Fabrication of Doxorubicin-Loaded Lipid-Based Nanocarriers by Microfluidic Rapid Mixing
Abstract
:1. Introduction
2. Materials and Methods
2.1. Materials
2.2. LNC-Dox Production
2.3. Lipo-Dox Production
2.4. Particle Size Measurement
2.5. Quantification of Doxorubicin
2.6. Drug-to-Lipid Ratio and Entrapment Efficiency Analysis
2.7. Cryo-Electron Microscopy (Cryo-EM) of LNC-Dox
2.8. In Vitro Drug Release and Normalized Drug Release Study of LNC-Dox
2.9. In Vitro Serum Stability
2.10. In Vitro Cellular Study
2.11. Formulation Optimization by Response Surface Methodology (RSM)
2.12. In Vivo Antitumor Efficacy of LNC-Dox
2.13. Statistics
3. Results and Discussions
3.1. Influence of Total Flow Rate and Flow Rate Ratio on LNC-Dox Formation
3.2. LNC-Dox Made with EPG Showed a High D/L Ratio and Exhibited an Electron-Dense Core Structure Revealed by Cryo-TEM
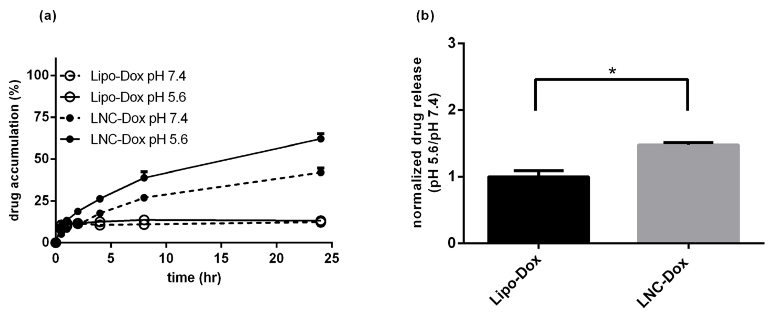
3.3. In Vitro Characterization and In Vivo Therapeutic Efficacy of LNC-Dox
3.4. Modification of LNC-Dox Lipid Composition Based on the Critical Packing Parameter
3.5. LNC-Dox Optimization by Response Surface Methodology (RSM)
3.5.1. The Effects of Lipid Composition on Particle Size Distribution
3.5.2. The Effects of Lipid Composition and FRR on PDI
3.5.3. The Effects of DOPA Amounts on the EE% and D/L Ratio of LNC-Dox
3.5.4. The Effects of Lipid Composition on the Stability and Normalized Drug Release of LNC-Dox
3.6. Best Possible Formulation Selection and the Validation of Models
3.7. In Vitro and In Vivo Therapeutic Efficacy of the Optimized LNC-Dox
4. Conclusions
5. Patents
Supplementary Materials
Author Contributions
Funding
Institutional Review Board Statement
Informed Consent Statement
Acknowledgments
Conflicts of Interest
References
- Fobian, S.-F.; Cheng, Z.; Hagen, T.L.M.T. Smart Lipid-Based Nanosystems for Therapeutic Immune Induction against Cancers: Perspectives and Outlooks. Pharmaceutics 2021, 14, 26. [Google Scholar] [CrossRef] [PubMed]
- Abdulbaqi, I.; Assi, R.; Yaghmur, A.; Darwis, Y.; Mohtar, N.; Parumasivam, T.; Saqallah, F.; Wahab, H. Pulmonary Delivery of Anticancer Drugs via Lipid-Based Nanocarriers for the Treatment of Lung Cancer: An Update. Pharmaceuticals 2021, 14, 725. [Google Scholar] [CrossRef] [PubMed]
- García-Pinel, B.; Porras-Alcalá, C.; Ortega-Rodríguez, A.; Sarabia, F.; Prados, J.; Melguizo, C.; López-Romero, J.M. Lipid-Based Nanoparticles: Application and Recent Advances in Cancer Treatment. Nanomaterials 2019, 9, 638. [Google Scholar] [CrossRef] [PubMed] [Green Version]
- Mayer, L.D.; Bally, M.B.; Cullis, P.R. Strategies for Optimizing Liposomal Doxorubicin. J. Liposome Res. 1990, 1, 463–480. [Google Scholar] [CrossRef]
- Shinozawa, S.; Araki, Y.; Oda, T. Tissue distribution and antitumor effect of liposome-entrapped doxorubicin (adriamycin) in Ehrlich solid tumor-bearing mouse. Acta Med. Okayama 1981, 35, 395–405. [Google Scholar] [CrossRef] [PubMed]
- Bulbake, U.; Doppalapudi, S.; Kommineni, N.; Khan, W. Liposomal Formulations in Clinical Use: An Updated Review. Pharmaceutics 2017, 9, 12. [Google Scholar] [CrossRef] [PubMed]
- Zhao, Y.; Alakhova, D.Y.; Kim, J.O.; Bronich, T.K.; Kabanov, A.V. A simple way to enhance Doxil (R) therapy: Drug release from liposomes at the tumor site by amphiphilic block copolymer. J. Control. Release 2013, 168, 61–69. [Google Scholar] [CrossRef] [Green Version]
- Toley, B.J.; Lovatt, Z.G.T.; Harrington, J.L.; Forbes, N.S. Microfluidic technique to measure intratumoral transport and calculate drug efficacy shows that binding is essential for doxorubicin and release hampers Doxil. Integr. Biol. 2013, 5, 1184–1196. [Google Scholar] [CrossRef]
- Zhang, H. Thin-Film Hydration Followed by Extrusion Method for Liposome Preparation. Methods Mol. Biol. 2017, 1522, 17–22. [Google Scholar]
- Patil, Y.P.; Jadhav, S. Novel methods for liposome preparation. Chem. Phys. Lipids 2014, 177, 8–18. [Google Scholar] [CrossRef]
- Shah, S.; Dhawan, V.; Holm, R.; Nagarsenker, M.S.; Perrie, Y. Liposomes: Advancements and innovation in the manufacturing process. Adv. Drug Deliv. Rev. 2020, 154–155, 102–122. [Google Scholar] [CrossRef] [PubMed]
- Zhang, L.; Chen, Q.; Ma, Y.; Sun, J. Microfluidic Methods for Fabrication and Engineering of Nanoparticle Drug Delivery Systems. ACS Appl. Bio Mater. 2020, 3, 107–120. [Google Scholar] [CrossRef] [PubMed]
- Ugrinic, M.; Demello, A.; Tang, T.-Y.D. Microfluidic Tools for Bottom-Up Synthetic Cellularity. Chem 2019, 5, 1727–1742. [Google Scholar] [CrossRef]
- Deshpande, S.; Dekker, C. On-chip microfluidic production of cell-sized liposomes. Nat. Protoc. 2018, 13, 856–874. [Google Scholar] [CrossRef] [PubMed]
- Zhigaltsev, I.V.; Belliveau, N.; Hafez, I.; Leung, A.K.K.; Huft, J.; Hansen, C.; Cullis, P.R. Bottom-Up Design and Synthesis of Limit Size Lipid Nanoparticle Systems with Aqueous and Triglyceride Cores Using Millisecond Microfluidic Mixing. Langmuir 2012, 28, 3633–3640. [Google Scholar] [CrossRef] [PubMed]
- Roces, C.B.; Lou, G.; Jain, N.; Abraham, S.; Thomas, A.; Halbert, G.W.; Perrie, Y. Manufacturing Considerations for the Development of Lipid Nanoparticles Using Microfluidics. Pharmaceutics 2020, 12, 1095. [Google Scholar] [CrossRef]
- Whitesides, G.M. The origins and the future of microfluidics. Nature 2006, 442, 368–373. [Google Scholar] [CrossRef]
- Yu, L.X. Pharmaceutical quality by design: Product and process development, understanding, and control. Pharm. Res. 2008, 25, 781–791. [Google Scholar] [CrossRef]
- López, R.R.; Ocampo, I.; Sánchez, L.-M.; Alazzam, A.; Bergeron, K.-F.; Camacho-León, S.; Mounier, C.; Stiharu, I.; Nerguizian, V. Surface Response Based Modeling of Liposome Characteristics in a Periodic Disturbance Mixer. Micromachines 2020, 11, 235. [Google Scholar] [CrossRef] [Green Version]
- Medinger, J.; Nedyalkova, M.; Lattuada, M. Solvothermal Synthesis Combined with Design of Experiments—Optimization Approach for Magnetite Nanocrystal Clusters. Nanomaterials 2021, 11, 360. [Google Scholar] [CrossRef]
- Ahmad, A.; Rehman, M.U.; Wali, A.F.; El-Serehy, H.A.; Al-Misned, F.A.; Maodaa, S.N.; Aljawdah, H.M.; Mir, T.M.; Ahmad, P. Box–Behnken Response Surface Design of Polysaccharide Extraction from Rhododendron arboreum and the Evaluation of Its Antioxidant Potential. Molecules 2020, 25, 3835. [Google Scholar] [CrossRef] [PubMed]
- Bartlett, G.R. Phosphorus assay in column chromatography. J. Biol. Chem. 1959, 234, 466–468. [Google Scholar] [CrossRef]
- Szoka, F.; Papahadjopoulos, D. Comparative Properties and Methods of Preparation of Lipid Vesicles (Liposomes). Annu. Rev. Biophys. Bioeng. 1980, 9, 467–508. [Google Scholar] [CrossRef] [PubMed]
- Mdlovu, N.V.; Lin, K.-S.; Weng, M.-T.; Hsieh, C.-C.; Lin, Y.-S.; Espinoza, M.J.C. In vitro intracellular studies of pH and thermo-triggered doxorubicin conjugated magnetic SBA-15 mesoporous nanocarriers for anticancer activity against hepatocellular carcinoma. J. Ind. Eng. Chem. 2021, 102, 1–16. [Google Scholar] [CrossRef]
- Battig, M.R.; Soontornworajit, B.; Wang, Y. Programmable Release of Multiple Protein Drugs from Aptamer-Functionalized Hydrogels via Nucleic Acid Hybridization. J. Am. Chem. Soc. 2012, 134, 12410–12413. [Google Scholar] [CrossRef]
- Braet, K.; Aspeslagh, S.; Vandamme, W.; Willecke, K.; Martin, P.E.M.; Evans, W.H.; Leybaert, L. Pharmacological sensitivity of ATP release triggered by photoliberation of inositol-1,4,5-trisphosphate and zero extracellular calcium in brain endothelial cells. J. Cell. Physiol. 2003, 197, 205–213. [Google Scholar] [CrossRef]
- Deol, P.; Khuller, G. Lung specific stealth liposomes: Stability, biodistribution and toxicity of liposomal antitubercular drugs in mice. Biochim. Biophys. Acta Gen. Subj. 1997, 1334, 161–172. [Google Scholar] [CrossRef]
- Evjen, T.J.; Nilssen, E.A.; Rögnvaldsson, S.; Brandl, M.; Fossheim, S.L. Distearoylphosphatidylethanolamine-based liposomes for ultrasound-mediated drug delivery. Eur. J. Pharm. Biopharm. 2010, 75, 327–333. [Google Scholar] [CrossRef] [Green Version]
- Chonn, A.; Semple, S.C.; Cullis, P.R. Separation of Large Unilamellar Liposomes from Blood Components by a Spin Column Procedure-Towards Identifying Plasma-Proteins Which Mediate Liposome Clearance Invivo. Biochim. Biophys. Acta 1991, 1070, 215–222. [Google Scholar] [CrossRef]
- Li, J.; Shen, S.; Kong, F.; Jiang, T.; Tang, C.; Yin, C. Effects of pore size on in vitro and in vivo anticancer efficacies of mesoporous silica nanoparticles. RSC Adv. 2018, 8, 24633–24640. [Google Scholar] [CrossRef] [Green Version]
- Quagliarini, E.; Renzi, S.; Digiacomo, L.; Giulimondi, F.; Sartori, B.; Amenitsch, H.; Tassinari, V.; Masuelli, L.; Bei, R.; Cui, L.; et al. Microfluidic Formulation of DNA-Loaded Multicomponent Lipid Nanoparticles for Gene Delivery. Pharmaceutics 2021, 13, 1292. [Google Scholar] [CrossRef]
- Kastner, E.; Kaur, R.; Lowry, D.; Moghaddam, B.; Wilkinson, A.; Perrie, Y. High-throughput manufacturing of size-tuned liposomes by a new microfluidics method using enhanced statistical tools for characterization. Int. J. Pharm. 2014, 477, 361–368. [Google Scholar] [CrossRef] [PubMed] [Green Version]
- D’Addio, S.M.; Prud’Homme, R.K. Controlling drug nanoparticle formation by rapid precipitation. Adv. Drug Deliv. Rev. 2011, 63, 417–426. [Google Scholar] [CrossRef] [PubMed]
- Johnson, B.K.; Prud’Homme, R.K. Chemical processing and micromixing in confined impinging jets. AIChE J. 2003, 49, 2264–2282. [Google Scholar] [CrossRef]
- Rahman, A.; Kessler, A.; More, N.; Sikic, B.; Rowden, G.; Woolley, P.; Schein, P.S. Liposomal protection of adriamycin-induced cardiotoxicity in mice. Cancer Res. 1980, 40, 1532–1537. [Google Scholar]
- Gabizon, A.; Meshorer, A.; Barenholz, Y. Comparative Long-Term Study of the Toxicities of Free and Liposome-Associated Doxorubicin in Mice After Intravenous Administration2. J. Natl. Cancer Inst. 1986, 77, 459–469. [Google Scholar] [CrossRef]
- Storm, G.; Roerdink, F.H.; A Steerenberg, P.; De Jong, W.H.; Crommelin, D.J. Influence of lipid composition on the antitumor activity exerted by doxorubicin-containing liposomes in a rat solid tumor model. Cancer Res. 1987, 47, 3366–3372. [Google Scholar]
- Olson, F.; Mayhew, E.; Maslow, D.; Rustum, Y.; Szoka, F. Characterization, toxicity and therapeutic efficacy of adriamycin encapsulated in liposomes. Eur. J. Cancer Clin. Oncol. 1982, 18, 167–176. [Google Scholar] [CrossRef]
- Leung, A.K.K.; Hafez, I.M.; Baoukina, S.; Belliveau, N.M.; Zhigaltsev, I.V.; Afshinmanesh, E.; Tieleman, D.P.; Hansen, C.L.; Hope, M.J.; Cullis, P.R. Lipid Nanoparticles Containing siRNA Synthesized by Microfluidic Mixing Exhibit an Electron-Dense Nanostructured Core. J. Phys. Chem. C 2012, 116, 18440–18450. [Google Scholar] [CrossRef]
- Eygeris, Y.; Patel, S.; Jozic, A.; Sahay, G. Deconvoluting Lipid Nanoparticle Structure for Messenger RNA Delivery. Nano Lett. 2020, 20, 4543–4549. [Google Scholar] [CrossRef]
- Arteta, M.Y.; Kjellman, T.; Bartesaghi, S.; Wallin, S.; Wu, X.; Kvist, A.J.; Lindfors, L. Successful reprogramming of cellular protein production through mRNA delivered by functionalized lipid nanoparticles. Proc. Natl. Acad. Sci. USA 2018, 115, E3351–E3360. [Google Scholar]
- Hag, L.V.; Gras, S.L.; Conn, C.E.; Drummond, C.J. Lyotropic liquid crystal engineering moving beyond binary compositional space–ordered nanostructured amphiphile self-assembly materials by design. Chem. Soc. Rev. 2017, 46, 2705–2731. [Google Scholar] [CrossRef]
- Kobierski, J.; Wnętrzak, A.; Chachaj-Brekiesz, A.; Dynarowicz-Latka, P. Predicting the packing parameter for lipids in monolayers with the use of molecular dynamics. Colloids Surf. B Biointerfaces 2021, 211, 112298. [Google Scholar] [CrossRef] [PubMed]
- Walde, P.; Giuliani, A.M.; Boicelli, C.; Luisi, P.L. Phospholipid-based reverse micelles. Chem. Phys. Lipids 1990, 53, 265–288. [Google Scholar] [CrossRef]
- de Wolf, F.A.; Maliepaard, M.; van Dorsten, F.; Berghuis, I.; Nicolay, K.; de Kruijff, B. Comparable interaction of doxorubicin with various acidic phospholipids results in changes of lipid order and dynamics. Biochim. Biophys. Acta Mol. Basis Dis. 1990, 1096, 67–80. [Google Scholar] [CrossRef]
- Zook, J.M.; Vreeland, W.N. Effects of temperature, acyl chain length, and flow-rate ratio on liposome formation and size in a microfluidic hydrodynamic focusing device. Soft Matter 2010, 6, 1352–1360. [Google Scholar] [CrossRef]
- Gabizon, A.; Goren, D.; Horowitz, A.T.; Tzemach, D.; Lossos, A.; Siegal, T. Long-circulating liposomes for drug delivery in cancer therapy: A review of biodistribution studies in tumor-bearing animals. Adv. Drug Deliv. Rev. 1997, 24, 337–344. [Google Scholar] [CrossRef]
- Parr, M.; Masin, D.; Cullis, P.R.; Bally, M.B. Accumulation of liposomal lipid and encapsulated doxorubicin in murine Lewis lung carcinoma: The lack of beneficial effects by coating liposomes with poly(ethylene glycol). J. Pharmacol. Exp. Ther. 1997, 280, 1319–1327. [Google Scholar]











| Sample | Dox-Loaded Lipid-Based Nanocarriers | |
|---|---|---|
| Without EPG | With EPG | |
| Particle size (nm) | 86.3 ± 21.8 | 85.4 ± 22.1 |
| PDI | 0.051 | 0.165 |
| D/L (w/w) | 0.062 | 0.225 |
| Factors | Levels | |||
|---|---|---|---|---|
| −1 | 0 | 1 | ||
| A | DOPA% | 20 | 50 | 80 |
| B | DOPE% | 0 | 50 | 100 |
| C | FRR | 3 | 4 | 5 |
| Responses | Goals | |||
| A | Particle size | <200 nm | ||
| B | PDI | <0.3 | ||
| C | Entrapment efficiency | >40% | ||
| D | D/L ratio | >0.125 | ||
| E | Stability | >56% (within 24 h) | ||
| F | Normalized drug release | >1.5 | ||
| Response | Suggested | Model Equations in Terms of Important Coded Factors | Model Sequential p-Value | R2 | Adjusted R2 | Predicted R2 | Adequate Precision |
|---|---|---|---|---|---|---|---|
| Particle size | Linear | −0.0000005672 × A + 0.000009104 × B − 0.000001001 × C | <0.001 | 0.9593 | 0.9742 | 0.8746 | 21.608 |
| PDI | Mean | +0.1149 | <0.0001 | 0 | 0 | −0.1378 | N/A |
| EE | 2F1 | +0.5153 + 0.0811 × A − 0.0454 × B + 0.0200 × C − 0.0382 × AC − 0.0421 × BC | 0.0003 | 0.9761 | 0.9641 | 0.9289 | 30.0192 |
| D/L ratio | Linear | +0.1530 + 0.0269 × A + 0.0454 × C | <0.0001 | 0.9422 | 0.9333 | 0.9178 | 32.559 |
| Stability | Quadratic | +0.8486 + 0.0058 × A − 0.0218 × B + 0.0014 × C + 0.0333 × AC − 0.0265 × B2 | 0.0024 | 0.9582 | 0.9372 | 0.8570 | 21.9604 |
| Normalized drug release | Linear | +2.70 + 0.5558 × A − 0.3800 × B − 0.0777 × C − 0.3292 × AB + 0.3340 × AC | <0.0001 | 0.9695 | 0.9542 | 0.9075 | 30.4475 |
| Response | Predicted Value | Actual Value | Error Percentage % |
|---|---|---|---|
| Particle size (nm) | 95.139 | 97.5 ± 22.6 | 2.48 |
| PDI | 0.115 | 0.134 ± 0.016 | 16.5 |
| EE% | 65.9 | 62.7 ± 3.9 | 4.8 |
| D/L | 0.224 | 0.225 ± 0.027 | 0.4 |
| Normalized drug release | 3.999 | 3.15 ± 0.11 | 21.2 |
| Stability | 0.877 | 0.8345 ± 0.018 | 4.8 |
Publisher’s Note: MDPI stays neutral with regard to jurisdictional claims in published maps and institutional affiliations. |
© 2022 by the authors. Licensee MDPI, Basel, Switzerland. This article is an open access article distributed under the terms and conditions of the Creative Commons Attribution (CC BY) license (https://creativecommons.org/licenses/by/4.0/).
Share and Cite
Lee, C.-Y.; Tsai, T.; Peng, P.-C.; Chen, C.-T. Fabrication of Doxorubicin-Loaded Lipid-Based Nanocarriers by Microfluidic Rapid Mixing. Biomedicines 2022, 10, 1259. https://doi.org/10.3390/biomedicines10061259
Lee C-Y, Tsai T, Peng P-C, Chen C-T. Fabrication of Doxorubicin-Loaded Lipid-Based Nanocarriers by Microfluidic Rapid Mixing. Biomedicines. 2022; 10(6):1259. https://doi.org/10.3390/biomedicines10061259
Chicago/Turabian StyleLee, Chia-Ying, Tsuimin Tsai, Po-Chun Peng, and Chin-Tin Chen. 2022. "Fabrication of Doxorubicin-Loaded Lipid-Based Nanocarriers by Microfluidic Rapid Mixing" Biomedicines 10, no. 6: 1259. https://doi.org/10.3390/biomedicines10061259
APA StyleLee, C.-Y., Tsai, T., Peng, P.-C., & Chen, C.-T. (2022). Fabrication of Doxorubicin-Loaded Lipid-Based Nanocarriers by Microfluidic Rapid Mixing. Biomedicines, 10(6), 1259. https://doi.org/10.3390/biomedicines10061259

