validated questionnaires are needed. The Appraisal of Self-Care Agency Scale-Revised (ASAS-R) is a self-report questionnaire to evaluate the actions people take to manage their health. This manuscript reports the psychometric properties of the German ASAS-R translation. After standardized translation, convergent validity was assessed with the Patient Activation Measure (PAM) controlling for sociodemographic and health factors. Internal consistency, descriptive statistics, and principal component analysis (PCA) are reported. We analyzed data of 215 community-dwelling German adults aged 51.6 ± 14.7 years with at least one chronic illness. Similar to the original ASAS-R, PCA revealed three factors, although item allocation differed. The ASAS-R showed good internal consistency overall and for each factor, although ceiling effects were present for some items. Convergent validity was good, and the ASAS-R was as a predictor for the PAM irrespective of other variables. As self-care is highly complex, we conclude that factor structure should be assessed for each dataset. Overall, the German ASAS-R is a valid instrument to measure self-care and self-management of chronic diseases that may enhance research on this fundamental health behavior in German-speaking countries.

1. Introduction

Patients are often expected to deal with complex conditions such as multiple medications, fluctuating health and symptoms, or age-related changes. Especially in advancing age or with chronic illness, where patients are confronted with health issues on a daily basis, the concept of self-care and self-management is of utmost importance [1,2]. As Udlis [3] stated, “people cannot not self-manage” as every choice made, whether regarding physical activity, diet, medication, social interaction, or further domains, is a type of self-management. Self-management is a complex construct that describes the ability to appropriately handle health-related changes (including symptom monitoring, detection of changes, and appropriate responding), manage medications, and perform appropriate physical activities and diets. However, self-management also includes psycho-social aspects, such as a general belief in the ability to successfully perform changes (self-efficacy, [4,5,6]), adaptation of social roles, maintenance of social interaction, problem solving, and emotion regulation [1,3,4,7,8,9]. A key requirement for self-management is active patient participation [3,7], meaning that self-management refers to daily measures and actions performed by the patients themselves [10].
Self-care is a closely related concept and has been defined as a crucial cornerstone for health by the World Health Organization (WHO) [11,12]. Self-care agency, meaning the drive and ability to perform self-care actions, is closely linked to increased health-improving behavior and thus to self-management of chronic illness [13,14]. As defined by the WHO, “self-care interventions promote the active participation of individuals in their healthcare”, defining self-care as a building block of self-management [3]. Likewise, in their 2022 revision of their guidelines for self-care interventions, the WHO suggests self-management as a more active part of self-care [12], see also Narasimhan et al. (2019) [15] and Matarese et al. (2018), who describe self-management as a related or even surrogate term for self-management [16].
Due to this close relation, many questionnaires designed to measure self-management are often based on self-care agency [4]. Riegel et al. (2009) even introduced the term “self-care management” as a combination of both constructs [14], describing is as “decision making in response to signs and symptoms”.
Overall, self-care and subsequently self-management are key components of successful healthcare, especially in the face of demographic change and the increase of chronic [11,17,18]. Poor health outcomes, increased health care costs, and adverse health events are associated with an ineffective utilization of self-management strategies at home [1,2]. In contrast, effective self-care and self-management are associated with better health outcomes, reduced healthcare utilization (especially re-hospitalization), and overall better quality of life (QoL) [1,19,20].
Therefore, measuring self-management is a crucial step in understanding the factors pertaining to this aspect of healthcare. Thus far, several questionnaires have been developed to measure self-management and self-care [4,21,22,23], but none of them cover all the abovementioned aspects of this complex health behavior. Thus, it is recommended to use multiple tools to measure self-care and self-management [4,24].
The Appraisal of Self-Care Agency Scale-Revised (ASAS-R) is built around Orem’s Theory of Self-Care [25], which highlights the need to maintain some degree of independence and self-care agency even when faced with serious health issues. For this purpose, it is essential to consider a patients’ personal situation and to identify the individual needs and acts of self-care that can still be performed [25,26]. The questionnaire was initially developed by Evers et al. [27] and revised by Sousa et al. [28]. It has been translated into different languages and tested in various settings, showing overall good psychometric properties [29,30,31,32]. By its name, it is not strictly defined as a self-management tool; however, its items correspond to the content of self-management, and self-care is a key component of self-management. Therefore, the ASAS-R is suitable as a tool to measure self-management [28,32]. Of special interest, some items in the ASAS-R are worded in a way that refers to behavior instead of hypothetical beliefs, e.g., “I make needed adjustments”, “in the past, I have…”, or “I regularly evaluate…”. For example, the six-item Self-Efficacy for Managing Chronic Disease Scale (SES6G) [33,34] explicitly asks about confidence in the ability to perform self-management, but not about the actual performance itself. Of note, asking about beliefs may not be enough when predictors for actual self-management must be identified or when the interest lies in the improvement of self-management that must be measured in its actual execution, for example, in an intervention trial. To date, no German version of the ASAS-R is available; however, due to its promising psychometric properties and its focus on actions rather than solely beliefs, the ASAS-R is a useful questionnaire to add to the list of self-management measures. Therefore, we aimed to translate the questionnaire into German and validate the translation to make it available for use in German-speaking countries.

2. Materials and Methods

2.1. Translation

The English ASAS-R questionnaire was forward-translated into German by a German native speaker, who is both highly proficient in English and knowledgeable about the field of scientific research and healthcare. The German version was then translated back into English by a second person, also a native German speaker with English proficiency on native speaker level and a high level of knowledge in healthcare and social sciences. In addition, another independent researcher who is not part of the study team but still knowledgeable about the related concepts and highly proficient in English further translated the original questionnaire into German. Afterward, the translated German versions were compared, and the re-translated English version was compared with the original ASAS-R. Slight variations in the translations were discussed between the researchers with regards to their potential influence on the content of each item until consent was reached [35]. The translated version of the questionnaire is given in the Supplementary Materials (Supplementary Table S1).

2.2. Data Collection and Participants

Data were collected between April and July 2022. Inclusion criteria were comprised of age 18, the presence of at least one chronological disorder that had been diagnosed for at least 1 year, and the absence of severe depression or dementia.
Overall sample sizes for questionnaire translations have varied greatly, with many studies recruiting between 200 and 300 participants [33,36,37,38,39]. As recommended by Sousa et al. (2010), a sample size of around 10 subjects per item of the questionnaire is required for psychometric analyses [35,40,41], resulting in a minimum of 150 participants for translation of the ASAS-R. Considering potential dropouts due to missing data, our aim was to collect at least 200 datasets.
Participants were contacted via flyers in the hospital and via social media visible to all patients in the hospital. A certificate of non-objection from the local ethics committee of Jena University Hospital (approval number 2022-2515) was obtained. Due to the restrictions of the COVID-19 pandemic, data collection was performed online using the tool SoSciSurvey [42]. This way, patients were able to fill out the questionnaire on their mobile phones while waiting for their appointment or could take a flyer home with them to fill it out on their computers. Thus, all information collected was based on self-report. First, information about the aim of the study and data protection was presented, and participants gave explicit consent to participate. Afterward, sociodemographic and health-related information were collected:
  • Age in years, marital status (married, single, widowed/divorced), education as corresponding to the German education system (low: no school to 8 years, medium: 10 years, high: a-levels (at least 12 years) or higher educational degree)
  • Number and type of diagnoses, selected from a list of 15 choices as specified in the Survey of Health, Ageing and Retirement in Europe (SHARE) dataset (http://www.share-project.org/home0.html, accessed on 29 July 2022) and the option to add further diagnoses, and year of main diagnosis to calculate the variable disease duration (2022—answer given in Year of Diagnosis)
  • Number of medications taken daily
  • Restrictions in daily activities (ADLs) based on the item used in the DEAS dataset, a large nationwide assessment of elderly patients in Germany: “In the last 6 months or longer, have you been restricted in your daily activities for health-related reasons?” (1 = yes, strongly, 2 = yes, a bit, 3 = no) [43]
  • Item 1 of the SF-36 to assess current health status (Would you say your current health is… (1) excellent, (2) very good, (3) good, (4) fair, (5) poor) [44,45]
For convergent validity, the German version of the Patient Activation Measure (PAM, short form) was used, which is a one-factorial questionnaire comprised of 13 items on a 4-point Likert scale ranging from 1 = completely disagree to 4 = completely agree [46,47,48]. The PAM is a widely used measure of patient initiative and self-care [46,48,49]; however, it mainly inquires after hypothetical behavior and not after measures that have already been taken. A sum score is calculated for the PAM by adding up the values of the individual items.
The translated version of the ASAS-R was the main measurement of interest. It comprises 15 items posed on a 5-point Likert scale ranging from 1 = totally disagree to 5 = totally agree. Items 4, 11, 14, and 15 of the ASAS were reverse-coded and thus re-scaled to match the scale of the other items. A three-factor model has been proposed for the revised version, measuring the sub-components having power for self-care, developing power for self-care, and lacking power for self-care [28]. To calculate an overall sum score as well as the scores for the sub-scales, the corresponding item answers are added up, with higher scores indicating higher self-care agency.
Since the PAM and the ASAS-R contain similar items, their order within the questionnaire was randomized between participants. This was done to ensure that answers from one questionnaire did not needlessly influence answers from the other, e.g., due to frustration or confusion regarding the similar questions.
Due to the online format, participants were instructed to conduct the questionnaire in a quiet setting without distractions. Although it was not possible to objectively measure whether participants adhered to this, they were asked at the end to indicate whether they completed the questionnaire (1) in a quiet setting without distractions, (2) in a quiet setting with minimal distractions (1–2 times), or (3) with many distractions. In between the PAM and the ASAS, we furthermore included a control item instructing the participants to select a particular option on the presented scale to ensure that participants read the items and instructions carefully instead of blindly selecting random answers. These two items were not included in the analysis. Instead, they simply served as control items, and participants who failed to select the correct response or who admitted to being distracted many times were excluded from the analysis. In addition, participants who selected “none” when asked to indicate their chronic diagnoses and participants who failed to respond to one or several items of ASAS and PAM were also excluded from the analysis.

2.3. Statistical Analysis

All statistical analyses were performed in R Version 4.1.1 [50]. As a first step, descriptive statistics (mean with standard deviation (SD), as well as median and interquartile range (IQR) for metric and count with percentages for categorical variables) were calculated to present the characteristics of the included participants.
Next, the German ASAS-R was assessed in its internal consistency and scale properties via inter-item correlations using Spearman Rank correlations and Cronbach’s Alpha (α), floor and ceiling effects, as well as skew and kurtosis [51]. Floor and ceiling effects were considered present if at least 15% of the respondents reached the lowest (floor) or highest (ceiling) possible item score. Internal consistency was measured with the psych package using Cronbach’s Alpha (α) and considered high for values greater than 0.80, with 0.70 being the minimum correlation [51,52,53,54]. Inter-item and item-to-rest correlations were assessed with Spearman correlation (ρ), with correlations of ≥0.10 considered low, ≥0.3 moderate, and ≥0.5 as strong correlations [55]. As recommended, inter-item correlations should be between 0.3 and 0.7 for subscales [56]. As the original publication of the ASAS-R proposes a three-factor structure, confirmatory factor analysis (CFA) was performed using the R-package Lavaan [57] to assess whether the proposed structure fits our data. Afterward, Principal Component Analysis (PCA) was performed using the stats package [45] to find the best-fitting factor structure for the present data. As the items stem from a single questionnaire measuring an overall latent construct, PCA was performed using oblique oblimin rotation [58,59]. All factors had an Eigenvalue > 1. Requirements for performing factor analysis were assessed using EFAtools [60].
To assess the validity of the German ASAS-R, convergent validity was measured with the PAM based on Spearman correlations (r) between the sum scores of the two questionnaires. As recommended by Prinsen et al. (2018) [52], correlations between instruments measuring the same constructs should be greater than or equal to 0.5, while correlations for instruments measuring similar but not identical constructs should lie between 0.3 and 0.5. Therefore, a correlation between 0.3 and 0.5 was expected between the PAM and the German ASAS-R.
Finally, linear regression models were performed to assess the association between the PAM and the German ASAS-R and to control for the potential influence of sociodemographic or health-related factors. Therefore, in a first model, the influence of the ASAS-R on the PAM alone was assessed. This model was compared to a second model, including the ASAS-R as well as sociodemographic and health-related information, to predict the PAM. Normal distribution was assessed using the Shapiro–Wilk test and requirements for the linear regression, such as linearity, absence of multicollinearity and autocorrelation, homogeneity of variance, and normality of residuals, were assessed with the performance package in R [61]. Based on Cook’s distance, no outliers were detected. As heteroscedasticity was present for Model 1 (Breusch-Pagan Test p = 0.037), HC3-type robust coefficients were calculated [62].
p-values below 0.05 denote statistical significance, and 95% confidence intervals (CIs) are given wherever appropriate. All visualizations were computed using ggplot2 [63].

3. Results

3.1. Participants

In total, n = 278 participants filled out the online questionnaire. Of those, 35 participants were excluded from the analysis because they did not complete the questionnaires of interest (ASAS and PAM). Of the remaining 243 participants, 28 participants were further excluded because they did not respond correctly to the control items as described in the Methods section. In total, n = 215 datasets were retained.
Overall, the remaining participants (70% female) had a mean age of 51.633 years (SD = 14.686), took an average of 3.219 medications per day (SD = 2.802), and reported an average of 1.986 different chronic diagnoses (SD = 1.190), with a mean disease duration of 13.7784 years (SD = 11.071). The most common diagnoses were hypertension (n = 75), chronic obstructive pulmonary disease (n = 38), and diabetes (n = 34), see Supplementary Table S2 for details. Most participants rated their current health as good or not good and reported to be moderately restricted in their ADLs. Detailed sociodemographic data are given in Table 1.

3.2. Properties of the ASAS-R

All participants included in the analysis completed the ASAS questionnaire without missing items (n = 215). Properties of the ASAS are given in Table 2. The Shapiro–Wilk test revealed a moderate non-normal distribution (W = 0.983, p = 0.011) with a slight skewness to the left (skew = −0.42, kurtosis = 0.85, SE = 0.57). The mean inter-item correlation was 0.28 for the entire ASAS scale. The ASAS scores did not differ depending on gender (p = 0.464, r = 0.05) or education level (p = 0.169, eta2 = 0.007).
Internal consistency measured by Cronbach’s Alpha for all ASAS-R items was α = 0.82 (95% CI [0.79; 0.86]), indicating a high correlation. Likewise, the corrected item-to-total correlation was above 0.38 for all items (see Table 2) and even above 0.5 for 8 of the 15 items, indicating medium to high correlations. The correlation matrix for all ASAS items is given in Supplementary Figure S1.
However, based on the original publication, a three-factor structure should underlie the questionnaire, so these correlations must be interpreted with caution. In the next step, we therefore aimed to assess if this factor structure could be replicated with our data.
Using CFA, the original ASAS-R structure and item assignment were tested in the present dataset. However, although the model was statistically significant (𝜒2 = 392.62, p < 0.001), the original model fit poorly to our data (CFI = 0.798, TLI = 0.756, AIC = 8420.25, RMSEA = 0.11, RMSEA p < 0.001, see Supplementary Table S3). Therefore, PCA was performed to find the underlying factor structure for the present data. Kaiser-Meyer-Olkin (KMO) criterion (0.826) and Bartlett test (𝜒2(105) = 1133.43, p < 0.001) suggested that the data were suitable for factor analysis. Based on an Eigenvalue > 1, a three-factor solution, as proposed in the original publication, was suggested. However, the item attribution to the factors differed from the original proposition (see Table 3 and Supplementary Figures S2 and S3).
The resulting model was significant (𝜒2 = 191.65, p < 0.001), explaining 54.4% of the total variance (see Supplementary Table S4). Using CFA to confirm model fit, the 𝜒2 test revealed a significant improvement over the baseline model (𝜒2 = 155.563, p < 0.001). The model fit the data well, with CFI = 0.92, TLI = 0.903, AIC = 7721.316, and RMSEA = 0.072 ([CI 0.056, 0.087], p = 0.014).
The 𝜒2-test revealed a better fit for the current than the original model (p < 0.001). The three factors had sufficient internal consistency (see Table 2), and the mean inter-item correlation was between 0.3 and 0.44 for all subscales (see Supplementary Table S5).

3.3. Comparison of ASAS and PAM

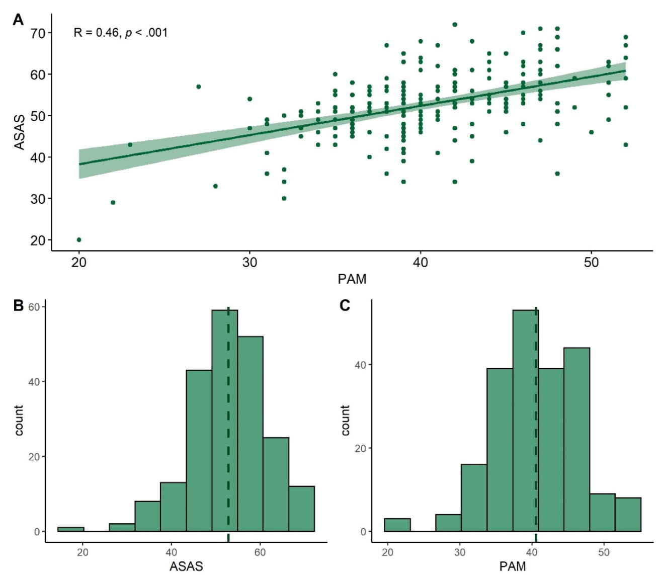
To assess the convergent validity of the ASAS, the correlation between the sum scores of the ASAS and PAM was calculated. The correlation between the sum of ASAS and PAM was ρ = 0.46 (CI [0.35, 0.56], p < 0.001), see Figure 1A. Both questionnaires were similarly distributed (Figure 1B,C).
To confirm the relation between ASAS-R and PAM, linear regression models were conducted.
The simple first model (Model 1) contained only the ASAS-R as a single predictor for the PAM sum score. Model 1 was statistically significant (adjusted R2 = 0.261, F(1, 204) = 73.45, p < 0.0001, AIC = 1264.60). Thus, the ASAS-R alone explained 26% of the variance of the PAM. The ASAS-R was significant as a predictor of the PAM (ß = 0.37, CI [0.29, 0.46], p < 0.0001).
Model 2 (Table 4) then contained sociodemographic and health-related information to assess whether the relation between ASAS-R and PAM was independent of further variables. Model 2 was also significant (adjusted R2 = 0.438, F(14 191) = 12.41, p < 0.0001, AIC = 1220.65) and model comparison via AIC and ANOVA indicated that Model 2 was a better fit for the data (p < 0.0001) than Model 1. Model 2 again revealed the ASAS-R as a significant predictor of the PAM.
Likewise, disease duration, high education level, and the different levels of health were identified as significant predictors of the PAM. Therefore, a third regression (Model 3) allowing for interactions between the variables was calculated to assess whether health and disease duration influenced the relationship between ASAS and PAM. Model 3 (adjusted R2 = 0.426, F(19, 187) = 9.03, p < 0.0001, AIC = 1234.65) revealed no significant interactions between the ASAS and disease duration (p = 0.899), or the different levels of health (p = 0.987, 0.851, 0.975, 0.986, respectively). Therefore, the association between the ASAS-R and the PAM remains irrespective of sociodemographic or health-related data.

4. Discussion

The aim of the current study was to assess the validity and factor structure of the German translation of the ASAS-R. For this purpose, n = 215 datasets of community-dwelling people with chronic illness were analyzed regarding psychometric measures. Convergent validity was tested via comparison with the PAM.
Overall, satisfactory correlation between ASAS-R and PAM suggests good convergent validity, indicating that the translated version of the ASAS is able to capture the desired construct well. The correlation of the ASAS-R and the PAM was 0.46, which is comparable to the convergent validity levels found in other translation studies for self-management questionnaires [24,33,49,64]. As self-care and self-management are highly complex, individual constructs that have not yet been universally defined [3], we expected a medium correlation between both questionnaires [52], especially as both questionnaires cover different aspects of this complex behavior [48]. Likewise, the regression analyses identified the ASAS-R as a significant predictor of the PAM irrespective of other sociodemographic and health-related variables. These results indicate good convergent validity, considering that the two questionnaires measure similar but not the same constructs [24,32].
The German ASAS-R revealed no floor but medium ceiling effects for several items, indicating that some items were not sufficient for our participants. Of note, floor and ceiling effects were not reported in the original assessment of the ASAS-R [28]; therefore, no comparison can be made here to assess whether the ceiling effects are specific to our translation. However, many other questionnaires on self-management and related constructs have reported ceiling effects [33,34,65,66]. Of note, it is important to mention that our study sample consisted of community-dwelling adults, most of which were only moderately restricted in their ADLs. In addition, the participants had an average disease duration of 13.8 years, meaning they had had enough time to develop and practice self-management. Therefore, it is plausible that in our group of participants, most people scored high on the ASAS-R items, indicating that the items were indeed able to capture their situation correctly. Still, it is necessary to test the questionnaire in other populations, such as older, physically impaired people, or in people newly diagnosed with illnesses to assess initial self-management.
Although the overall ASAS-R revealed good internal consistency in our analysis, the original ASAS-R publication suggested three underlying factors, namely ‘having power for self-care’, ‘developing power for self-care’, and ‘lacking power for self-care’ [28]. However, CFA revealed a poor fit of this structure for our data. Subsequent PCA again revealed three factors, but the item attribution to those factors differed from the original ASAS-R publication. Of note, the initial ASAS-R as proposed by Evers et al. [29] before the revision by Sousa et al. [28] did not specify a particular factor structure but rather suggested an overall sum score, with higher factors indicating higher levels of self-care agency. In addition, a preliminary study by Sousa et al. [67] that preceded the revised ASAS version also identified a single factor. The authors explained this inconsistency in their own revised version by taking into account the different samples used for analysis [28]. In other studies assessing the factor structure of the ASAS, ASAS-R, or translated versions, one Chinese study found a seven-factor solution [68], while Söderhamn and Cliffordson [31] found five underlying factors in a Swedish sample. To validate their Spanish translation, Stacciarini and Pace [69] only used CFA to confirm the three-factor structure as proposed by Sousa et al. (2011) [28], but did not perform PCA to assess whether a different model fit their data better. However, their overall factor loadings and internal consistency of the factors were comparable to the present results, regardless of the different item attribution. Of note, they only had a sample size of 150 people, while a Spanish translation by Colomer-Pérez and Useche [70] on 900 students revealed four factors. Overall, these results suggest that the factor structure of the ASAS and its revised or translated versions is not universal and differs between datasets. One possible explanation for these differences is the highly complex and individual nature of self-management itself, which may vary depending on a variety of factors such as the disease and its duration, physical and mental health, and sociodemographic variables [1,3,8]. Due to this complexity, certain factors may play a role for self-management for some people that do not matter to others. Likewise, the literature shows different definitions of self-management, including many different sub-factors and facets. Therefore, it is not yet possible to derive a universally accepted structure of self-management [3,4,8]. As a consequence, we suggest the individual assessment of the given factor structure in each dataset to take into account the specific characteristics of each sample of participants. Overall, we therefore conclude that the differing factor structure in our analysis is not a sign of a deficient questionnaire translation, but instead a consequence of the highly complex concept the questionnaire aims to measure.
Overall, the ASAS was derived based on Orem’s Theory of Self-Care [25] and covers an important aspect of healthcare, namely self-care and, as an extension of self-care, self-management. As people continuously grow older and the relevance of chronic illness increases, it becomes crucial to reliably assess people’s self-management abilities in order to relieve healthcare systems and enable high-quality care [1,18,71]. Due to the high complexity and individual nature of self-management, no single questionnaire has been developed that covers all important aspects; therefore, a mixture of questionnaires is recommended for the assessment of self-management [4]. The ASAS proves to be a useful addition to this collection, as it is less hypothetical than other questionnaires and therefore an approximation of the behavior rather than solely the confidence in self-management [33,48].

Limitations

Our study is not free of limitations. We included community-dwelling adults with at least one chronic illness to assess the applicability of the questionnaire for the general public; however, this reduces the generalizability to an acutely ill patient population or to newly diagnosed patients. Likewise, the long average disease duration in the present participants may have influenced the responses to the ASAS-R and resulted in the reported ceiling effects. The questionnaire should therefore be tested again in different populations, especially in newly diagnosed patients, to assess the initial development of self-management.
Due to the COVID-19 pandemic, data collection was performed online, which may have influenced data quality due to attentional deficits. However, we took precautions to ensure best possible data quality as described in the Methods section. In contrast to attentional effects, the use of a fully anonymous online survey may have reduced social desirability and bias compared to face-to-face testing. In addition, although the information on the study was available to all patients in the hospital without active selection bias from the authors, the online recruitment of patients may have introduced a bias toward highly educated and comparably healthy patients, as it required participants to own a smartphone or computer.
Lastly, as Greene et al. (2022) [72] reported, model fit and fit measures are highly dependent on the type of data and the factor analysis method. Therefore, the deviation of our item attribution from the original ASAS structure by Sousa et al. (2011) and other previous publications must be interpreted in light of the methods and participants included in the respective studies. As Greene et al. (2022) [72] indicated, model-based fit measures should not be seen as ultimate but instead be interpreted with regards to content and theoretical frameworks. In our analysis, we therefore not only looked at the best model fit but also decided that our variable attribution seems more reasonable in terms of actual content of the identified factors. For example, it makes more sense that the item 8 “in the past, I have changed some of my old habits in order to improve my health” is assigned to the factor having power for self-care rather than developing power for self-care, as indicated in the original publication [35]. Overall, our analysis, as well as previous studies, suggest the need to individually assess the questionnaire structure for each dataset in future analyses, especially as self-management is such a complex construct that it may well vary depending on the participant group, country, and diagnoses [3].

5. Conclusions

The German translation of the ASAS-R showed good psychometric properties and convergent validity, indicating that it was able to capture the construct of self-management well. However, as floor and ceiling effects were present, the questionnaire should be tested again in a population of severely ill or newly ill patients to see whether it can capture new-onset self-management. Of note, the factor structure underlying the questionnaire differed from the original publication, and different factor structures have been identified in earlier studies. Therefore, it is recommended to individually assess the factor structure for each dataset. As stated in previous literature and again shown in our analysis, both self-care and subsequently self-management are highly complex and individual constructs; therefore, they should be assessed with multiple measures to capture all relevant aspects. Based on our analysis, the German ASAS-R can now be used to approach these important aspects of healthcare in German-speaking populations.

Supplementary Materials

The following supporting information can be downloaded at: https://www.mdpi.com/article/10.3390/healthcare10091785/s1, Table S1: Translated questionnaire, Table S2: Overview of Diagnoses, Table S3: Confirmatory Factor Analysis of original factor structure, Table S4: Principal Component Analysis, Table S5: Item-total correlation for all three factors, Figure S1: Correlation Matrix for all ASAS items, Figure S2: CFA Model Plot, Figure S3: Comparison of item attribution to the three factors in original and translated version, Figure S4: Correlation of ASAS and PAM.

Author Contributions

Conceptualization, A.S., H.M.M., U.T. and T.P.; methodology, A.S.; formal analysis, A.S.; investigation, U.T., A.S. and H.M.M.; resources, H.M.M.; data curation, A.S.; writing—original draft preparation, A.S.; writing—review and editing, T.P.; visualization, A.S.; funding acquisition, H.M.M. and T.P. All authors have read and agreed to the published version of the manuscript.

Funding

H.M.M. and T.P. received funding from a Bundesministerium für Bildung und Forschung Grant (grant-number 01GY1804).

Institutional Review Board Statement

We obtained a certificate of non-objection from the local ethics committee of Jena University Hospital (approval number 2022-2515).

Informed Consent Statement

The study was conducted according to the guidelines of the Declaration of Helsinki and all participants provided informed consent.

Data Availability Statement

The anonymous data are freely available from: Schönenberg, A., Prell, T., Teschner, U., & Mühlhammer, H. M. (2022). The German version of the Appraisal of Self-Care Agency Scale-Revised (ASAS-R), OSF. 10.17605/OSF.IO/WM89J.

Acknowledgments

We kindly thank Cosima Lukas for her help with the translation of the questionnaire.

Conflicts of Interest

The authors declare no conflict of interest.

References

  1. Allegrante, J.P.; Wells, M.T.; Peterson, J.C. Interventions to Support Behavioral Self-Management of Chronic Diseases. Annu. Rev. Public Health 2019, 40, 127–146. [Google Scholar] [CrossRef] [PubMed]
  2. O’Connell, S.; Mc Carthy, V.J.C.; Savage, E. Frameworks for self-management support for chronic disease: A cross-country comparative document analysis. BMC Health Serv. Res. 2018, 18, 583. [Google Scholar] [CrossRef] [PubMed]
  3. Udlis, K.A. Self-management in chronic illness: Concept and dimensional analysis. J. Nurs. Healthc. Chronic Illn. 2011, 3, 130–139. [Google Scholar] [CrossRef]
  4. Packer, T.L.; Fracini, A.; Audulv, Å.; Alizadeh, N.; van Gaal, B.G.I.; Warner, G.; Kephart, G. What we know about the purpose, theoretical foundation, scope and dimensionality of existing self-management measurement tools: A scoping review. Patient Educ. Couns. 2018, 101, 579–595. [Google Scholar] [CrossRef]
  5. Bandura, A.; Freeman, W.H.; Lightsey, R. Self-Efficacy: The Exercise of Control. J. Cogn. Psychother. 1997, 13, 158–166. [Google Scholar] [CrossRef]
  6. Klompstra, L.; Jaarsma, T.; Strömberg, A. Self-efficacy Mediates the Relationship Between Motivation and Physical Activity in Patients With Heart Failure. J. Cardiovasc. Nurs. 2018, 33, 211–216. [Google Scholar] [CrossRef]
  7. Lorig, K.R.; Holman, H. Self-management education: History, definition, outcomes, and mechanisms. Ann. Behav. Med. 2003, 26, 1–7. [Google Scholar] [CrossRef]
  8. Van de Velde, D.; De Zutter, F.; Satink, T.; Costa, U.; Janquart, S.; Senn, D.; De Vriendt, P. Delineating the concept of self-management in chronic conditions: A concept analysis. BMJ Open 2019, 9, e027775. [Google Scholar] [CrossRef]
  9. Pearce, G.; Parke, H.L.; Pinnock, H.; Epiphaniou, E.; Bourne, C.L.; Sheikh, A.; Taylor, S.J. The PRISMS taxonomy of self-management support: Derivation of a novel taxonomy and initial testing of its utility. J. Health Serv. Res. Policy 2016, 21, 73–82. [Google Scholar] [CrossRef] [PubMed]
  10. Grady, P.A.; Gough, L.L. Self-management: A comprehensive approach to management of chronic conditions. Am. J. Public Health 2014, 104, e25–e31. [Google Scholar] [CrossRef]
  11. WHO. Self Care for Health; WHO Regional Office for South-East Asia: New Delhi, India, 2014. [Google Scholar]
  12. WHO. Guideline on Self-Care Interventions for Health and Well-Being, 2022 Revision; World Health Organization: Geneva, Switzerland, 2022. [Google Scholar]
  13. Sousa, V.D.; Zauszniewski, J.A.; Musil, C.M.; Price Lea, P.J.; Davis, S.A. Relationships among self-care agency, self-efficacy, self-care, and glycemic control. Res. Theory Nurs. Pract. 2005, 19, 217–230. [Google Scholar] [CrossRef]
  14. Riegel, B.; Moser, D.K.; Anker, S.D.; Appel, L.J.; Dunbar, S.B.; Grady, K.L.; Gurvitz, M.Z.; Havranek, E.P.; Lee, C.S.; Lindenfeld, J.; et al. State of the science: Promoting self-care in persons with heart failure: A scientific statement from the American Heart Association. Circulation 2009, 120, 1141–1163. [Google Scholar] [CrossRef] [PubMed]
  15. Narasimhan, M.; Allotey, P.; Hardon, A. Self care interventions to advance health and wellbeing: A conceptual framework to inform normative guidance. BMJ 2019, 365, l688. [Google Scholar] [CrossRef]
  16. Matarese, M.; Lommi, M.; De Marinis, M.G.; Riegel, B. A Systematic Review and Integration of Concept Analyses of Self-Care and Related Concepts. J. Nurs. Sch. 2018, 50, 296–305. [Google Scholar] [CrossRef] [PubMed]
  17. RKI. Gesundheit in Deutschland. Gesundheitsberichterstattung des Bundes. Gemeinsam Getragen von RKI und Destatis; Robert Koch Institut: Berlin, Germany, 2015. [Google Scholar]
  18. Nowossadeck, E. Einfluss der demografischen Alterung auf die Inanspruchnahme der medizinischen Rehabilitation in Deutschland bis 2040. Rehabilitation 2019, 58, 96–103. [Google Scholar] [CrossRef] [PubMed]
  19. Fryer, C.E.; Luker, J.A.; McDonnell, M.N.; Hillier, S.L. Self management programmes for quality of life in people with stroke. Cochrane Database Syst. Rev. 2016, 2016, Cd010442. [Google Scholar] [CrossRef]
  20. Lenferink, A.; Brusse-Keizer, M.; van der Valk, P.D.; Frith, P.A.; Zwerink, M.; Monninkhof, E.M.; van der Palen, J.; Effing, T.W. Self-management interventions including action plans for exacerbations versus usual care in patients with chronic obstructive pulmonary disease. Cochrane Database Syst. Rev. 2017, 8, Cd011682. [Google Scholar] [CrossRef]
  21. Luciani, M.; De Maria, M.; Page, S.D.; Barbaranelli, C.; Ausili, D.; Riegel, B. Measuring self-care in the general adult population: Development and psychometric testing of the Self-Care Inventory. BMC Public Health 2022, 22, 598. [Google Scholar] [CrossRef]
  22. Andrews, D.R.; Richard, D.; Aroian, K. Factor Structure of the Denyes Self Care Practice Instrument (DSCPI-90). West J. Nurs. Res. 2009, 31, 799–811. [Google Scholar] [CrossRef]
  23. Räsänen, P.; Backman, K.; Kyngäs, H. Development of an instrument to test the middle-range theory for the self-care of home-dwelling elderly. Scand J. Caring Sci. 2007, 21, 397–405. [Google Scholar] [CrossRef]
  24. Kephart, G.; Packer, T.L.; Audulv, Å.; Warner, G. The structural and convergent validity of three commonly used measures of self-management in persons with neurological conditions. Qual. Life Res. 2019, 28, 545–556. [Google Scholar] [CrossRef] [PubMed]
  25. Orem, D.E. Nursing Concepts of Practice, 5th ed.; Mosby: Boston, MA, USA, 1995. [Google Scholar]
  26. Tanaka, M. Orem’s nursing self-care deficit theory: A theoretical analysis focusing on its philosophical and sociological foundation. Nurs. Forum. 2022, 57, 480–485. [Google Scholar] [CrossRef] [PubMed]
  27. Evers, G.C.M.; Isenberg, M.; Philipsen, H.; Brouns, G.; Halfens, R.; Smeets, H. The appraisal of self-care agency’s ASA-Scale: Research program to test reliability and validity. In Proceedings of the International Nursing Research Conference New Frontiers in Nursing Research; University of Alberta: Edmond, AB, Canada, 1986. [Google Scholar]
  28. Sousa, V.D.; Zauszniewski, J.A.; Bergquist-Beringer, S.; Musil, C.M.; Neese, J.B.; Jaber, A.F. Reliability, validity and factor structure of the Appraisal of Self-Care Agency Scale-Revised (ASAS-R). J. Eval. Clin. Pract. 2010, 16, 1031–1040. [Google Scholar] [CrossRef] [PubMed]
  29. Evers, G.C.; Isenberg, M.A.; Philipsen, H.; Senten, M.; Brouns, G. Validity testing of the Dutch translation of the appraisal of the self-care agency A.S.A.-scale. Int. J. Nurs. Stud. 1993, 30, 331–342. [Google Scholar] [CrossRef]
  30. van Achterberg, T.; Lorensen, M.; Isenberg, M.A.; Evers, G.C.; Levin, E.; Philipsen, H. The Norwegian, Danish and Dutch version of the Appraisal of Self-care Agency Scale; comparing reliability aspects. Scand J. Caring Sci. 1991, 5, 101–108. [Google Scholar] [CrossRef] [PubMed]
  31. Söderhamn, O.; Cliffordson, C. The internal structure of the Appraisal of Self-care Agency (ASA) Scale. J. Nurs. Theory 2001, 10, 5–12. [Google Scholar]
  32. Hudon, É.; Hudon, C.; Lambert, M.; Bisson, M.; Chouinard, M.-C. Generic Self-Reported Questionnaires Measuring Self-Management: A Scoping Review. Clin. Nurs. Res. 2021, 30, 855–865. [Google Scholar] [CrossRef]
  33. Freund, T.; Gensichen, J.; Goetz, K.; Szecsenyi, J.; Mahler, C. Evaluating self-efficacy for managing chronic disease: Psychometric properties of the six-item Self-Efficacy Scale in Germany. J. Eval. Clin. Pract. 2013, 19, 39–43. [Google Scholar] [CrossRef]
  34. Ritter, P.L.; Lorig, K. The English and Spanish Self-Efficacy to Manage Chronic Disease Scale measures were validated using multiple studies. J. Clin. Epidemiol. 2014, 67, 1265–1273. [Google Scholar] [CrossRef]
  35. Sousa, V.D.; Rojjanasrirat, W. Translation, adaptation and validation of instruments or scales for use in cross-cultural health care research: A clear and user-friendly guideline. J. Eval. Clin. Pract. 2011, 17, 268–274. [Google Scholar] [CrossRef]
  36. Cramm, J.M.; Strating, M.M.; de Vreede, P.L.; Steverink, N.; Nieboer, A.P. Validation of the self-management ability scale (SMAS) and development and validation of a shorter scale (SMAS-S) among older patients shortly after hospitalisation. Health Qual Life Outcomes 2012, 10, 9. [Google Scholar] [CrossRef] [PubMed]
  37. Incirkuş, K.; Nahcivan, N. Validity and reliability study of the Turkish version of the self-efficacy for managing chronic disease 6-item scale. Turk. J. Med. Sci. 2020, 50, 1254–1261. [Google Scholar] [CrossRef] [PubMed]
  38. Goetz, K.; Freund, T.; Gensichen, J.; Miksch, A.; Szecsenyi, J.; Steinhaeuser, J. Adaptation and psychometric properties of the PACIC short form. Am. J. Manag. Care 2012, 18, e55–e60. [Google Scholar]
  39. Marconcin, P.; Tomé, G.; Carnide, F.; Yázigi, F.; Campos, P.; Pais, S.; Espanha, M. Translation, cultural adaptation and validation of the self-efficacy to manage chronic disease 6-item scale for european Portuguese. Acta Reumatol. Port. 2021, 46, 15–22. [Google Scholar] [PubMed]
  40. Hair, J.F.; Black, W.C.; Babin, B.J.; Anderson, R.E. Multivariate Data Analysis; Pearson Education: London, UK, 2009. [Google Scholar]
  41. Stevens, J.P. Applied Multivariate Statistics for the Social Sciences; Routledge: London, UK, 2012. [Google Scholar]
  42. Leiner, D.J. SoSci Survey (Version 3.1.06) [Computer Software]. 2019. Available online: https://www.soscisurvey.de (accessed on 3 August 2022).
  43. Engstler, H.; Hameister, N.; Schwichtenberg-Hilmert, B. German Ageing Survey (DEAS): User Manual SUF DEAS2014, Version 3.0.; Deutsches Zentrum für Altersfragen: Berlin, Germany, 2020. [Google Scholar]
  44. Ware, J.E., Jr.; Sherbourne, C.D. The MOS 36-item short-form health survey (SF-36). I. Conceptual framework and item selection. Med. Care 1992, 30, 473–483. [Google Scholar] [CrossRef]
  45. Bullinger, M.; Kirchberger, I.; Ware, J. Der deutsche SF-36 Health Survey Übersetzung und psychometrische Testung eines krankheitsübergreifenden Instruments zur Erfassung der gesundheitsbezogenen Lebensqualität. Z. Für Gesundh. 1995, 3, 21–36. [Google Scholar] [CrossRef]
  46. Zill, J.M.; Dwinger, S.; Kriston, L.; Rohenkohl, A.; Härter, M.; Dirmaier, J. Psychometric evaluation of the German version of the Patient Activation Measure (PAM13). BMC Public Health 2013, 13, 1027. [Google Scholar] [CrossRef]
  47. Hibbard, J.H.; Mahoney, E.R.; Stockard, J.; Tusler, M. Development and testing of a short form of the patient activation measure. Health Serv. Res. 2005, 40, 1918–1930. [Google Scholar] [CrossRef]
  48. Hibbard, J.H.; Stockard, J.; Mahoney, E.R.; Tusler, M. Development of the Patient Activation Measure (PAM): Conceptualizing and measuring activation in patients and consumers. Health Serv. Res. 2004, 39, 1005–1026. [Google Scholar] [CrossRef]
  49. Brenk-Franz, K.; Hibbard, J.H.; Herrmann, W.J.; Freund, T.; Szecsenyi, J.; Djalali, S.; Steurer-Stey, C.; Sönnichsen, A.; Tiesler, F.; Storch, M.; et al. Validation of the German version of the patient activation measure 13 (PAM13-D) in an international multicentre study of primary care patients. PLoS ONE 2013, 8, e74786. [Google Scholar] [CrossRef]
  50. Team, R.C. R: A Language and Environment for Statistical Computing; R Foundation for Statistical Computing: Vienna, Austria, 2021. [Google Scholar]
  51. Revelle, W. Psych: Procedures for Personality and Psychological Research Version 2.1.9; Northwestern University: Evanston, IL, USA, 2021. [Google Scholar]
  52. Prinsen, C.A.C.; Mokkink, L.B.; Bouter, L.M.; Alonso, J.; Patrick, D.L.; de Vet, H.C.W.; Terwee, C.B. COSMIN guideline for systematic reviews of patient-reported outcome measures. Qual. Life Res. 2018, 27, 1147–1157. [Google Scholar] [CrossRef] [PubMed]
  53. Blanz, M. Forschungsmethoden und Statistik für die Soziale Arbeit: Grundlagen und Anwendungen; Kohlhammer: Stuttgart, Germany, 2015. [Google Scholar]
  54. Everitt, B.; Skrondal, A. The Cambridge Dictionary of Statistics, 4th ed.; Cambridge University Press: New York, NY, USA, 2010. [Google Scholar]
  55. Cohen, J. Statistical Power Analysis for the Behavioral Sciences, 2nd ed.; L. Erlbaum Associates: Hillsdale, NJ, USA, 1988. [Google Scholar]
  56. Piedmont, R.L. Inter-item Correlations. In Encyclopedia of Quality of Life and Well-Being Research; Michalos, A.C., Ed.; Springer: Dordrecht, The Netherlands, 2014; pp. 3303–3304. [Google Scholar]
  57. Rosseel, Y. lavaan: An R Package for Structural Equation Modeling. J. Stat. Softw. 2012, 48, 1–36. [Google Scholar] [CrossRef]
  58. Costello, A.B.; Osborne, J. Best Practices in Exploratory Factor Analysis: Four Recommendations for Getting the Most From Your Analysis. Pract. Assess. Res. Eval. 2005, 10, 1–9. [Google Scholar]
  59. Gaskin, C.J.; Happell, B. On exploratory factor analysis: A review of recent evidence, an assessment of current practice, and recommendations for future use. Int. J. Nurs. Stud. 2014, 51, 511–521. [Google Scholar] [CrossRef] [PubMed]
  60. Steiner, M.D.; Grieder, S.G. EFAtools: An R package with fast and flexible implementations of exploratory factor analysis tools. J. Open Source Softw. 2020, 5, 252. [Google Scholar] [CrossRef]
  61. Lüdecke, D.; Ben-Shachar, M.S.; Patil, I.; Waggoner, P.; Makowski, D. performance: An R Package for Assessment, Comparison and Testing of Statistical Models. J. Open Source Softw. 2021, 6, 03139. [Google Scholar] [CrossRef]
  62. Hayes, A.F.; Cai, L. Using heteroskedasticity-consistent standard error estimators in OLS regression: An introduction and software implementation. Behav. Res. Methods 2007, 39, 709–722. [Google Scholar] [CrossRef]
  63. Wickham, H. ggplot2: Elegant Graphics for Data Analysis; Springer: New York, NY, USA, 2016. [Google Scholar]
  64. Kamradt, M.; Bozorgmehr, K.; Krisam, J.; Freund, T.; Kiel, M.; Qreini, M.; Flum, E.; Berger, S.; Besier, W.; Szecsenyi, J.; et al. Assessing self-management in patients with diabetes mellitus type 2 in Germany: Validation of a German version of the Summary of Diabetes Self-Care Activities measure (SDSCA-G). Health Qual. Life Outcomes 2014, 12, 185. [Google Scholar] [CrossRef]
  65. Graffigna, G.; Barello, S.; Bonanomi, A.; Lozza, E.; Hibbard, J. Measuring patient activation in Italy: Translation, adaptation and validation of the Italian version of the patient activation measure 13 (PAM13-I). BMC Med. Inform. Deci. Mak. 2015, 15, 109. [Google Scholar] [CrossRef]
  66. Maindal, H.T.; Sokolowski, I.; Vedsted, P. Translation, adaptation and validation of the American short form Patient Activation Measure (PAM13) in a Danish version. BMC Public Health 2009, 9, 209. [Google Scholar] [CrossRef]
  67. Sousa, V.D.; Zauszniewski, J.A.; Zeller, R.A.; Neese, J.B. Factor analysis of the Appraisal of Self-care Agency Scale in American adults with diabetes mellitus. Diabetes Educ. 2008, 34, 98–108. [Google Scholar] [CrossRef] [PubMed]
  68. Fok, M.S.; Alexander, M.F.; Wong, T.K.; McFayden, A.K. Contextualising the appraisal of Self-care Agency Scale in Hong Kong. Contemp. Nurse. 2002, 12, 124–134. [Google Scholar] [CrossRef] [PubMed]
  69. Stacciarini, T.S.; Pace, A.E. Confirmatory factor analysis of the Appraisal of Self-Care Agency Scale-Revised. Rev. Lat. Am. 2017, 25, e2856. [Google Scholar] [CrossRef] [PubMed]
  70. Colomer-Pérez, N.; Useche, S.A. Self-care appraisal in nursing assistant students: Adaptation, validation and psychometric properties of the Spanish ASAS. PLoS ONE 2021, 16, e0260827. [Google Scholar] [CrossRef]
  71. RKI. Welche Auswirkungen hat der demografische Wandel auf Gesundheit und Gesundheitsversorgung? Robert Koch Institut: Berlin, Germany, 2015. [Google Scholar]
  72. Greene, A.L.; Eaton, N.R.; Forbes, M.K.; Fried, E.I.; Watts, A.L.; Kotov, R.; Krueger, R.F. Model fit is a fallible indicator of model quality in quantitative psychopathology research: A reply to Bader and Moshagen. J. Psychopathol. Clin. Sci. 2022, 131, 696–703. [Google Scholar] [CrossRef]
Figure 1. Relationship (A) and distribution of ASAS (B) and PAM (C).
Figure 1. Relationship (A) and distribution of ASAS (B) and PAM (C).
Healthcare 10 01785 g001
Table 1. Sociodemographic information.
Table 1. Sociodemographic information.
VariableM (SD)Median (IQR)Rangen
Age51.633 (14.686)47 (59–42)92–19215
Number of Medications3.219 (2.802)3 (4–1)18–0215
Number of Diagnoses1.986 (1.190)2 (2–1)8–1215
Disease Duration13.778 (11.071)12 (20–5)57–0207
ASAS-R Sum52.805 (8.386)53 (58–48)72–20215
PAM Sum40.576 (5.925)40 (45–37)52–20215
ValueCount%n
Gender 215
Male6429.767
Female15170.233
Education 214
Low167.477
Medium11051.402
High8841.121
Marital State 215
Married13964.651
Single5023.256
Divorced/Widowed2612.093
Current Health 215
1 Excellent52.326
2 Very Good2913.488
3 Good7836.279
4 Not Good9041.860
5 Poor136.047
ADL 215
1 Very restricted4621.395
2 A Bit Restricted11352.558
3 Not Restricted5626.047
Note: ADL = activities of daily living, ASAS = Appraisal for Self-Care Agency Scale-Revised, PAM = Patient Activation Measure.
Table 2. Properties of the ASAS-R items (n = 215).
Table 2. Properties of the ASAS-R items (n = 215).
Response Frequencies
Itemr *cor.r *Mean (SD)12345FloorCeiling
10.590.674.2 (0.85)0.010.050.080.470.392 (0.9%)83 (17.7%)
20.630.744.0 (0.83)0.010.040.130.540.273 (1.4%)58 (27.0%)
30.600.694.1 (0.76)0.000.040.100.560.291 (0.5%)63 (29.3%)
40.400.432.6 (1.31)0.220.350.100.240.0948 (22.3%)19 (8.8%)
50.310.383.8 (0.98)0.020.100.180.460.254 (1.9%)53 (24.7%)
60.560.593.5 (1.13)0.030.240.120.430.196 (2.8%)40 (18.6%)
70.390.443.4 (1.27)0.070.230.120.340.2316 (7.4%)50 (23.5%)
80.430.503.7 (1.00)0.030.110.210.450.206 (2.8%)44 (20.5%)
90.310.413.7 (0.91)0.020.080.270.470.155 (2.3%)33 (15.3%)
100.480.583.6 (0.88)0.010.120.290.460.122 (0.9%)26 (12.1%)
110.480.462.7 (1.11)0.110.410.180.250.0523 (10.7%)11 (5.1%)
120.330.394.1 (0.89)0.010.060.080.480.373 (1.4%)79 (36.7%)
130.380.403.9 (0.98)0.020.110.090.540.245 (2.3%)51 (23.7%)
140.460.503.0 (1.26)0.130.300.180.270.1327 (12.6%)27 (21.6%)
150.470.512.5 (1.26)0.220.380.160.150.1047 (21.9%)21 (9.8%)
AStd. αMean (SD)95% CIRangeFloorCeiling
Sum0.820.8352.81 (8.39)0.79–0.8672–200 (0%)0 (0%)
Fac10.800.802.90 (0.91)0.76–0.8525–52 (0.93)2 (0.93)
Fac20.780.794.0 (0.63)0.73–0.8225–51 (0.47)11 (5.12)
Fac30.670.693.60 (0.72)0.59–0.7420–41 (0.47)8 (3.72)
* Note: r = item-total-correlation with item itself excluded, cor.r = item-total correlation corrected for item overlap and scale reliability [51], Fac1-Fac3 = PCA-based factors 1 to 3.
Table 3. Confirmatory factor analysis for the current model.
Table 3. Confirmatory factor analysis for the current model.
Model Fit
Model𝜒2Dfp
Baseline1119.7991
Factor Model155.56374<0.001
CFITLIAICRMSEA95% CIp
0.9210.9037721.3160.0720.056, 0.0870.014
Parameter Estimates
FactorItemEst. (ß)Std. Errorz-valuep95% CI
Factor 1ASAS10.6140.05311.607<0.0010.510, 0.717
ASAS20.7210.04814.980<0.0010.627, 0.815
ASAS30.6020.04613.217<0.0010.513, 0.692
ASAS80.5110.0687.550<0.0010.378, 0.644
ASAS120.3700.0616.023<0.0010.250, 0.490
Factor 2ASAS50.4960.0697.164<0.0010.360, 0.632
ASAS70.5160.0925.631<0.0010.336, 0.696
ASAS90.6280.06110.236<0.0010.508, 0.748
ASAS100.7480.05713.016<0.0010.635, 0.861
Factor 3ASAS40.6840.0887.738<0.0010.510, 0.857
ASAS60.6890.0749.318<0.0010.544, 0.384
ASAS110.6330.0748.579<0.0010.488, 0.777
ASAS141.0750.07414.467<0.0010.929, 1.221
ASAS151.0200.07613.459<0.0010.871, 1.168
Table 4. Linear regression on PAM total score.
Table 4. Linear regression on PAM total score.
PAM
PredictorsEst. (ß)CIp
(Intercept)31.7624.49–39.04<0.001
ASAS-R0.280.20–0.36<0.001
Age−0.00−0.06–0.050.875
Number of Diagnoses−0.55−1.21–0.100.099
Disease Duration0.070.01–0.130.020
Gender: Male0.54−0.96–2.040.479
Education: Medium1.98−0.59–4.540.130
Education: High3.661.05–6.270.006
Health: Very good−7.20−11.61–−2.800.001
Health: Good−7.39−11.66–−3.130.001
Health: Not good−10.09−14.43–−5.75<0.001
Health: Poor−13.65−19.00–−8.30<0.001
ADL: Lightly Restricted−0.01−1.90–1.880.991
ADL: Not Restricted0.36−1.99–2.710.761
Number of Medications0.13−0.16–0.420.381
n = 206, R2/R2 adjusted = 0.476/0.438, AIC = 1220.65, ADL = Activities of Daily Living, ASAS-R = Appraisal for Self-Care Agency Score Revised, CI = 95% Confidence Intervals, PAM = Patient Activation Measure. Significant values are accentuated in bold.
Publisher’s Note: MDPI stays neutral with regard to jurisdictional claims in published maps and institutional affiliations.

Share and Cite

MDPI and ACS Style

Schönenberg, A.; Teschner, U.; Prell, T.; Mühlhammer, H.M. Validation and Psychometric Analysis of the German Translation of the Appraisal of Self-Care Agency Scale-Revised. Healthcare 2022, 10, 1785. https://doi.org/10.3390/healthcare10091785

AMA Style

Schönenberg A, Teschner U, Prell T, Mühlhammer HM. Validation and Psychometric Analysis of the German Translation of the Appraisal of Self-Care Agency Scale-Revised. Healthcare. 2022; 10(9):1785. https://doi.org/10.3390/healthcare10091785

Chicago/Turabian Style

Schönenberg, Aline, Ulrike Teschner, Tino Prell, and Hannah M. Mühlhammer. 2022. "Validation and Psychometric Analysis of the German Translation of the Appraisal of Self-Care Agency Scale-Revised" Healthcare 10, no. 9: 1785. https://doi.org/10.3390/healthcare10091785

APA Style

Schönenberg, A., Teschner, U., Prell, T., & Mühlhammer, H. M. (2022). Validation and Psychometric Analysis of the German Translation of the Appraisal of Self-Care Agency Scale-Revised. Healthcare, 10(9), 1785. https://doi.org/10.3390/healthcare10091785

Note that from the first issue of 2016, this journal uses article numbers instead of page numbers. See further details here.

Article Metrics

Back to TopTop