Enhanced Triethylamine-Sensing Characteristics of SnS2/LaFeO3 Composite
Abstract
1. Introduction
2. Experiment
2.1. Preparation of LaFeO3 Nanoparticles and SnS2 Nanosheets
2.2. Synthesis of SnS2/LaFeO3 Composite
2.3. Control Experiment: In Situ Synthesis of SnS2/LaFeO3 Composite
2.4. Characterizations of Gas-Sensitive Materials
2.5. Fabrication of the Gas Sensors
3. Results and Discussion
3.1. Structural and Morphological Characteristics
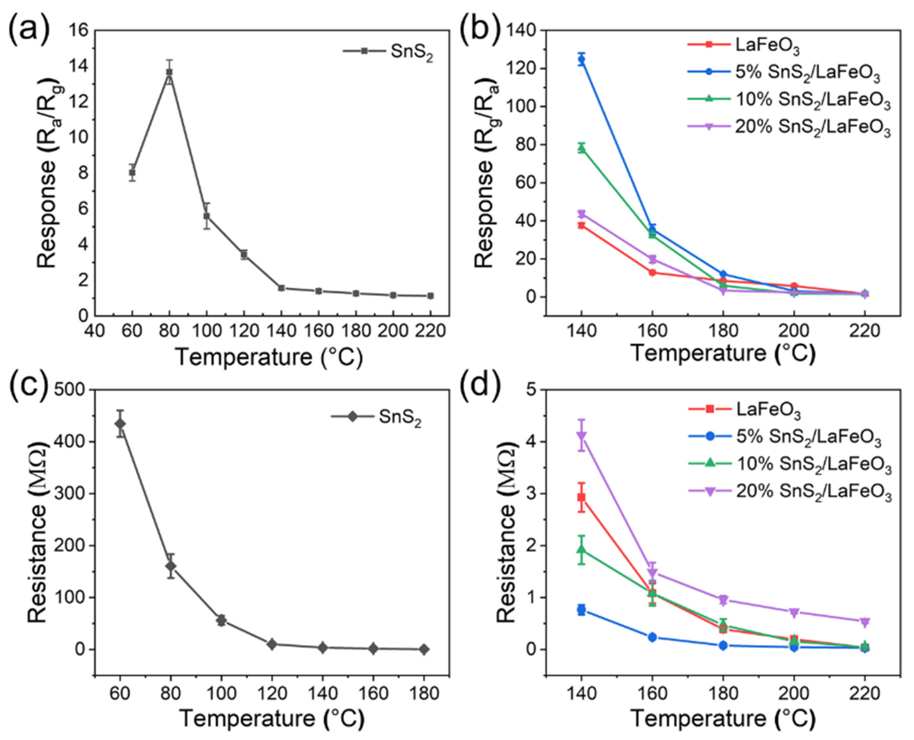
3.2. Gas-Sensing Properties of the Nanomaterials
3.3. Gas-Sensing Mechanism
4. Conclusions
Author Contributions
Funding
Institutional Review Board Statement
Informed Consent Statement
Data Availability Statement
Conflicts of Interest
References
- Banga, I.; Paul, A.; Poudyal, D.C.; Muthukumar, S.; Prasad, S. Recent Advances in Gas Detection Methodologies with a Special Focus on Environmental Sensing and Health Monitoring Applications—A Critical Review. ACS Sens. 2023, 8, 3307–3319. [Google Scholar] [CrossRef] [PubMed]
- Bilge, S.; Dogan-Topal, B.; Yücel, A.; Sınağ, A.; Ozkan, S.A. Recent advances in flower-like nanomaterials: Synthesis, characterization, and advantages in gas sensing applications. TrAC Trends Anal. Chem. 2022, 153, 116638. [Google Scholar] [CrossRef]
- Bulemo, P.M.; Kim, D.-H.; Shin, H.; Cho, H.-J.; Koo, W.-T.; Choi, S.-J.; Park, C.; Ahn, J.; Güntner, A.T.; Penner, R.M.; et al. Selectivity in Chemiresistive Gas Sensors: Strategies and Challenges. Chem. Rev. 2025, 125, 4111–4183. [Google Scholar] [CrossRef] [PubMed]
- Li, Q.; Zeng, W.; Li, Y. Metal oxide gas sensors for detecting NO2 in industrial exhaust gas: Recent developments. Sens. Actuators B Chem. 2022, 359, 131579. [Google Scholar] [CrossRef]
- Zhu, M.; Yang, T.; Zhai, C.; Du, L.; Zhang, J.; Zhang, M. Fast triethylamine gas sensing response properties of Ho-doped SnO2 nanoparticles. J. Alloys Compd. 2020, 817, 152724. [Google Scholar] [CrossRef]
- Wang, H.; Luo, Y.; Li, K.; Liu, B.; Gao, L.; Duan, G. Porous α-Fe2O3 gas sensor with instantaneous attenuated response toward triethylamine and its reaction kinetics. Chem. Eng. J. 2022, 427, 131631. [Google Scholar] [CrossRef]
- Gui, Y.; Tian, K.; Liu, J.; Yang, L.; Zhang, H.; Wang, Y. Superior triethylamine detection at room temperature by {-112} faceted WO3 gas sensor. J. Hazard. Mater. 2019, 380, 120876. [Google Scholar] [CrossRef]
- Pereira, P.F.M.; de Sousa Picciani, P.H.; Calado, V.; Tonon, R.V. Electrical gas sensors for meat freshness assessment and quality monitoring: A review. Trends Food Sci. Technol. 2021, 118, 36–44. [Google Scholar] [CrossRef]
- Wu, K.; Debliquy, M.; Zhang, C. Metal-oxide-semiconductor resistive gas sensors for fish freshness detection. Compr. Rev. Food Sci. Food Saf. 2023, 22, 913–945. [Google Scholar] [CrossRef]
- Zeng, J.; Rong, Q.; Xiao, B.; Yu, R.; Zi, B.; Kuang, X.; Deng, X.; Ma, Y.; Zhang, J.; Wu, J.; et al. Single-atom silver loaded on tungsten oxide with oxygen vacancies for high performance triethylamine gas sensors. J. Mater. Chem. A 2021, 9, 8704–8710. [Google Scholar] [CrossRef]
- Yang, J.; Han, W.; Jiang, B.; Wang, X.; Sun, Y.; Wang, W.; Lou, R.; Ci, H.; Zhang, H.; Lu, G. Electrospinning Derived NiO/NiFe2O4 Fiber-in-Tube Composite for Fast Triethylamine Detection under Different Humidity. ACS Sens. 2022, 7, 995–1007. [Google Scholar] [CrossRef] [PubMed]
- Khan, I.; Sun, N.; Wang, Y.; Li, Z.; Qu, Y.; Jing, L. Synthesis of SnO2/yolk-shell LaFeO3 nanocomposites as efficient visible-light photocatalysts for 2,4-dichlorophenol degradation. Mater. Res. Bull. 2020, 127, 110857. [Google Scholar] [CrossRef]
- Kou, X.; Meng, F.; Chen, K.; Wang, T.; Sun, P.; Liu, F.; Yan, X.; Sun, Y.; Liu, F.; Shimanoe, K.; et al. High-performance acetone gas sensor based on Ru-doped SnO2 nanofibers. Sens. Actuators B Chem. 2020, 320, 128292. [Google Scholar] [CrossRef]
- Lee, J.-H. Gas sensors using hierarchical and hollow oxide nanostructures: Overview. Sens. Actuators B Chem. 2009, 140, 319–336. [Google Scholar] [CrossRef]
- Lee, J.; Jung, Y.; Sung, S.-H.; Lee, G.; Kim, J.; Seong, J.; Shim, Y.-S.; Jun, S.C.; Jeon, S. High-performance gas sensor array for indoor air quality monitoring: The role of Au nanoparticles on WO3, SnO2, and NiO-based gas sensors. J. Mater. Chem. A 2021, 9, 1159–1167. [Google Scholar] [CrossRef]
- Zhang, S.; Song, P.; Zhang, J.; Yan, H.; Li, J.; Yang, Z.; Wang, Q. Highly sensitive detection of acetone using mesoporous In2O3 nanospheres decorated with Au nanoparticles. Sens. Actuators B Chem. 2017, 242, 983–993. [Google Scholar] [CrossRef]
- Hao, P.; Qu, G.-M.; Song, P.; Yang, Z.-X.; Wang, Q. Synthesis of Ba-doped porous LaFeO3 microspheres with perovskite structure for rapid detection of ethanol gas. Rare Met. 2021, 40, 1651–1661. [Google Scholar] [CrossRef]
- Nakhostin Panahi, P.; Rasoulifard, M.H.; Babaei, S. Photocatalytic activity of cation (Mn) and anion (N) substitution in LaCoO3 nanoperovskite under visible light. Rare Met. 2020, 39, 139–146. [Google Scholar] [CrossRef]
- Voznyy, O. Realizing ultra-pure red emission with Sn-based lead-free perovskites. Rare Met. 2020, 39, 330–331. [Google Scholar] [CrossRef]
- Ochoa-Muñoz, Y.H.; Mejía de Gutiérrez, R.; Rodríguez-Páez, J.E.; Gràcia, I.; Vallejos, S. Gas Sensors Based on Porous Ceramic Bodies of MSnO3 Perovskites (M = Ba, Ca, Zn): Formation and Sensing Properties towards Ethanol, Acetone, and Toluene Vapours. Molecules 2022, 27, 2889. [Google Scholar] [CrossRef]
- Xiao, C.; Zhang, X.; Ma, Z.; Yang, K.; Gao, X.; Wang, H.; Jia, L. Formaldehyde gas sensor with 1 ppb detection limit based on In-doped LaFeO3 porous structure. Sens. Actuators B Chem. 2022, 371, 132558. [Google Scholar] [CrossRef]
- Wang, B.; Yu, Q.; Zhang, S.; Wang, T.; Sun, P.; Chuai, X.; Lu, G. Gas sensing with yolk-shell LaFeO3 microspheres prepared by facile hydrothermal synthesis. Sens. Actuators B Chem. 2018, 258, 1215–1222. [Google Scholar] [CrossRef]
- Li, F.; Wang, S.; Wu, Z.; Xiong, X.; Li, J.; Zhou, J.; Gao, X. Excellent ethanol sensor based on LaFeO3 modified with gold nanoparticles. J. Mater. Sci. Mater. Electron. 2021, 32, 27587–27595. [Google Scholar] [CrossRef]
- Xiao, H.; Xue, C.; Song, P.; Li, J.; Wang, Q. Preparation of porous LaFeO3 microspheres and their gas-sensing property. Appl. Surf. Sci. 2015, 337, 65–71. [Google Scholar] [CrossRef]
- Liu, W.-D.; Xiong, Y.; Shen, A.; Wang, X.-Z.; Chang, X.; Lu, W.-B.; Tian, J. SnS2 nanosheets decorated SnO2 hollow multishelled nanostructures for enhanced sensing of triethylamine gas. Rare Met. 2024, 43, 2339–2348. [Google Scholar] [CrossRef]
- Yan, W.; Lv, C.; Zhang, D.; Chen, Y.; Zhang, L.; Ó Coileáin, C.; Wang, Z.; Jiang, Z.; Hung, K.-M.; Chang, C.-R.; et al. Enhanced NO2 Sensitivity in Schottky-Contacted n-Type SnS2 Gas Sensors. ACS Appl. Mater. Interfaces 2020, 12, 26746–26754. [Google Scholar] [CrossRef]
- Dong, X.; Han, Q.; Kang, Y.; Li, H.; Huang, X.; Fang, Z.; Yuan, H.; Elzatahry, A.A.; Chi, Z.; Wu, G.; et al. Rational construction and triethylamine sensing performance of foam shaped α-MoO3@SnS2 nanosheets. Chin. Chem. Lett. 2022, 33, 567–572. [Google Scholar] [CrossRef]
- Xu, X.; Ma, S.; Xu, X.; Pei, S.; Han, T.; Liu, W. Transformation synthesis of heterostructured SnS2/ZnS microspheres for ultrafast triethylamine detection. J. Alloys Compd. 2021, 868, 159286. [Google Scholar] [CrossRef]
- Gao, X.; Li, F.; Wang, R.; Zhang, T. A formaldehyde sensor: Significant role of p-n heterojunction in gas-sensitive core-shell nanofibers. Sens. Actuators B Chem. 2018, 258, 1230–1241. [Google Scholar] [CrossRef]
- Shuai, Y.; Peng, R.; He, Y.; Liu, X.; Wang, X.; Guo, W. NiO/BiVO4 p-n heterojunction microspheres for conductometric triethylamine gas sensors. Sens. Actuators B Chem. 2023, 384, 133625. [Google Scholar] [CrossRef]
- Wu, R.; Liu, T.; Chen, X.; Yin, X.-T. Shape-controlled multi-dimensional In2O3/Mn2O3 p-n heterojunction for triethylamine detection. J. Alloys Compd. 2023, 960, 170527. [Google Scholar] [CrossRef]
- Hao, P.; Song, P.; Yang, Z.; Wang, Q. Synthesis of novel RuO2/LaFeO3 porous microspheres its gas sensing performances towards triethylamine. J. Alloys Compd. 2019, 806, 960–967. [Google Scholar] [CrossRef]
- Ma, N.; Ma, S.; Guo, J.; Fan, G.; Ni, P.; Wang, Y.; Zhu, J.; Wang, H. Enhanced triethylamine sensing with novel WO3 composite SnWO4 nanorod-based gas sensor. Surf. Interfaces 2025, 58, 105870. [Google Scholar] [CrossRef]
- Zhao, Y.; Lu, S.; Lv, M.; Liu, J.; Chen, Y.; Wang, Y.; Zhou, H.; Che, X.; Kang, B.; Zhang, Q. An ultra-sensitive triethylamine sensor based on WO3 modified ErVO4 nanoparticles. Vacuum 2025, 239, 114440. [Google Scholar] [CrossRef]
- Ni, P.; Ma, S.; Cai, Y.; Guo, J.; Fan, G.; Ma, N.; Wang, H.; Wang, Y.; Zhu, J. Triethylamine sensing behavior of p-LaFeO3/n-ZnO composite synthesized by one-step hydrothermal method. Sens. Actuators B Chem. 2025, 442, 138051. [Google Scholar] [CrossRef]
- Dhahri, R.; Benamara, M.; Nassar, K.I.; Elkenany, E.B.; Al-Syadi, A.M. Zinc oxide-based sensor prepared by modified sol–gel route for detection of low concentrations of ethanol, methanol, acetone, and formaldehyde. Semicond. Sci. Technol. 2024, 39, 115021. [Google Scholar] [CrossRef]
- Bharathi, P.; Harish, S.; Shimomura, M.; Krishna Mohan, M.; Archana, J.; Navaneethan, M. Controlled growth and fabrication of edge enriched SnS2 nanostructures for room temperature NO2 gas sensor applications. Mater. Lett. 2023, 335, 133691. [Google Scholar] [CrossRef]
- Liang, H.; Liu, N.; Lin, J.; Meng, Y.; Ni, J.; Gao, B.; Tan, Z.; Song, X.-Z.; Wang, X. Narrow-Band HoFeO3 Nanostructure-Based Gas Sensor for n-Propanol Detection. ACS Appl. Nano Mater. 2024, 7, 7573–7581. [Google Scholar] [CrossRef]
- Shingange, K.; Swart, H.; Mhlongo, G.H. Ultrafast Detection of Low Acetone Concentration Displayed by Au-Loaded LaFeO3 Nanobelts owing to Synergetic Effects of Porous 1D Morphology and Catalytic Activity of Au Nanoparticles. ACS Omega 2019, 4, 19018–19029. [Google Scholar] [CrossRef]
- Wei, H.; Hou, C.; Zhang, Y.; Nan, Z. Scalable low temperature in air solid phase synthesis of porous flower-like hierarchical nanostructure SnS2 with superior performance in the adsorption and photocatalytic reduction of aqueous Cr(VI). Sep. Purif. Technol. 2017, 189, 153–161. [Google Scholar] [CrossRef]
- Liu, Y.; Geng, P.; Wang, J.; Yang, Z.; Lu, H.; Hai, J.; Lu, Z.; Fan, D.; Li, M. In-situ ion-exchange synthesis Ag2S modified SnS2 nanosheets toward highly photocurrent response and photocatalytic activity. J. Colloid Interface Sci. 2018, 512, 784–791. [Google Scholar] [CrossRef] [PubMed]
- Shao, J.; Sun, C.; Liu, H.; He, P.; Liu, Q.; Sun, J.; Li, J.; Pan, G.; Yang, X. Insight into Au functionalization on core-shell LaFeO3 spheres for high-response and selectivity n-butanol gas sensors with DFT study. Sens. Actuators B Chem. 2023, 382, 133506. [Google Scholar] [CrossRef]
- Haron, W.; Wisitsoraat, A.; Wongnawa, S. Nanostructured perovskite oxides—LaMO3 (M=Al, Co, Fe) prepared by co-precipitation method and their ethanol-sensing characteristics. Ceram. Int. 2017, 43, 5032–5040. [Google Scholar] [CrossRef]
- Liu, X.; Hu, J.; Cheng, B.; Qin, H.; Zhao, M.; Yang, C. First-principles study of O2 adsorption on the LaFeO3 surface. Sens. Actuators B Chem. 2009, 139, 520–526. [Google Scholar] [CrossRef]
- Wang, S.; Xiong, H.; Tang, Y.; Zhang, W.; Zhang, Y.; Liu, Q.; Zhang, J. High sensitivity and selectivity triethylamine gas sensor based on ZnO–SmFeO3 molecular imprinted polymers. Mater. Res. Bull. 2023, 161, 112147. [Google Scholar] [CrossRef]
- Zhang, H.; Liu, L.; Huang, C.; Liang, S.; Jiang, G. Enhanced acetone gas sensing performance of ZnO polyhedrons decorated with LaFeO3 nanoparticles. Mater. Res. Express 2023, 10, 095902. [Google Scholar] [CrossRef]
- Cao, E.; Zhang, Y.; Zhang, Y.; Hao, W.; Sun, B.; Sun, L. Acetone sensing characteristics of TiO2-LaFeO3 nanocomposites. Mater. Lett. 2023, 351, 135056. [Google Scholar] [CrossRef]
- Wu, J.; Wu, Z.; Ding, H.; Wei, Y.; Huang, W.; Yang, X.; Li, Z.; Qiu, L.; Wang, X. Three-Dimensional Graphene Hydrogel Decorated with SnO2 for High-Performance NO2 Sensing with Enhanced Immunity to Humidity. ACS Appl. Mater. Interfaces 2020, 12, 2634–2643. [Google Scholar] [CrossRef]
- Wærnhus, I.; Vullum, P.E.; Holmestad, R.; Grande, T.; Wiik, K. Electronic properties of polycrystalline LaFeO3. Part I: Experimental results and the qualitative role of Schottky defects. Solid State Ion. 2005, 176, 2783–2790. [Google Scholar] [CrossRef]
- Wærnhus, I.; Grande, T.; Wiik, K. Electronic properties of polycrystalline LaFeO3. Part II: Defect modelling including Schottky defects. Solid State Ion. 2005, 176, 2609–2616. [Google Scholar] [CrossRef]
- Baek, J.W.; Kim, Y.H.; Ahn, J.; Kim, D.-H.; Shin, H.; Ko, J.; Park, S.; Park, C.; Shin, E.; Jang, J.-S.; et al. Galvanic replacement reaction in perovskite oxide for superior chemiresistors. J. Mater. Chem. A 2022, 10, 23282–23293. [Google Scholar] [CrossRef]
- Ma, Z.; Yang, K.; Xiao, C.; Jia, L. C-doped LaFeO3 Porous Nanostructures for Highly Selective Detection of Formaldehyde. Sens. Actuators B Chem. 2021, 347, 130550. [Google Scholar] [CrossRef]
- Yang, Z.; Su, C.; Wang, S.; Han, Y.; Chen, X.; Xu, S.; Zhou, Z.; Hu, N.; Su, Y.; Zeng, M. Highly sensitive NO2 gas sensors based on hexagonal SnS2 nanoplates operating at room temperature. Nanotechnology 2020, 31, 075501. [Google Scholar] [CrossRef] [PubMed]
- Kumarage, G.W.C.; Jayawardena, S.; Zappa, D.; Shimomura, M.; Comini, E. Unlocking superior acetone sensitivity with Co3O4/ZnO nanowire innovations. Sens. Actuators B Chem. 2025, 431, 137450. [Google Scholar] [CrossRef]
- Vikraman, H.K.; George, J.; Ghuge, R.S.; Painappallil Reji, R.; Jayaraman, S.V.; Kawazoe, Y.; Sivalingam, Y.; Mangalampalli, S.R.N.K. Highly Selective, Room-Temperature Triethylamine Sensor Using Humidity-Resistant Novel TiZn Alloy Nanoparticles-Decorated MoS2 Nanosheets. Small 2025, 21, 2408500. [Google Scholar] [CrossRef]













| Sample | Surface Area (m2 g−1) | Pore Volume (cm3 g−1) | Average Pore Size (nm) |
|---|---|---|---|
| LaFeO3 | 10.165 | 0.075 | 29.434 |
| 5% SnS2/LaFeO3 | 12.433 | 0.086 | 27.582 |
| 10% SnS2/LaFeO3 | 12.768 | 0.078 | 24.544 |
| 20% SnS2/LaFeO3 | 11.295 | 0.077 | 25.339 |
| Sample | OL (%) | OV (%) | OC (%) |
|---|---|---|---|
| LaFeO3 | 66.17 | 26.67 | 7.16 |
| 5% SnS2/LaFeO3 | 65.17 | 31.33 | 3.50 |
| 10% SnS2/LaFeO3 | 65.32 | 28.84 | 5.84 |
| 20% SnS2/LaFeO3 | 65.75 | 27.74 | 6.51 |
Disclaimer/Publisher’s Note: The statements, opinions and data contained in all publications are solely those of the individual author(s) and contributor(s) and not of MDPI and/or the editor(s). MDPI and/or the editor(s) disclaim responsibility for any injury to people or property resulting from any ideas, methods, instructions or products referred to in the content. |
© 2025 by the authors. Licensee MDPI, Basel, Switzerland. This article is an open access article distributed under the terms and conditions of the Creative Commons Attribution (CC BY) license (https://creativecommons.org/licenses/by/4.0/).
Share and Cite
Wu, H.; Wang, X.; Chen, Y.; Wang, X. Enhanced Triethylamine-Sensing Characteristics of SnS2/LaFeO3 Composite. Chemosensors 2025, 13, 228. https://doi.org/10.3390/chemosensors13070228
Wu H, Wang X, Chen Y, Wang X. Enhanced Triethylamine-Sensing Characteristics of SnS2/LaFeO3 Composite. Chemosensors. 2025; 13(7):228. https://doi.org/10.3390/chemosensors13070228
Chicago/Turabian StyleWu, Hong, Xiaobing Wang, Yuxiang Chen, and Xiaofeng Wang. 2025. "Enhanced Triethylamine-Sensing Characteristics of SnS2/LaFeO3 Composite" Chemosensors 13, no. 7: 228. https://doi.org/10.3390/chemosensors13070228
APA StyleWu, H., Wang, X., Chen, Y., & Wang, X. (2025). Enhanced Triethylamine-Sensing Characteristics of SnS2/LaFeO3 Composite. Chemosensors, 13(7), 228. https://doi.org/10.3390/chemosensors13070228

