Abstract
(1) Background. Breast cancer is the leading cancer type among women. Despite convenient diagnostics at early stages, there is a need for continuous monitoring to predict more aggressive or recurring breast cancer forms. The evidence suggests that the detection of genetic biomarkers could help in improving disease management and reduce mortality. Matrix metalloproteinases (MMPs) are a large family of enzymes that perform physiologically relevant functions and have the potential properties to be biomarkers for cancer assessment. We aimed to evaluate the contribution and association of single-nucleotide polymorphisms (SNPs) in MMP genes (MMP1, MMP2, MMP3, MMP7, MMP8, MMP9) with clinicopathological breast-cancer features. (2) Methods. In this study, 100 breast cancer patients were genotyped by polymerase chain reaction–restriction fragment length polymorphism methodology (PCR–RFLP). (3) Results. The presence of the MMP7 rs11568818 A allele was associated with lower chances for poorly differentiated breast cancer. The lower possibility for HER2-positive breast cancer was associated with the presence of the MMP9 rs3918242 C allele. (4) Conclusions. These results indicate that MMP7 rs11568818 and MMP9 rs3918242 are potential biomarkers for the anticipation of breast cancer aggressiveness.
1. Introduction
Breast cancer (BC) is globally the most common cancer among women, making this disease a leading cause of morbidity and mortality [1]. Despite many tools in early diagnostics, therapy, and prevention, BC is a very heterogeneous disease that poses challenges to treatment and the prediction of outcomes [2,3]. Tumors of BC differ in their clinical and histopathological features, biomarkers, and genetic profiles. Biomarkers that enable the distinction of a more aggressive form of BC would help in the determination of patients’ prognosis and in choosing a more appropriate treatment [3,4,5,6].
Matrix metalloproteinases (MMPs) are a family of proteolytic enzymes that play a crucial role in many physiological processes owing to their tremendous capacity to degrade extracellular proteins. At least 23 of these multidomain zinc-dependent endopeptidases are expressed in humans [7,8,9,10]. Imbalances in the MMP system regarding different gene variants and altered gene expression levels are linked to several pathologies, one of which is cancer. One of the best studied MMPs is MMP1. Despite important physiological functions, clinical studies found associations between changes in MMP1 and various cancers [11,12,13]. One of the studied single-nucleotide polymorphisms (SNPs) in the MMP1 promoter region is rs1799750, which controls the transcriptional activity of MMP1, and was associated with the incidence and progression of several types of cancer [14,15,16,17,18,19,20]. Several polymorphisms have been studied in the MMP2 gene. The results of SNPs and expression analysis showed associations with cancers, including BC [21,22]. rs3025058, located in MMP3, is also regarded as one of the potential genetic factors for BC assessment in different populations [14,23,24]. The studies showed that the overexpression of MMP7 is common for a wide variety of cancers. Moreover, SNPs in MMP7 are associated with an increased risk of cancer development, tumor characteristics and the course of disease [25,26]. It is hypothesized that different variants in the promoter region of MMP8 may also influence cancer risk and prognosis [27,28,29]. Furthermore, associations between polymorphisms and clinical features were found in BC patients assessing the effect of MMP9 [14,21,24,29,30]. Taken together, the role of MMPs in cancer development renders them a prominent target. Therefore, we investigated the correlation between several polymorphisms in MMPs and BC clinicopathological features. The results could provide new information, and the studied SNPs might be the useful genetic markers for patient stratification in the future.
2. Materials and Methods
2.1. Study Population
This association study comprised 100 premenopausal 30–50-year-old women diagnosed with stage I–II BC. All subjects were of Lithuanian nationality and were recruited for this study from the Hospital of Lithuanian University of Health Sciences Kauno klinikos, Kaunas, Lithuania. The exclusion criteria were other malignancies, significant comorbidities, and incomplete medical documentation. The participants received and signed a consent form before entering the study. The research was approved by the Kaunas Regional Biomedical Research Ethics Committee (2014-05-07 protocol no. BE-2-10 and 2015-12-31 protocol no. P1-BE-2-10/2014).
2.2. DNA Extraction and Polymerase Chain Reaction—Restriction Fragment Length Polymorphism (PCR-RFLP)
Blood samples were collected in EDTA-containing tubes from all included subjects. Genomic DNA was extracted from peripheral blood leukocytes using a commercially available DNA extraction kit (ThermoFisher Scientific Baltics, Vilnius, Lithuania) according to the manufacturer’s instructions. Isolated DNA was stored at −20 °C until analysis.
SNPs were analyzed with the polymerase chain reaction–restriction fragment length polymorphism (PCR–RFLP) method. PCR was performed in a total volume of 25 µL. Conditions for each SNP of interest were optimized individually. The PCR profile for MMP1 rs1799750 polymorphism was 7 min of denaturation at 95 °C, then 35 cycles of 95 °C for 30 s, 51 °C for 1 min, and 72 °C for 35 s. The final cycle had a 7 min extension at 72 °C. For MMP2 rs243865 analysis, PCR cycling conditions were 94 °C for 5 min following 40 cycles (94 °C 30 s, 60.9 °C 30 s, 72 °C 30 s) amplification with the final step at 72 °C for 10 min. In order to analyze MMP3 rs3025058 and MMP9 rs3918242 polymorphisms, DNA fragments were amplified by PCR using the following conditions: 95 °C for 5 min following 35 cycles (95 °C 30 s, 66 °C 30 s, 72 °C 30 s) of polymerization and finishing with a final extension at 72 °C for 5 min. For MMP7 rs11568818 polymorphism determination, the thermal cycling program was employed as follows: 95 °C for 7 min, followed by 35 cycles (95 °C 30 s, 49 °C 1 min, and 72 °C 35 s), and a final elongation step at 72 °C for 7 min. For MMP8 rs11225395 polymorphism detection, PCR conditions were 94 °C for 5 min followed by 38 cycles (94 °C 30 s, 56.6 °C 30 s, 72 °C 30 s) with a final step at 72 °C for 10 min. The amplification reactions were followed by visualization on 3% agarose gel in order to ensure the size of the product. PCR products were digested at 37 °C, subjected to 3% agarose gel electrophoresis, and visualized by ethidium bromide staining. PCR primer sequences, digestion enzymes for each SNP, and sizes of digested DNA fragments are depicted in Table 1.
Table 1.
Primer sequences for analyzed gene polymorphisms, length of PCR–RFLP products, and restriction enzymes.
2.3. Statistical Analysis
The deviation from Hardy–Weinberg equilibrium (HWE) was tested. Pearson’s chi-squared or Fisher’s exact tests were used to determine the relationships between genotypes and clinicopathological characteristics. Differences in allele and genotype distributions were analyzed using logistic regression. The odds ratio (OR) and 95% confidence interval (CI) were used as a measure of the strength of association between polymorphism and characteristic. SNP association analyses were conducted using univariate logistic regression, followed by multivariate regression for significant positive associations. The multivariate analyses were performed in three models (1–3). Model 1 included SNP and age at diagnosis as a potential covariate. In Model 2, the receptors as additional confounding variables were involved. In Model 3, tumor size and lymph node involvement as additional confounding variables were included. When the p-value was <0.05, results were considered to be statistically significant. Survival curves were estimated using the Kaplan–Meier method. Statistical significance was assessed using the log-rank test. Statistical analysis was carried out using IBM SPSS Statistics 27.0.1 statistical software.
3. Results
3.1. Cohort Characteristics and Genotypes Distribution
A total of 100 BC patients were included in this study with the prior consent of each individual. The group consisted only of women. The average age of the subjects was 42.21 ± 5.51 years, and the age range was 30–50 years. In this study, we searched for associations among six genetic variants of MMPs (MMP1 rs1799750, MMP2 rs243865, MMP3 rs3025058, MMP7 rs11568818, MMP8 rs11225395, MMP9 rs3918242) and characteristics including patient age at diagnosis, tumor size (T), the status of lymph node involvement (N), the status of estrogen (ER), progesterone (PR), and human epidermal growth factor receptor 2 (HER2) receptors, tumor histological type (ductal, lobular, medullary, and other) and grade (G1–G2 and G3), progression, metastasis, and death (Table 2). The frequencies of the relevant distribution of genotype variants in the studied population were similar to published data of the European Population Allele Frequencies from the 1000 Genomes Project Database and are listed in Table 3. SNP genotype frequencies were in HWE.
Table 2.
Characteristics of the study group (n = 100).
Table 3.
Genotypes distribution of MMPs polymorphisms in the study group (n = 100).
3.2. Associations of SNPs with BC
We aimed to determine the link between various SNPs in MMP genes and clinicopathological characteristics of BC, and disease progression, metastasis, and death. None of the studied SNPs showed any significant association with age at breast cancer diagnosis, tumor size (T), lymph node involvement (N), the status of estrogen receptor (ER), tumor histological type, progression, metastasis, and death. However, MMP1 rs1799750 and MMP7 rs11568818 were significantly associated with tumor histological grade (p < 0.05). Meanwhile, MMP8 rs11225395 was associated with the status of progesterone receptor (PR), while MMP9 rs3918242 was significantly associated with the status of HER2 receptor (p < 0.05) (Supplementary Materials Table S1).
Univariate logistic regression analysis showed that patients with MMP1 rs1799750 1G1G (versus 2G2G) genotype and 2G allele noncarriers (versus carriers) were predisposed to lower rates of poorly differentiated BC (OR = 0.095, 95% CI 0.022–0.406, p = 0.001, and OR = 0.176, 95% CI 0.038–0.810, p = 0.026, respectively). Moreover, univariate analysis revealed that GG genotype of MMP7 rs11568818 showed a strong association (OR = 6.562, 95% CI 1.532–28.120, p = 0.011) with higher chances for poor differentiation of BC, compared with AA genotype. Similar results were determined analyzing rs11568818 A allele noncarriers versus carriers (OR = 5.330, 95% CI 1.424–19.941, p = 0.013) (Table 4).
Table 4.
Univariate logistic regression analysis. The odds ratio for association between SNP and tumor characteristic.
The association between MMP1 rs1799750 and G3 histological grade remained statistically significant in a multivariate logistic regression analysis Model 1, where age at diagnosis was included as a potential confounding variable. The results were very similar to those obtained from univariate logistic regression analysis. However, further adjustments for tumor receptors status (Model 2) and other variables (Model 3) resulted in the loss of significance (Table 5). Meanwhile, MMP7 rs11568818 was statistically significantly associated with poorly differentiated breast cancer in all three analyzed multivariate logistic regression models. Patients carrying the GG genotype compared to AA were predisposed to higher rates of G3 histological grade cancer: following adjustment for age at diagnosis (OR = 6.593, 95% CI 1.536–28.304, p = 0.011); age and status of tumor receptors (OR = 7.099, 95% CI 1.382–36.456, p = 0.019); age, status of tumor receptors, tumor size and lymph node involvement (OR = 8.425, 95% CI 1.286–55.200, p = 0.026). In addition, in spite of the other tumor characteristics, the poor cancer differentiation was more frequently presented in A allele noncarriers than in carriers: in multivariate analysis Model 1, OR = 5.330, 95% CI 1.423–19.968, p = 0.013, Model 2, OR = 6.568, 95% CI 1.471–29.320, p = 0.014, Model 3, OR = 9.307, 95% CI 1.568–55.253, p = 0.014.
Table 5.
Multivariate logistic regression analysis for significant positive associations assessed in the univariate analysis.
MMP8 rs11225395 did not show statistically significant association with negative status of progesterone receptor in the univariate logistic regression analysis (p > 0.05). Meanwhile, results show that the presence of MMP9 rs3918242 C allele was significantly associated with decreased chances of HER2 receptor-positive BC (OR = 0.256, 95% CI 0.157–0.419, p = 0.000) (Table 4). As indicated in Table 5, this association remained statistically significant in the multivariate analysis: Model 1, OR = 0.200, 95% CI 0.104–0.382, p = 0.000, Model 2, OR = 0.143, 95% CI 0.061–0.336, p = 0.000, Model 3, OR = 0.104, 95% CI 0.036–0.301, p = 0.000.
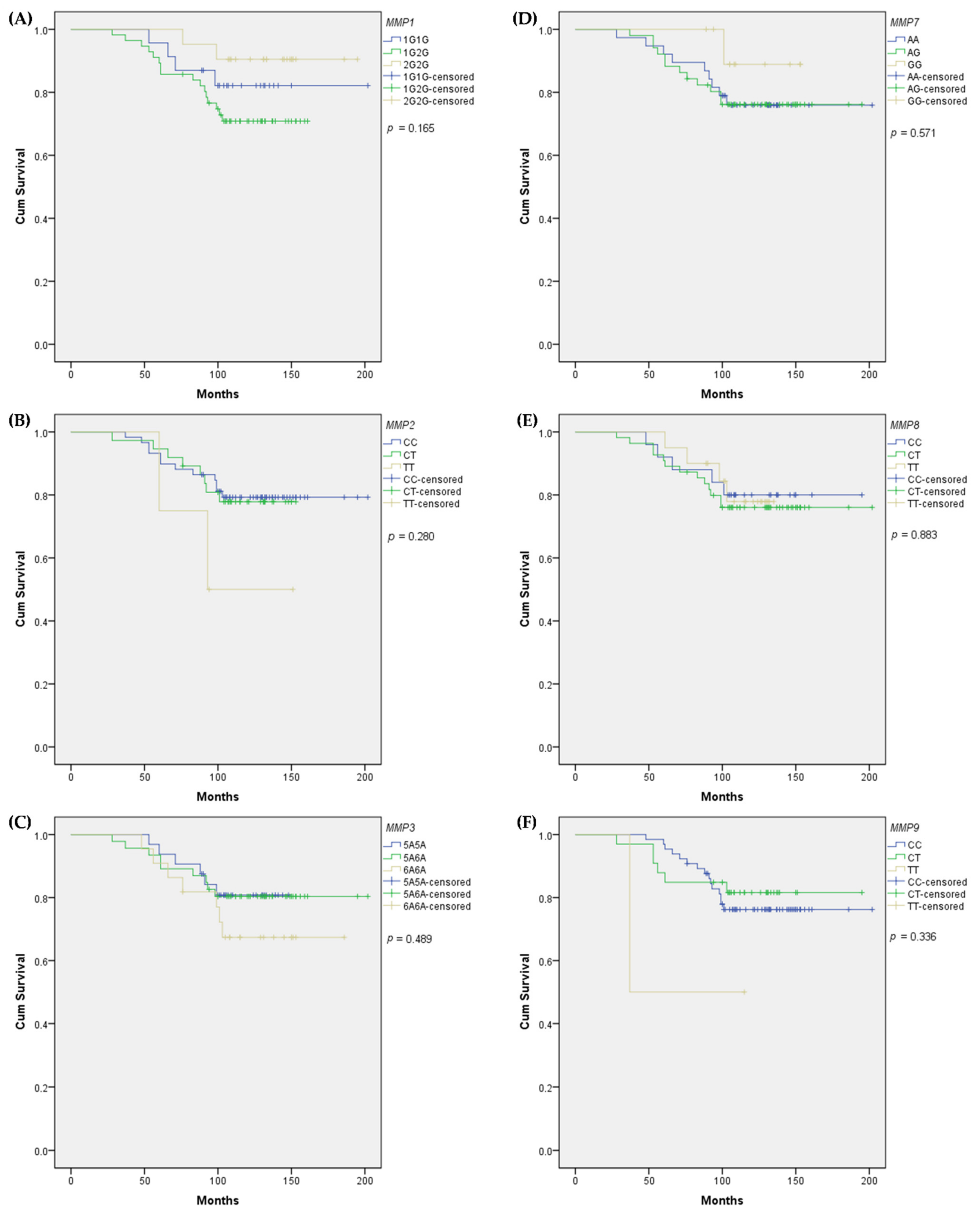
To assess the prognostic role of selected SNPs, we further tested their association with overall survival. However, no significant association was detected between all analyzed SNPs and patients’ overall survival (log-rank, p > 0.05) (Figure 1).
Figure 1.
Kaplan–Meier estimates of overall survival: (A) MMP1 rs1799750, (B) MMP2 rs243865, (C) MMP3 rs3025058, (D) MMP7 rs11568818, (E) MMP8 rs11225395, (F) MMP9 rs3918242.
4. Discussion
Breast cancer (BC) is the leading cause of cancer-related women’s death. MMP upregulation is associated with poor outcomes in BC [21,22,37]. Changes in gene expression may be influenced by polymorphisms in the promoter region. Additionally, single-nucleotide polymorphisms in MMP genes have been reported for their possible association with various cancers. The determined relation of SNPs to specific disease characteristics might significantly impact applying a more suitable treatment and improving cancer prognosis [26,38]. The purpose of the present study was to evaluate the correlation of SNPs in MMP genes to well-known clinicopathological features and course of disease in patients with breast cancer.
Although MMP1 is one of the best-studied MMPs, there are not enough studies to develop a strong attitude concerning associations between SNPs and clinical breast cancer features. In the current study, our findings from univariate analysis showed that MMP1 rs1799750 2G allele noncarriers were significantly less linked to poor breast cancer differentiation. However, the adjusted odds ratios resulted in the loss of significance, suggesting that other factors were more important in this case. Other results are in accordance with earlier studies carried out on breast cancer. Zhou et al. [39], Padala et al. [14], Przybylowska et al. [12], Lei et al. [30], and Ghilardi et al. [23] did not show any associations between the genotype distribution of MMP1 rs1799750 and age, tumor size, tumor stage and type, ER/PR status, lymph node status, distant metastasis, ethnicity, and menopausal status. However, in contrast to our results, they did not notice the association with histological grade. Meanwhile, Zhou et al. [39] claimed that the 2G2G genotype, compared to 1G2G, was associated with HER2 expression (OR = 7.5, 95% CI 1.48–37.9, p = 0.032). On the other hand, the results obtained from the study of Padala with colleagues [14] showed that the 2G2G genotype tends to be associated with decreased chances of HER2 receptor-positive breast cancer (OR = 0.43, 95% CI 0.18–1.04, p = 0.05). Hughes and colleagues [15] demonstrated that BC patients carrying the 2G2G genotype had a significant, almost threefold, increased risk of lymph node metastasis compared with subjects carrying the 1G1G genotype (OR = 2.9, 95% CI 1.4–6.2, p = 0.01). Similar results were obtained by Przybylowska et al. [12]. Their study showed that the 2G2G genotype and 2G allele were related to the higher risk of metastasis development in lymph node (OR = 2.14, 95% CI 1.24–3.69, p < 0.05 and OR = 1.68, 95% CI 1.19–2.39, p < 0.05, respectively).
In our study, MMP2 rs243865 did not show any statistically significant associations with the analyzed BC features. Our findings agree with studies of Habel et al. [40], and Saeed et al. [17], which did not reveal associations between rs243865 and status of ER, PR and HER2, tumor size, distant metastasis, nodal status, molecular type, and menarche. However, in Habel et al. [40], rs243865 was positively associated with menstrual irregularity (p = 0.005) and histological type (p = 0.002). Meanwhile, Saeed et al. [17] found that rs243865 CC was linked to the age of older patients (above 48 years) (OR = 2.35, 95% CI 1.02–5.39, p = 0.038).
The other SNP involved in this study, MMP3 rs3025058, showed no associations with the analyzed BC characteristics. In concordance with our findings, Padala et al. [14], AbdRaboh et al. [24], Lei et al. [30], and Krippl et al. [41] did not observe any associations with type of cancer, age at diagnosis, tumor size, the status of ER, PR and HER2/neu, histological grade, the status of distant metastasis. However, there are some conflicting results regarding associations with cancer stage and status of lymph nodes. A study by AbdRaboh et al. [24] showed that MMP3 rs3025058 6A allele carriers had an almost threefold increased risk for advanced (III–IV)-stage cancer (OR = 2.9, 95% CI 1.04–8.45, p < 0.05) but, in concordance to our findings, did not reveal association with the status of lymph nodes. Meanwhile, Padala et al. [14] demonstrated no association with the stage of cancer, but in their study, the rs3025058 5A6A (versus 5A5A) genotype was significantly associated with lymph-node-positive cases (OR = 2.58, 95% CI 1.39–4.80, p = 0.01).
Concerning MMP7, rs11568818 A allele noncarriers were predisposed to considerably higher rates of G3-histological-grade cancer in all analyzed statistical models. Other findings are consistent with the study of Beeghly-Fadiel et al. [25], where this SNP was not associated with patients’ age, stage of disease, menopausal status, and >ER and PR status. Additionally, Yari with colleagues [42] did not reach statistical significance when analyzing associations between rs11568818 and lymph node metastasis, the status of ER and PR, and histological type in patients from western Iran.
The most studied SNP in the MMP8 gene is rs11225395. In the present study, the investigated association of rs11225395 and PR status resulted in a loss of significance in logistic regression analysis. By contrast, Decock et al. [28] noted that the T allele predisposes to lower rates of lymph node metastasis (p = 0.02), but no associations were found between SNP and tumor size, histological grade, tumor subtype, or cancer stage. However, to our knowledge, there are no more studies evaluating the associations of rs11225395 and BC clinicopathological features. Consequently, future studies are needed to confirm or refute these results.
The analysis of MMP9 rs3918242 indicated that it is associated with HER2 status. The lower possibility of the positive status of HER2 was related to the presence of the C allele. Padala and colleagues [14] did not notice any association between MMP9 rs3918242 and stage or type of cancer, lymph node status, the status of ER, PR and HER2/neu, status of distant metastasis. Hughes et al. [15] demonstrated that subjects carrying the CT genotype had a significant, over threefold, increased risk of lymph node metastasis compared with patients carrying the CC genotype (OR = 3.4, 95% CI 1.3–8.9, p = 0.01). Moreover, a study by AbdRaboh et al. [24] demonstrated the associations of patients with MMP9 rs3918242 CT + TT genotypes to increased risk of larger (OR = 3.2, 95% CI 1.17–8.99, p < 0.05) and low histological grade (OR = 2.4, 95% CI 0.82–6.84, p < 0.05) tumors. Moreover, in line with our findings, the authors did not report any significant associations with cancer stage, the status of lymph nodes, and metastasis.
In the overall survival study, we did not notice any significant associations between the genotypes of analyzed SNPs and survival. Our findings concur with the studies of Lei et al. [30], and Padala et al. [14], in which MMP1 rs1799750, MMP2 rs243865, MMP3 rs3025058, and MMP9 rs3918242 did not correlate with survival in a breast cancer patients’ group. However, Hughes and colleagues [15] observed that the MMP1 rs1799750 2G2G genotype was associated with worse overall survival (HR = 3.1, 95% CI 1.1–8.7, p = 0.03). In the study of Beeghly-Fadiel et al. [25], MMP7 rs11568818 GG genotype carriers tended to have worse disease-free (HR = 5.5, 95% CI 2.1–14.8, p < 0.05) and overall survival (HR = 5.8, 95% CI 2.1–15.0, p < 0.05). Moreover, MMP8 rs11225395 CT + TT was associated with reduced breast cancer relapse (p = 0.04), greater overall HR = 0.7, 95% CI 0.5–1.0, p = 0.02) and disease-free survival (HR = 0.7, 95% CI 0.5–0.9, p = 0.02) among women with stage 0–II cancer in the Shanghai Breast Cancer Study [28].
5. Conclusions
Our findings showed that MMP7 rs11568818 A allele carriers were associated with better prognosis regarding lower chances for poorly differentiated breast cancer. Moreover, a better prognosis concerning lower chances for positive HER2 status was associated with the presence of the MMP9 rs3918242 C allele. Although there are several studies that investigated the associations between SNPs in MMP genes and clinicopathological features of breast cancer, the results are not fully sufficient to reach a consensus. Further studies with a larger sample and functional research should be conducted to confirm our findings and better elucidate the underlying biological mechanisms.
Supplementary Materials
The following supporting information can be downloaded at: https://www.mdpi.com/article/10.3390/biomedicines10081891/s1. Table S1. Associations between the polymorphisms and clinicopathological features of breast cancer.
Author Contributions
Conceptualization, A.B., R.U. and E.J.; methodology, A.B. and D.L.; formal analysis, A.B.; investigation, A.B. and D.L.; resources, R.U., E.K. and J.G.; data curation, E.K. and J.G.; writing—original draft preparation, A.B.; writing—review and editing, A.S., J.B., R.U., D.L., E.K., J.G. and E.J.; visualization, A.B.; supervision, R.U. and E.J. All authors have read and agreed to the published version of the manuscript.
Funding
this research was funded by the Lithuanian University of Health Sciences (LSMU).
Institutional Review Board Statement
The study was conducted in accordance with the Declaration of Helsinki, and approved by the Institutional Review Board (or Ethics Committee) of Kaunas Regional Biomedical Research Ethical Committee (protocol codes BE-2-10 and P1-BE-2-10/2014).
Informed Consent Statement
Informed consent was obtained from all subjects involved in the study.
Data Availability Statement
The data presented in this study are available on request from the corresponding author.
Conflicts of Interest
The authors declare no conflict of interest. The funders had no role in the design of the study; in the collection, analyses, or interpretation of data; in the writing of the manuscript, or in the decision to publish the results.
References
- Britt, K.L.; Cuzick, J.; Phillips, K.A. Key Steps for Effective Breast Cancer Prevention. Nat. Rev. Cancer 2020, 20, 417–436. [Google Scholar] [CrossRef]
- Zardavas, D.; Irrthum, A.; Swanton, C.; Piccart, M. Clinical Management of Breast Cancer Heterogeneity. Nat. Rev. Clin. Oncol. 2015, 12, 381–394. [Google Scholar] [CrossRef] [PubMed]
- Turashvili, G.; Brogi, E. Tumor Heterogeneity in Breast Cancer. Front. Med. 2017, 4, 227. [Google Scholar] [CrossRef] [PubMed]
- Toriola, A.T.; Colditz, G.A. Trends in Breast Cancer Incidence and Mortality in the United States: Implications for Prevention. Breast Cancer Res. Treat. 2013, 138, 665–673. [Google Scholar] [CrossRef] [PubMed]
- Jin, X.; Mu, P. Targeting Breast Cancer Metastasis. Breast Cancer Basic Clin. Res. 2015, 9, 23–34. [Google Scholar] [CrossRef]
- Nicolini, A.; Ferrari, P.; Duffy, M.J. Prognostic and Predictive Biomarkers in Breast Cancer: Past, Present and Future. Semin. Cancer Biol. 2018, 52, 56–73. [Google Scholar] [CrossRef]
- Klein, T.; Bischoff, R. Physiology and Pathophysiology of Matrix Metalloproteases. Amino Acids 2011, 41, 271–290. [Google Scholar] [CrossRef]
- Laronha, H.; Caldeira, J. Structure and Function of Human Matrix Metalloproteinases. Cells 2020, 9, 1076. [Google Scholar] [CrossRef]
- Gialeli, C.; Theocharis, A.D.; Karamanos, N.K. Roles of Matrix Metalloproteinases in Cancer Progression and their Pharmacological Targeting. FEBS J. 2011, 278, 16–27. [Google Scholar] [CrossRef]
- Kessenbrock, K.; Plaks, V.; Werb, Z. Matrix Metalloproteinases: Regulators of the Tumor Microenvironment. Cell 2010, 141, 52–67. [Google Scholar] [CrossRef]
- Liu, H.; Kato, Y.; Erzinger, S.A.; Kiriakova, G.M.; Qian, Y.; Palmieri, D.; Steeg, P.; Price, J.E. The Role of MMP-1 in Breast Cancer Growth and Metastasis to the Brain in a Xenograft Model. BMC Cancer 2012, 12, 583. [Google Scholar] [CrossRef]
- Przybylowska, K.; Kluczna, A.; Zadrozny, M.; Krawczyk, T.; Kulig, A.; Rykala, J.; Kolacinska, A.; Morawiec, Z.; Drzewoski, J.; Blasiak, J. Polymorphisms of the Promoter Regions of Matrix Metalloproteinases Genes MMP-1 and MMP-9 in Breast Cancer. Breast Cancer Res. Treat. 2006, 95, 65–72. [Google Scholar] [CrossRef]
- Jonsson, A.; Falk, P.; Angenete, E.; Hjalmarsson, C.; Ivarsson, M.L. Plasma MMP-1 Expression as a Prognostic Factor in Colon Cancer. J. Surg. Res. 2021, 266, 254–260. [Google Scholar] [CrossRef]
- Padala, C.; Tupurani, M.A.; Puranam, K.; Gantala, S.; Shyamala, N.; Kondapalli, M.S.; Gundapaneni, K.K.; Mudigonda, S.; Galimudi, R.K.; Kupsal, K.; et al. Synergistic Effect of Collagenase-1 (MMP1), Stromelysin-1 (MMP3) and Gelatinase-B (MMP9) Gene Polymorphisms in Breast Cancer. PLoS ONE 2017, 12, e0184448. [Google Scholar] [CrossRef]
- Hughes, S.; Agbaje, O.; Bowen, R.L.; Holliday, D.L.; Shaw, J.A.; Duffy, S.; Jones, J.L. Matrix Metalloproteinase Single-nucleotide Polymorphisms and Haplotypes Predict Breast Cancer Progression. Clin. Cancer Res. 2007, 13, 6673–6680. [Google Scholar] [CrossRef]
- Liao, C.H.; Tsai, C.W.; Chang, W.S.; Wang, Z.H.; Gong, C.L.; Wu, H.C.; Wang, B.R.; Hsu, S.W.; Huang, W.C.; Shen, T.C.; et al. Association of Matrix Metalloproteinase-1 Genotypes With Bladder Cancer Risk. In Vivo 2021, 35, 2535–2540. [Google Scholar] [CrossRef]
- Balkhi, S.; Mashayekhi, F.; Salehzadeh, A.; Saedi, H.S. Matrix Metalloproteinase (MMP)-1 and MMP-3 gene Variations Affect MMP-1 and -3 Serum Concentration and Associates with Breast Cancer. Mol. Biol. Rep. 2020, 47, 9637–9644. [Google Scholar] [CrossRef]
- Su, C.H.; Lane, H.Y.; Hsiao, C.L.; Liu, L.C.; Ji, H.X.; Li, H.T.; Yen, S.-T.; Su, C.-H.; Hsia, T.-C.; Chang, W.-S.; et al. Matrix Metalloproteinase-1 Genetic Polymorphism in Breast Cancer in Taiwanese. Anticancer Res. 2016, 36, 3341–3345. [Google Scholar]
- Wang, L.; Kong, B. Analysis of the Association of Matrix Metalloproteinase-1 Gene promoter (rs1799750) Polymorphism and Risk of Ovarian Cancer. Int. J. Gynecol. Cancer 2015, 25, 961–967. [Google Scholar] [CrossRef]
- Peng, Q.; Xu, Y. Association between Promoter Polymorphisms of Matrix Metalloproteinase-1 and Risk of Gastric Cancer. Onco Targets Ther. 2015, 8, 2519–2526. [Google Scholar]
- Dofara, S.G.; Chang, S.L.; Diorio, C. Gene Polymorphisms and Circulating Levels of MMP-2 and MMP-9: A Review of their Role in Breast Cancer Risk. Anticancer Res. 2020, 40, 3619–3631. [Google Scholar] [CrossRef]
- Abbas, Y.J.; Al-Tu’ma, F.J.; Al-Hemerri, A.F. Association between Matrix Metalloproteinas-2 Gene Variants and Pathogenesis of Breast Cancer in Sera of Iraqi Women. J. Contemp Med. Sci 2020, 6, 285–290. [Google Scholar] [CrossRef]
- Ghilardi, G.; Biondi, M.L.; Caputo, M.; Leviti, S.; DeMonti, M.; Guagnellini, E.; Scorza, R. A Single Nucleotide Polymorphism in the Matrix Metalloproteinase-3 Promoter Enhances Breast Cancer Susceptibility. Clin. Cancer Res. 2002, 8, 3820–3823. [Google Scholar]
- AbdRaboh, N.R.; Bayoumi, F.A. Gene Polymorphism of Matrix Metalloproteinases 3 and 9 in Breast Cancer. Gene Rep. 2016, 5, 151–156. [Google Scholar] [CrossRef]
- Beeghly-Fadiel, A.; Shu, X.O.; Long, J.; Li, C.; Cai, Q.; Cai, H.; Gao, Y.-T.; Zheng, W. Genetic Polymorphisms in the MMP-7 Gene and Breast Cancer Survival. Int. J. Cancer 2009, 124, 208–214. [Google Scholar] [CrossRef]
- Zhou, P.; Du, L.F.; Lv, G.Q.; Yu, X.M.; Gu, Y.L.; Li, J.P.; Zhang, C. Current Evidence on the Relationship Between Four Polymorphisms in the Matrix Metalloproteinases (MMP) Gene and Breast Cancer Risk: A Meta-analysis. Breast Cancer Res. Treat. 2011, 127, 813–818. [Google Scholar] [CrossRef]
- Feng, J.; Chen, Y.; Hua, W.; Sun, X.; Chen, Y.; Liu, Y.; Fan, J.; Zhao, Y.; Xu, X.; Yang, X. The MMP-8 rs11225395 Promoter Polymorphism Increases Cancer Risk of Non-Asian Populations: Evidence from a Meta-Analysis. Biomolecules 2019, 9, 570. [Google Scholar] [CrossRef]
- Decock, J.; Long, J.R.; Laxton, R.C.; Shu, X.O.; Hodgkinson, C.; Hendrickx, W.; Pearce, E.G.; Gao, Y.-T.; Pereira, A.C.; Paridaens, R.; et al. Association of Matrix Metalloproteinase-8 Gene Variation with Breast Cancer Prognosis. Cancer Res. 2007, 67, 10214–10221. [Google Scholar] [CrossRef]
- Wang, K.; Zhou, Y.; Li, G.; Wen, X.; Kou, Y.; Yu, J.; He, H.; Zhao, Q.; Xue, F.; Wang, J.; et al. MMP8 and MMP9 Gene Polymorphisms Were Associated with Breast Cancer Risk in a Chinese Han Population. Sci Rep. 2018, 8, 13422. [Google Scholar] [CrossRef]
- Lei, H.; Hemminki, K.; Altieri, A.; Johansson, R.; Enquist, K.; Hallmans, G.; Lenner, P.; Försti, A. Promoter Polymorphisms in Matrix Metalloproteinases and Their Inhibitors: Few Associations with Breast Cancer Susceptibility and Progression. Breast Cancer Res. Treat. 2007, 103, 61–69. [Google Scholar] [CrossRef]
- Tsironi, E.E.; Pefkianaki, M.; Tsezou, A.; Kotoula, M.G.; Dardiotis, E.; Almpanidou, P.; Papathanasiou, A.A.; Rodopoulou, P.; Chatzoulis, D.Z.; Hadjigeorgiou, G.M. Evaluation of MMP1 and MMP3 Gene Polymorphisms in Exfoliation Syndrome and Exfoliation Glaucoma. Mol. Vis. 2009, 15, 2890–2895. [Google Scholar] [PubMed]
- Gremlich, S.; Fratta, S.; Rebellato, E.; Uras, R.; Reymondin, D.; Damnon, F.; Germond, M.; Gerber, S. Interleukin-1 Receptor Antagonist Gene (IL-1RN) Polymorphism is a Predictive Factor of Clinical Pregnancy after IVF. Hum. Reprod. 2008, 23, 1200–1206. [Google Scholar] [CrossRef] [PubMed]
- Zhang, J.; Jin, X.; Fang, S.; Li, Y.; Wang, R.; Guo, W.; Wang, N.; Wang, Y.; Wen, D.; Wei, L.; et al. The Functional SNP in the Matrix Metalloproteinase-3 Promoter Modifies Susceptibility and Lymphatic Metastasis in Esophageal Squamous Cell Carcinoma but not in Gastric Cardiac Adenocarcinoma. Carcinogenesis 2004, 25, 2519–2524. [Google Scholar] [CrossRef] [PubMed]
- Moreno-Ortiz, J.M.; Gutiérrez-Angulo, M.; Partida-Pérez, M.; Peregrina-Sandoval, J.; Ramírez-Ramírez, R.; Muñiz-Mendoza, R.; Suárez-Villanueva, S.; Centeno-Flores, M.; Maciel-Gutiérrez, V.; Cabrales-Vazquez, J.; et al. Association of MMP7-181A/G and MMP13-77A/G Polymorphisms with Colorectal Cancer in a Mexican Population. Genet. Mol. Res. 2014, 13, 3537–3544. [Google Scholar] [CrossRef]
- Shen, T.C.; Hsia, T.C.; Chao, C.Y.; Chen, W.C.; Chen, C.Y.; Chen, W.C.; Lin, Y.T.; Hsiao, C.L.; Chang, W.S.; Tsai, C.W.; et al. The Contribution of MMP-8 Promoter Polymorphisms in Lung Cancer. Anticancer Res. 2017, 37, 3563–3567. [Google Scholar]
- Wang, L.F.; Chien, C.Y.; Tai, C.F.; Kuo, W.R.; Hsi, E.; Juo, S.H.H. Matrix Metalloproteinase-9 Gene Polymorphisms in Nasal Polyposis. BMC Med. Genet. 2010, 11, 85. [Google Scholar] [CrossRef]
- Radisky, E.S.; Radisky, D.C. Matrix Metalloproteinases as Breast Cancer Drivers and Therapeutic Targets. Front. Biosci. Landmark 2015, 20, 1144–1163. [Google Scholar] [CrossRef]
- Liu, D.; Guo, H.; Li, Y.; Xu, X.; Yang, K.; Bai, Y. Association Between Polymorphisms in the Promoter Regions of Matrix Metalloproteinases (MMPs) and Risk of Cancer Metastasis: A Meta-analysis. PLoS ONE 2012, 7, e31251. [Google Scholar] [CrossRef]
- Zhou, J.; Brinckerhoff, C.; Lubert, S.; Yang, K.; Saini, J.; Hooke, J.; Mural, R.; Shriver, C.; Somiari, S. Analysis of Matrix Metalloproteinase-1 Gene Polymorphisms and Expression in Benign and Malignant Breast Tumors. Cancer Invest. 2011, 29, 599–607. [Google Scholar] [CrossRef][Green Version]
- Habel, A.F.; Ghali, R.M.; Bouaziz, H.; Daldoul, A.; Hadj-Ahmed, M.; Mokrani, A.; Zaied, S.; Hechiche, M.; Rahal, K.; Yacoubi-Loueslati, B.; et al. Common Matrix Metalloproteinase-2 gene Variants and Altered Susceptibility to Breast Cancer and Associated Features in Tunisian Women. Tumor Biol. 2019, 41, 1010428319845749. [Google Scholar] [CrossRef]
- Krippl, P.; Langsenlehner, U.; Renner, W.; Yazdani-Biuki, B.; Köppel, H.; Leithner, A.; Wascher, T.C.; Paulweber, B.; Samonigg, H. The 5A/6A Polymorphism of the Matrix Metalloproteinase 3 Gene Promoter and Breast Cancer. Clin. Cancer Res. 2004, 10, 3518–3520. [Google Scholar] [CrossRef]
- Yari, K.; Rahimi, Z.; Payandeh, M.; Rahimi, Z. MMP-7 A-181G Polymorphism in Breast Cancer Patients from Western Iran. Breast Care 2015, 10, 398–402. [Google Scholar] [CrossRef]
Publisher’s Note: MDPI stays neutral with regard to jurisdictional claims in published maps and institutional affiliations. |
© 2022 by the authors. Licensee MDPI, Basel, Switzerland. This article is an open access article distributed under the terms and conditions of the Creative Commons Attribution (CC BY) license (https://creativecommons.org/licenses/by/4.0/).
