Abstract
Nomophobia is an emerging phenomenon in the 21st century. Consequently, it results in various health problems, both physical and psychological. The following systematic review and meta-analysis aimed to establish the relationship between nomophobia with anxiety, smartphone addiction, and insomnia. To identify the relevant studies, we searched through several databases. Out of the 1523 studies identified, 16 studies met the inclusion criteria. After conducting the statistical analysis, the results revealed that anxiety r = 0.31 (95% CI: 0.25 to 0.38), smartphone addiction r = 0.39 (95% CI: 0.04 to 0.75), and insomnia r = 0.56 (95% CI: 0.38 to 0.75) are positively associated with nomophobia. Mobile phone usage has become inevitable, even for individuals who use it to a lesser degree than others, to perform simple tasks, such as communicating with others or for educational purposes. It is crucial to raise awareness about the consequences of overusing these devices, including the physical and psychological complications in both the short and long terms.
1. Introduction
Data and contact technologies have become a crucial part of the generation that we live in. People of all ages have access to technological devices, mainly young people, including high school and college students, who use them to play digital games, study, look up information on the internet, and communicate with their peers [1]. This solidifies that mobile devices are not only used for entertainment and social purposes but extend beyond that to serve as an educational platform used at work and school. However, with the escalating use of smartphones come several health-related problems, such as headaches, repetitive strain injuries, decreased attention, poor concentration, muscle tension, depression, sleep problems, anxiety, and body weight changes. With the extensive use of mobile devices nowadays, an emerging condition called nomophobia is arising [2]. This condition is a disorder of the 21st century, occurring because of technological advancements [3]. Although it is recognized as a type of psychological disorder [3], nomophobia is still not listed in the authorized guidelines of psychiatric diagnoses [4].
Nomophobia, also known as “no-mobile-phobia,” is by definition the anxiety and fear experienced by a person when unable to reach or use their mobile device [5]. Individuals have their phones switched on throughout the day and might even take it to bed with them, due to the persistent fear that they will not have access to the messages that will keep them updated about the recent events and experiences delivered through social media [1]. Those with nomophobia prefer communicating through mobile phones rather than face-to-face contact [4].
Researchers have created a number of measures and questionnaires that can be used to quantify mobile phone phobia symptoms [6,7]. These measures often measure how anxious or uncomfortable a person feels when away from their phone, as well as how frequently and intensely they use their phone. The Nomophobia Questionnaire (NMP-Q), which has 20 items and measures many facets of nomophobia, including the fear of losing connectivity, the fear of being unable to speak, and the worry of losing one’s phone, is one regularly used scale [6]. The total score can range from 20 to 140, with higher scores indicating greater levels of nomophobia. Some researchers have suggested using a cutoff score to identify individuals who may be at risk for problematic phone use or nomophobia, but there is no widely agreed upon cutoff score [6]. Participants rank each statement according to how much they agree or disagree with it using a Likert scale [6]. The NMP-Q has a high level of internal consistency and structural validity fitness [6].
In the general adult population (aged 18 years and older), nomophobia is becoming more prevalent, with about 20% displaying mild nomophobia symptoms, 50% demonstrating moderate symptoms, and 20% representing severe symptoms [3]. With the upsurge in the occurrence rate arises the issue of smartphone addiction, insomnia, and anxiety.
The DSM-5 defines anxiety as the excessive worry and apprehensive expectation towards an event or activity lasting at least six months [8]. The anxiety must be excessive and persistent, impacts daily activity, and should not be related to substance abuse or a medical cause. Multiple researches have reported that those who use their mobile phones excessively are more prone to experiencing anxiety episodes when situated at sites with reduced network connection or whenever their phones are out of charge or credits [4].
A person is said to have a smartphone addiction when experiencing an uncontrolled and excessive desire to use the phone when it is out of reach. There are a few studies that shed light on the correlation between nomophobia and smartphone addiction. Regardless, it has been established that nomophobia and smartphone addiction are two related terms in that they share common symptoms but differ in their behaviors towards smartphone use. A positive association between nomophobia and social media addiction was addressed in a study by Yildiz Durak, 2019 in Turkish adolescents. Furthermore, it has been suggested that nomophobia might contribute to smartphone addiction, due to the continuous wish to reach the phone. The opposite is true, where social media addiction can potentially lead to nomophobia because of the constant feeling of anxiousness or fear whenever the smartphone is inaccessible [9].
According to the DSM-5, insomnia is considered a sleep–wake disorder characterized by trouble starting sleep, incapability of preserving sleep, or early morning wakefulness lasting for a minimum of three nights per week for a period of at least three months. The condition should not be due to substance abuse or an underlying mental or medical condition that explains insomnia [10]. Individuals suffering from nomophobia face difficulties sleeping without their mobile phones. A Japanese study looking into the sleeping pattern of mobile phone users after lights are out concluded that it is associated with reduced quality of sleep and lower sleeping hours, potentially leading to insomnia [4].
Several studies investigated the relationship between nomophobia and at least one of the three outcomes, which were smartphone addiction, insomnia, or anxiety, individually, rather than all three outcomes [2,3,6,7,11,12,13]. Therefore, the systematic review and meta-analysis below aimed to establish the relationship between nomophobia, smartphone addiction, insomnia, and anxiety.
2. Materials and Methods
2.1. Search Strategy
The following meta-analysis and systemic review followed the Preferred Reporting Items for Systematic Reviews and Meta-Analyses (PRISMA 2020) standards. Supplemental Material provides the compliance checklist.
A thorough search into the electronic databases was performed, including PubMed (including MEDLINE), PsychINFO, Psychiatry Online, Web of Science, AccessMedicine, Health and Wellness (GALE), ScienceDirect, Cochrane Library (via Ovid), BIOSIS Citation Index, CINAHL, ClinicalKey, EMBASE, PROQUEST Research Library (including ABI/INFORM), Web of Science, and Scopus. The key terms used in the search strategy included “nomophobia” OR “no-mobile-phobia” AND “anxiety” OR “smartphone addiction” OR “internet addiction” OR “digital addiction” OR “social media addiction” OR “insomnia” OR “sleeplessness.” The search involved the published studies between the release date of each database and 15 September 2022. Furthermore, the identified studies’ reference lists were reviewed to find extra relevant studies.
2.2. Inclusion and Exclusion Criteria
The inclusion criteria were (1) nomophobia papers published before the 15 September 2022, (2) original, peer-reviewed studies published in English, (3) articles that assessed the correlation between nomophobia symptoms and at least one of the outcomes of interest (anxiety, smartphone addiction, and insomnia), and (4) participants older than 12 years of age.
The exclusion criteria were (1) studies which were review articles, case reports, conference abstracts, or book chapters, (2) researches not directed towards the correlation between nomophobia symptoms and at least one of the outcomes of interest (anxiety, smartphone addiction, and insomnia), (3) researches that did not include the relevant information required for the successful completion of data analysis, despite reaching out to the authors, and (4) studies with a sample size fewer than 30 participants.
2.3. Data Extraction and Quality Assessment
The eligible studies were provided to two independent reviews to extract the study design, sample characteristics, measures of nomophobia, anxiety, smartphone addiction, insomnia, and correlation coefficients. Disagreements related to what to include or exclude were resolved with a third reviewer. In cases where relevant information was lacking from any of the studies, the article’s author was contacted through email. We evaluated the quality of the studies, including by using the Newcastle–Ottawa Quality Assessment Scale for cross-sectional studies [14].
2.4. Measures
Thirteen measures were utilized in the following study. These measures were classified into three groups: anxiety, smartphone addiction, and insomnia.
2.4.1. Anxiety Outcomes
Seven measures were used to assess anxiety outcomes, which included the Generalized Anxiety Disorder 7-item (GAD-7), which evaluates general anxiety disorder through a seven-item scale, each of which is assessed on a 4-point Likert scale varying from 0 (never) to 3 (almost every day). The overall score is from 0 to 21 and is classified into mild anxiety (5–9), moderate anxiety (10–14), and severe anxiety (>15) [15].
Another measure used was the Social Appearance Anxiety Scale (SAAS), a self-reported questionnaire established by Hart et al. It is a 5-point Likert-type scale that contains 16 items [16].
A third measure was the Hospital Anxiety and Depression Scale (HADS), a self-answered questionnaire developed by Nilchaikovit and colleagues. It contains 14 questions divided into 7 odd-numbered questions linked to anxiety and 7 even-numbered questions allied to depression. It is a Likert scale, where each answer is given a score ranging between 0 to 3, whereas the points in each section range from 0 to 21. The cut point of the total score is as follows: 0–7, no psychiatric disorders; 8–10, high anxiety or depression; and 11–21, anxiety or depression [17].
Additionally, the Hamilton Anxiety Scale (HAM-A) was used. It is a fourteen-item scale. High scores point towards higher levels of anxiety [18]. The Social Interaction and Anxiety Scale (SIAS) was also utilized. The score on this scale ranges from 0–80, where 0–33 indicates normal, 34–42 indicates probable social phobia, and 43–80 indicates probable social anxiety [19].
Furthermore, the Depression, Anxiety, and Stress Scale (DASS) was utilized. The scale comprises of three subscales to assess depression, anxiety, and stress. Each subscale contains 14 statements, and the answers are given on a Likert-type scale from 0 (“did not apply to me at all”) to 3 (“totally or most of the time applied to me”) [20]. Furthermore, the State-Trait Anxiety Inventory (STAI) scale includes 20 items on a 5-point Likert scale [21].
2.4.2. Smartphone Addiction Outcomes
Four measures were used to assess smartphone addiction outcomes, including the Internet Addiction Scale (IAS), a thirty-five-item scale, where each item is given a point from 0 (never) to 4 (very often). The IAS utilizes four symptoms to establish a diagnosis of internet addiction, which are: withdrawal, control problems, functional impairment, and social isolation [22].
Furthermore, the Smartphone Addiction Scale—Short Version (SAS-SV) was also utilized. It contains 10 items and is considered a 6-point Likert scale that ranges from 1 (strongly disagree) to 6 (strongly agree) points [23].
The Digital Addiction Scale (DAS) was one of the scales used. It is a 5-point Likert-type scale. It includes 29 items divided into three factors: factor 1, “game” (items 1–11); factor 2, “social media” (items 12–23); and factor 3, “impact on daily life” (items 24–29) [5]. The scale of social media addiction among adults was also one of the measures used [24].
2.4.3. Insomnia Outcomes
Two measures were used to assess insomnia outcomes. Most of the studies included used the Insomnia Severity Index (ISI), which compromises seven items, with a 5-point Likert scale for each item. The overall score varies from 0 to 28 and is classified as follows: 0–7 (absence of clinically relevant insomnia), 8–14 (threshold insomnia), 15–21 (clinically moderately serious insomnia), and 21–28 (clinically severe insomnia) [25]. The other scale used was the Lebanese Insomnia Scale (LIS-18), which is an 18-item questionnaire formulated in Lebanon. High scores point towards higher levels of insomnia [26].
2.5. Statistical Analysis
The statistical method for analyzing the relationship between two continuous variables over numerous studies is meta-correlation, also known as meta-analysis of correlation coefficient r [27]. Each study’s r between the two variables must be calculated, and these correlation coefficients must then be combined using meta-analytic techniques to obtain a general approximation of the strength of association [27].
To obtain the standardized effect sizes for each correlation coefficient, we applied Fisher’s r-to-z transformation [27]. By transforming the correlation coefficients into a normal distribution, the overall effect size and standard error could be estimated with greater accuracy [27]. We then estimated the overall correlation between the relevant variables in our meta-analysis using these standardized effect values [27].
R software version 4.1.3 was used to perform statistical analyses on all data. Statistical significance was defined as a p-value < 0.05. The ‘metacor’ software was used to carry out the meta-analysis [27]. Results of the meta-correlation analyses were presented visually using the forest plot.
We assessed heterogeneity mainly using the I-squared (I2), H statistic, τ (tau), and τ2 (tau-squared) statistics [28,29]. The I2 statistic quantified the proportion of total variation in effect sizes that was due to heterogeneity rather than chance [29]. We considered I2 values of 25%, 50%, and 75% to represent low, moderate, and high heterogeneity, respectively [29]. The H statistic measured the influence of a single study on the overall results of a meta-analysis [29]. The τ statistic measured the between-study variance in effect sizes and was used to estimate the degree of heterogeneity [28]. A larger τ value indicated greater heterogeneity between studies [28]. The τ2 statistic was the estimated variance of true effects across studies after accounting for sampling error [28].
Publication bias was evaluated using both the Egger’s test and the rank test [30]. We initially created a funnel plot of the effect sizes vs. their standard errors before running the Egger’s test [30]. The intercept and slope were the key variables of interest in a regression study of the effect sizes on their standard errors [30]. Because small studies with erratic effect sizes were absent from the plot, a statistically significant intercept showed the presence of publication bias [30]. In addition, we applied a modified Egger’s test that took into account the relationship between precision and effect size [30].
Assuming no publication bias, we first ranked the effect sizes in ascending order before comparing the observed ranks to the predicted distribution [31]. This was known as the rank test [31]. To calculate the correlation between the observed ranks and their predicted values, we applied the weighted regression method suggested by Peter’s approach [31]. Studies with significant results were more likely to be published and have higher ranks, so a considerable departure from the predicted distribution showed publication bias [31].
We also performed other tests, such as the trim-and-fill method and the funnel plot asymmetry test, to further assess publication bias [32]. We interpreted the results of these tests together to gain a more comprehensive understanding of the potential for publication bias in our meta-analysis [32].
Risk-of-bias plots were created for quality assessment using the ‘robvis’ software [33]. The amount of information contained in each judgment was displayed in a summary plot (weighted). The total risk of bias, as well as the bias risk in each area, was shown in a thorough risk of bias assessment of all studies, which was presented using a traffic light plot.
3. Results
3.1. Study Identification
We identified 1523 studies during the database search that needed screening. Sixteen studies met the eligibility criteria belonging to this study. Figure 1 shows the PRISMA 2020 study flowchart. The initial inter-rater screening accuracy resulted in a 97% agreement rate between the two reviewers. Nevertheless, after discussion and dialogue with a third senior reviewer (HJ), the agreement rate increased to 100%. This indicated that the third reviewer was able to help resolve any discrepancies or disagreements between the initial reviewers, resulting in a consensus on all of the documents or data that were evaluated.
Figure 1.
PRISMA 2020 study flowchart.
3.2. Characteristics of the Included Studies
This meta- analysis included sixteen studies (k = 16, n = 18,209) from nine countries. Study publications ranged from 2018 to 2022. The included studies had sample sizes that ranged from 209 to 5191 participants. The average age of participants ranged from 13 to 33 years. Figure 2 displays a summary plot of the quality assessment, and Figure 3 represents a traffic light plot of the quality assessment of the included studies. Table 1 shows detailed characteristics of the included studies.
Figure 2.
Summary plot of the quality assessment.
Figure 3.
Traffic light plot of the quality assessment of the included studies [1,2,4,5,9,11,12,34,35,36,37,38,39,40,41].
Table 1.
Characteristics of the included studies.
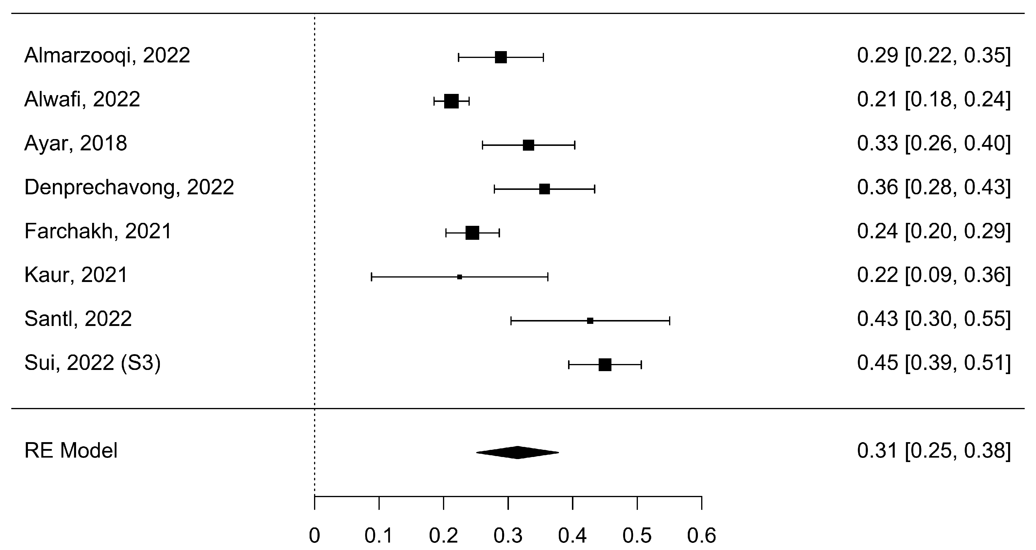
3.3. Nomophobia Symptoms with Anxiety (NSA)
A total of k = 8 studies analyzed nomophobia symptoms with anxiety. The analyzed Fisher r-to-z-transformed correlation coefficients varied from 0.21 to 0.45, with most of the values reported to be positive (100%). The approximated Fisher r-to-z-transformed correlation coefficient, depending on the random-effects model, was =0.31 (95% CI: 0.25 to 0.38), as shown in Figure 4.
Figure 4.
Meta-correlation of nomophobia symptoms with anxiety (NSA) [1,4,11,34,36,38,39,40].
Thus, the estimated outcome fluctuated from zero (z = 9.77, p < 0.0001). The Q-test revealed a heterogeneity of the outcomes (Q (7) = 72.93, p < 0.0001, tau2 = 0.01, I2 = 88.92%). A 95% prediction interval for the actual outcomes was provided from 0.14 to 0.49. Henceforth, regardless of the presence of some heterogeneity, the actual outcomes of the studies will be directed in the same direction as the approximated average outcome. Table 2 displays a summary of the values.
Table 2.
Random effects meta-analysis models of nomophobia.
An inspection into the studentized residuals showed that values larger than ±2.73 were not found in any of the studies. Therefore, there were no outliers in the content of this model. The Cook’s distances demonstrated that none of the studies had a significant impact. Neither the rank correlation nor the regression test designated any funnel plot asymmetry (p = 0.28, and p = 0.46, respectively).
3.4. Nomophobia Symptoms with Smartphone Addiction (NSSA)
Six studies (k = 6) analyzed nomophobia symptoms with smartphone addiction. The analyzed Fisher r-to-z-transformed correlation coefficients varied from −0.05 to 1.15, with most of the values reported to be positive (83%). The approximated Fisher r-to-z-transformed correlation coefficient, depending on the random-effects model, was =0.39 (95% CI: 0.04 to 0.75), as shown in Figure 5.
Figure 5.
Meta-correlation of nomophobia symptoms with smartphone addiction (NSSA) [5,9,11,35,37,41].
Figure 5.
Meta-correlation of nomophobia symptoms with smartphone addiction (NSSA) [5,9,11,35,37,41].

Hence, the approximated outcome varied from zero (z = 2.18, p = 0.03). The Q-test revealed a heterogeneity of the outcomes (Q (5) = 675.17, p < 0.0001, tau2 = 0.20, I2 = 99.32%). A 95% prediction interval for the actual outcomes was provided from −0.54 to 1.33. Although the average outcome was appraised to be positive, in some studies, the actual outcome might be negative. Table 2 displays a summary of the values. An inspection of the studentized residuals showed that one study (Yildiz Durak, 2019 (M1), [41]) had a value more significant than ±2.64 and might be an outlier in the content of this model. The Cook’s distances demonstrated that none of the studies had a significant impact. Neither the rank correlation nor the regression test designated any funnel plot asymmetry (p = 0.72 and p = 0.86, respectively).
3.5. Nomophobia Symptoms with Insomnia (NSI)
Five studies (k = 5) analyzed nomophobia symptoms with insomnia. The analyzed Fisher r-to-z-transformed correlation coefficients varied from 0.26 to 0.74, with most of the values reported to be positive (100%). The approximated Fisher r-to-z-transformed correlation coefficient, depending on the random-effects model, was = 0.56 (95% CI: 0.38 to 0.75), as shown in Figure 6.
Figure 6.
Meta-correlation of nomophobia symptoms with insomnia (NSI) [2,4,11,12].
Figure 6.
Meta-correlation of nomophobia symptoms with insomnia (NSI) [2,4,11,12].

Consequently, the approximated outcome varied from zero (z = 5.94, p < 0.0001). The Q-test revealed a heterogeneity of the outcomes (Q (4) = 141.37, p < 0.0001, tau2 = 0.04, I2 = 97.41%). A 95% prediction interval for the actual outcomes was provided from 0.11 to 1.01. Hereafter, regardless of the presence of some heterogeneity, the actual outcomes of the studies will be directed in the same direction as the approximated average outcome. Table 2 displays a summary of the values. An inspection of the studentized residuals showed that neither of the studies contained values larger than ± 2.58. Therefore, no outliers were detected in the content of this model. The Cook’s distances demonstrated that none of the studies had a significant impact. Neither the rank correlation nor the regression test designated any funnel plot asymmetry (p = 0.21 and p = 0.20, respectively).
4. Discussion
Studies on the symptoms of nomophobia and their relationships to anxiety, smartphone addiction, and insomnia are becoming increasingly common today. It is possible to draw a conclusion about the relationship between nomophobia symptoms and anxiety, smartphone addiction, and insomnia based on direct evidence from cumulative prevalence data. Based on an in-depth literature review and strict inclusion and exclusion criteria, we identified sufficient studies to conduct a meta-analysis analyzing sixteen studies published from 2018 to 2022. This comprehensive review and meta-analysis revealed that symptoms of nomophobia were positively associated with anxiety, smartphone addiction, and insomnia.
Anxiety and nomophobia symptoms were evaluated in our study. The results revealed that nomophobia is associated with higher anxiety levels in most individuals. Our findings are in line with published studies [12,42,43]. Individuals tend to develop repeated anxiety attacks whenever they cannot reach out for their mobile phones to access information or use the services it provides. Consequently, the overuse of these devices tends to influence the academic performance of adolescents and, as a result, potentiates anxiety symptoms.
Furthermore, anxiety symptoms are likely to develop and worsen due to social comparison when adolescents compare their lives to social media figures, perceiving their lives as better than theirs [42]. In this line, a person’s mood may be happy or anxious, depending on the interactions they receive from social media [12], not to mention that adolescents diagnosed with an anxiety disorder are more prone to developing a severe form of dependency on the technologies offered by mobile phones, compared to those without anxiety disorder [42].
Nomophobia symptoms are associated with higher levels of smartphone addiction. Similarly, Buctot et al. revealed that smartphone addiction and nomophobia are positively intercorrelated in the lifestyle profiles of both senior and junior high school students in the Philippines [9]. Additionally, Çobanoğlu et al. revealed that a positive, moderate correlations were established between nomophobia levels, smartphone addiction, and digital addiction levels [44]. This relationship can be explained by those with low self-regulation and self-control skills using their devices uncontrollably, possessing a higher dependency risk [42].
The amount and quality of sleep can be significantly impacted by exposure to blue-light from electronic devices, such as those on laptops, tablets, and cell phones [1,7]. According to one study, people who used electronics for more than four hours before bedtime had more trouble falling asleep and received less restorative sleep than others who did not use them before bed [7].
This systematic review and meta-analysis found a substantial correlation between nomophobia symptoms and insomnia. This conclusion is in agreement with those published by other studies [12,13,45]. Specific mechanisms can explain this association. One factor is related to the blue light theory. Blue light emitted from mobile phones lowers the production of the hormone “melatonin”, which promotes sleep and is present in high amounts before bedtime [12]. A systematic review showed that a 2 h contact with shortwave blue light of 400–450 nanometers was adequate to hinder melatonin production. Melatonin production was resumed after refraining from blue lights for about 15 min. Other hormones that are influenced by blue light include cortisol and several markers of the sympathetic nervous system, such as alpha amylase, which promote the persistence of insomnia symptoms. Furthermore, exposure to blue light also seems to activate the prefrontal cortex, predominantly the ventrolateral and dorsolateral areas, which interfere with sleep by increasing alertness and working memory [43]. Secondly, social media is an unlimited process, meaning there is not a clear distinction between where social media interactions begin and end. Hence, many individuals face issues when they resist responding to their messages. They send messages and await a response, the so-called “waiting feature” [13]. Suppose the wait for a response occurs during normal sleep hours. In that case, it will delay their bedtime, leading to a desynchronized sleeping cycle, ultimately affecting sleep quality and leading to insomnia [12]. Thirdly, social media utilization alters an individual’s mood by lowering or elevating it, which may hinder sleep [43].
To our knowledge, the review and establishment of the connections between nomophobia, smartphone addiction, insomnia, and anxiety is the first systematic review and meta-analysis. Furthermore, the adequate size of the study contributed to more reliable results.
However, there are some limitations to this study, including the fact that it focused solely on the targeted variables without accounting for demographic data, such as social status and occupation. Additionally, our study would be enhanced by identifying the risk factors predisposing an individual to developing these symptoms. Finally, moderator analysis was not performed because the limited number of included studies was small; thus, there was less statistical power to find significant changes across subgroups, which could lead to incorrect conclusions.
5. Conclusions
Nomophobia is a rising condition, due to the advancements in technology occurring nowadays. Furthermore, free access to these technologies for people of all ethnicities and ages increases the prevalence rate, reaching up to 20% for those with mild nomophobia, 50% for those with moderate nomophobia, and 20% for those with severe nomophobia; it becomes crucial to raise awareness about the consequences of overusing mobile phone technologies, namely its association with anxiety symptoms, insomnia, and addiction. Measures to assist young adults in managing their use of mobile technologies is vital to promoting adults’ health and well-being as digital technologies become inevitable in our daily lives.
Supplementary Materials
The following supporting information can be downloaded at: https://www.mdpi.com/article/10.3390/healthcare11142066/s1, PRISMA 2020 Checklist from Ref [46].
Author Contributions
Conceptualization, L.R.D. and H.J.; methodology, L.R.D. and H.J.; software, H.J.; validation, L.R.D., M.A., Y.M.A. and H.J.; formal analysis, H.J.; investigation, L.R.D. and H.J.; resources, Y.M.A. and H.J.; data curation, H.J.; writing—original draft preparation, L.R.D., M.A., Y.M.A. and K.T.; writing—review and editing, L.R.D. and H.J.; visualization, L.R.D. and H.J.; supervision, H.J.; project administration, H.J.; funding acquisition, H.J. All authors have read and agreed to the published version of the manuscript.
Funding
This research received no external funding.
Institutional Review Board Statement
Not applicable.
Informed Consent Statement
Not applicable.
Data Availability Statement
The data are available from the authors upon request.
Conflicts of Interest
The authors declare no conflict of interest.
References
- Ayar, D.; Gerçeker, G.Ö.; Özdemir, E.Z.; Bektas, M. The effect of problematic internet use, social appearance anxiety, and social media use on nursing students’ nomophobia levels. CIN Comput. Inform. Nurs. 2018, 36, 589–595. [Google Scholar] [CrossRef] [PubMed]
- Jahrami, H.; Abdelaziz, A.; Binsanad, L.; Alhaj, O.A.; Buheji, M.; Bragazzi, N.L.; Saif, Z.; BaHammam, A.S.; Vitiello, M.V. The association between symptoms of nomophobia, insomnia and food addiction among young adults: Findings of an exploratory cross-sectional survey. Int. J. Environ. Res. Public Health 2021, 18, 711. [Google Scholar] [CrossRef] [PubMed]
- Jahrami, H.; Trabelsi, K.; Boukhris, O.; Hussain, J.H.; Alenezi, A.F.; Humood, A.; Saif, Z.; Pandi-Perumal, S.R.; Seeman, M.V. The Prevalence of Mild, Moderate, and Severe Nomophobia Symptoms: A Systematic Review, Meta-Analysis, and Meta-Regression. Behav. Sci. 2022, 13, 35. [Google Scholar] [CrossRef]
- Farchakh, Y.; Hallit, R.; Akel, M.; Chalhoub, C.; Hachem, M.; Hallit, S.; Obeid, S. Nomophobia in Lebanon: Scale validation and association with psychological aspects. PLoS ONE 2021, 16, e0249890. [Google Scholar] [CrossRef] [PubMed]
- ÇIRAK, M.; Dost, M.T. Nomophobia in university students: The roles of digital addiction, social connectedness, and life satisfaction. Turk. Psychol. Couns. Guid. J. 2022, 12, 35–52. [Google Scholar] [CrossRef]
- Jahrami, H.; Saif, Z.; Trabelsi, K.; Bragazzi, N.L.; Vitiello, M.V. Internal consistency and structural validity of the nomophobia questionnaire (NMP-Q) and its translations: A systematic review with meta-analysis. Heliyon 2023, 9, e15464. [Google Scholar] [CrossRef]
- Jahrami, H. The Relationship between Nomophobia, Insomnia, Chronotype, Phone in Proximity, Screen Time, and Sleep Duration in Adults: A Mobile Phone App-Assisted Cross-Sectional Study. Healthcare 2023, 11, 1503. [Google Scholar] [CrossRef]
- Arnold, E. Anxiety DSM-5 Diagnostic Criteria and Treatment Overview. Available online: https://pro.psycom.net/assessment-diagnosis-adherence/anxiety (accessed on 21 April 2023).
- Buctot, D.B.; Kim, N.; Kim, S.H. The role of nomophobia and smartphone addiction in the lifestyle profiles of junior and senior high school students in the Philippines. Soc. Sci. Humanit. Open 2020, 2, 100035. [Google Scholar]
- Taft, T. DSM-5 Criteria for Insomnia. Available online: https://psychcentral.com/disorders/insomnia-symptoms (accessed on 21 April 2023).
- AlMarzooqi, M.A.; Alhaj, O.A.; Alrasheed, M.M.; Helmy, M.; Trabelsi, K.; Ebrahim, A.; Hattab, S.; Jahrami, H.A.; Ben Saad, H. Symptoms of Nomophobia, Psychological Aspects, Insomnia and Physical Activity: A Cross-Sectional Study of ESports Players in Saudi Arabia. Healthcare 2022, 10, 257. [Google Scholar] [CrossRef]
- Jahrami, H.; Fekih-Romdhane, F.; Saif, Z.; Bragazzi, N.L.; Pandi-Perumal, S.R.; BaHammam, A.S.; Vitiello, M.V. A social media outage was associated with a surge in nomophobia, and the magnitude of change in nomophobia during the outage was associated with baseline insomnia. Clocks Sleep 2022, 4, 508–519. [Google Scholar] [CrossRef]
- Lin, C.-Y.; Potenza, M.N.; Ulander, M.; Broström, A.; Ohayon, M.M.; Chattu, V.K.; Pakpour, A.H. Longitudinal relationships between nomophobia, addictive use of social media, and insomnia in adolescents. Healthcare 2021, 9, 1201. [Google Scholar] [CrossRef] [PubMed]
- Stang, A. Critical evaluation of the Newcastle-Ottawa scale for the assessment of the quality of nonrandomized studies in meta-analyses. Eur. J. Epidemiol. 2010, 25, 603–605. [Google Scholar] [CrossRef] [PubMed]
- Löwe, B.; Decker, O.; Müller, S.; Brähler, E.; Schellberg, D.; Herzog, W.; Herzberg, P.Y. Validation and standardization of the Generalized Anxiety Disorder Screener (GAD-7) in the general population. Med. Care 2008, 46, 266–274. [Google Scholar] [CrossRef] [PubMed]
- Hart, T.A.; Flora, D.B.; Palyo, S.A.; Fresco, D.M.; Holle, C.; Heimberg, R.G. Development and examination of the social appearance anxiety scale. Assessment 2008, 15, 48–59. [Google Scholar] [CrossRef]
- Nilchaikovit, T. Development of Thai version of hospital anxiety and depression scale in cancer patients. J. Psychiatr. Assoc. Thail. 1996, 4, 18–30. [Google Scholar]
- Hamilton, M. The assessment of anxiety states by rating. Br. J. Med. Psychol. 1959, 32, 50–55. [Google Scholar] [CrossRef]
- Mattick, R.P.; Clarke, J.C. Development and validation of measures of social phobia scrutiny fear and social interaction anxiety. Behav. Res. Ther. 1998, 36, 455–470. [Google Scholar] [CrossRef]
- Lovibond, P.F.; Lovibond, S.H. The structure of negative emotional states: Comparison of the Depression Anxiety Stress Scales (DASS) with the Beck Depression and Anxiety Inventories. Behav. Res. Ther. 1995, 33, 335–343. [Google Scholar] [CrossRef]
- Spielberger, C. Manual for the State-Trait Anxiety Inventory (Form Y). 121; Consulting Psychologists Press: Palo Alto, CA, USA, 1983. [Google Scholar]
- Nichols, L.A.; Nicki, R. Development of a psychometrically sound internet addiction scale: A preliminary step. Psychol. Addict. Behav. 2004, 18, 381. [Google Scholar] [CrossRef]
- Kwon, M.; Lee, J.-Y.; Won, W.-Y.; Park, J.-W.; Min, J.-A.; Hahn, C.; Gu, X.; Choi, J.-H.; Kim, D.-J. Development and validation of a smartphone addiction scale (SAS). PLoS ONE 2013, 8, e56936. [Google Scholar] [CrossRef]
- Şahin, C.; Yağcı, M. Social media addiction scale-adult form: The reliability and validity study. J. Ahi Evran Univ. Kırşehir Fac. Educ. 2017, 18, 523–538. [Google Scholar]
- Morin, C.M.; Belleville, G.; Bélanger, L.; Ivers, H. The Insomnia Severity Index: Psychometric indicators to detect insomnia cases and evaluate treatment response. Sleep 2011, 34, 601–608. [Google Scholar] [CrossRef] [PubMed]
- Hallit, S.; Sacre, H.; Haddad, C.; Malaeb, D.; Al Karaki, G.; Kheir, N.; Hajj, A.; Hallit, R.; Salameh, P. Development of the Lebanese insomnia scale (LIS-18): A new scale to assess insomnia in adult patients. BMC Psychiatry 2019, 19, 421. [Google Scholar] [CrossRef] [PubMed]
- Laliberté, E.; Laliberté, M.E. Package ‘Metacor’, Version 1.0-2.1; The R Foundation: Vienna, Austria, 2009. [Google Scholar]
- Biggerstaff, B.J.; Tweedie, R.L. Incorporating variability in estimates of heterogeneity in the random effects model in meta-analysis. Stat. Med. 1997, 16, 753–768. [Google Scholar] [CrossRef]
- Higgins, J.P.; Thompson, S.G. Quantifying heterogeneity in a meta-analysis. Stat. Med. 2002, 21, 1539–1558. [Google Scholar] [CrossRef]
- Egger, M.; Davey Smith, G.; Schneider, M.; Minder, C. Bias in meta-analysis detected by a simple, graphical test. BMJ 1997, 315, 629–634. [Google Scholar] [CrossRef]
- Lin, L.; Chu, H. Quantifying publication bias in meta-analysis. Biometrics 2018, 74, 785–794. [Google Scholar] [CrossRef]
- Shi, L.; Lin, L. The trim-and-fill method for publication bias: Practical guidelines and recommendations based on a large database of meta-analyses. Medicine 2019, 98, e15987. [Google Scholar] [CrossRef]
- McGuinness, L.A.; Higgins, J.P.T. Risk-of-bias VISualization (robvis): An R package and Shiny web app for visualizing risk-of-bias assessments. Res. Synth. Methods 2021, 12, 55–61. [Google Scholar] [CrossRef]
- Alwafi, H.; Naser, A.Y.; Aldhahir, A.M.; Fatani, A.I.; Alharbi, R.A.; Alharbi, K.G.; Almutwakkil, B.A.; Salawati, E.; Ekram, R.; Samannodi, M. Prevalence and predictors of nomophobia among the general population in two middle eastern countries. BMC Psychiatry 2022, 22, 520. [Google Scholar] [CrossRef]
- Karademir Coskun, T.; Kaya, O. The Distribution of Variables That Affect Nomophobia in Adults’ Profiles. Int. J. Res. Educ. Sci. 2020, 6, 534–550. [Google Scholar] [CrossRef]
- Denprechavong, V.; Ngamchaliew, P.; Buathong, N. Prevalence of Nomophobia and Relationship with Anxiety and Depression among University Students in Southern Thailand. J. Med. Assoc. Thail. 2022, 105, 359–367. [Google Scholar]
- Fidancı, İ.; Aksoy, H.; Ayhan Başer, D.; Yengil Taci, D.; Cankurtaran, M. Evaluation of Nomophobia and Smartphone Addiction Levels among University Students in terms of Alcohol and Drug Abuse Risk. Anatol. J. Fam. Med. 2021, 4, 159–164. [Google Scholar]
- Kaur, A.; Ani, A.; Sharma, A.; Kumari, V. Nomophobia and social interaction anxiety among university students. Int. J. Afr. Nurs. Sci. 2021, 15, 100352. [Google Scholar] [CrossRef]
- Santl, L.; Brajkovic, L.; Kopilaš, V. Relationship between Nomophobia, Various Emotional Difficulties, and Distress Factors among Students. Eur. J. Investig. Health Psychol. Educ. 2022, 12, 716–730. [Google Scholar] [CrossRef]
- Sui, A.; Sui, W.; Irwin, J. Exploring the prevalence of nomophobia in a Canadian university: An environmental scan. J. Am. Coll. Health 2022, 1–8. [Google Scholar] [CrossRef]
- Durak, H.Y. Investigation of nomophobia and smartphone addiction predictors among adolescents in Turkey: Demographic variables and academic performance. Soc. Sci. J. 2019, 56, 492–517. [Google Scholar] [CrossRef]
- Sharma, M.; Mathur, D.M.; Jeenger, J. Nomophobia and its relationship with depression, anxiety, and quality of life in adolescents. Ind. Psychiatry J. 2019, 28, 231. [Google Scholar]
- Bano, N.; Khan, M.A.; Asif, U.; de Beer, J.; Rawass, H. Effects of nomophobia on anxiety, stress and depression among Saudi medical students in Jeddah, Saudi Arabia. J. Pak. Med. Assoc. 2021, 71, 854–858. [Google Scholar]
- Çobanoğlu, A.; Bahadir-Yilmaz, E.; Kiziltan, B. The relationship between nursing students’ digital and smartphone addiction levels and nomophobia: A descriptive, correlational study. Perspect. Psychiatr. Care 2021, 57, 1727–1734. [Google Scholar] [CrossRef]
- Kurnia, E.A.; Satiadarma, M.P.; Wati, L. The Relationship Between Nomophobia and Poorer Sleep Among College Students. In Proceedings of the International Conference on Economics, Business, Social, and Humanities (ICEBSH 2021), Jakarta, Indonesia, 17–18 February 2021; Atlantis Press: Amsterdam, The Netherlands, 2021; pp. 1254–1261. [Google Scholar]
- Page, M.J.; McKenzie, J.E.; Bossuyt, P.M.; Boutron, I.; Hoffmann, T.C.; Mulrow, C.D.; Shamseer, L.; Tetzlaff, J.M.; Akl, E.A.; Brennan, S.E.; et al. The PRISMA 2020 statement: An updated guideline for reporting systematic reviews. BMJ 2021, 372, n71. [Google Scholar] [CrossRef] [PubMed]
Disclaimer/Publisher’s Note: The statements, opinions and data contained in all publications are solely those of the individual author(s) and contributor(s) and not of MDPI and/or the editor(s). MDPI and/or the editor(s) disclaim responsibility for any injury to people or property resulting from any ideas, methods, instructions or products referred to in the content. |
© 2023 by the authors. Licensee MDPI, Basel, Switzerland. This article is an open access article distributed under the terms and conditions of the Creative Commons Attribution (CC BY) license (https://creativecommons.org/licenses/by/4.0/).



