Abstract
Pyrazoles are five-membered heterocyclic compounds that contain nitrogen. They are an important class of compounds for drug development; thus, they have attracted much attention. In the meantime, pyrazole derivatives have been synthesized as target structures and have demonstrated numerous biological activities such as antituberculosis, antimicrobial, antifungal, and anti-inflammatory. This review summarizes the results of published research on pyrazole derivatives synthesis and biological activities. The published research works on pyrazole derivatives synthesis and biological activities between January 2018 and December 2021 were retrieved from the Scopus database and reviewed accordingly.
1. Introduction
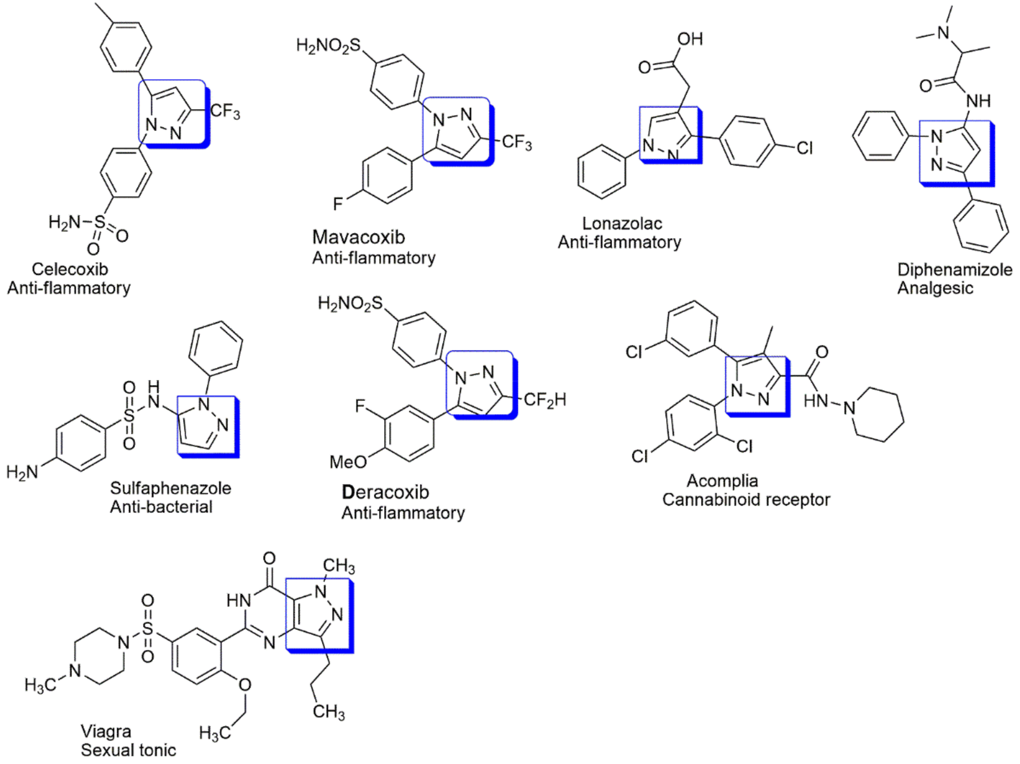
Heterocycles are a fundamental and unique class of compounds; they account for over half of all known organic compounds and have a broad range of physical, chemical, and biological properties, covering a broad spectrum of reactivity and stability [1]. Furthermore, their synthetic usefulness as synthetic intermediates, the protective groups, the chiral auxiliaries, the organocatalysts, and the metallic ligands in the asymmetric catalysts in pharmaceutical agents have rendered them multiple units of interest. Among heterocyclic compounds, five-membered rings containing nitrogen atoms constitute a vast and differentiated group with a broad spectrum of biological activity [2,3,4]. The members of this group, such as pyrazole, imidazole, oxazole, triazole, tetrazole, oxadiazole, thiazole, and isoxazole, are particularly important antibacterial and antifungal agents [3,4,5]. The pyrazole ring is a five-membered heterocycle containing two adjacent nitrogen atoms. It is a moiety found in many molecules that possess many applications. Additionally, naturally occurring pyrazoles and their synthetic derivatives are well-known to have a broad spectrum of biological properties (Figure 1). In recent years, some of the FDA-approved and commercialized drugs, including patented ones, have been developed from pyrazole derivatives (Figure 2), which implies ample usage of these groups in new-fangled bioactive molecules. This review focuses on a concise overview of the pyrazole pharmacophore synthesis and biological activities reported between 2018 and 2021. Thus, it will serve as a helpful reference guide for researchers interested in the field. This review is loosely categorized into chemical synthesis and biological applications. The first section includes the synthesis of pyrazole derivatives, and the second section describes the biological applications.
Figure 1.
Naturally occurring bioactive compounds containing the pyrazole scaffold.
Figure 2.
Some biologically active molecules containing pyrazole conjugates.
2. Synthesis of Pyrazole Derivatives
2.1. Condensation of Hydrazine’s or Similar Nuclei with Carbonyl Functional Group Compounds
2.1.1. Pyrazoles from Vinyl Ketones
The tandem reactions between amine-functionalized enaminones 1 and aryl sulfonyl hydrazine or tosylhydrazone derivatives 2 and 3 in the absence of a metal catalyst have been reported [6]. The synthesis of the substituted pyrazoles 4 and 5 occurred in water, TBHP, and NaHCO3, respectively. In addition, when alkyl-based sulfonyl hydrazine such as methyl sulfonyl hydrazine was incorporated, the reaction was not successful. Additionally, when the reaction was carried out in EtOH and DMF, all the analogs were obtained with a good yield. The expected products with a lower yield were formed by introducing double-ethyl functionalized enaminone (R1 = R2 = ethyl). (see Scheme 1).
Scheme 1.
Synthesis of the substituted pyrazoles using hydrazine [6].
Wan et al. [7] reported a different synthetic route to forming-substituted pyrazole derivatives, including celecoxib (7a), mavacoxib (7b), and deracoxib (7c), respectively. The compounds were synthesized using enaminones and aryl hydrazines in ethanol with acetic acid. The reaction produced regioselective compounds with a high yield. Notably, compared to the other synthetic methods, using fluoroalkylated pyrazoles [8], β-diketones [9], and ynones [10], this method gives an excellent yield, a regioselective product. The synthetic route can be explored to synthesize pyrazole derivatives that are not easy to get from fluoroalkyl β- diketones. (see Scheme 2).
Scheme 2.
Synthetic route to the formation of celecoxib, deracoxib, and mavacoxib using hydrazine [7].
2.1.2. Pyrazoles from 1,3-Diketones
A silver-catalyzed synthesis of 5-aryl-3-trifluoromethyl pyrazoles using N’-benzylidene tolylsulfonohydrazides 8 with ethyl 4,4,4-trifluoro-3-oxobutanoate 9 as precursors has been reported [11]. The reaction involved consecutive nucleophilic addition, intramolecular cyclization, elimination, and finally, [1,5]-H shift. This led to trifluoromethylated pyrazole derivatives 10 with moderate to excellent yields (see Scheme 3). In optimizing the product, the yield improved by increasing the reaction temperature to 60 °C, but increasing the reaction temperature above 60 °C resulted in a lower yield. The Cu(OTf)2 transition catalyst afforded 60% yield, while Fe(OTf)3 was unproductive. THF or dioxane gave a poor yield of the product compared to toluene. Meanwhile, K2CO3 was more effective than NaH, KOt-Bu, and NaOt-Bu. Additionally, the use of Me2phen as a ligand yielded the best performance (>99%), compared to using bpy or phen as a ligand (57% or 92%).
Scheme 3.
Synthesis of 5-aryl-3-trifluoromethyl pyrazole derivatives in the presence of a silver catalyst [11].
Poletto et al. [12] reported the one-pot synthetic strategy for synthesizing highly regioselective α-ketoamide N-arylpyrazoles 28, the secondary β-enamine diketone, and arylhydrazines as precursors. Notably, the intermediate 4-acyl 3,5-dihydroxypyrrolone, produced in situ, went through nucleophilic substitution at C-5 by arylhydrazine. Afterward, heterocyclization occurred at the carbonyl carbon of the acyl group (see Scheme 4).
Scheme 4.
Synthesis of the arylpyrazoles from secondary β-enamino diketone and arylhydrazine [12].
2.1.3. Pyrazoles from Acetylenic Ketones
The merging of substrates with five electron-rich heteroaromatic nuclei interacts with arylhydrazines with the carbonyl group and triple carbon bond. The cyclo-condensation of cross-conjugated enynones 13 with hydrazines has produced pyrazole derivatives 14 and 15 in good yield [13] (see Scheme 5).
Scheme 5.
Synthesis of pyrazole derivatives via the cyclo-condensation of cross-conjugated enynones with hydrazines [13].
2.2. Dipolar Cycloadditions
2.2.1. Pyrazoles from Diazoester
Fang et al. [14] reported the designed and synthesized polysubstituted 4-trifluoromethylpyrazoles using ketones 16 and trifluoroacetyl diazoester 17. The ketones reacted with the terminal nitrogen atom of the trifluoroacetyl diazoester, followed by cyclization, forming 4-trifluoromethylpyrazole derivatives 18–27. Meanwhile, the replacement of DBU with NEt3, NaOt-Bu, CsF, Cs2CO3, and Na2CO3 resulted in a poor yield (see Scheme 6). Notably, dialkyl ketones did not afford the corresponding 4-(trifluoromethyl)pyrazoles 26 and 27, using DBU and NEt3, which could be due to the relative lower reactivity of the α-hydrogen of dialkyl ketones.
Scheme 6.
Synthesis of polysubstituted-4-trifluoromethylpyrazoles using ketones and trifluoroacetyl diazoester [14].
Chen et al. [15] reported a synthetic approach for synthesizing polysubstituted 4-difluoromethyl 28 and perfluoroalkyl 31 pyrazole derivatives. The authors utilized a Lewis acid and base co-mediated reaction of perfluoroacetyl diazoester with ketones (see Scheme 7). Catalysts such as Cu(OTf)2, CuCN, Sc(OTf)3, NiCl2, FeCl3, Fe(OTf)3, CoCl2, and ZnI2 were explored for the optimization of the reaction. Particularly, the Sc(OTf)3 catalyst displayed the best performance with 97% yield in the presence of DBU as the base. Meanwhile, the base, such as Et3N, t-BuOK, K2CO3, and K3PO4, did not give the expected product.
Scheme 7.
Synthetic route to 4-difluoromethyl pyrazole derivatives using Sc(OTf)3 as the catalyst [15].
2.2.2. Pyrazoles from Vinyldiazo Ketones
The synthesis of pyrazole-based triarylmethanes using 2-(1-alkynyl)-2-alken-1-ones and vinyldiazo ketones has been reported [16], as shown in Scheme 8. The first stage of the reaction involved heating vinyldiazo ketones 32 in dichloroethane, which produced 1H-pyrazoles 33, followed by a reaction with enynones 34 to produce pyrazole-based triarylmethanes 35.
Scheme 8.
Synthesis of pyrazole-based triarylmethanes using a gold catalyst [16].
2.2.3. Pyrazoles from Hydrazones
Zhu and colleagues [17] investigated the oxidative coupling reaction of phenylhydrazone 36 and maleimide 37 to synthesize pyrazoles derivatives. The reaction was carried out with CuCl as the catalyst, and dimethylformamide (DMF) was used as a solvent (see Scheme 9 and Scheme 10). In the reaction, it produced 12% yield in the presence of 20 mol% Cu(OAc)2 in dimethylsulfoxide (DMSO) at 80 °C for 2 h. Additionally, other Cu(II) salts did not enhance the reaction. The reaction yielded 86% when CuCl as the catalyst in DMSO was utilized, while Cu(I) salts, mainly CuOAc, CuBr, CuI, and CuSCN, led to product reduction. Moreover, catalysts such as Mn(OAc)3, Ag2 CO3, FeCl3, and Pd(OAc)2 were inefficient.
Scheme 9.
Synthesis of pyrazole derivatives via copper-catalyzed an oxidative coupling reaction [17].
Scheme 10.
Synthesis of the pyrazole derivatives from aldehyde hydrazones via a copper-catalyzed oxidative coupling reaction [17].
An effective protocol for synthesizing pyrazoles derivatives 46 and 49 via an iodine-catalyzed reaction of aldehyde hydrazones with electron-deficient olefins has been reported [18] (see Scheme 11). The transformation of the reaction produced a 35% yield in the presence of 20 mol% I2 and 3.0 equiv of TBHP in DMF at 80 °C. The solvents, such as CH3CN, displayed a moderate yield. When different oxidants were utilized, BPO displayed a superior performance up to an 81% yield compared to TBHP, K2S2SO8, DTBP, BTI, H2O2, and m-CPBA. The product was reduced by replacing molecular iodine with other iodides, such as NaI, NIS, or TBAI.
Scheme 11.
Synthesizing of pyrazoles derivatives via an iodine-catalyzed reaction [18].
A facile one-pot, copper-catalyzed aerobic cyclization has been consecutively used to synthesize the pyrazole derivatives (51 and 54) by Fan and coworkers [19]. In this reaction, β and γ-unsaturated hydrazones were readily available substrates. While O2 acted as the terminal oxidant and economic Cu(I) salt was used as the catalytic agent, CuOTf showed the best performance compared to other employed catalysts such as CuOAc, CuBr, Cu(acac)2, CuOTf, and Cu(OTf)2 (see Scheme 12 and Scheme 13).
Scheme 12.
Synthesis of the pyrazole derivatives in the presence of terminal oxidant and copper salt [19].
Scheme 13.
Synthesis of the pyrazole derivatives from β,γ-unsaturated hydrazones [19].
The intermolecular, thermally activated, and DBU-aided [3 + 2] cycloaddition of pyridin-2-yl-[1,2,4]-triazine dipolarophiles 55 with structurally varied 4-methylbenzenesulfonohydrazides 24 produced 57 as the major isomer with an excellent yield [20] (see Scheme 14).
Scheme 14.
Synthesis of pyrazole derivatives via the dipolar cycloaddition of terminal ethynyl pyridines with tosylhydrazides [20].
Zheng et al. [21] used a metal-free protocol to synthesize pyrazolylthienopyrimidines and other N-heteroaryl pyrazole derivatives 57 from α,β-unsaturated N-tosylhydrazones 103 and N-heteroaryl chlorides 58 under mild reaction conditions. The bi(heteroaryl) pyrazole derivatives were obtained in good to excellent yields (see Scheme 15).
Scheme 15.
Synthesis of pyrazole derivatives from α,β-unsaturated N-tosylhydrazones and N-heteroaryl chlorides [21].
2.2.4. Pyrazoles from Diazo Intermediates and Alkynes
Dimirjian and colleagues [22] developed a synthetic approach for synthesizing fused pyrazoles via an intramolecular reaction. Notably, 1,3-dipolar cycloadditions of diazo intermediates with alkynes 60 produced the spirocyclic product of pyrazole derivatives 62 (see Scheme 16).
Scheme 16.
Synthetic route to the formation of spirocyclic pyrazole via 1,3-dipolar cycloadditions of diazo intermediates with alkynes [22].
2.2.5. Pyrazoles from Vinyl Sulfone
Dihydro-pyrrolo-pyrazoles have been synthesized through a cascade reaction involving cinnamyl azides and vinyl sulfones with moderate to good yields [23]. The protecting group, ethylene sulfone, can be removed by heating the product in pyrrolidine (see Scheme 17). The reaction tolerated a range of solvents such as benzene, acetonitrile, methanol, 1,3-dichloroethene, isopropanol, and dioxane. However, dioxane with triethylamine as a base produced dihydro-pyrrolo-pyrazole excellently compared to dioxane and diisopropyethylamine (DIPEA) or diisopropanolamine (DIPA).
Scheme 17.
Synthesis of dihydro-pyrrolo-pyrazoles from vinyl sulfones [23].
2.2.6. Pyrazoles from Nitro-Olefins
The Rauhut−Currier cyclization reaction was reported for the synthesized trisubstituted pyrazole derivatives [24]. The trisubstituted tetrahydropyrano [2,3-c]pyrazoles were obtained from the domino Rauhut−Currier cyclization reaction. The reaction occurred between alkylidene pyrazolones and nitro-olefins (see Scheme 18).
Scheme 18.
Synthesis of the trisubstituted tetrahydropyrano [2,3-c]pyrazoles domino Rauhut−Currier cyclization reaction [24].
2.2.7. Pyrazoles from Alkynes
A visible light-promoted cascade of Glaser coupling/annulation alkynes and hydrazines has been utilized to synthesize polysubstituted pyrazoles 73 and 75 [25] (see Scheme 19). The replacement of CuI with CuCl, CuCl2, Cu(OTf)2, and Cu(OAc)2 in the reaction using maintaining Ru(bpy)3Cl2 as the photocatalyst did not improve the reaction product.
Scheme 19.
Synthetic route to forming polysubstituted pyrazoles from Glaser coupling/annulation of alkynes with hydrazines [25].
2.2.8. Pyrazoles from Morita−Baylis−Hillman (MBH) Carbonates
Under mild reaction conditions, phosphine-catalyzed domino Morita−Baylis−Hillman (MBH) carbonates with diazenes yielded tetrahydropyrazole-fused heterocycles 78 and 81 with moderate to excellent yields [26] (see Scheme 20). The substitution of tert-butyl (81g) with MBH carbonate was not reactive, probably due to its steric barrier. It is noteworthy that MBH carbonates derived from other aldehydes, namely benzaldehyde, did not function in this reaction.
Scheme 20.
Synthesis of tetrahydropyrazole-fused heterocycles from Morita−Baylis−Hillman (MBH) carbonates [26].
Multicomponent Strategies
A one-pot multicomponent reaction for synthesizing bispyranopyrazole 86 derivatives using MMT K10 as a support heterogeneous catalytic system has been reported [27] (see Scheme 21). Notably, the economic and environmentally friendly catalyst was recycled and reused five times in the reaction, and no lack of activity was observed.
Scheme 21.
Synthesis of bispyranopyrazole under a support heterogeneous catalytic system [27].
Alizadeh-Kouzehrash et al. [28] reported new N-fused pyrazole derivatives 91 via an efficient one-pot multicomponent reaction. Using a cheap catalyst, namely 4-toluenesulfonic and ethanol, as a green organic solvent (see Scheme 22), the best yields were reached in ethanol as a solvent under the reflux temperature, and in the absence of a catalyst, the yields percentage of reactions were reduced.
Scheme 22.
Synthesis of fused pyrazole derivatives using 4-toluenesulfonic as the catalyst [28].
3. Miscellaneous
The synthetic route to JNJ-18038683 83 and other fused pyrazole derivatives were reported by Dvorak et al. [29]. Two synthetic routes were employed to construct the fused pyrazole-azepine heterocyclic core (see Scheme 23, Scheme 24 and Scheme 25). In the reaction path to pyrazole triflate 107, a bi-phasic solvent system of toluene/water was optimal, and no triflate hydrolysis was identified. Meanwhile, the displacement of the BOC-protecting group was achieved by treating 107 with trifluoroacetic acid to give the free base of the amine. Subsequently, the free base was converted into citrate salt, and the salt formation was then performed with a free base and citric acid in methanol. The final recrystallization yielded clinical candidate 108 as a nonhygroscopic free-flow powder.
Scheme 23.
Synthetic route to the formation of fused pyrazole [29].
Scheme 24.
Synthetic route to the formation of pyrazole triflate using N-phenyltriflamide in pyridine [29].
Scheme 25.
Synthetic route to the formation of the JNJ-18038683 heterocyclic compound [29].
1H-pyrazole-5-amines were obtained from the microwave reaction of arylhydrazines 108 with 3-aminocrotonitrile 109 in moderate to excellent yields after 10 min of irradiation [30]. In addition, the reaction of phenylhydrazine 110 with α-cyanoketones 110 under similar conditions produced many functionalized 1H-pyrazole-5-amines. Meanwhile, the m-nitrophenyl and p-nitrophenyl-3-oxopropanenitrile substituents did not react with phenylhydrazine, even at a longer heating time. However, the reaction conditions tolerated other functionalized aromatic groups such as trifluoromethyl and methyl sulfone (see Scheme 26).
Scheme 26.
Synthesis of pyrazole derivatives via the microwave reaction of arylhydrazines with 3-aminocrotonitrile [30].
4. Biological Activity of Pyrazole Derivatives
4.1. Anti-Inflammatory
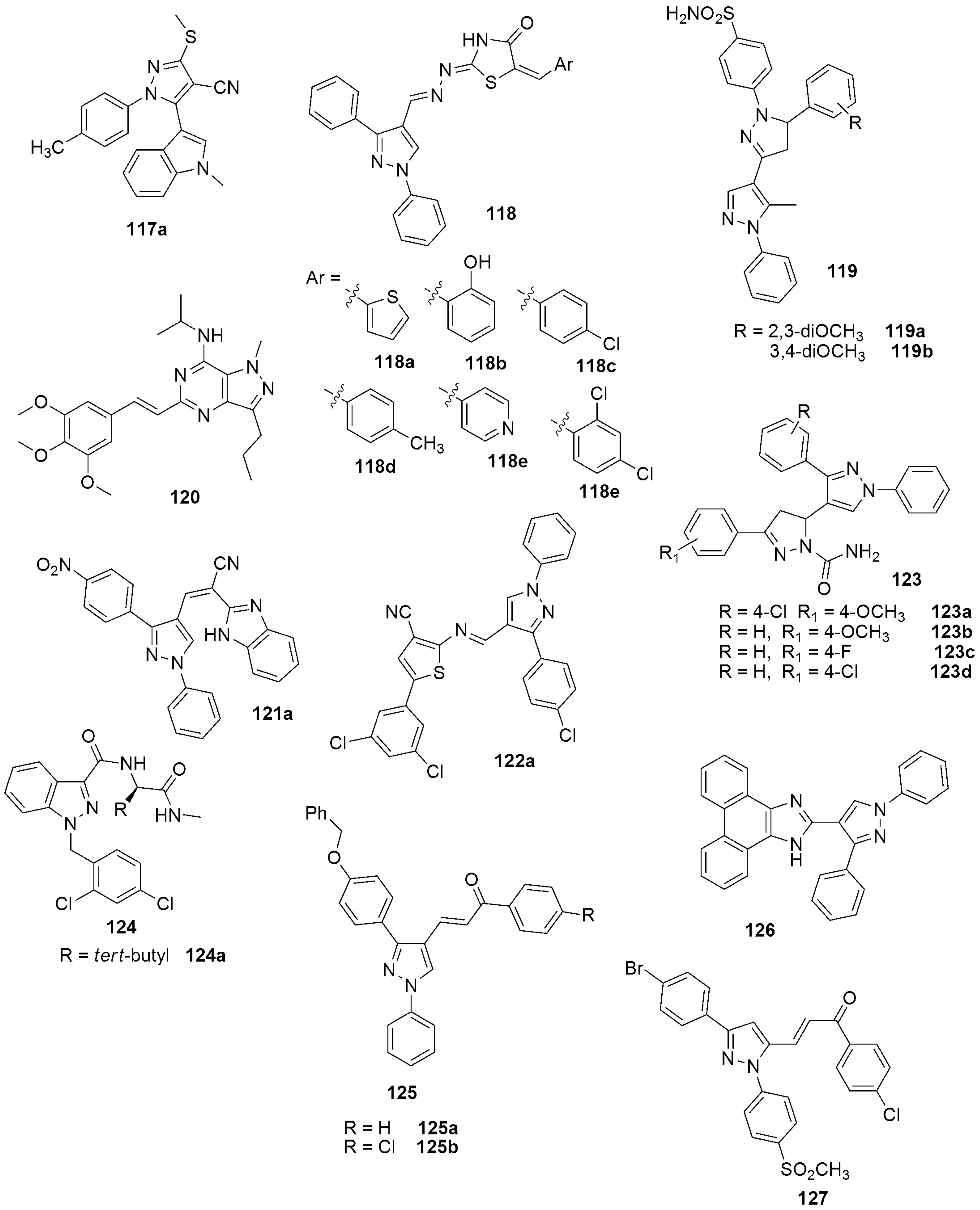
Bhale et al. [31] reported synthesizing 1,3,4,5-tetrasubstituted pyrazole derivatives and their in vitro anti-inflammatory effect (see Figure 3). Compound 117a showed excellent inhibition (93.80%) compared to the standard diclofenac sodium (90.21%) at a 1 mM concentration. El-Karim et al. [32] reported compounds 118a–118f (edema inhibition% = 98.16%, 96.73%, 88.81%, 81.5%, 76.17%, and 76.68%, respectively) as potent candidates producing rapid onset and a long duration of anti-inflammatory activity, as well as a good safety GIT profile. Meanwhile, the analgesic evaluation revealed that 118b–118e produced potent and long-acting analgesia accompanied by a significant inhibition of the inflammatory cytokine TNF-α level compared to the standard drugs. The inhibition in the protein denaturation of bovine albumin with IC50 of 34.1 μg/mL using diclofenac sodium as the standard drug (IC50 = 31.4 μg/mL). Out of the 15 novel compounds synthesized by Akhtar et al. [33], 123a–123d demonstrated a significant in vitro anti-inflammatory activity, with IC50 values of 71.11, 81.77, 76.58, and 73.35 μg/mL, respectively, compared with the standard diclofenac. The benzylidene substituent attached remarkably influenced the anti-inflammatory potency. Abdellatif et al. [34] synthesized a new series of pyrazole derivatives. The inhibition efficacy of the target compounds to ovine COX-1 and human recombinant COX-2 was analyzed using an immune enzyme assay (EIA) kit. Most of the tested compounds showed high COX-2 inhibitory activity with IC50 values ranging from 0.02–0.04 μM. Meanwhile, 119a and 119b had the most suitable COX-2 selectivity index (SI = 462.91 and 334.25, respectively), superior to celecoxib (SI = 313.12) and indomethacin (SI = 1.37). Compounds 119a and 119b (SO2NH2 as the selective COX-2 pharmacophore) also showed the highest anti-inflammatory activity (ED50 = 136 and 126 μmol/kg, sequentially). In addition, they have the lowest ulcerogenic liability (Ulcer Index = 1.25 and 1.00, respectively), reflecting their expected safe GI profiles. Shi and coworkers [35] discovered 120 as the most potent anti-inflammatory agent (IC50 = 3.17 μM), with low toxicity and strong inhibitory NO release (inhibitory rates (IR) = 90.4% at 10 μM). This compound also showed potent inhibition of iNOS with an IC50 value of 1.12 μM. The treatment of compound 120 on acute inflammatory models in AA rats displayed a remarkable inhibitory effect on hind paw swelling and body weight loss, comparable to the effect identified in the aspirin-treated group. Of all the compounds investigated by Sivaramakarthikeyan et al. [36], the para-nitrophenyl moiety linked to a pyrazole conjugate 121 (93.53 ± 1.37%) displayed the highest anti-inflammatory activity in the anti-inflammatory assay using the protein denaturation method. This is superior to the standard, diclofenac sodium (90.13 ± 1.45%). Nayak et al. [37] revealed that compound 122a showed remarkable sodium and celecoxib, which showed IC50 values of 55.65 and 44.81 μg/mL, respectively. The potent compounds were further evaluated for their in vitro COX-2 inhibitory activities using an enzyme immunoassay. Compound 123d demonstrated able selectivity toward COX-2 with a selectivity index (SI) of 80.03 compared with the standard celecoxib, with an SI of 95.84. Dimmito et al. [38] reported that compound 124a displayed a good analgesic effect after subcutaneous and intracerebroventricular management in vivo. Additionally, 124a showed an excellent anti-inflammatory effect after subcutaneous administration, indicating prospective activity at the periphery. Harras and colleagues [39] synthesized a series of pyrazole derivatives and evaluated their in vitro COX-1/COX-2 inhibition and in vivo anti-inflammatory activity using the carrageenan rat paw edema model. It was noted that the targeted compounds exhibited more potent inhibitory activity against COX-2 than COX-1. Meanwhile, all compounds’ selectivity indexes (SI) were analyzed and compared to celecoxib (SI = 8.17). Compounds 125a and 125b displayed an outstanding COX-2 selectivity index of 8.22 and 9.31, respectively. Meanwhile, the histopathological investigation of the rats’ stomach, liver, and kidneys revealed that 125a and 125b triggered minimal degenerative changes, suggesting these derivatives’ safety. Sivaramakarthikeyan et al. [40] reported the anti-inflammatory activity of the pyrazole derivatives. The derivative, lacking substitution on the aryl entity 126, exhibited the highest anti-inflammatory profile. Abdellatif et al. [41] synthesized a series of substituted pyrazole derivatives. The targeted compounds were screened for their COX-1/COX-2 inhibitory activity. Additionally, the carrageenan-induced rat paw edema model and histopathological study were demonstrated to examine their anti-inflammatory effectiveness and gastric safety. Compound 127 was the most potent anti-inflammatory agent (ED50 = 65.6 μmol/kg) compared to the reference drug, celecoxib (ED50 = 78.8 μmol/kg). In addition, the potent compound possessed minimum ulcerogenic (Ulcer Index = 7.25) Figure 3.
Figure 3.
Structures of pyrazole derivatives with anti-inflammatory activity.
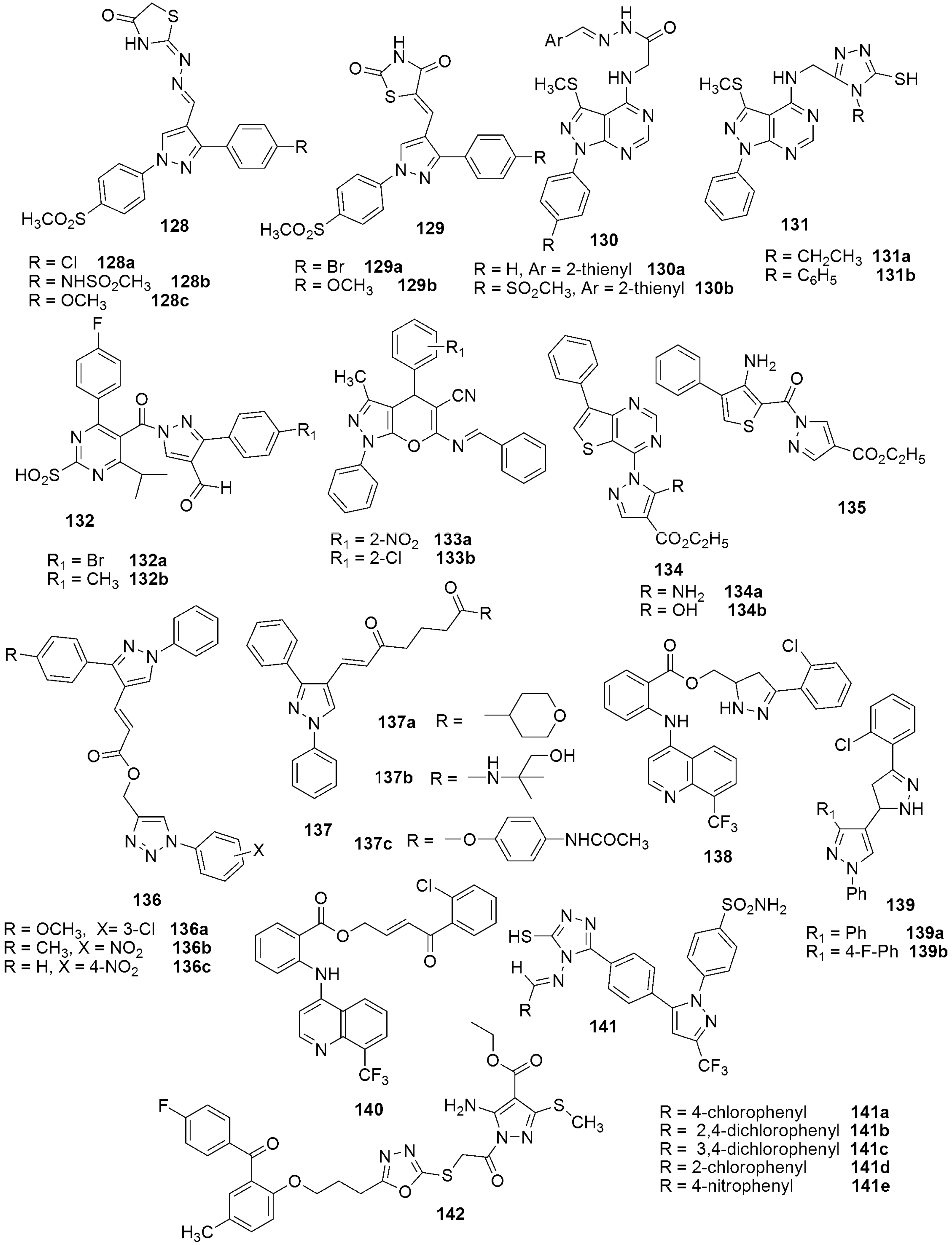
A new series of thiazolidindione 128 and thiazolidinone 129 containing a pyrazole core has been synthesized as hybrid structures [42]. The synthesized compounds were further evaluated for COX-1/COX-2 in vitro anti-inflammatory activity and ulcerogenic liability (Figure 3). The most COX-2-selective derivatives 128a and 128b and 129a and 129b showed the highest anti-inflammatory activities and the lowest ulcerogenic. Among the potent compounds, the thiazolidindione with a methoxy substituent 129b displayed excellent activity against COX-2 (IC50 = 0.88 μM) with the highest COX-2 selectivity index (SI = 9.26). While compound 128c with a methoxy substituent displayed the highest potent inhibitory against COX-2 (IC50 = 0.62 μM) with the highest COX-2 selectivity index (SI = 8.85). The highest anti-inflammatory (AI) activities were observed in 129a and 128b (after 1 h, AI = 82.34 and 81.15%; after 3 h, AI = 79.00 and 97.68%; and after 5 h, AI = 80.15 and 97.68%, respectively). Additionally, 128a was slightly more potent (ED50 = 79.12 μmol/kg) than celecoxib (ED50 = 82.2 μmol/kg), while 128b showed a superior ED50 value of 5.63 μmol/kg with a more than 14-fold effectiveness of celecoxib. Some pyrazolopyrimidine hybrids were prepared using Schiff base by Abdelall and coworkers [43]. All the synthesized compounds were evaluated in vivo against carrageenan-induced rat paw edema as anti-inflammatory agents. Regarding the anti-inflammatory activity compounds, 130 and 131 showed excellent activity compared to celecoxib. Thangarasu et al. [44] reported the anti-inflammatory effect of pyrazole moieties, and compound 132b was found to have dominated activity potentials with an IC50 value of 3.5 nM in the COX-2 inhibition studies.
Murahari et al. [45] designed and synthesized novel pyrazole-based derivatives using the ligand-based approach. Among the synthesized compounds, 133 showed excellent in vivo anti-inflammatory activity with 0.8575 mmol/kg as ED50. The design and synthesis of novel thiophene–pyrazole hybrids have been investigated [46]. The thienopyrimidine analogs 134a–134b and the thiophene derivative 135 are promising nontoxic, gastrointestinal-safe anti-inflammatory candidates with good oral bioavailability and physicochemical properties. A series of 1,2,3-triazole-linked 3-(1,3-diphenyl-1H-pyrazol-4-yl)acrylates was synthesized following a multi-step reaction [47] (Figure 4). Three of the evaluated compounds demonstrated significant anti-inflammatory activity, with IC50 values of 60.56, 57.24, and 69.15 μg/mL for compounds 136a–13c, respectively, comparable to the standard diclofenac sodium with an IC50 value of 54.65 μg/mL.
Figure 4.
Structures of the pyrazole derivative with anti-inflammatory activity.
Taher and colleagues [48] reported the synthesis and pharmacologic evaluation of novel pyrazole and pyrazoline derivatives. The study presents the effect of lengthening the carbon chain in different pyrazole derivatives bearing various amine moieties. Their results showed that lengthening of the aliphatic chain in 137a–137c (26.19%, 30.95%, and 28.57%, respectively) led to higher activity. Meanwhile, the cyclization of chalcones into pyrazolines were more potently anti-inflammatory in compounds 138, 139a and 139b (21.43%, 26.19%, and 28.57%. Compounds 138 and 140 exhibited the highest analgesic activity among all the examined compounds (75.9% and 84.5%, respectively). Mustafa et al. [49] presented a novel series of celecoxib derivatives. The in vivo anti-inflammatory activity of the synthesized compounds was evaluated using celecoxib as a reference standard by the paw oedema model on albino Wistars. Most of the compounds showed higher in vivo anti-inflammatory activity compared to celecoxib. Different substituents on the triazole moiety played a crucial role in the percentage inhibition of anti-inflammatory effects at 1h. Derivatives with chlorine atoms 141a–141d and the nitro derivative 141e showed good anti-inflammatory potency (Figure 4). A series of novel benzophenones conjugated with an oxadiazole sulfur bridge pyrazole has been designed, synthesized, and characterized [50]. It was afterward evaluated for anti-inflammatory and analgesic effects. Among the series, compound 142 (65.38% edema inhibition) with an electron-withdrawing group (fluoro) at the para position of the benzoyl ring of benzophenone was characterized by great activity compared to the standard drug. The analgesics activity data also revealed that compound 142 was the highest potent compound among the compounds evaluated for an analgesic effect on the acetic acid-induced writhing response and thermal pain (see Figure 4).
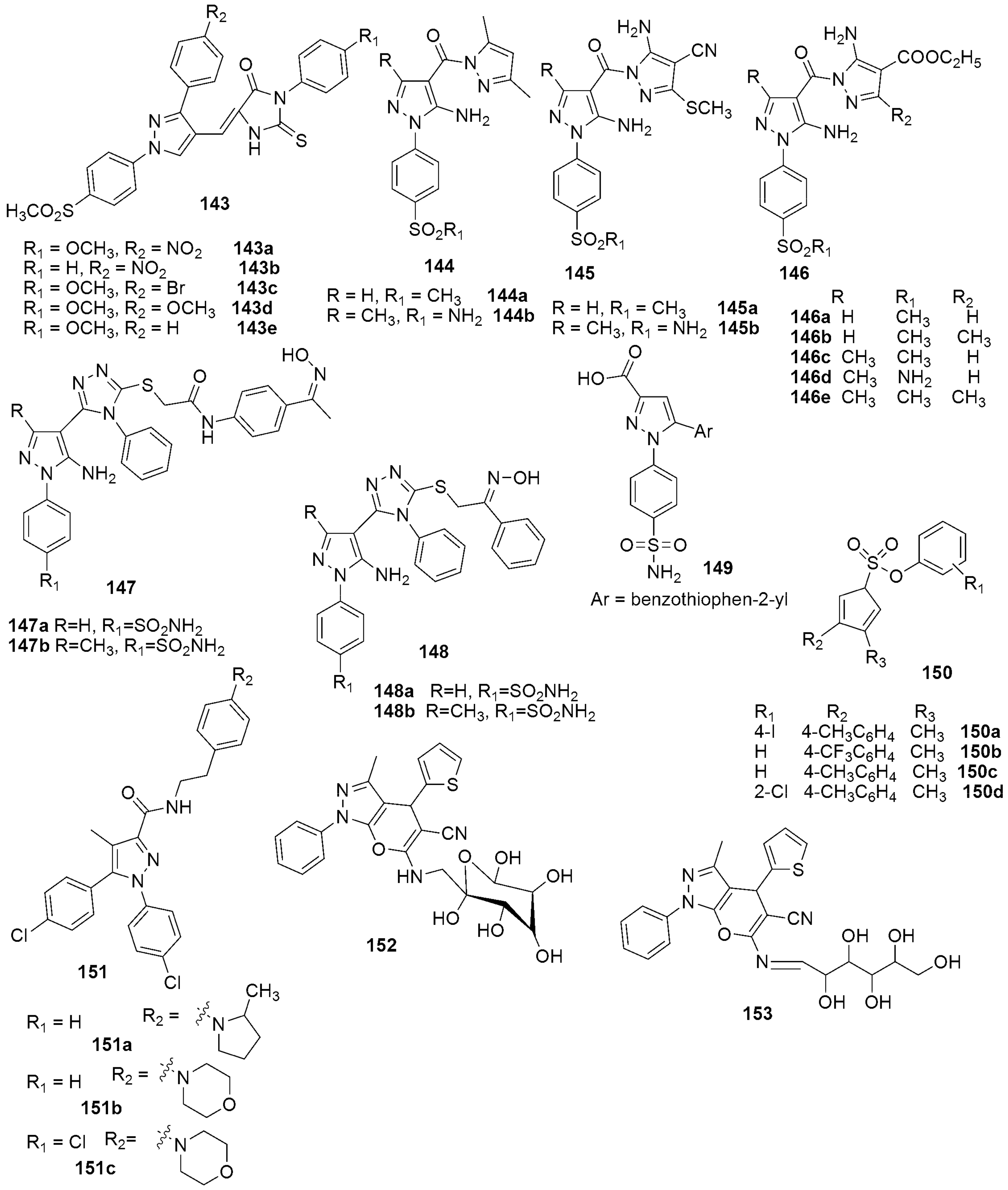
A novel series of pyrazole hybrids, such as pyrazole-thiohydantoin and pyrazole-methylsulfonyl, was synthesized by Abdellatif et al. [51]. The hybrids were evaluated in vivo for their anti-inflammatory activity (Figure 5). Compounds 143a–143d were found to have the most active anti-inflammation. The unsubstituted 143b and 143d showed comparable ED50 (78.90 and 88.28 μmol/kg) with celecoxib (ED50 = 78.53 μmol/kg), while the methoxy-substituted compounds 143a, 143c, and 143e (ED50 = 62.61, 55.83, and 58.49 μmol/kg, respectively) showed superior activity to celecoxib. Thirteen pyrazole derivatives were synthesized and evaluated for their anti-inflammatory activity (in vitro and in vivo) and ulcerogenic liability [52]. Nine compounds 144–146 exhibited a moderate to high edema inhibition percentage (78.9–96%) than celecoxib (82.8%). Additionally, they were found to have potent COX-2 inhibitory activity, with the IC50 values ranging from 0.034 to 0.052 μM. Compound 145a was the benign pyrazole with respect to the ulcerogenic effect (UI = 0.7) on the stomach, which may be ascribed to its high COX-2 enzyme selectivity (SI = 353.8), while compounds 144a, 145b, and 146a–c exhibited ulcer index values (UI = 0.8–2) comparable to celecoxib. Sulphonyl derivatives 147 and 148 have been reported to be selective for the COX-2 isozyme with COX-2 selectivity indexes of 9.78, 8.57, 10.78, and 10.47, respectively, compared to celecoxib (S.I. = 8.68) [53]. Meanwhile 147 and 148 were observed as excellent anti-inflammatory derivatives with ED50 = 51.51, 46.98, 53.65, and 54.45 μmol/kg better than celecoxib (ED50 = 76.09 μmol/kg). Gedawy et al. [54] reported novel pyrazole sulfonamide derivatives as dual COX-2/5-LOX inhibitors. The benzothiophen-2-yl pyrazole carboxylic acid derivative 149 showed the most potent analgesic and anti-inflammatory activity superior to celecoxib and indomethacin. It showed potent COX-1, COX-2, and 5-LOX inhibitory activities, with IC50 of 5.40, 0.01, and 1.78 μM, respectively, showing a selectivity index of 344.56 superior to the reference standards (see Figure 5).
Figure 5.
Structures of promising pyrazole derivatives with anti-inflammatory and analgesic activity.
A new pyrazole sulfonate series has been reported [55]. Among the series, 4-iodophenyl 5-methyl-3-(p-tolyl)-1H-pyrazole-1-sulfonate 150a and phenyl 5-methyl-3-(4-(trifluoromethyl) phenyl)-1H-pyrazole-1-sulfonate 150b displayed superior anti-inflammatory activity (% inhibition of auricular edemas = 27.0 and 35.9, respectively); while the in vivo analgesic activity of 150c and 150d was more effective with an inhibition of 50.7% and 48.5% separately), and compounds 150a, 150c, and 150d were identified as selective COX-2 inhibitors (SI = 455, 10,497, and >189, respectively). In addition, the acute oral toxicity in vivo analysis showed lethal doses of 50 (LD50) of 150a and 150d to mice to be more than 2000 mg/kg. A novel series of 1,5-diaryl pyrazole-3-carboxamides was synthesized and evaluated against COX-1, COX-2, and sEH enzymes as dual COX-2/sEH inhibitors [56]. The anti-inflammatory activities of compounds 151a–c were superior (edema inhibition percentages of 62%, 71%, and 65%) to the reference drug celecoxib (22%). Compounds 151a–c, the most potent dual COX-2/sEH inhibitors in vitro, displayed the highest analgesic activity, with a % inhibition of 62.68, 71.64, and 67.16, respectively, and potencies 4.66, 5.33, and 5, respectively. Furthermore, compounds 151b and 151c substantially decreased the serum concentration of TNF-α with a % inhibition of 77% and 75%, respectively, when compared to celecoxib (64%). Compounds 152 and 153 have been reported as promising anti-inflammatory agents [57]. The compounds inhibited the lipoxygenase enzyme with IC50 values of 2.17 ± 0.12 and 2.53 ± 0.06 μM, respectively, compared to the standard quercetin (IC50 value = 3.35 ± 0.01 µM) (see Figure 5).
4.2. Anticancer
Compound 5-(5-Bromo-1-methyl-1H-indol-3-yl)-1-(4-cyano-phenyl)-3-methylsulfanyl-1H-pyrazole-4-carbonitrile 117b showed significant cytotoxicity against MCF 7 (GI50 = 15.6 µM) with low cytotoxicity against a normal Vero cell line [31] (see Figure 4). Sivaramakarthikeyan et al. [36] reported that the evaluation of the anticancer potency of the synthesized pyrazole-benzimidazole hybrids revealed that the hybrids bearing a para-fluorophenyl unit tethered at the pyrazole nucleus (121b) showed the highest activity against both the pancreatic cancer cells (SW1990 and AsPCl) with IC50 of 30.9 ± 0.77 and 32.8 ± 3.44 µM compared to the reference compound, gemcitabine 35.09 ± 1.78 and 39.27 ± 4.44 µM. Akhtar et al. [33] revealed that 123b was active against A549, SiHa, COLO205, and HepG2 cancer cell lines, with IC50 values of 4.94, 4.54, 4.86, and 2.09 μM. The potent compound 123b was also nontoxic against normal cells (cell line HaCaT), with an IC50 value greater than 50 μM (see Figure 6).
Figure 6.
Pyrazole hybrids with anticancer activity.
Sivaramakarthikeyan et al. [40] showed that 126 exhibited significant activity against both the pancreatic cell lines—namely, AsPC1 and SW1990—with IC50 values of 30.3 ± 0.45, 32.4 ± 0.65 µM and noncancerous cell—namely, MRC5 with an IC50 value of 55.5 ± 3.50 µM (Figure 3). The synthesis and anticancer evaluation of a series of 1,2,3-triazole linked 3-(1,3-diphenyl-1H-pyrazol-4-yl)acrylates have been carried out [47]. Compound 136b showed the most promising anticancer effects among the synthesized compounds, with IC50 values of 1.962, 3.597, 1.764, and 4.496 μM against the A549, HCT-116, MCF-7, and HT-29 cell lines, respectively. The sulphamoyl derivatives 148a and 148b exhibited the most potent activity, with IC50 of 5.34 and 6.48 μM against A549 and IC50 of 4.71 and 5.33 μM against MCF-7. Additionally, the compounds showed potent activity, with IC50 values of 4.39 and 5.12 μM against HCT-116 and IC50 of 3.66 and 4.37 μM against PC-3 [53]. A further analysis disclosed that compounds 148a and 148b arrested the cell cycle activity on the PC-3 cell line with greater selectivity. Meanwhile, the antiproliferation potency of compounds 148a and 148b on PC-3 cells is due to cell cycle arrest and apoptosis-inducing activity categorized by the Bax/Bcl-2 ratio increase (see Figure 7).
Figure 7.
Structures of pyrazole derivatives with anticancer activity.
Compounds 154–156 were effective VEGFR-2 kinase inhibitors with IC50 of 913.51, 225.17, and 828.23 nM, respectively, compared to sorafenib (IC50 = 186.54 nM) [58]. Further, the cellular mechanistic studies of 156 revealed its promptness towards pre-G1 apoptosis and cell growth termination at the G2/M phase.
A new series of pyrazolo [1,5-a]pyrimidine derivatives has been designed and evaluated for their cytotoxic activities on a human breast adenocarcinoma cell line (MCF-7) and colon cancer cell line (HTC-116) [59]. The results revealed that 157 was the most potent among the tested compounds against HTC-116, with an IC50 value of 1.51 μM, while 158 (IC50 = 7.68 μM) displayed an excellent cytotoxic effect superior to reference doxorubicin against MCF-7. The tetrahydrothiochromeno [4,3-c]pyrazole derivatives were synthesized and evaluated for anticancer activity using MTT [60]. Most of these compounds showed potential anticancer activity and low cytotoxicity on the normal cells in vitro. Compounds 159a and 159b displayed excellent anticancer activity, with IC50 values of 15.43 μM and 20.54 μM towards MGC-803, respectively. Additionally, the potent compounds 159a and 159b induced G2/M cell cycle arrest and apoptosis in MGC-803 cells. New pyrazole Schiff bases containing azo groups 160 have been reported as promising anticancer agents [61]. A new series of novel pyrazole-containing imide derivatives were synthesized and evaluated for their anticancer activities against the A-549, Bel7402, and HCT-8 cell lines [62]. Among the evaluated compounds, 161a–161d exhibited potent inhibitory activity against the A-549 cell line, with IC50 values at 4.91, 3.22, 27.43, and 18.14 μM, respectively, superior to 5-fluorouracil (IC50 = 59.27 μM). Additionally, 161a–161c exhibited substantial inhibitory activity towards the HCT-8 and Bel7402 cell lines (see Figure 7).
The cytotoxic activity of spirocycloadducts and N-arylpyrazole hybrids against the HeLa cancer cell line was evaluated using an MTT assay [63]. Spiro[indenoquinoxaline-pyrrolizidine]-N-arylpyrazole conjugate 162 bearing a p-chlorophenyl substituent exhibited the highest antiproliferative activity against cancer cell line HeLa (IC50 = 1.93 μM). The IC50 is comparable to camptothecin’s standard drug (IC50 = 1.66 μM) (see Figure 7). A novel series of 1,2,3-triazole-pyrazole hybrids were designed and synthesized using the Cu-catalyst [64]. The synthesized compounds were evaluated for anticancer activity using three cancer cell line panels. Compound 163 was the most potent cytotoxic candidate for HepG-2, HCT-116, and MCF-7, with IC50 = 12.22, 14.16, and 14.64 µM, respectively, comparable to the standard drug doxorubicin (IC50 = 11.21, 12.46, and 13.45 µM). Ragab et al. [65] revealed compounds 164 and 165 as promising leads for colon cancer treatment. Compounds 164 and 165 were active against the KM12 cell line, with an IC50 value of 1.73 and 1.21 μM and high selectivity index (SI) (18.82 and 35.49, respectively). Compared to the standard drug 5-FU with an IC50 value of 12.26 μM and SI value of 1.93. The potent compound displayed selective cytotoxic activity against KM12 cells in the annexin V-FITC staining assay.
Mohamady et al. [66] designed and synthesized diarylpyrazole derivatives. The compounds were screened against the MCF7 and HepG2 cell lines. Among the evaluated compounds, 166, which contained a thiophene ring, was observed to have the highest antiproliferative activity against HepG2 cells, with an IC50 of 0.083 μM. The compound caused cell cycle arrest at the G2, and the 7.7-fold increase in caspase-3 confirmed its apoptotic effect on HepG2 cells. Additionally, 166 caused a noticeable decrease in Hsp90 proteins (Akt, c-Met, c-Raf, and EGFR) and a 1.57-fold upsurge in Hsp70.
Pyrazolothiazole-substituted pyridine conjugates were synthesized and evaluated for cytotoxicity activity [67]. Compound 167—namely, 4-amino-7-(2-(1,5-dimethyl-1Hpyrazol-3-yl)-4-methylthiazol-5-yl)-2-oxo-5-(thiophen-2-yl)-1,2-dihydro-1,8-naphthyridine- 3-carbonitrile—has the highest cytotoxicity activity towards PC-3 (IC50 = 17.50 µM), NCI-H460 (IC50 = 15.42 µM) and Hela (IC50 = 14.62 µM), comparable to the anticancer potential of standard drug etoposide (IC50 = 17.15, 14.28, and 13.34 µM, respectively).
Wang et al. [68] investigated a new series of pyrazole-naphthalene derivatives. The synthesized compounds were evaluated for their anticancer activity against breast cancer cell lines (MCF-7). Compound 168 (IC50 = 2.78 ± 0.24 μM), with substituted ethoxy at position 4 of the phenyl ring, exhibited the highest activity, and the activity was 5-fold more active than the reference drug cisplatin (IC50 = 15.24 ± 1.27 μM. Additionally, 168 showed inhibited tubulin polymerization with an IC50 value of 4.6 μM. Mohamed and coworkers [69] recommended cyanoacrylamide compound 169 as a new promising chemotherapeutic agent. The compound exhibited high cytotoxic activity toward colorectal carcinoma. Compounds 170 and 171 displayed excellent antiproliferative activities towards HDAC2, with IC50 values of 0.25 and 0.24 nM, respectively, and CDK2 with IC50 values of 0.30 and 0.56 nM, respectively. The potent compounds 170 and 171 pointedly inhibited the movement of the A375 and H460 cells, arrested the cell cycle in the G2/M phase, and promoted apoptosis in A375, HCT116, H460, and Hela cells, related to proliferating the intracellular reactive oxygen species (ROS) levels. Notably, 170 has good pharmacokinetic properties, with an intraperitoneal bioavailability of 63.6% in ICR mice. Additionally, the compound was effective in vivo for antitumor activity in the HCT116 xenograft model. Thus, the authors proposed compound 171 as a favorable agent for treating malignant tumors. Burgart and colleagues [70] found 4-aminopyrazole derivatives 172a and 172b to be cytotoxic against HeLa cells and human dermal fibroblasts cancer cells. A novel series of pyrazole-arylacetamide hybrids has been synthesized and evaluated for cytotoxicity activity. Compounds 173a and 173b exhibited a potent cytotoxic effect on the MCF-7 cancer cell line, with IC50 values of 0.604 μM and 0.665 μM compared to the standard drug cisplatin (0.636 ± 0.458 μM) (see Figure 7).
Answer et al. [71] synthesized some novel pyrazole hybrids using 5-amino-3-(4-(dimethylamino) phenyl)-1-phenyl-1H-pyrazole-4-carbonitrile as a precursor. Including different nucleophilic and electrophilic compounds, among the synthesized compounds, the anticancer activities of the synthesized compounds 174, 175, 176, and 177 (6.50 ± 0.5, 3.74 ± 0.3, 3.18 ± 0.2, and 8.67 ± 0.9 µM, respectively) exhibited strong cytotoxic activity against MCF-7 and HCT-116 (7.80 ± 0.6, 4.93 ± 0.3, 4.63 ± 0.4, and 10.02 ± 1.0 µM, respectively) (see Figure 7). Hassan et al. [72] synthesized a novel series of pyrazolopyrimidines and screened the compounds against a panel of 60 human cancer cell lines. Compounds, 5-amino-1H-pyrazole-4-carbonitrile derivative 177, pyrazolo [5,1-b]quinazoline-11-carbonitrile derivative 178, and 1-amino-2,4-dihydro-5H-benzo [4,5]imidazo [1,2 c]pyrazolo [4,3-e]pyrimidin-5-one 179 exhibited anticancer activity against some cancer cell lines (Figure 7). Compounds 180a–180c have been reported to displayed anticancer [73] compounds 180a–180c bearing an electron-donating group, such as methoxy substituent at the para position; the 3,4 dimethoxy and 3,4,5 trimethoxy derivatives demonstrated noticeable cytotoxic activity with IC50 values of 0.604 μM, 1.057 μM, and 0.665 μM respectively, against the MCF-7 cancer cell lines.
Thiazolyl pyrazole carbaldehyde hybrids have been synthesized and screened for their in vitro anticancer activity by Mamidala and colleagues [74]. Compound 181 exhibited the highest antiproliferative activity against the HeLa, MCF-7, and A549 cancer cell lines, with IC50 values of 9.05 ± 0.04, 7.12 ± 0.04, and 6.34 ± 0.06 µM, respectively. Raghu et al. [75] designed and synthesized a new series of 1,3,5-triazine-based pyrazole hybrids with anticancer activity targeting the epidermal growth factor (EGFR) tyrosine kinase. Compounds 182a–182c exhibited potent anticancer activity against the MCF-7 (human breast), HepG2 (human liver), HCT116 (human colorectal), PC-3 (human prostate), LoVo (human colon), and LoVo/DX (doxorubicin-resistant) cancer cell lines. According to the EGFR tyrosine kinase test, 182a–182c demonstrated excellent activity, with an IC50 value of 395.1, 286.9, and 229.4 nM. Compared to the reference doxorubicin (63.8 nM) and erlotinib (103.8 nM), compound 182c, with a trifluoromethyl group at the para position on the phenyl rings, exhibited the most potent anticancer activity. Thus, the anticancer activity of the tested compounds was affected by the physicochemical properties of the substituent on the pyrazole-bound phenyl nucleus. Compounds 183a–183c have been reported as promising antiproliferative agents [76]. Suryanarayana et al. [77] synthesized a novel series of dinitrophenylpyrazole-bearing triazole and further investigated their anticancer activity using three tumor cell lines—namely, MCF-7, HeLa, and HeLa Caco-2. Among the synthesized compounds 184a–184c with the methoxy group on the phenyl ring at the ortho, meta, or para position exhibited excellent inhibitory activity against the HeLa (IC50 = 4.0 μM, 5.0 μM, and 6.0 μM) compared to the standard drug combretastatin-A4 (IC50 = 9.0 μM). Compound 185c exhibited excellent inhibitory activity against the MCF-7 cell line, with an IC50 value of 8.0 μM. Compound 185 has been reported as a promising anticancer agent that reduced the level of CDK2, stopped MCF-7 cells in the G0/G1 phase, caused ROS growth, damaged the MMP, and accelerated the apoptosis of MCF-7 cells [78] (see Figure 8). Among the new library of pyrazole derivatives investigated for antiproliferative activity by Signorello and coworkers, compounds 186a and 186b exhibited antiproliferative effectiveness [79]. Compound 186a displayed moderate inhibition (25–30% at 10 μM) toward melanoma (SK-MEL-5, UACC-62) and renal cancer cell lines (UO-31 cancer cell lines). Compound 186b displayed a broad spectrum of action (25–30%) towards leukemia (CCFR-CEM and RPMI-8226), non-small cell lung (NCI-H522), CNS (SF-295 and SNB-75), ovarian (OVCAR-4) and the breast (BT-549 and MDA-MB-468) cancer cell line. Additionally, compound 186b demonstrated 50–60% inhibition towards melanoma (SK-MEL-5 and UACC-62), renal (CAK-1 and UO-31), and prostate (PC-3) cancer cell lines. The water-soluble, BBB4-loaded NPs (BBB4-G4K NPs, 187), achieved from BBB4 in a non-bioactive, polyester-based, lysine-containing fourth-generation cationic dendrimer (G4K) has been reported to have an excellent antibacterial profile and highly selective toward the Staphylococcus genus [80]. The synthesis and biological screening of 5- pyrazolyl urea as potential antiangiogenic compounds were investigated by Morretta et al. [81]. Among the targeted compounds, compound 188a displayed 100% inhibition on leukemia cancer cell lines, while 188b and 188c impeded non-small cell lung cancer cell lines. Compound 188d, similar to the STIRUR-41 pharmacophore, exhibited 40% inhibition in the non-small cell lung cancer cell lines. Additionally, compounds 188e and 188f, containing a trifluoromethyl substituent on the urea moiety, displayed excellent inhibitory activity. Meanwhile, the mechanism of action detailed that 188e may likely exert its antiproliferative activity by targeting different signaling pathways, including ERK/MAPK and phosphatases, or the crosstalk between these two associated intracellular mechanisms. Compound 188e can regulate ERK1/2 phosphorylation and PP1g action.
Figure 8.
Structures of pyrazole derivatives acting as anticancer agents.
4.3. Antibacterial
Nayak et al. [37] reported 122a–122g as promising antibacterial agents (Figure 3). Ebenezer et al. [82] reported a designed and synthesized library of novel pyrazole–imidazo [1,2-α]pyridine scaffolds through a one-pot three-component tandem reaction. All selected compounds (zone of inhibition ˃9 mm) showed excellent bactericidal activity. In most cases, except for MRSA, the activity of the compounds was better than that of the standard ciprofloxacin. Compounds 189a–189e had excellent activity against S. aureus, E. coli, S. typhimurium, K. pneumoniae, and P. aeruginosa, a with minimum bactericidal concentrations (MBC) <0.1 μg/mL. Pyrazoloquinoline derivatives have been synthesized and their antibacterial activity evaluated using the Agar diffusion method [83]. The ketonic compounds 190a and 190b showed activity percentages of 112% and 95% (Streptococcus pneumoniae) and 86% and 83%, respectively (Bacillus subtilis), compared to the standard control. The halogenated ketonic derivative 190b showed improved activity compared to gentamicin (109%), and no activity was observed in Pseudomonas aeruginosa. Hansa and coworkers [84] reported 4-4-(anilinomethyl)-3-[4-(trifluoromethyl)phenyl]-1H-pyrazol-1-ylbenzoic acid derivatives as potent anti-Gram-positive bacterial agents. Many of the evaluated compounds are potent growth inhibitors of Gram-positive bacteria and showed low toxicity of human cultured cells. Among the compounds, 191a and 191b exhibited excellent inhibition against Staphylococcus aureus. A novel series of multi-substituted benzo-indole pyrazole derivatives with antibacterial activity targeting DNA gyrase has been investigated [85]. Compound 192 exhibited excellent antibacterial activity against four drug-resistant E. coli bacteria strains (E564c, E68d, E48e, and E109, respectively) with IC50 values of 7.0 and 17.0, 13.5, and 1.0 μM, respectively. The substitution of fluorine or chlorine at R2 enhanced the bacteriostatic effect. The derivative bearing a Cl atom at R1 and R2 exhibited a superior antibacterial effect. Additionally, compound 192 displayed potent inhibition against DNA gyrase, with IC50 values of 0.10 μM in the in vitro enzyme inhibitory assay. A library of twenty-three novel pyrazole–phenylthiazole hybrids was synthesized and screened for antimicrobial activity against five bacterial species and two fungi [86]. Compound 193 displayed a promising antibacterial effect against the Gram-positive methicillin-resistant Staphylococcus aureus (MRSA) strain with a MIC value of 4 μg/mL. Compound 193 was nontoxic to mammalian cells—namely, human embryonic kidney cells and human red blood cells. All the synthesized compounds except 194 (moderate growth inhibition of 40.8%) showed poor antifungal activity. Analogs of pyrazole–thiazolidinone and pyrazole–thiosemicarbazone were designed using a molecular hybridization approach and further synthesized through a Vilsmeier–Haack approach [87]. The compounds were tested for antimicrobial activity against two Gram-positive bacteria, such as Staphylococcus aureus and methicillin-resistant Staphylococcus aureus. Additionally, four Gram-negative bacteria such as Escherichia coli, Salmonella typhimurium, Klebsiella pneumonia, and Pseudomonas aeruginosa were used in the biological assay. Derivatives 195 and 196 appeared as the most active antimicrobial compounds, with an MBC value of <0.2 μM against MRSA and S. aureus. The presence of 2,4-dichloro group on 195 enhanced its antibacterial activity. A new pyrazole containing isonicotinoyl derivatives from substituted chalcones and isoniazid by using sulfamic acid and their pharmacological activity evaluation have been investigated [88]. All examined compounds showed inferior activity against E. coli. The MIC values divulged that compounds 197a, 197c, and 197d (MIC values = 14, 17, and 14 µM) exhibited good antimicrobial activity against Staphylococcus aureus, while compounds 197a and 197b (MIC values = 14 and 29 µM) displayed superior antimicrobial activity against Pseudomonas aeruginosa. Compounds 197b and 197d (MIC values = 117 and 114 µM) exhibited noticeable activity against Salmonella typhi. Notably, the electro-donating group at the R position improved the antimicrobial activities more than the insertion of the electro-withdrawing group. Additionally, electron-donating substituents at position three enhanced the antimicrobial activity compared to position four. The one-pot reaction of bis-hydrazonoyl bromide with active methylene reagents furnished new bis-thiazolyl-pyrazole derivatives [89]. The insertion of acetyl (COCH3) and methyl (CH3) groups improved the activity of compound 198 against Gram-positive strains with MIC values 2, 8, and 8 μM towards S. aureus, B. subtilis, and E. faecalis, respectively. In comparison, 198 showed moderate antifungal and no substantial activity against Gram-negative strains with MIC > 32 μM. The most potent compound against the Gram-positive bacterial strains was 200 with MIC values of 0.12, 1, and 0.5 μM for S. aureus, B. subtilis, and E. faecalis, respectively, compared to the standard drug vancomycin (1 to 2 μM). The lipophilic aryl substituent at position five and cyano at position four in the pyrazole ring improved the antibacterial activity of 200. Compounds 198, 199b, and 200 exhibited more potent inhibitory activity of DHFR with IC50 values (6.34 ± 0.26, 7.49 ± 0.28, and 3.81 ± 0.16 μM), respectively, compared with Trimethoprim (8.34 ± 0.11 μM). However, bis-1-(thiazol-2-yl)-5-(amino)-1H-pyrazole-4-carbonitrile derivative 199a was revealed to be the least inhibited toward DHFR in comparison to Trimethoprim and other tested derivatives, with an IC50 value 19.38 ± 0.68 μM, and that may be related to the presence of the carboxamide group in position four at the pyrazole ring rather than acetyl or carbonitrile as pyrazole derivatives 198, 199b, and 200. Desai and colleagues [90] synthesized analogs of pyrazole, pyrazoline-clubbed pyridine compounds, and examined their antibacterial and antifungal activities. Among the test compounds, 201a (3-OH) and 201b (4-F) exhibited good activity (MIC = 50 μg/mL) against S. aureus and E. coli, respectively. Compound 201c (2,4-dichloro) showed superior activity (MIC = 12.5 μg/mL) against P. aeruginosa and very good activity (MIC = 25 μg/mL) against S. pyogenes compared to the standard drug ampicillin (100 μg/mL) and chloramphenicol (50 μg/mL). The derivatives bearing electron-donating groups (2-OH, 3-OH, 4-CH3, and 4-OH-3-OCH3) showed significant antifungal and antibacterial activity, while the derivatives bearing electron-withdrawing groups (4-F and 2,4-dichloro) showed an augmentation in the antibacterial potency. Compound 202 has been reported as a promising antibacterial agent (B. cereus, S. aureus, P. aeruginosa, and E. coli) with the closest inhibition zones (17–20 mm) [91] (see Figure 9).
Figure 9.
Structures of promising pyrazole derivatives with antibacterial activity.
4.4. Antifungal
Compounds 201d (4-CH3) and 201e (4-OH-3-OCH3) showed significant antifungal activity towards diverse fungal strains [90]. Compound 201d (4-CH3) displayed significant activity (MIC = 12.5 μg/mL) towards A. niger, and compound 201e (4-OH-3-OCH3) showed excellent activity (MIC = 12.5 μg/mL) against C. albicans and A. clavatus (Figure 9). Othman et al. [92] reported novel heterocyclic hybrids of pyrazole and their antimicrobial activity. Compounds bearing a benzenesulphonamide group fused with 3-methyl-5-oxo-1H-pyrazol-4-(5H)-ylidene) hydrazine 203 and 6-amino-7-cyano-3-methyl-5H-pyrazolo [4,3-c]pyridazine 204 showed significant and broad-spectrum antimicrobial activity. Compound 204 displayed excellent antifungal activity toward A. fumigates with a MIC value of 0.98 µg/mL. While 203 and 205 are equipotent with the reference, amphotericin B against A. fumigates with a MIC value of 1.95 µg/mL exhibited 2-fold decrease in the effectiveness compared to the standard, ciprofloxacin against S. pneumonia (MIC = 1.95 and 0.98 µg/mL, respectively). Compound 203 was equipotent in the antifungal activity with the reference (MIC = 3.9 µg/mL) against C. albicans.
A series of novel pyrazole-thiazole carboxamides were designed, synthesized, and investigated for their antifungal activity [93]. The outcomes showed that compounds 206, 207, and 208 have promising in vitro activities against Rhizoctonia cerealis, with EC50 values from 1.1 to 4.9 mg/L, superior to thifluzamide (EC50 = 23.1 mg/L). The antifungal activity of 207 (EC50 value = 1.1 mg/L was ~21-fold more active than thifluzamide and ~ 2-fold more active than compound 206 (EC50 = 2.0 mg/L). Meanwhile, 208 exhibited excellent antifungal activity towards S. sclerotiorum, with an EC50 value of 0.8 mg/L, which was ~6-fold higher than thifluzamide (EC50 = 4.9 mg/L). The conjugates bearing an aniline moiety with a single substituent at the ortho- or meta-position exhibited promising antifungal activity. Additionally, the in vivo antifungal assay showed that 206 (90% at 10 mg/L) exhibited higher antifungal activity than thifluzamide against R. solani (90% at 10 mg/L). The synthetic route to pyrazole-4-formylhydrazine derivatives bearing a diphenyl ether fragment was reported by Wang et al. [94]. The synthesized compounds were evaluated for their antifungal activity by targeting a succinate dehydrogenase. Among the tested compounds, 209a against Rhizoctonia solani, 209b against Fusarium graminearum, and 209c against Botrytis cinerea, exhibited superior antifungal activity. The compounds displayed EC50 values of 0.14, 0.27, and 0.52 μg/mL higher than carbendazim against R. solani (0.34 μg/mL) and F. graminearum (0.57 μg/mL), along with penthiopyrad against B. cinerea (0.83 μg/mL). Compound 209a was ~2- and 15-fold higher than the marketed fungicides carbendazim (0.34 μg/mL) and boscalid (2.21 μg/mL) towards R. solani. The results from the determination of the inhibitory effects of 209a against the SDH collected from the mycelia of R. solani showed IC50 values of 3.99 μM (1.58 μg/mL). The in vivo anti-R. solani control effectiveness of the most potent compound, 209a (73.25% at 200 μg/mL), was significantly superior to carbendazim under the same conditions (59.81%). Compound 210 has been reported as an excellent antifungal agent with equivalent activity to the marketed fungicide drug thifluzamide, and its EC50 value was 0.022 mg/L against R. solani [95] (see Figure 10).
Figure 10.
Pyrazole derivative with antifungal activity.
A synthetic route to substituted 3-(trifluoromethyl)-4,5-dihydro-1H-furo [2,3-c] pyrazole conjugates using the [3 + 2] Michael/Alkylation approach was developed by Tan et al. [96]. The antifungal activity of the synthesized compounds was further examined, and 211a exhibited excellent antifungal activity against A. solani with IC50 values of 5.44 μM. Compounds 211b and 212 also displayed good antifungal effects, with corresponding IC50 values of 9.00 and 31.45 μM, respectively. The antifungal effects of the most active compounds 211a and 211b and 212 were relatively superior to the standard compound cycloheximide (IC50 = 71.00 μM). The conjugates bearing the electron-deficient group on the aromatic ring displayed higher inhibitory effects. At the same time, the compound bearing an electron-donating substituent on the aromatic ring showed reduced inhibitory effects. Compounds 213, 214a and 214b, and 215 have been unveiled to exhibit good antifungal activity toward Fusarium Oxysporum f. sp. and Albedinis (FOA) fungus with IC50 values ranging from 25.6 to 33.2 μg/mL [97]. Compound 216 has been reported to have superior antifungal inhibitory activity against C. albicans (MIC= ≤146 μg/mL) compared to 217, which displayed a MIC= ≤183 μg/mL. Meanwhile, 218a and 218b exhibited significant antifungal effectiveness concentrations against C. albicans compared to the reference compound cycloheximide with the corresponding MIC values ≥ 168 μg/mL and ≥165 μg/mL, respectively [98]. Piperazine-pyrazole-4-carboxylic acids have shown good antifungal inhibitory effects. Compounds 219a–219e showed equipotent antifungal activity with the reference miconazole against C. albicans (MIC value = 78.1 μg/mL) [99] (see Figure 10).
Dong and coworkers [100] synthesized a series of novel pyrazole–4-carboxamides hybrids and further evaluated their antifungal activity (see Figure 10). Compound 220 was the most potent compound against A. solani in vitro, with an EC50 value of 3.06 μg/mL. It displayed 100% (10 μg/mL) inhibitory activity against A. solani in vivo compared to the standard drug boscalid. Makhanya et al. [101] revealed compounds 221a and 221b as promising antifungal agents. The antifungal assay showed that 221a and 221b exhibited significant inhibitory activity against Saccharomyces cerevisiae (zone inhibition (ZI) = 23 and 20 mm, respectively), with a MIC value of 0.18 µM. Comparable with the standard drug amphotericin, B. Bayazeed et al. [102] detected four chromen-3-yl-pyrazole derivatives: 222a, 222b, 223a, and 223b to have superior antifungal activity. Compared to the standard drug ketoconazole against Aspergillus fumigatus with the corresponding % ZI values of 164%, 147.1%, 158.8%, and 147.1%, respectively. In addition, compounds 222b (% ZI value = 150%) and 223b (% ZI value = 150%) have 1.5-fold superior activity against C. albicans compared to the reference ketoconazole (% ZI value = 150%). Notably, the insertion of two ester groups in compound 222a improved its antifungal activity. Meanwhile, incorporating electron-donating groups (OCH3 and CH3) at the para-position of the aromatic ring in 222b, 223a, and 223b enhanced their antifungal activity. Wang et al. [103] reported a novel series of pyrazole-4-acetohydrazide derivatives targeting fungal SDH, further evaluating their antifungal properties towards R. solani, F. graminearum, and B. cinerea. Among the evaluated compounds, the antifungal activity of 224a against R. solani, 224b against F. graminearum, and 224c against B. cinerea had EC50 values of 0.27, 1.94, and 1.93 μg/mL, respectively. These values were superior to the standard reference boscalid against R. solani (0.94 μg/mL) and fluopyram against F. graminearum (9.37 μg/mL) and B. cinerea (1.94 μg/mL). Additionally, the compounds with hydroxyl group substituents at the R1 position displayed higher anti-R. solani activity than the corresponding conjugates bearing an ethoxy group substituent. The in vivo studies detailed that compound 224a was effective toward R. solani (79.83% at 200 μg/mL), comparable to validamycin (86.56%) and thifluzamide (83.49%). Compound 224a was predicted as an SDH inhibitor (see Figure 11).
Figure 11.
Structures of pyrazole derivatives as antifungal agents.
A series of new pyrazole-4-carboxamide conjugates were designed and synthesized by Wu et al. [104]. The synthesized compounds were evaluated for their antifungal activity using four phytopathogenic fungi (G. zeae, F. oxysporum, C. mandshurica, and P. infestans). The EC50 values were 1.8 μg/mL for 225a against G. zeae, 1.5 and 3.6 μg/mL for 225b against F. oxysporium and C. mandshurica, respectively, and 6.8 μg/mL for 225c against P. infestans. Meanwhile, the SDH enzymatic effectiveness unveiled corresponding IC50 values of 6.9, 12.5, 135.3, and 223.9 μg/mL, for 225c, 222d, 225e, and penthiopyrad, respectively. Incorporating substituents (CH3, F, or Cl) into the 2-phenyl and methyl into 2-pyridinyl positions enhanced the antifungal activity. While the introduction substituent into the 3-phenyl and 3-pyridinyl positions decreased the antifungal properties. Xia et al. [105] reported novel pyrazole carboxylate derivatives bearing thiazole as potent fungicides. The antifungal studies revealed compound 226 displayed superior activities against Botrytis cinerea and Sclerotinia sclerotiorum, with EC50 values of 0.40 and 3.54 mg/L, respectively. Compound 227 displayed superb antifungal activity against Valsa mali, with an EC50 value of 0.32 mg/L. The in vivo fungicide control studies against B. cinerea and V. mali revealed that compounds 226 and 228 at 25 mg/L, respectively, were influential on cherry tomatoes and apple branches. Compound 227 displayed an inhibitory activity toward SDH, with an IC50 value of 82.26 μM. Nevertheless, compounds 226 and 228 lack inhibitory activity toward SDH in the in vivo studies (see Figure 11).
4.5. Antidiabetics
Thiazolidindione 128a and 128b and thiazolidinone derivatives 129a and 129b displayed significant inhibitory activities against α- and β-glucosidase (% inhibitory activity = 62.15, 55.30, 65.37, and 59.08 for α-glucosidase and 57.42, 60.07, 58.19, and 66.90 for β- glucosidase, respectively) than the reference compounds: acarbose with % inhibitory activity = 49.50 for α-glucosidase and D-saccharic acid 1,4-lactone monohydrate with % inhibitory activity = 53.42 for β-glucosidase. Compared to pioglitazone and rosiglitazone, the potent compounds showed good PPAR-γ activation and hypoglycemic effectiveness [42]. Kattimani et al. [106] reported the ring alteration of 3-arylsydnone into 1-aryl-1H-pyrazole-3-carbonitriles via a [3 + 2] cycloaddition reaction and were subsequently converted into 5-(1-aryl-1H-pyrazol- 3-yl)-1H-tetrazole. The synthesized compounds were screened for in vivo antihyperglycemic activity using albino Wistar rats. Compounds 229a and 229b and 230a–230d pointedly reduced the blood glucose levels and prevented vascular difficulties in streptozotocin-induced diabetic rats (Figure 12). Compounds 231 and 232 were potent inhibitors of the α-amylase enzyme [107]. Compound 231 showed excellent activity against α-amylase, with an IC50 value of 4.08 μg/mL, followed by 232 with an IC50 value of 7.59 μg/mL. The potency of the compounds was superior to acarbose (IC50 value = 8.0 μg/mL). Pogaku et al. [108] designed and synthesized new pyrazole–triazolopyrimidine hybrids as potent α-glucosidase inhibitors using a one-pot multicomponent approach. Among the evaluated compounds, 233a–c bearing an electron-withdrawing group on the phenyl ring displayed significant inhibitory activity against the α-glucosidase enzyme. Compound 233a with the 4-Cl group showed the highest inhibition, with an IC50 value of 12.45 μM, equipotent to the standard drug acarbose (IC50 value = 12.68 μM). In contrast, 233b with a fluoro substitution at the para position displayed an IC50 value of 14.47 μM, followed by 233c bearing a 4-NO2 group (IC50 value 17.27 μM). Karrouchi et al. [109] designed and synthesized a pyrazole-3-carbohydrazide, 234. The in vitro α-glucosidase inhibition study of 234 showed good activity for a concentration of 0.08 mM with a percent inhibition of 79.83%, superior to acarbose (29%). The β- galactosidase evaluation displayed a good inhibitory activity with a percentage of 64.6%, comparable to quercetin (68%) for a concentration of 3.30 mM, while the α-amylase inhibition results revealed an inhibitory activity of 20.51% comparative to the acarbose with a percentage of 36% for a concentration of 3.53 mM. The Rhodanine–pyrazole conjugates were designed and synthesized by Singh et al. [110]. The compounds were further tested for their antidiabetic activity. Among the evaluated compounds, 235a (IC50 = 2.259 × 10−6 mol/L) was the most potent compound, 42-fold superior to acarbose. The unsubstituted hybrid 235b (IC50 = 2.854 × 10−5 mol/L) was 3-fold superior to acarbose. Meanwhile, 235c (IC50 = 6.377 × 10−5 mol/L) and 235d (IC50 = 1.325 × 10−4 mol/L) exhibited strong inhibitory activity against α-amylase comparable to acarbose. Compound 236 has been reported to showed a promising bifunctional antidiabetic effect [111]. A series of new benzo[d][1,2,3]triazol-1-yl-pyrazole-bearing dihydro-[1,2,4] triazolo [4,3-a]pyrimidine groups have been designed and synthesized [112]. All synthesized compounds were screened in vitro for α-glucosidase inhibition, anticancer (A549 and MCF-7 cell lines), and antioxidant studies. Among all the compounds tested for antidiabetic potential, 237a, 237b, and 237c exhibited substantial inhibition activity, with IC50 values of 20.12 ± 0.19 μM, 21.55 ± 0.46 μM, and 24.92 ± 0.98 μM, respectively, compared to the reference compound acarbose (IC50 = 12.68 μM) (see Figure 12).
Figure 12.
Structures of pyrazole hybrids with antidiabetic activity.
Kaur et al. reported a series of novel isatin–pyrazole hybrids and tested their antidiabetic activity [113]. Among the tested compounds, 238 (Figure 12) appeared to be most potent with IC50 = 3.26 ± 0.25 μM, which was ~146-fold more potent than acarbose (IC50 = 478.07 ± 1.53 μM). Kausar and coworkers [114] synthesized Celebrex derivatives and investigated their antidiabetic effectiveness. Many of the evaluated compounds exhibited good activity. Compound 239 emerged as the most potent inhibitor of the α-glucosidase enzyme (IC50 = 92.32 ± 1.530 μM), comparable to the standard drug acarbose (IC50 = 875.75 ± 2.08 μM). Compound 240 exhibited excellent antidiabetic activity (IC50 = 5.8 µM) compared to the reference acarbose (IC50 = 58.8µM) and other evaluated compounds (241, IC50 = 65 µM and 242, IC50 = 103 µM) under the same conditions [115]. Shen described a series of novel pyrazolo [1,5-a]pyrimidine derivatives as promising and selective DPP-4 inhibitors [116]. Compound 243 was 2-fold superior to alogliptin (IC50 = 4 nM) and notably selective over DPP-8 and DPP-9 (>2000-fold). The in vivo IPGTT assays in diabetics showed that 243 significantly lowers blood sugar by 48% at 10 mg/kg. The in vitro antidiabetic potential of compound 244 was evaluated against α-glucosidase and α-amylase enzymes. The results revealed that 244 with IC50 = 60.45 ± 1.23 μM showed superior α-glucosidase effectiveness relative to acarbose (IC50 = 89.12 ± 2.08 μM) [117]. Nevertheless, compound 244 was inactive against α-amylase (see Figure 12).
4.6. Antileishmanial
The incorporation of a heteroaromatic ring coupled with a 1,3,4-oxadiazole moiety improved the antileishmanial activity. Compounds 245, 246, and 247 (Figure 13) proved the dose-dependent killing of the promastigotes with corresponding IC50 values of 33.3 ± 1.68, 40.1± 1.0, and 19.0 ± 1.47μg/mL, respectively [118]. Additionally, the compounds (245, 246, and 247) displayed IC50 values of 44.2 ± 2.72, 66.8 ± 2.05, and 73.1 ± 1.69 μg/mL, respectively, on amastigote infectivity. These compounds depicted a comparable point in dose-dependent parasite killing with the standard drug, pentamidine (IC50 = 2.6 ± 0.32 μg/mL). Camargo et al. synthesized a series of novel pyrazole hybrids [119]. The hybrids were investigated in vitro against the promastigote of Leishmania amazonensis. At the same time, the hybrids were examined against the epimastigote of Trypanosoma cruzi (T. cruzi). The S-methyl thiosemicarbazones 248a–248c and 2-amino-1,3,4-thiadiazole pyrazole hybrids 249a–249c displayed significant antileishmanial and antitrypanosomal properties. The substitution of Br, OCH3, or NO2 at the para position of the aryl ring attached at position five of pyrazole favored their activity. The substituent attached to position three of the pyrazole ring also influenced the activity of the evaluated compounds. Silva et al. synthesized and screened a series of 1,5-biaryl 3-arylaminomethyl 4-carboxyethyl pyrazoles and screened against L. amazonensis and T. cruzi [120]. The most active compounds 249, 250, and 251 demonstrated similar profiles against both L. amazonensis and T. cruzi parasites, describing their dual activity. Meanwhile, compound 249 induced morphological and ultrastructural alterations in the promastigote of L. amazonensis (see Figure 13).
Figure 13.
Structures of pyrazoles derivatives with antileishmanial activity.
4.7. Antimalarial
Compound 252 (Figure 13) has been demonstrated to be an excellent inhibitor of Falcipain-2, with an IC50 value of 14 μM [118]. Akolkar et al. [121] have examined the antimalarial potency of 253, 254, and 255. Compounds 253 and 254 (IC50 = 0.47 µM) were equipotent regarding efficacy compared to the standard drug quinine (0.83 µM). The inhibition activity of 255 (0.21 µM) was 4-fold superior to the standard drug. Molecular hybrids of the thiophene, pyrazoline, and benzene rings enhanced the antimalarial activity. Strašek and coworkers [122] reported the synthetic route of the tetrahydropyrazolo [1,2-a]pyrazole-1 carboxylates. The reactions yielded mixtures of 7-oxo-2,3,5,6 tetrahydropyrazolo [1,2–a]pyrazole-1-carboxamides 256 and 257. An assessment inhibition of dihydroorotate dehydrogenase of Plasmodium falciparum (PfDHODH) was demonstrated. The strongest potency was found in compound 257 with an IC50 value of 2.9 ± 0.3 μM). All the evaluated compounds developed selectivity for PfDHODH more than HsDHODH. Gogoi et al. [123] reported dimethoxy pyrazole 1,3,5-triazine derivatives as a novel class of potent antimalarial agents with good toxicity profiles. Within the series compound 258 was observed as a promising antimalarial agent (see Figure 14).
Figure 14.
Structures of pyrazoles derivatives as potent antimalarial agents.
4.8. Antioxidant
Antioxidant activities of pyrazoline derivatives were screened using the 2,2,-diphenyl-1-picrylhydrazyl (DPPH) radical scavenging method. All the tested compounds showed antioxidant activity [88]. Compound 197c bearing 4-fluoro and 4-methyl substituents was the most potent antioxidant agent among all the tested compounds at all the concentrations. Compound 234 has been reported as a promising antioxidant agent [109]. Compounds 237d and 237c have been revealed as having effective antioxidant activity (IC50 values = 4.25 μM and 5.40 μM, respectively) [112]. The results of an evaluation of synthesized thiazolidine-2,4-dione-pyrazole conjugates as antioxidant agents showed the efficacy of all the examined compounds [107]. Compounds 259a and 259b and 260 (see Figure 14) showed the most potent results, with IC50 values of 110.88, 127.18, and 128.55 μg/mL, respectively. The standard drug ascorbic acid showed an IC50 value of 81.12 μg/mL. The synthesis of functionalized pyrano [2,3-c]pyrazoles and pyrazolopyrano [2,3-d]pyrimidines containing a bioactive chromone moiety has been achieved, along with their antioxidant activity [124]. The in vitro antioxidant activity was determined using DPPH radical scavenging methods. Among the tested hybrids, 261–264 displayed promising activity with all the concentrations in the evaluation with the reference drug. The hybridization of pyranopyrazole with the pyrimidine moiety with substituted NH and OH groups improved the antioxidant properties. Ali et al. [125] reported the synthesis of a novel series of pyrazoline 269a–269e, phenylpyrazoline 270a–270e, isoxazoline 271a–271e, and pyrazoline carbothioamide derivatives 272a–272e using chalcones as a precursor 268a–268e. The hybrid compounds were vetted for in vitro antioxidant activity using DPPH, nitric oxide (NO), and the superoxide radical scavenging (RSA) assay, along with 15-lipoxygenase (15-LOX) inhibition activity. Pyrazoline carbothioamide derivatives 272a and 272e were the most potent anti-LOX compounds, 2.2- and 2.1-fold superior to quercetin, while compounds 269a, 270e, 271b, 271c, 272a, 272c, and 272e exhibited substantial RSA in all the three in vitro assays relative to the ascorbic acid, along with 15-LOX inhibition potency. The presence of electron-donating groups (CH3 and OCH3) or halogens (di-Cl) on the benzene ring enhanced the inhibition activity. The potential antioxidant activity of 272a and 272e were comparable in all three assays. Compounds 271b, 271c, and 271e (Figure 15) showed significant in vivo antioxidant potential compared to the standard group at a dose of 100 mg/kg B.W. Meanwhile, there was an increase in CAT activity, the GSH level, and a decrease in lipid peroxidation in the treated rat liver compared to the control treatment. The in vitro antioxidant effectiveness of 4-(arylchalcogenyl)-1H-pyrazoles bearing sulfur or 1H-pyrazole groups has been investigated in different assays by Oliveira et al. [126], along with their oxidative stress impacts in biological systems. Compounds 273 and 274 showed significant inhibition in the ABTS assay, revealing that the mechanisms of the antioxidant action of compounds 273 and 274 were connected to their ability to donate electrons. Additionally, compounds 273 and 275 are more potent in the NO scavenging assay, while 274 reduced the lipid peroxidation levels in the brain and the liver after 72 h of treatment remarking on the compound efficacy in oxidative stress. A new series of pyrazole-containing heterocyclic skeletons—namely, pyrimidine, triazole, triazepine, pyrrolone, and thiadiazolopyrimidine—along with acylthiourea derivatives, were synthesized from 2-cyano-3-pyrazolylpropenoyl isothiocyanate by Badawy et al. [127]. The antioxidant screening of all the synthesized compounds showed that pyrimidinethione derivatives 276 and 277 were the most potent antioxidant agents. El-Borai et al. [128] achieved a biological evaluation of the cytotoxicity, antihemolytic and antioxidant activities of some thienopyrazole compounds. The antioxidant activity of the examined compounds was achieved by utilizing the DPPH radical scavenging assay with ascorbic acid as the reference. Compound 278 exhibited excellent radical scavenging activity, with an IC50 value of 4.49 μg/mL comparable to an IC50 of 4.76 μg/mL. The excellent antioxidant result was obtained due to the existence of the two amino groups on the pyrimidine ring. Additionally, 279 exhibited strong antihemolytic and antioxidants, justifying that the antioxidant activity may protect red blood cells from hemolysis. The insertion of chlorine atoms, hydroxyl, and cyanide with a pyrimidine ring in a single moiety enhanced the activity of 279. In addition, 280 was noxious to all the tested cancerous cell lines; however, a lower cytotoxicity activity against the normal fibroblast cell line was observed. Elnagdy and colleagues [129] described a synthetic route to pyrazole analogs by using copper oxide nanoparticles (CuO-NPs) as catalyzed. The compounds were evaluated for their antioxidant activity using the DPPH radical scavenging assay. Most of the compounds tested demonstrated a greater interaction with the DPPH radical relative to the standard compound Trolox (IC50 = 11.48 mM). The compounds 281, 282, and 283 showed maximum antioxidant activity in the order of 282 > 281 > 283, with IC50 values of 3.06, 3.53, and 5.42 mM, respectively. The ability of 281 and 282 to recover the DPPH radical assay resulted from the prolonged conjugation in compounds, while that of compound 283 was due to a phenolic hydroxyl group at the ortho-position and a fluorine group. The condensation reaction between 1,3-thiazole or aminopyridine derivatives and 1H-pyrazole,3,5-dimethyl-1H-pyrazole or 1,2,4-triazole was described by Kaddouri and colleagues [130]. The reaction produced novel heterocyclic compounds containing pyrazole, thiazole, and pyridine. Additionally, the DPPH scavenging assay was utilized to investigate their antioxidant activity. Ligand 284 showed the best antioxidant activity, with an IC50 value of 4.67 μg/mL, while the IC50 value for the reference compound was 2 μg/mL (ascorbic acid). The applicable route for the direct synthesis of (E)-ethyl 2-benzylidene-3-oxobutanoate through the 3 + 2 annulation method, including the investigated in vitro antioxidant vulnerabilities through the DPPH and hydroxyl radical scavenging methods of this compound, have been reported [131]. The assays showed that compound 285 has a strong antioxidant power (see Figure 16).
Figure 15.
Structures of promising pyrazole derivatives with antioxidant activity.
Figure 16.
Structures of pyrazole hybrids with antioxidant activity.
The multicomponent reaction of some heterocyclic compounds with activated acetylenic, alkyl bromides, triphenylphosphine, and hydrazine in water under ultrasonic irradiation yielded pyrazole derivatives in better yields [132]. Additionally, the antioxidant activities of the compounds were examined using DPPH radical scavenging and the ferric-reducing power assay. Compound 286 (Figure 16) exhibited exceptional DPPH radical scavenging activity and greater reducing power compared to the standard reference butylated hydroxytoluene (BHT) and 2-tertbutylhydroquinone (TBHQ). Compounds 287 and 288 have been reported as more potent antioxidant inhibitors than ascorbic acid and butylated hydroxyanisole (BHA) [133]. The corresponding IC50 values for 287 and 288 from the DPPH radical assay were 0.245 ± 0.01 and 0.284 ± 0.02 μM, respectively. These compounds have more potent RSA than ascorbic acid (IC50 = 0.483 ± 0.01 μM). In the hydroxyl radical scavenging assay, compounds 287 and 288 showed IC50 values of 0.905 ± 0.01 μM and 0.892 ± 0.01 μM, respectively. They displayed greater RSA than BHA (IC50 = 1.739 ± 0.01 μM).
Patil et al. [134] prepared sulfonic acid functionalized 1,4-diazabicyclo [2.2.2]octane assisted on Merrifield resin, [MerDABCO-SO3H]Cl as a catalyst to synthesized pyrazolopyranopyrimidines in one-pot four-component reactions in an excellent yield. The antioxidant effect of the synthesized compounds was determined using the 1,1-diphenyl-2- DPPH radicals scavenging assay, and ascorbic acid was used as a standard control. Among the evaluated compounds, 289–292 showed excellent antioxidant activity compared to the standard ascorbic acid due to the incorporation of an electron-withdrawing substituent (nitro group) on the phenyl ring, enhancing the resonance impact stabilizing the consistently formed radical. Compounds 293 and 294 have been reported as promising antioxidant agents [135] (see Figure 16).
4.9. Antituberculosis
Jagadale et al. [136] described the pathway to synthesize thiazolyl-pyrazolyl-1,2,3-triazole derivative 295 and bis-pyrazolyl-1,2,3-triazole 296 derivative, along with their antimycobacterial activity against M. tuberculosis (Mtb) with H37Ra dormant and active. The antimycobacterial activity revealed that most of the compounds showed moderate to good activity against both strains of M. tuberculosis. Compounds 295a–295c and 296a and 296b exhibited good activity against the Mtb H37Ra active strain; also, compounds 295d and 295e and 296c–296e displayed good activity against the Mtb H37Ra dormant strain. Using Pd/Cu catalyst coupling-cyclization strategy, 3-indolylmethyl substituted (pyrazolo/benzo) triazinone derivatives have been expediently prepared in a one-pot reaction [137]. The synthesized compounds were tested for chorismate mutase (CM) inhibitory properties in vitro using an assay that measured the enzyme’s catalytic activity (MC) in converting chorismate (substrate) to prehenate. The best active compounds, 297 and 298, showed 78% inhibition at 30 μM. Meanwhile the concentration-dependent evaluation resulted in IC50 values of 0.40 ± 0.05 µM and 0.85 ± 0.10 μM for compounds 297 and 298, respectively. Compound 299 has also been shown to maintain good potency against clinical samples from the four main lines and strains containing isoniazid or rifampin resistance mutations [138]. The mutated strains in MmpL3 were resistant to 299 and under replication conditions, and it exhibited bactericidal activity against Mtb. However, compound 299 was not effective in an acute model of tubercular infection. This is likely the result of in vivo exposure remaining above the minimum inhibitory level for a restricted period (see Figure 17).
Figure 17.
Structures of pyrazole hybrids with antitubercular activity.
Hu and coworkers [139] reported novel series of pyrazolo [1,5-a]pyridine-3-carboxamide (PPA) conjugates bearing diaryl side chains and their antitubercular activity. Most of the evaluated compounds were highly potent in vitro against Mtb strains, including H37Rv (MIC = < 0.002–0.381 μg/mL), rINH (MIC = < 0.002–0.465 μg/mL), and rRMP (MIC = < 0.002–0.004 μg/mL). Notably, compound 300 demonstrated favorable in vitro activity against Mtb H37Rv, rRMP, and rINH, with corresponding MIC values ≤ 0.002 μg/mL and a lack of toxicity against Vero cells. Moreover, in vivo studies showed that 300 substantially lessened the mycobacterial load in a mouse model infected with H37Ra. Other reported antituberculosis pyrazole derivatives and the corresponding references are shown in Table 1.
Table 1.
Reported antituberculosis pyrazole derivatives, along with the corresponding references.
4.10. Agrochemical
Series of novel pyrazole−isoindoline-1,3-dione hybrids as favorable 4-hydroxyphenylpyruvate dioxygenase (HPPD) inhibitors were designed by combining 2-benzoylethen-1-ol and isoindoline-1,3-dione into a single moiety [153]. Among the evaluated compounds against Arabidopsis thaliana HPPD in vitro, using mesotrione and pyrasulfotole as the positive control, the IC50 of 316 (Figure 18) was extended to 90 nM. In addition, 316 was identified as the most promising inhibitor, with a Ki value of 3.92 nM, which was ~10 times superior to pyrasulfotole (Ki = 44 nM) and 300 times marginally superior to mesotrione (Ki = 4.56 nM). Jiang et al. [154] designed and synthesized novel heptacyclic pyrazolamide conjugates using the scaffold hopping approach. The insecticidal activities of all synthesized compounds were examined against P. xylostella in vivo at 500 mg/L. Meanwhile, the marketed insecticide—namely, tebufenozide—was used as the reference drug. Compounds 317 and 318 flaunted excellent insecticidal activities (>90%) against P. xylostella. Additionally, compound 317 displayed 100% insecticidal activity at the dose of 200 mg/L. The lower dose and LC50 value of 317 (64.13 mg/L) was akin to tebufenozide (LC50 = 33.83 mg/L). Zhao et al. [155] reported a novel series of fluoro-substituted compounds bearing altered pyrazole and their anti-larvicidal effects. The larvicidal activity unveiled fluoro-substituted compounds to have good to excellent activities against M. separata and P. xylostella. The corresponding LC50 values for 320a and 320b against P. xylostella were 2.9 × 10−6 mg/L and 3.1 × 10−6 mg/L, respectively, superior to the LC50 of chlorantraniliprole (4.6 × 10−5 mg/L). In addition, fluoro-substituted compounds 320a–320c bearing ether groups at position three of the pyrazole showed better inhibitory effects than compounds with halogen, amide, or ester groups substituents. The insertion of fluorine atoms on the ethoxy group enhanced the larvicidal activity. Compound 320a exhibited the 50% larvicidal mortality against M. separata to 0.1 mg/L. Moreover, 320a displayed 90% larvicidal activity against P. xylostella at 10−5 mg/L, higher than that of chlorantraniliprole. Judge and colleagues [156] revealed substituted 3-hydroxyprozole derivative 321 as a promising herbicidal agent. Pyridylpyrazole-4-carboxamides bearing 1,3,4-oxadiazole rings were designed and synthesized by dehydration of aromatic hydrazine derivatives and formanilides [157]. The synthesized compounds were further evaluated for their insecticidal activities (Plutella xylostella). Among the examined compounds, 322 displayed promising activity as follows, 67%, 50%, 34%, 20%, and 17% activity at the concentrations of 100, 50, 10, 5, and 1 μg/mL, respectively (see Figure 18).
Figure 18.
Structures of pyrazole a derivative acting as promising agrochemical agents.
5. Conclusions
Pyrazoles are five-membered heterocyclic compounds containing nitrogen. They are an important class of compounds for drug development; they constitute an essential class of hit compounds to develop new pharmacological agents to treat various infections of clinical primacy. With such a diverse range of biological activities, they have attracted much attention from researchers focusing on synthesizing different pyrazole analogs to developing novel and more effective drugs. This literature review documented various synthetic pathways to pyrazole derivatives and the biological potential of some pyrazole derivatives in recent years. Their biological activity properties, such as antibacterial, analgesic, anti-inflammatory, anticancer, antibacterial, antidiabetic, antioxidant, and agrochemical, were detailed in this review. The information presented in this review will assist prospective researchers in further investigating pyrazole derivatives and update scientists with promising biological activities of recently developed derivatives. Additionally, this will allow them to identify other derivatizations that can be explored. However, where the pyrazole unit itself plays a significant role in the compound’s mode of action, including cases where the pyrazole is more of a structural element, still needs to be explored. Additionally, the molecular hybridization of pyrazole with other bioactive compounds will be explored in our future work.
Author Contributions
Conceptualization, O.E. and J.A.T.; Data curation, O.E.; Project administration, J.A.T.; Resources, J.A.T. and M.S.; Supervision. J.A.T. and M.S.; Visualization, O.E.; Roles/Writing—original draft; O.E. Writing—review and editing, O.E and J.A.T. All authors have read and agreed to the published version of the manuscript.
Funding
This research received no external funding.
Institutional Review Board Statement
Not applicable.
Informed Consent Statement
Not applicable.
Data Availability Statement
Not applicable.
Acknowledgments
J.A.T. acknowledges research funding support from NSERC (Canada).
Conflicts of Interest
The authors declare no conflict of interest.
References
- Ansari, A.; Ali, A.; Asif, M. Biologically active pyrazole derivatives. New J. Chem. 2017, 41, 16–41. [Google Scholar] [CrossRef]
- Alam, R.; Wahi, D.; Singh, R.; Sinha, D.; Tandon, V.; Grover, A.; Rahisuddin. Design, synthesis, cytotoxicity, HuTopoIIα inhibitory activity and molecular docking studies of pyrazole derivatives as potential anticancer agents. Bioorg. Chem. 2016, 69, 77–90. [Google Scholar] [CrossRef] [PubMed]
- Gregory, W.A.; Brittelli, D.R.; Wang, C.; Wuonola, M.A.; McRipley, R.J.; Eustice, D.C.; Eberly, V.S.; Slee, A.M.; Forbes, M.; Bartholomew, P. Antibacterials. Synthesis and structure-activity studies of 3-aryl-2-oxooxazolidines. 1. The B group. J. Med. Chem. 1989, 32, 1673–1681. [Google Scholar] [CrossRef] [PubMed]
- Ferreira, S.B.; Sodero, A.C.; Cardoso, M.F.; Lima, E.S.; Kaiser, C.R.; Silva, F.P., Jr.; Ferreira, V.F. Synthesis, biological activity, and molecular modeling studies of 1 h-1, 2, 3-triazole derivatives of carbohydrates as α-glucosidases inhibitors. J. Med. Chem. 2010, 53, 2364–2375. [Google Scholar] [CrossRef] [PubMed]
- Ramtohul, Y.K.; Black, C.; Chan, C.-C.; Crane, S.; Guay, J.; Guiral, S.; Huang, Z.; Oballa, R.; Xu, L.-J.; Zhang, L. SAR and optimization of thiazole analogs as potent stearoyl-CoA desaturase inhibitors. Bioorg. Med. Chem. Lett. 2010, 20, 1593–1597. [Google Scholar] [CrossRef] [PubMed]
- Guo, Y.H.; Wang, G.D.; Wei, L.; Wan, J.P. Domino C-H Sulfonylation and Pyrazole Annulation for Fully Substituted Pyrazole Synthesis in Water Using Hydrophilic Enaminones. J. Org. Chem. 2019, 84, 2984–2990. [Google Scholar] [CrossRef] [PubMed]
- Wan, C.; Pang, J.Y.; Jiang, W.; Zhang, X.W.; Hu, X.G. Copper-Catalyzed Reductive Ring-Cleavage of Isoxazoles: Synthesis of Fluoroalkylated Enaminones and Application for the Preparation of Celecoxib, Deracoxib, and Mavacoxib. J. Org. Chem. 2021, 86, 4557–4566. [Google Scholar] [CrossRef]
- Zhu, C.; Zeng, H.; Liu, C.; Cai, Y.; Fang, X.; Jiang, H. Regioselective Synthesis of 3-Trifluoromethylpyrazole by Coupling of Aldehydes, Sulfonyl Hydrazides, and 2-Bromo-3,3,3-trifluoropropene. Org. Lett. 2020, 22, 809–813. [Google Scholar] [CrossRef]
- Penning, T.D.; Talley, J.J.; Bertenshaw, S.R.; Carter, J.S.; Collins, P.W.; Docter, S.; Graneto, M.J.; Lee, L.F.; Malecha, J.W.; Miyashiro, J.M.; et al. Synthesis and biological evaluation of the 1,5-diarylpyrazole class of cyclooxygenase-2 inhibitors: Identification of 4-[5-(4-methylphenyl)-3-(trifluoromethyl)-1H-pyrazol-1-yl]benze nesulfonamide (SC-58635, celecoxib). J. Med. Chem. 1997, 40, 1347–1365. [Google Scholar] [CrossRef]
- Muzalevskiy, V.M.; Rulev, A.Y.; Romanov, A.R.; Kondrashov, E.V.; Ushakov, I.A.; Chertkov, V.A.; Nenajdenko, V.G. Selective, Metal-Free Approach to 3- or 5-CF(3)-Pyrazoles: Solvent Switchable Reaction of CF(3)-Ynones with Hydrazines. J. Org. Chem. 2017, 82, 7200–7214. [Google Scholar] [CrossRef]
- Xu, Y.H.; Chen, Q.L.; Tian, Y.S.; Wu, W.; You, Y.; Weng, Z.Q. Silver-catalyzed synthesis of 5-aryl-3-trifluoromethyl pyrazoles. Tetrahedron Lett. 2020, 61, 151455. [Google Scholar] [CrossRef]
- Poletto, J.; Ribeiro, G.M.; Da Silva, M.J.V.; Jacomini, A.P.; Basso, E.A.; Back, D.F.; Moura, S.; Rosa, F.A. One-Pot Highly Regioselective Synthesis of alpha-Ketoamide N-Arylpyrazoles from Secondary beta-Enamino Diketones. Org. Lett. 2019, 21, 6325–6328. [Google Scholar] [CrossRef] [PubMed]
- Golovanov, A.A.; Odin, I.S.; Gusev, D.M.; Vologzhanina, A.V.; Sosnin, I.M.; Grabovskiy, S.A. Reactivity of Cross-Conjugated Enynones in Cyclocondensations with Hydrazines: Synthesis of Pyrazoles and Pyrazolines. J. Org. Chem. 2021, 86, 7229–7241. [Google Scholar] [CrossRef] [PubMed]
- Fang, Z.; Yin, H.; Lin, L.; Wen, S.; Xie, L.; Huang, Y.; Weng, Z. Collaborative Activation of Trifluoroacetyl Diazoester by a Lewis Acid and Base for the Synthesis of Polysubstituted 4-Trifluoromethylpyrazoles. J. Org. Chem. 2020, 85, 8714–8722. [Google Scholar] [CrossRef] [PubMed]
- Chen, H.H.; Wen, S.L.; Cui, Y.B.; Lin, L.; Zhang, H.B.; Fang, Z.; You, Y.; Weng, Z.Q. A method for synthesis of polysubstituted 4-difluoromethyl and perfluoroalkyl pyrazoles. Tetrahedron 2021, 85, 132062. [Google Scholar] [CrossRef]
- Kardile, R.D.; Liu, R.S. Gold(I)-Catalyzed Reactions between 2-(1-Alkynyl)-2-alken-1-ones and Vinyldiazo Ketones for Divergent Synthesis of Nonsymmetric Heteroaryl-Substituted Triarylmethanes: N- versus C-Attack Paths. Org. Lett. 2020, 22, 8229–8233. [Google Scholar] [CrossRef]
- Zhu, J.N.; Wang, W.K.; Jin, Z.H.; Wang, Q.K.; Zhao, S.Y. Pyrrolo 3,4-c pyrazole Synthesis via Copper(I) Chloride-Catalyzed Oxidative Coupling of Hydrazones to Maleimides. Org. Lett. 2019, 21, 5046–5050. [Google Scholar] [CrossRef]
- Zhu, J.N.; Wang, W.K.; Zheng, J.; Lin, H.P.; Deng, Y.X.; Zhao, S.Y. Iodine-Catalyzed Regioselective Oxidative Cyclization of Aldehyde Hydrazones with Electron-Deficient Olefins for the Synthesis of Mefenpyr-Diethyl. J. Org. Chem. 2019, 84, 11032–11041. [Google Scholar] [CrossRef]
- Fan, Z.W.; Feng, J.H.; Hou, Y.C.; Rao, M.; Cheng, J.J. Copper-Catalyzed Aerobic Cyclization of ss,gamma-Unsaturated Hydrazones with Concomitant C=C Bond Cleavage. Org. Lett. 2020, 22, 7981–7985. [Google Scholar] [CrossRef]
- Veerakanellore, G.B.; Smith, C.M.; Vasiliu, M.; Oliver, A.G.; Dixon, D.A.; Carrick, J.D. Synthesis of 1H-Pyrazol-5-yl-pyridin-2-yl-1,2,4 triazinyl Soft-Lewis Basic Complexants via Metal and Oxidant Free 3+2 Dipolar Cycloaddition of Terminal Ethynyl Pyridines with Tosylhydrazides. J. Org. Chem. 2019, 84, 14558–14570. [Google Scholar] [CrossRef]
- Zheng, P.F.; Zeng, R.; Jiang, K.; Li, H.W.; Ye, Y.; Mu, C.; Shuai, L.; Quyang, Q.; Chen, Y.C. (3+1) Annulation/Rearrangement Cascade of C,N-Cyclic Azomethine Imines and 3-Chlorooxindoles: Construction of Hexahydroindeno 2,1-c pyrazole Spirooxindole Frameworks. Org. Lett. 2019, 21, 10052–10056. [Google Scholar] [CrossRef] [PubMed]
- Dimirjian, C.A.; Reis, M.C.; Balmond, E.I.; Turman, N.C.; Rodriguez, E.P.; Di Maso, M.J.; Fettinger, J.C.; Tantillo, D.J.; Shaw, J.T. Synthesis of Spirobicyclic Pyrazoles by Intramolecular Dipolar Cycloadditions/1s, 5s Sigmatropic Rearrangements. Org. Lett. 2019, 21, 7209–7212. [Google Scholar] [CrossRef] [PubMed]
- Carlson, A.S.; Petre, A.M.; Topczewski, J.J. A cascade reaction of cinnamyl azides with vinyl sulfones directly generates dihydro-pyrrolo-pyrazole heterocycles. Tetrahedron Lett. 2021, 67, 152860. [Google Scholar] [CrossRef] [PubMed]
- Bania, N.; Mondal, B.; Ghosh, S.; Pan, S.C. DMAP Catalyzed Domino Rauhut-Currier Cyclization Reaction between Alkylidene Pyrazolones and Nitro-olefins: Access to Tetra hydropyrano 2,3-c pyrazoles. J. Org. Chem. 2021, 86, 4304–4312. [Google Scholar] [CrossRef] [PubMed]
- Meng, Y.G.; Zhang, T.; Gong, X.C.; Zhang, M.; Zhu, C.Y. Visible-light promoted one-pot synthesis of pyrazoles from alkynes and hydrazines. Tetrahedron Lett. 2019, 60, 171–174. [Google Scholar] [CrossRef]
- Li, H.X.; Shi, W.Y.; Wang, C.; Liu, H.; Wang, W.; Wu, Y.J.; Guo, H.C. Phosphine-Catalyzed Cascade Annulation of MBH Carbonates and Diazenes: Synthesis of Hexahydrocyclopenta c pyrazole Derivatives. Org. Lett. 2021, 23, 5571–5575. [Google Scholar] [CrossRef]
- Ahmadzadeh, M.; Sadeghi, M.; Safari, J. Copper(II) Anchored on Amine-Functionalized MMT: A Highly Efficient Catalytic System for the One-Pot Synthesis of Bispyrano 2,3-c pyrazole Derivatives. J. Chem. 2021, 2021, 1784142. [Google Scholar] [CrossRef]
- Alizadeh-Kouzehrash, M.; Rahmati, A. Synthesis of a structure containing three N-fused heterocycles with very high bond-forming through a one-pot reaction. Tetrahedron 2020, 76, 130923. [Google Scholar] [CrossRef]
- Dvorak, C.A.; Liang, J.; Mani, N.S.; Carruthers, N.I. Regioselective assembly of fused pyrazole-azepine heterocycles: Synthesis of the 5-HT7 antagonist 1-benzy1-3-(4-chlorophenyl)-1,4,5,6,7,8-hexahydropyrazolo 3,4-d azepine. Tetrahedron Lett. 2021, 67, 152843. [Google Scholar] [CrossRef]
- Everson, N.; Yniguez, K.; Loop, L.; Lazaro, H.; Belanger, B.; Koch, G.; Bach, J.; Manjunath, A.; Schioldager, R.; Law, J.; et al. Microwave synthesis of 1-aryl-1H-pyrazole-5-amines. Tetrahedron Lett. 2019, 60, 72–74. [Google Scholar] [CrossRef]
- Bhale, P.S.; Bandgar, B.P.; Dongare, S.B.; Shringare, S.N.; Sirsat, D.M.; Chavan, H.V. Ketene dithioacetal mediated synthesis of 1,3,4,5-tetrasubstituted pyrazole derivatives and their biological evaluation. Phosphorus Sulfur Relat. Elem. 2019, 194, 843–849. [Google Scholar] [CrossRef]
- Abd El-Karim, S.S.; Mohamed, H.S.; Abdelhameed, M.F.; Amr, A.E.; Almehizia, A.A.; Nossier, E.S. Design, synthesis and molecular docking of new pyrazole-thiazolidinones as potent anti-inflammatory and analgesic agents with TNF-alpha inhibitory activity. Bioorg. Chem. 2021, 111, 104827. [Google Scholar] [CrossRef] [PubMed]
- Akhtar, W.; Marella, A.; Alam, M.M.; Khan, M.F.; Akhtar, M.; Anwer, T.; Khan, F.; Naematullah, M.; Azam, F.; Rizvi, M.A.; et al. Design and synthesis of pyrazole-pyrazoline hybrids as cancer-associated selective COX-2 inhibitors. Archiv. Pharm. 2021, 354, 2000116. [Google Scholar] [CrossRef] [PubMed]
- Abdellatif, K.R.A.; Abdelall, E.K.A.; Elshemy, H.A.H.; El-Nahass, E.; Abdel-Fattah, M.M.; Abdelgawad, Y.Y.M. New indomethacin analogs as selective COX-2 inhibitors: Synthesis, COX-1/2 inhibitory activity, anti-inflammatory, ulcerogenicity, histopathological, and docking studies. Arch. Pharm. 2021, 354, 2000328. [Google Scholar] [CrossRef] [PubMed]
- Shi, J.B.; Chen, L.Z.; Wang, B.S.; Huang, X.; Jiao, M.M.; Liu, M.M.; Tang, W.J.; Liu, X.H. Novel Pyrazolo 4,3-d pyrimidine as Potent and Orally Active Inducible Nitric Oxide Synthase (iNOS) Dimerization Inhibitor with Efficacy in Rheumatoid Arthritis Mouse Model. J. Med. Chem. 2019, 62, 4013–4031. [Google Scholar] [CrossRef]
- Sivaramakarthikeyan, R.; Shunmugam, I.; Vadivel, S.; Lim, W.M.; Mai, C.W.; Ramalingan, C. Molecular Hybrids Integrated with Benzimidazole and Pyrazole Structural Motifs: Design, Synthesis, Biological Evaluation, and Molecular Docking Studies. ACS Omega 2020, 5, 10089–10098. [Google Scholar] [CrossRef]
- Nayak, S.G.; Poojary, B.; Kamat, V. Novel pyrazole-clubbed thiophene derivatives via Gewald synthesis as antibacterial and anti-inflammatory agents. Arch. Pharm. 2020, 353, 2000103. [Google Scholar] [CrossRef]
- Dimmito, M.P.; Stefanucci, A.; Pieretti, S.; Minosi, P.; Dvoracsko, S.; Tomboly, C.; Zengin, G.; Mollica, A. Discovery of Orexant and Anorexant Agents with Indazole Scaffold Endowed with Peripheral Antiedema Activity. Biomolecules 2019, 9, 492. [Google Scholar] [CrossRef] [Green Version]
- Harras, M.F.; Sabour, R.; Alkamali, O.M. Discovery of new non-acidic lonazolac analogues with COX-2 selectivity as potent anti-inflammatory agents. MedChemComm 2019, 10, 1775–1788. [Google Scholar] [CrossRef]
- Sivaramakarthikeyan, R.; Iniyaval, S.; Lim, W.M.; Hii, L.W.; Mai, C.W.; Ramalingan, C. Pyrazolylphenanthroimidazole heterocycles: Synthesis, biological and molecular docking studies. New J. Chem. 2020, 44, 19612–19622. [Google Scholar] [CrossRef]
- Abdellatif, K.R.A.; El-Saadi, M.T.; Elzayat, S.G.; Amin, N.H. New substituted pyrazole derivatives targeting COXs as potential safe anti-inflammatory agents. Future Med. Chem. 2019, 11, 1871–1887. [Google Scholar] [CrossRef] [PubMed]
- Abdellatif, K.R.A.; Fadaly, W.A.A.; Kamel, G.M.; Elshaier, Y.; El-Magd, M.A. Design, synthesis, modeling studies and biological evaluation of thiazolidine derivatives containing pyrazole core as potential anti-diabetic PPAR-gamma agonists and anti-inflammatory COX-2 selective inhibitors. Bioorg. Chem. 2019, 82, 86–99. [Google Scholar] [CrossRef] [PubMed]
- Abdelall, E.K.A.; Lamie, P.F.; Ahmed, A.K.M.; El-Nahass, E.S. COX-1/COX-2 inhibition assays and histopathological study of the new designed anti-inflammatory agent with a pyrazolopyrimidine core. Bioorg. Chem. 2019, 86, 235–253. [Google Scholar] [CrossRef] [PubMed]
- Thangarasu, P.; Manikandan, A.; Thamaraiselvi, S. Discovery, synthesis and molecular corroborations of medicinally important novel pyrazoles; drug efficacy determinations through in silico, in vitro and cytotoxicity validations. Bioorg. Chem. 2019, 86, 410–419. [Google Scholar] [CrossRef] [PubMed]
- Murahari, M.; Mahajan, V.; Neeladri, S.; Kumar, M.S.; Mayur, Y.C. Ligand based design and synthesis of pyrazole based derivatives as selective COX-2 inhibitors. Bioorg. Chem. 2019, 86, 583–597. [Google Scholar] [CrossRef]
- El-Shoukrofy, M.S.; Abd El Razik, H.A.; AboulWafa, O.M.; Bayad, A.E.; El-Ashmawy, I.M. Pyrazoles containing thiophene, thienopyrimidine and thienotriazolopyrimidine as COX-2 selective inhibitors: Design, synthesis, in vivo anti-inflammatory activity, docking and in silico chemo-informatic studies. Bioorg. Chem. 2019, 85, 541–557. [Google Scholar] [CrossRef]
- Khan, M.F.; Anwer, T.; Bakht, A.; Verma, G.; Akhtar, W.; Alam, M.M.; Rizvi, M.A.; Akhter, M.; Shaquiquzzaman, M. Unveiling novel diphenyl-1H-pyrazole based acrylates tethered to 1,2,3-triazole as promising apoptosis inducing cytotoxic and anti-inflammatory agents. Bioorg. Chem. 2019, 87, 667–678. [Google Scholar] [CrossRef]
- Taher, A.T.; Sarg, M.T.M.; Ali, N.R.E.; Elnagdi, N.H. Design, synthesis, modeling studies and biological screening of novel pyrazole derivatives as potential analgesic and anti-inflammatory agents. Bioorg. Chem. 2019, 89, 103023. [Google Scholar] [CrossRef]
- Mustafa, G.; Angeli, A.; Zia-ur-Rehman, M.; Akbar, N.; Ishtiaq, S.; Supuran, C.T. An efficient method for the synthesis of novel derivatives 4-{5- 4-(4-amino-5-mercapto-4H- 1,2,4 triazol-3-yl)-phenyl -3-trifluorom ethyl-pyrazol-1-yl}-benzenesulfonamide and their anti-inflammatory potential. Bioorg. Chem. 2019, 91, 103110. [Google Scholar] [CrossRef]
- Zabiulla; Gulnaz, A.R.; Mohammed, Y.H.E.; Khanum, S.A. Design, synthesis and molecular docking of benzophenone conjugated with oxadiazole sulphur bridge pyrazole pharmacophores as anti inflammatory and analgesic agents. Bioorg. Chem. 2019, 92, 103220. [Google Scholar] [CrossRef]
- Abdellatif, K.R.A.; Fadaly, W.A.A.; Mostafa, Y.A.; Zaher, D.M.; Omar, H.A. Thiohydantoin derivatives incorporating a pyrazole core: Design, synthesis and biological evaluation as dual inhibitors of topoisomerase-I and cycloxygenase-2 with anti-cancer and anti-inflammatory activities. Bioorg. Chem. 2019, 91, 103132. [Google Scholar] [CrossRef] [PubMed]
- Abdellatif, K.R.A.; Abdelall, E.K.A.; Lamie, P.F.; Labib, M.B.; El-Nahaas, E.; Abdelhakeem, M.M. New pyrazole derivatives possessing amino/methanesulphonyl pharmacophore with good gastric safety profile: Design, synthesis, cyclooxygenase inhibition, anti-inflammatory activity and histopathological studies. Bioorg. Chem. 2020, 95, 103540. [Google Scholar] [CrossRef] [PubMed]
- Fadaly, W.A.A.; Elshaier, Y.; Hassanein, E.H.M.; Abdellatif, K.R.A. New 1,2,4-triazole/pyrazole hybrids linked to oxime moiety as nitric oxide donor celecoxib analogs: Synthesis, cyclooxygenase inhibition anti-inflammatory, ulcerogenicity, anti-proliferative activities, apoptosis, molecular modeling and nitric oxide release studies. Bioorg. Chem. 2020, 98, 103752. [Google Scholar] [CrossRef] [PubMed]
- Gedawy, E.M.; Kassab, A.E.; El Kerdawy, A.M. Design, synthesis and biological evaluation of novel pyrazole sulfonamide derivatives as dual COX-2/5-LOX inhibitors. Eur. J. Med. Chem. 2020, 189, 112066. [Google Scholar] [CrossRef] [PubMed]
- Yao, H.Y.; Guo, Q.P.; Wang, M.R.; Wang, R.; Xu, Z.Q. Discovery of pyrazole N-aryl sulfonate: A novel and highly potent cyclooxygenase-2 (COX-2) selective inhibitors. Bioorg. Med. Chem. 2021, 46, 116344. [Google Scholar] [CrossRef]
- Hendawy, O.M.; Gomaa, H.A.M.; Alzarea, S.I.; Alshammari, M.S.; Mohamed, F.A.M.; Mostafa, Y.A.; Abdelazeem, A.H.; Abdelrahman, M.H.; Trembleau, L.; Youssif, B.G.M. Novel 1,5-diaryl pyrazole-3-carboxamides as selective COX-2/sEH inhibitors with analgesic, anti-inflammatory, and lower cardiotoxicity effects. Bioorg. Chem. 2021, 116, 105302. [Google Scholar] [CrossRef]
- Amer, M.M.K.; Abdellattif, M.H.; Mouneir, S.M.; Zordok, W.A.; Shehab, W.S. Synthesis, DFT calculation, pharmacological evaluation, and catalytic application in the synthesis of diverse pyrano 2,3-c pyrazole derivatives. Bioorg. Chem. 2021, 114, 105136. [Google Scholar] [CrossRef]
- Dawood, D.H.; Nossier, E.S.; Ali, M.M.; Mahmoud, A.E. Synthesis and molecular docking study of new pyrazole derivatives as potent anti-breast cancer agents targeting VEGFR-2 kinase. Bioorg. Chem. 2020, 101, 103916. [Google Scholar] [CrossRef]
- Philoppes, J.N.; Khedr, M.A.; Hassan, M.H.A.; Kamel, G.; Lamie, P.F. New pyrazolopyrimidine derivatives with anticancer activity: Design, synthesis, PIM-1 inhibition, molecular docking study and molecular dynamics. Bioorg. Chem. 2020, 100, 103944. [Google Scholar] [CrossRef]
- Song, Y.L.; Feng, S.R.; Feng, J.J.; Dong, J.J.; Yang, K.; Liu, Z.M.; Qiao, X.Q. Synthesis and biological evaluation of novel pyrazoline derivatives containing indole skeleton as anti-cancer agents targeting topoisomerase II. Eur. J. Med. Chem. 2020, 200, 112459. [Google Scholar] [CrossRef]
- Sener, N.; Ozkinali, S.; Altunoglu, Y.C.; Yerlikaya, S.; Gokce, H.; Zurnaci, M.; Gur, M.; Baloglu, M.C.; Sener, I. Antiproliferative properties and structural analysis of newly synthesized Schiff bases bearing pyrazole derivatives and molecular docking studies. J. Mol. Struct. 2021, 1241, 130520. [Google Scholar] [CrossRef]
- Cai, W.X.; Wu, J.W.; Sun, Y.Z.; Liu, A.L.; Wang, R.L.; Ma, Y.; Wang, S.Q.; Dong, W.L. Synthesis, evaluation, molecular dynamics simulation and targets identification of novel pyrazole-containing imide derivatives. J. Biomol. Struct. Dyn. 2021, 39, 2176–2188. [Google Scholar] [CrossRef]
- Zimnitskiy, N.S.; Barkov, A.Y.; Ulitko, M.V.; Kutyashev, I.B.; Korotaev, V.Y.; Sosnovskikh, V.Y. An expedient synthesis of novel spiro indenoquinoxaline-pyrrolizidine-pyrazole conjugates with anticancer activity from 1,5-diarylpent-4-ene-1,3-diones through the 1,3-dipolar cycloaddition/cyclocondensation sequence. New J. Chem. 2020, 44, 16185–16199. [Google Scholar] [CrossRef]
- El Azab, I.H.; El-Sheshtawy, H.S.; Bakr, R.B.; Elkanzi, N.A.A. New 1,2,3-Triazole-Containing Hybrids as Antitumor Candidates: Design, Click Reaction Synthesis, DFT Calculations, and Molecular Docking Study. Molecules 2021, 26, 708. [Google Scholar] [CrossRef] [PubMed]
- Ragab, F.A.; Nissan, Y.M.; Seif, E.M.; Maher, A.; Arafa, R.K. Synthesis and in vitro investigation of novel cytotoxic pyrimidine and pyrazolopyrimidne derivatives showing apoptotic effect. Bioorg. Chem. 2020, 96, 103621. [Google Scholar] [CrossRef]
- Mohamady, S.; Ismail, M.I.; Mogheith, S.M.; Attia, Y.M.; Taylor, S.D. Discovery of 5-aryl-3-thiophen-2-yl-1H-pyrazoles as a new class of Hsp90 inhibitors in hepatocellular carcinoma. Bioorg. Chem. 2020, 94, 103433. [Google Scholar] [CrossRef]
- El Azab, I.H.; Bakr, R.B.; Elkanzi, N.A.A. Facile One-Pot Multicomponent Synthesis of Pyrazolo-Thiazole Substituted Pyridines with Potential Anti-Proliferative Activity: Synthesis, In Vitro and In Silico Studies. Molecules 2021, 26, 3103. [Google Scholar] [CrossRef]
- Wang, G.C.; Liu, W.J.; Peng, Z.Y.; Huang, Y.; Gong, Z.P.; Li, Y.J. Design, synthesis, molecular modeling, and biological evaluation of pyrazole-naphthalene derivatives as potential anticancer agents on MCF-7 breast cancer cells by inhibiting tubulin polymerization. Bioorg. Chem. 2020, 103, 104141. [Google Scholar] [CrossRef]
- Mohamed, M.F.; Saddiq, A.A.; Abdelhamid, I.A. Attacking the mitochondria of colorectal carcinoma by novel 2-cyanoacrylamides linked to ethyl 1,3-diphenylpyrazole-4-carboxylates moiety as a new trend for chemotherapy. Bioorg. Chem. 2020, 103, 104195. [Google Scholar] [CrossRef]
- Burgart, Y.V.; Agafonova, N.A.; Shchegolkov, E.V.; Krasnykh, O.P.; Kushch, S.O.; Evstigneeva, N.P.; Gerasimova, N.A.; Maslova, V.V.; Triandafilova, G.A.; Solodnikov, S.Y.; et al. Multiple biological active 4-aminopyrazoles containing trifluoromethyl and their 4-nitroso-precursors: Synthesis and evaluation. Eur. J. Med. Chem. 2020, 208, 112768. [Google Scholar] [CrossRef]
- Anwer, K.E.; Sayed, G.H. Conventional and microwave reactions of 1,3-diaryl-5,4-enaminonitrile-pyrazole derivative with expected antimicrobial and anticancer activities. J. Heterocycl. Chem. 2020, 57, 2339–2353. [Google Scholar] [CrossRef]
- Hassan, A.Y.; Saleh, N.M.; Kadh, M.S.; Abou-Amra, E.S. New fused pyrazolopyrimidine derivatives; heterocyclic styling, synthesis, molecular docking and anticancer evaluation. J. Heterocycl. Chem. 2020, 57, 2704–2721. [Google Scholar] [CrossRef]
- Kolluri, P.K.; Gurrapu, N.; Subhashini, N.; Putta, S.; Singh, S.S.; Vani, T.; Manga, V. Design, synthesis of novel (Z)-2-(3-(4-((3-benzyl-2, 4-dioxothiazolidin-5-ylidene) methyl)-1-phenyl-1H-pyrazol-3-yl) phenoxy)-N-arylacetamide derivatives: Evaluation of cytotoxic activity and molecular docking studies. J. Mol. Struct. 2020, 1202, 127300. [Google Scholar] [CrossRef]
- Mamidala, S.; Aravilli, R.K.; Ramesh, G.; Khajavali, S.; Chedupaka, R.; Manga, V.; Vedula, R.R. A facile one-pot, three-component synthesis of a new series of thiazolyl pyrazole carbaldehydes: In vitro anticancer evaluation, in silico ADME/T, and molecular docking studies. J. Mol. Struct. 2021, 1236, 130356. [Google Scholar] [CrossRef]
- Raghu, M.S.; Kumar, C.B.P.; Prashanth, M.K.; Kumar, K.Y.; Prathibha, B.S.; Kanthimathi, G.; Alissa, S.A.; Alghulikah, H.A.; Osman, S.M. Novel 1,3,5-triazine-based pyrazole derivatives as potential antitumor agents and EFGR kinase inhibitors: Synthesis, cytotoxicity, DNA binding, molecular docking and DFT studies. New J. Chem. 2021, 45, 13909–13924. [Google Scholar] [CrossRef]
- Mohammed, E.Z.; Mahmoud, W.R.; George, R.F.; Hassan, G.S.; Omar, F.A.; Georgey, H.H. Synthesis, in vitro anticancer activity and in silico studies of certain pyrazole-based derivatives as potential inhibitors of cyclin dependent kinases (CDKs). Bioorg. Chem. 2021, 116, 105347. [Google Scholar] [CrossRef]
- Suryanarayana, K.; Robert, A.R.; Kerru, N.; Pooventhiran, T.; Thomas, R.; Maddila, S.; Jonnalagadda, S.B. Design, synthesis, anticancer activity and molecular docking analysis of novel dinitrophenylpyrazole bearing 1,2,3-triazoles. J. Mol. Struct. 2021, 1243, 130865. [Google Scholar] [CrossRef]
- Wang, Y.Y.; Shi, W.; Wu, C.L.; Wan, L.; Zhao, Y.X.; Zhang, C.L.; Gu, W.; Wang, S.F. Pyrazole ring-containing isolongifolanone derivatives as potential CDK2 inhibitors: Evaluation of anticancer activity and investigation of action mechanism. Biomed. Pharmacother. 2021, 139, 111663. [Google Scholar] [CrossRef]
- Signorello, M.G.; Rapetti, F.; Meta, E.; Sidibè, A.; Bruno, O.; Brullo, C. New Series of Pyrazoles and Imidazo-Pyrazoles Targeting Different Cancer and Inflammation Pathways. Molecules 2021, 26, 5735. [Google Scholar] [CrossRef]
- Alfei, S.; Brullo, C.; Caviglia, D.; Piatti, G.; Zorzoli, A.; Marimpietri, D.; Zuccari, G.; Schito, A.M. Pyrazole-Based Water-Soluble Dendrimer Nanoparticles as a Potential New Agent against Staphylococci. Biomedicines 2021, 10, 17. [Google Scholar] [CrossRef]
- Morretta, E.; Sidibè, A.; Spallarossa, A.; Petrella, A.; Meta, E.; Bruno, O.; Monti, M.C.; Brullo, C. Synthesis, functional proteomics and biological evaluation of new 5-pyrazolyl ureas as potential anti-angiogenic compounds. Eur. J. Med. Chem. 2021, 226, 113872. [Google Scholar] [CrossRef] [PubMed]
- Ebenezer, O.; Awolade, P.; Koorbanally, N.; Singh, P. New library of pyrazole-imidazo 1,2-alpha pyridine molecular conjugates: Synthesis, antibacterial activity and molecular docking studies. Chem. Biol. Drug Des. 2020, 95, 162–173. [Google Scholar] [CrossRef] [PubMed]
- El-Shershaby, M.H.; El-Gamal, K.M.; Bayoumi, A.H.; El-Adl, K.; Alswah, M.; Ahmed, H.E.A.; Al-Karmalamy, A.A.; Abulkhair, H.S. The antimicrobial potential and pharmacokinetic profiles of novel quinoline-based scaffolds: Synthesis and in silico mechanistic studies as dual DNA gyrase and DHFR inhibitors. New J. Chem. 2021, 45, 13986–14004. [Google Scholar] [CrossRef]
- Hansa, R.K.C.; Khan, M.M.K.; Frangie, M.M.; Gilmore, D.F.; Shelton, R.S.; Savenka, A.V.; Basnakian, A.G.; Shuttleworth, S.L.; Smeltzer, M.S.; Alam, M.A. 4-4-(Anilinomethyl)-3-4-(trifluoromethyl)phenyl-1H-pyrazol-1-ylbenzoic acid derivatives as potent anti-gram-positive bacterial agents. Eur. J. Med. Chem. 2021, 219, 113402. [Google Scholar] [CrossRef]
- Liu, H.; Chu, Z.W.; Xia, D.G.; Cao, H.Q.; Lv, X.H. Discovery of novel multi-substituted benzo-indole pyrazole schiff base derivatives with antibacterial activity targeting DNA gyrase. Bioorg. Chem. 2020, 99, 103807. [Google Scholar] [CrossRef]
- Patel, B.; Zunk, M.; Grant, G.; Rudrawar, S. Design, synthesis and bioactivity evaluation of novel pyrazole linked phenylthiazole derivatives in context of antibacterial activity. Bioorg. Med. Chem. Lett. 2021, 39, 127853. [Google Scholar] [CrossRef]
- Ebenezer, O.; Singh-Pillay, A.; Koorbanally, N.A.; Singh, P. Antibacterial evaluation and molecular docking studies of pyrazole-thiosemicarbazones and their pyrazole-thiazolidinone conjugates. Mol. Divers. 2021, 25, 191–204. [Google Scholar] [CrossRef]
- Bhirud, J.D.; Patil, R.D.; Narkhede, H.P. Sulfamic acid catalyzed synthesis of new 3,5- (sub)phenyl -1H-pyrazole bearing N-1-isonicotinoyl: And their pharmacological activity evaluation. Bioorg. Med. Chem. Lett. 2020, 30, 127558. [Google Scholar] [CrossRef]
- Ibrahim, S.A.; Fayed, E.A.; Rizk, H.F.; Desouky, S.E.; Ragab, A. Hydrazonoyl bromide precursors as DHFR inhibitors for the synthesis of bis-thiazolyl pyrazole derivatives; antimicrobial activities, antibiofilm, and drug combination studies against MRSA. Bioorg. Chem. 2021, 116, 105339. [Google Scholar] [CrossRef]
- Desai, N.C.; Vaja, D.V.; Monapara, J.D.; Manga, V.; Vani, T. Synthesis, biological evaluation, and molecular docking studies of novel pyrazole, pyrazoline-clubbed pyridine as potential antimicrobial agents. J. Heterocycl. Chem. 2021, 58, 737–750. [Google Scholar] [CrossRef]
- Saber, A.F.; Zaki, R.M.; El-Dean, A.M.K.; Radwan, S.M. Synthesis, reactions, and spectral characterization of some new biologically active compounds derived from thieno 2,3-c pyrazole-5-carboxamide. J. Heterocycl. Chem. 2020, 57, 238–247. [Google Scholar] [CrossRef]
- Othman, I.M.M.; Gad-Elkareem, M.A.M.; Amr, A.E.; Al-Omar, M.A.; Nossier, E.S.; Elsayed, E.A. Novel heterocyclic hybrids of pyrazole targeting dihydrofolate reductase: Design, biological evaluation andinsilicostudies. J. Enzyme Inhib. Med. Chem. 2020, 35, 1491–1502. [Google Scholar] [CrossRef] [PubMed]
- Yu, B.; Zhou, S.; Cao, L.; Hao, Z.; Yang, D.; Guo, X.; Zhang, N.; Bakulev, V.A.; Fan, Z. Design, Synthesis, and Evaluation of the Antifungal Activity of Novel Pyrazole–Thiazole Carboxamides as Succinate Dehydrogenase Inhibitors. J. Agric. Food Chem. 2020, 68, 7093–7102. [Google Scholar] [CrossRef] [PubMed]
- Wang, X.B.; Wang, A.; Qu, L.L.; Chen, M.; Lu, A.M.; Li, G.H.; Yang, C.L.; Xue, W. Expedient Discovery for Novel Antifungal Leads Targeting Succinate Dehydrogenase: Pyrazole-4-formylhydrazide Derivatives Bearing a Diphenyl Ether Fragment. J. Agric. Food Chem. 2020, 68, 14426–14437. [Google Scholar] [CrossRef]
- Zhao, Y.T.; Yang, N.; Deng, Y.M.; Tao, K.; Jin, H.; Hou, T.P. Mechanism of Action of Novel Pyrazole Carboxamide Containing a Diarylamine Scaffold against Rhizoctonia solani. J. Agric. Food Chem. 2020, 68, 11068–11076. [Google Scholar] [CrossRef]
- Tan, F.S.; Su, S.N.; Liu, Z.Z. Green synthesis and antifungal activities of novel 3-(trifluoromethyl)-4,5-dihydro-1H-furo 2,3-c pyrazole derivatives. J. Heterocycl. Chem. 2020, 57, 2904–2910. [Google Scholar] [CrossRef]
- Kaddouri, Y.; Abrigach, F.; Ouahhoud, S.; Benabbes, R.; El Kodadi, M.; Alsalme, A.; Al-Zaqri, N.; Warad, I.; Touzani, R. Synthesis, characterization, reaction mechanism prediction and biological study of mono, bis and tetrakis pyrazole derivatives against Fusarium oxysporum f. sp. Albedinis with conceptual DFT and ligand-protein docking studies. Bioorg. Chem. 2021, 110, 104696. [Google Scholar] [CrossRef]
- Masaret, G.S. A New Approach for the Synthesis and Biological Activities of Novel Thiazolyl-Pyrazole Derivatives. ChemistrySelect 2021, 6, 974–982. [Google Scholar] [CrossRef]
- Phougat, H.; Devi, V.; Rai, S.; Reddy, T.S.; Singh, K. Urea derivatives of piperazine doped with pyrazole-4-carboxylic acids: Synthesis and antimicrobial evaluation. J. Heterocycl. Chem. 2021, 58, 1992–1999. [Google Scholar] [CrossRef]
- Dong, C.T.; Gao, W.; Li, X.T.; Sun, S.S.; Huo, J.Q.; Wang, Y.E.; Ren, D.; Zhang, J.L.; Chen, L. Synthesis of pyrazole-4-carboxamides as potential fungicide candidates. Mol. Divers. 2021, 25, 2379–2388. [Google Scholar] [CrossRef]
- Makhanya, T.R.; Gengan, R.M.; Kasumbwe, K. Synthesis of Fused Indolo-Pyrazoles and Their Antimicrobial and Insecticidal Activities against Anopheles arabiensis Mosquito. ChemistrySelect 2020, 5, 2756–2762. [Google Scholar] [CrossRef]
- Bayazeed, A.; Alshehrei, F.; Muhammad, Z.A.; Alfahmi, G.; El-Metwally, N.; Farghaly, T.A. Synthesis of Coumarin-Analogues: Analytical, Spectral, Conformational, MOE-Docking and Antimicrobial Studies. ChemistrySelect 2020, 5, 3874–3891. [Google Scholar] [CrossRef]
- Wang, X.B.; Wang, M.Q.; Han, L.; Jin, F.; Jiao, J.; Chen, M.; Yang, C.L.; Xue, W. Novel Pyrazole-4-acetohydrazide Derivatives Potentially Targeting Fungal Succinate Dehydrogenase: Design, Synthesis, Three-Dimensional Quantitative Structure-Activity Relationship, and Molecular Docking. J. Agric. Food Chem. 2021, 69, 9557–9570. [Google Scholar] [CrossRef] [PubMed]
- Wu, Z.B.; Park, H.Y.; Xie, D.W.; Yang, J.X.; Hou, S.T.; Shahzad, N.; Kim, C.K.; Yang, S. Synthesis, Biological Evaluation, and 3D-QSAR Studies of N-(Substituted pyridine-4-yl)-1-(substituted phenyl)-5-trifluoromethyl-1H-pyrazole-4-carboxamide Derivatives as Potential Succinate Dehydrogenase Inhibitors. J. Agric. Food Chem. 2021, 69, 1214–1223. [Google Scholar] [CrossRef] [PubMed]
- Xia, D.G.; Cheng, X.; Liu, X.H.; Zhang, C.Q.; Wang, Y.X.; Liu, Q.Y.; Zeng, Q.; Huang, N.Q.; Cheng, Y.; Lv, X.H. Discovery of Novel Pyrazole Carboxylate Derivatives Containing Thiazole as Potential Fungicides. J. Agric. Food Chem. 2021, 69, 8358–8365. [Google Scholar] [CrossRef] [PubMed]
- Kattimani, P.P.; Somagond, S.M.; Bayannavar, P.K.; Kamble, R.R.; Bijjaragi, S.C.; Hunnur, R.K.; Joshi, S.D. Novel 5-(1-aryl-1H-pyrazol-3-yl)-1H-tetrazoles as glycogen phosphorylase inhibitors: An in vivo antihyperglycemic activity study. Drug Dev. Res. 2020, 81, 70–84. [Google Scholar] [CrossRef]
- Bansal, G.; Singh, S.; Monga, V.; Thanikachalam, P.V.; Chawla, P. Synthesis and biological evaluation of thiazolidine-2,4-dione-pyrazole conjugates as antidiabetic, anti-inflammatory and antioxidant agents. Bioorg. Chem. 2019, 92, 103271. [Google Scholar] [CrossRef]
- Pogaku, V.; Gangarapu, K.; Basavoju, S.; Tatapudi, K.K.; Katragadda, S.B. Design, synthesis, molecular modelling, ADME prediction and antihyperglycemic evaluation of new pyrazole-triazolopyrimidine hybrids as potent alpha-glucosidase inhibitors. Bioorg. Chem. 2019, 93, 103307. [Google Scholar] [CrossRef]
- Karrouchi, K.; Brandan, S.A.; Sert, Y.; El-marzouqi, H.; Radi, S.; Ferbinteanu, M.; Faouzi, M.E.; Garcia, Y.; Ansar, M. Synthesis, X-ray structure, vibrational spectroscopy, DFT, biological evaluation and molecular docking studies of (E)-N′-(4-(dimethylamino)benzylidene)-5-methyl-1H-pyrazole-3-carbohydrazide. J. Mol. Struct. 2020, 1219, 128541. [Google Scholar] [CrossRef]
- Singh, P.; Mothilal, S.; Kerru, N.; Singh-Pillay, A.; Gummidi, L.; Erukainure, O.L.; Islam, M.S. Comparative -glucosidase and -amylase inhibition studies of rhodanine-pyrazole conjugates and their simple rhodanine analogues. Med. Chem. Res. 2019, 28, 143–159. [Google Scholar] [CrossRef]
- Jo, J.; Lee, D.; Park, Y.H.; Choi, H.; Han, J.; Park, D.H.; Choi, Y.K.; Kwak, J.; Yang, M.K.; Yoo, J.W.; et al. Discovery and optimization of novel 3-benzyl-N-phenyl-1H-pyrazole-5-carboxamides as bifunctional antidiabetic agents stimulating both insulin secretion and glucose uptake. Eur. J. Med. Chem. 2021, 217, 113325. [Google Scholar] [CrossRef] [PubMed]
- Pogaku, V.; Krishnan, R.; Basavoju, S. Synthesis and biological evaluation of new benzo d 1,2,3 triazol-1-yl-pyrazole-based dihydro- 1,2,4 triazolo 4,3-a pyrimidines as potent antidiabetic, anticancer and antioxidant agents. Res. Chem. Intermed. 2021, 47, 551–571. [Google Scholar] [CrossRef]
- Kaur, R.; Palta, K.; Kumar, M. Hybrids of Isatin-Pyrazole as Potential α-Glucosidase Inhibitors: Synthesis, Biological Evaluations and Molecular Docking Studies. ChemistrySelect 2019, 4, 13219–13227. [Google Scholar] [CrossRef]
- Kausar, N.; Ullah, S.; Khan, M.A.; Zafar, H.; Atia tul, W.; Choudhary, M.I.; Yousuf, S. Celebrex derivatives: Synthesis, α-glucosidase inhibition, crystal structures and molecular docking studies. Bioorg. Chem. 2021, 106, 104499. [Google Scholar] [CrossRef] [PubMed]
- Taj, S.; Ahmad, M.; Alshammari, A.; Alghamdi, A.; Ali Ashfaq, U. Exploring the therapeutic potential of benzothiazine-pyrazole hybrid molecules against alpha-glucosidase: Pharmacological and molecular modelling based approach. Saudi J. Biol. Sci. 2021, 29, 1416–1421. [Google Scholar] [CrossRef]
- Shen, J.; Deng, X.; Sun, R.; Tavallaie, M.S.; Wang, J.; Cai, Q.; Lam, C.; Lei, S.; Fu, L.; Jiang, F. Structural optimization of pyrazolo[1,5-a]pyrimidine derivatives as potent and highly selective DPP-4 inhibitors. Eur. J. Med. Chem. 2020, 208, 112850. [Google Scholar] [CrossRef]
- Karrouchi, K.; Fettach, S.; Anouar, E.H.; Tüzün, B.; Radi, S.; Alharthi, A.I.; Ghabbour, H.A.; Mabkhot, Y.N.; Faouzi, M.E.A.; Ansar, M.; et al. Synthesis, crystal structure, DFT, α-glucosidase and α-amylase inhibition and molecular docking studies of (E)-N′-(4-chlorobenzylidene)-5-phenyl-1H-pyrazole-3-carbohydrazide. J. Mol. Struct. 2021, 1245, 131067. [Google Scholar] [CrossRef]
- Verma, G.; Khan, M.F.; Nainwal, L.M.; Ishaq, M.; Akhter, M.; Bakht, A.; Anwer, T.; Afrin, F.; Islamuddin, M.; Husain, I.; et al. Targeting malaria and leishmaniasis: Synthesis and pharmacological evaluation of novel pyrazole-1,3,4-oxadiazole hybrids. Part II. Bioorg. Chem. 2019, 89, 102986. [Google Scholar] [CrossRef]
- Camargo, J.D.A.; Pianoski, K.E.; Dos Santos, M.G.; Lazarin-Bidoia, D.; Volpato, H.; Moura, S.; Nakamura, C.V.; Rosa, F.A. Antiparasitic Behavior of Trifluoromethylated Pyrazole 2-Amino-1,3,4-thiadiazole Hybrids and Their Analogues: Synthesis and Structure-Activity Relationship. Front. Pharmacol. 2020, 11, 591570. [Google Scholar] [CrossRef]
- Da Silva, M.J.V.; Jacomini, A.P.; Goncalves, D.S.; Pianoski, K.E.; Poletto, J.; Lazarin-Bidoia, D.; Volpato, H.; Nakamura, C.V.; Rosa, F.A. Discovery of 1,3,4,5-tetrasubstituted pyrazoles as anti-trypanosomatid agents: Identification of alterations in flagellar structure of L. amazonensis. Bioorg. Chem. 2021, 114, 105082. [Google Scholar] [CrossRef]
- Akolkar, H.N.; Dengale, S.G.; Deshmukh, K.K.; Karale, B.K.; Darekar, N.R.; Khedkar, V.M.; Shaikh, M.H. Design, Synthesis and Biological Evaluation of Novel Furan & Thiophene Containing Pyrazolyl Pyrazolines as Antimalarial Agents. Polycycl. Aromat. Compd. 2020, 11, 1–3. [Google Scholar] [CrossRef]
- Strasek, N.; Lavrencic, L.; Ostrek, A.; Slapsak, D.; Groselj, U.; Klemencic, M.; Zugelj, H.B.; Wagger, J.; Novinec, M.; Svete, J. Tetrahydro-1H,5H-pyrazolo 1,2-a pyrazole-1-carboxylates as inhibitors of Plasmodium falciparum dihydroorotate dehydrogenase. Bioorg. Chem. 2019, 89, 102982. [Google Scholar] [CrossRef] [PubMed]
- Gogoi, P.; Shakya, A.; Ghosh, S.K.; Gogoi, N.; Gahtori, P.; Singh, N.; Bhattacharyya, D.R.; Singh, U.P.; Bhat, H.R. In silico study, synthesis, and evaluation of the antimalarial activity of hybrid dimethoxy pyrazole 1,3,5-triazine derivatives. J. Biochem. Mol. Toxicol. 2021, 35, 22682. [Google Scholar] [CrossRef] [PubMed]
- Ali, T.E.; Bakhotmah, D.A.; Assiri, M.A. Synthesis of some new functionalized pyrano 2,3-c pyrazoles and pyrazolo 4′,3′:5,6 pyrano 2,3-d pyrimidines bearing a chromone ring as antioxidant agents. Synth. Commun. 2020, 50, 3314–3325. [Google Scholar] [CrossRef]
- Ali, S.A.; Awad, S.M.; Said, A.M.; Mahgoub, S.; Taha, H.; Ahmed, N.M. Design, synthesis, molecular modelling and biological evaluation of novel 3-(2-naphthyl)-1-phenyl-1H-pyrazole derivatives as potent antioxidants and 15-Lipoxygenase inhibitors. J. Enzyme Inhib. Med. Chem. 2020, 35, 847–863. [Google Scholar] [CrossRef]
- De Oliveira, D.H.; Sousa, F.S.S.; Birmann, P.T.; Pesarico, A.P.; Alves, D.; Jacob, R.G.; Savegnago, L. Evaluation of antioxidant activity and toxicity of sulfur- or selenium-containing 4-(arylchalcogenyl)-1H-pyrazoles. Can. J. Physiol. Pharmacol. 2020, 98, 441–448. [Google Scholar] [CrossRef]
- El-Badawy, A.A.; Elgubbi, A.S.; El-Helw, E.A.E. Acryloyl isothiocyanate skeleton as a precursor for synthesis of some novel pyrimidine, triazole, triazepine, thiadiazolopyrimidine and acylthiourea derivatives as antioxidant agents. J. Sulphur Chem. 2021, 42, 295–307. [Google Scholar] [CrossRef]
- El-Borai, M.A.; Rizk, H.F.; Ibrahim, S.A.; Fares, A.K.; El-Tahawy, M.M.T.; Beltagy, D.M. Assessment of anti-hemolytic, cytotoxicity, antioxidant activities and molecular docking study based on thienopyrazole scaffold as pharmacophore. J. Mol. Struct. 2021, 1240, 130602. [Google Scholar] [CrossRef]
- Elnagdy, H.M.F.; Gogoi, N.G.; Handique, J.G.; Sarma, D. CuO-NPs/TFA: A New Catalytic System to Synthesize a Novel Series of Pyrazole Imines with High Antioxidant Properties. Bionanoscience 2021, 11, 929–938. [Google Scholar] [CrossRef]
- Kaddouri, Y.; Abrigach, F.; Yousfi, E.; El Kodadi, M.; Touzani, R. New thiazole, pyridine and pyrazole derivatives as antioxidant candidates: Synthesis, DFT calculations and molecular docking study. Heliyon 2020, 6, E03185. [Google Scholar] [CrossRef] [Green Version]
- Naveen, S.; Kumara, K.; Kumar, A.D.; Kumar, K.A.; Zarrouk, A.; Warad, I.; Lokanath, N.K. Synthesis, characterization, crystal structure, Hirshfeld surface analysis, antioxidant properties and DFT calculations of a novel pyrazole derivative: Ethyl 1-(2,4-dimethylphenyl)-3-methy1-5-phenyl-1H-pyrazole-4-carboxylate. J. Mol. Struct. 2021, 1226, 129350. [Google Scholar] [CrossRef]
- Tabarsaei, N.; Hamedani, N.F.; Shafiee, S.; Khandan, S.; Hossaini, Z. Catalyst-free green synthesis and study of antioxidant activity of new pyrazole derivatives. J. Heterocycl. Chem. 2020, 57, 2945–2954. [Google Scholar] [CrossRef]
- Kumara, K.; Prabhudeva, M.G.; Vagish, C.B.; Vivek, H.K.; Rai, K.M.L.; Lokanath, N.K.; Kumar, K.A. Design, synthesis, characterization, and antioxidant activity studies of novel thienyl-pyrazoles. Heliyon 2021, 7, E07592. [Google Scholar] [CrossRef] [PubMed]
- Patila, P.; Yadava, A.; Bavkar, L.; Nippu, B.N.; Satyanarayanc, N.D.; Maned, A.; Gurava, A.; Hangirgekara, S.; Sankpala, S. MerDABCO-SO3H Cl catalyzed synthesis, antimicrobial and antioxidant evaluation and molecular docking study of pyrazolopyranopyrimidines. J. Mol. Struct. 2021, 1242, 130672. [Google Scholar] [CrossRef]
- Popova, S.A.; Pavlova, E.V.; Shevchenko, O.G.; Chukicheva, I.Y.; Kutchin, A.V. Isobornylchalcones as Scaffold for the Synthesis of Diarylpyrazolines with Antioxidant Activity. Molecules 2021, 26, 3579. [Google Scholar] [CrossRef]
- Jagadale, S.M.; Abhale, Y.K.; Pawar, H.R.; Shinde, A.; Bobade, V.D.; Chavan, A.P.; Sarkar, D.; Mhaske, P.C. Synthesis of New Thiazole and Pyrazole Clubbed 1,2,3-Triazol Derivatives as Potential Antimycobacterial and Antibacterial Agents. Polycycl. Aromat. Compd. 2020, 28, 1–22. [Google Scholar] [CrossRef]
- Reddy, G.S.; Snehalatha, A.V.; Edwin, R.K.; Hossain, K.A.; Giliyaru, V.B.; Hariharapura, R.C.; Gautham Shenoy, G.; Misra, P.; Pal, M. Synthesis of 3-indolylmethyl substituted (pyrazolo/benzo)triazinone derivatives under Pd/Cu-catalysis: Identification of potent inhibitors of chorismate mutase (CM). Bioorg. Chem. 2019, 91, 103155. [Google Scholar] [CrossRef]
- Ray, P.C.; Huggett, M.; Turner, P.A.; Taylor, M.; Cleghorn, L.A.T.; Early, J.; Kumar, A.; Bonnett, S.A.; Flint, L.; Joerss, D.; et al. Spirocycle MmpL3 Inhibitors with Improved hERG and Cytotoxicity Profiles as Inhibitors of Mycobacterium tuberculosis Growth. ACS Omega 2021, 6, 2284–2311. [Google Scholar] [CrossRef]
- Hu, X.; Wan, B.; Liu, Y.; Shen, J.; Franzblau, S.G.; Zhang, T.; Ding, K.; Lu, X. Identification of Pyrazolo[1,5-a]pyridine-3-carboxamide Diaryl Derivatives as Drug Resistant Antituberculosis Agents. ACS Med. Chem. Lett. 2019, 10, 295–299. [Google Scholar] [CrossRef]
- Parikh, P.H.; Timaniya, J.B.; Patel, M.J.; Patel, K.P. Microwave-assisted synthesis of pyrano 2,3-c-pyrazole derivatives and their anti-microbial, anti-malarial, anti-tubercular, and anti-cancer activities. J. Mol. Struct. 2022, 1249, 131605. [Google Scholar] [CrossRef]
- Desai, N.C.; Bhatt, K.; Monapara, J.; Pandit, U.; Khedkar, V.M. Conventional and Microwave-Assisted Synthesis, Antitubercular Activity, and Molecular Docking Studies of Pyrazole and Oxadiazole Hybrids. ACS Omega 2021, 6, 28270–28284. [Google Scholar] [CrossRef] [PubMed]
- Shaik, A.B.; Bhandar, R.R.; Nissankararao, S.; Edis, Z.; Tangirala, N.R.; Shahanaaz, S.; Rahman, M.M. Design, facile synthesis and characterization of dichloro substituted chalcones and dihydropyrazole derivatives for their antifungal, antitubercular and antiproliferative activities. Molecules 2020, 25, 3188. [Google Scholar] [CrossRef] [PubMed]
- Pola, S.; Banoth, K.K.; Sankaranarayanan, M.; Ummani, R.; Garlapati, A. Design, synthesis, in silico studies, and evaluation of novel chalcones and their pyrazoline derivatives for antibacterial and antitubercular activities. Med. Chem. Res. 2020, 29, 1819–1835. [Google Scholar] [CrossRef]
- Patel, D.M.; Sharma, M.G.; Vala, R.M.; Lagunes, I.; Puerta, A.; Padron, J.M.; Rajani, D.P.; Patel, H.M. Hydroxyl alkyl ammonium ionic liquid assisted green and one-pot regioselective access to functionalized pyrazolodihydropyridine core and their pharmacological evaluation. Bioorg. Chem. 2019, 86, 137–150. [Google Scholar] [CrossRef] [PubMed]
- Modi, P.; Patel, S.; Chhabria, M. Structure-based design, synthesis and biological evaluation of a newer series of pyrazolo[1,5-a]pyrimidine analogues as potential anti-tubercular agents. Bioorg. Chem. 2019, 87, 240–251. [Google Scholar] [CrossRef]
- Pogaku, V.; Krishna, V.S.; Sriram, D.; Rangan, K.; Basavoju, S. Ultrasonication-ionic liquid synergy for the synthesis of new potent anti-tuberculosis 1,2,4-triazol-1-yl-pyrazole based spirooxindolopyrrolizidines. Bioorg. Med. Chem. Lett. 2019, 29, 1682–1687. [Google Scholar] [CrossRef]
- Brahmbhatt, G.C.; Sutariya, T.R.; Atara, H.D.; Parmar, N.J.; Gupta, V.K.; Lagunes, I.; Padrón, J.M.; Murumkar, P.R.; Yadav, M.R. New pyrazolyl-dibenzo[b,e][1,4]diazepinones: Room temperature one-pot synthesis and biological evaluation. Mol. Divers. 2020, 24, 355–377. [Google Scholar] [CrossRef]
- Kishk, S.M.; McLean, K.J.; Sood, S.; Smith, D.; Evans, J.W.D.; Helal, M.A.; Gomaa, M.S.; Salama, I.; Mostafa, S.M.; De Carvalho, L.P.S.; et al. Design and Synthesis of Imidazole and Triazole Pyrazoles as Mycobacterium Tuberculosis CYP121A1 Inhibitors. ChemistryOpen 2019, 8, 995–1011. [Google Scholar] [CrossRef] [Green Version]
- Vavaiya, B.; Patel, S.; Pansuriya, V.; Marvaniya, V.; Patel, P. Synthesis, anti-tubercular evaluation and molecular docking studies of nitrogen-rich piperazine-pyrimidine-pyrazole hybrid motifs. Curr. Chem. Lett. 2022, 11, 95–104. [Google Scholar] [CrossRef]
- Wong, K.T.; Osman, H.; Parumasivam, T.; Supratman, U.; Che Omar, M.T.; Azmi, M.N. Synthesis, characterization and biological evaluation of new 3,5-disubstituted-pyrazoline derivatives as potential anti-Mycobacterium tuberculosis H37Ra compounds. Molecules 2021, 26, 2081. [Google Scholar] [CrossRef]
- Chen, H.; Wang, B.; Li, P.; Yan, H.; Li, G.; Huang, H.H.; Lu, Y. The optimization and characterization of functionalized sulfonamides derived from sulfaphenazole against Mycobacterium tuberculosis with reduced CYP 2C9 inhibition. Bioorg. Med. Chem. Lett. 2021, 40, 127924. [Google Scholar] [CrossRef] [PubMed]
- Takate, S.J.; Shinde, A.D.; Karale, B.K.; Akolkar, H.; Nawale, L.; Sarkar, D.; Mhaske, P.C. Thiazolyl-pyrazole derivatives as potential antimycobacterial agents. Bioorg. Med. Chem. Lett. 2019, 29, 1199–1202. [Google Scholar] [CrossRef] [PubMed]
- He, B.; Dong, J.; Lin, H.Y.; Wang, M.Y.; Li, X.K.; Zheng, B.F.; Chen, Q.; Hao, G.F.; Yang, W.C.; Yang, G.F. Pyrazole-Isoindoline-1,3-dione Hybrid: A Promising Scaffold for 4-Hydroxyphenylpyruvate Dioxygenase Inhibitors. J. Agric. Food Chem. 2019, 67, 10844–10852. [Google Scholar] [CrossRef]
- Jiang, B.B.; Guo, B.B.; Cui, J.L.; Dong, Y.W.; Cui, L.; Zhang, L.; Yang, Q.; Yang, X.L. New lead discovery of insect growth regulators based on the scaffold hopping strategy. Bioorg. Med. Chem. Lett. 2020, 30, 127500. [Google Scholar] [CrossRef]
- Zhao, Y.Y.; Li, H.G.; Sun, P.W.; Gao, L.; Liu, J.B.; Zhou, S.; Xiong, L.X.; Yang, N.; Li, Y.X.; Li, Z.M. Synthesis, biological activities, and SAR studies of novel 1-(2-chloro-4,5-difluorophenyl)-1H-pyyrazole derivatives. Bioorg. Med. Chem. Lett. 2020, 30, 127535. [Google Scholar] [CrossRef] [PubMed]
- Judge, N.R.; Chacktas, G.; Ma, L.; Schink, A.; Buckpesch, R.; Schmutzler, D.; Machettira, A.B.; Dietrich, H.; Asmus, E.; Bierer, D.; et al. Flexible Synthesis and Herbicidal Activity of Fully Substituted 3-Hydroxypyrazoles. Eur. J. Org. Chem. 2021, 2021, 5677–5684. [Google Scholar] [CrossRef]
- Khallaf, A.; Wang, P.; Zhuo, S.P.; Zhu, H.J.; Liu, H. Synthesis, insecticidal activities, and structure-activity relationships of 1,3,4-oxadiazole-ring-containing pyridylpyrazole-4-carboxamides as novel insecticides of the anthranilic diamide family. J. Heterocycl. Chem. 2021, 58, 2189–2202. [Google Scholar] [CrossRef]
Publisher’s Note: MDPI stays neutral with regard to jurisdictional claims in published maps and institutional affiliations. |
© 2022 by the authors. Licensee MDPI, Basel, Switzerland. This article is an open access article distributed under the terms and conditions of the Creative Commons Attribution (CC BY) license (https://creativecommons.org/licenses/by/4.0/).
























































