Abstract
This study analyzed genetic risk assessments in patients undergoing bariatric surgery to serve as a predictive factor for weight loss parameters 1 year after the operation. Thirty (30) patients were assessed for Genetic Addiction Risk Severity (GARS), which analyzes neurogenetic polymorphisms involved in addiction and reward deficiency. Genetic and psychosocial data collected before the operation were correlated with weight loss data, including changes in weight, body mass index (BMI), and percent of expected weight loss (%EWL). Results examined correlations between individual gene risk alleles, 1-year body weight data, and psychosocial trait scores. Spearman’s correlations revealed that the OPRM1 (rs1799971) gene polymorphism had significant negative correlation with 1-year weight (rs = −0.4477, p < 0.01) and BMI (rs = −0.4477, p < 0.05). In addition, the DRD2 risk allele (rs1800497) was correlated negatively with BMI at 1 year (rs = −0.4927, p < 0.05), indicating that one risk allele copy was associated with lower BMI. However, this allele was positively correlated with both ∆Weight (rs = 0.4077, p < 0.05) and %EWL (rs = 0.5521, p < 0.05) at 1 year post-surgery. Moreover, the overall GARS score was correlated with %EWL (rs = 0.4236, p < 0.05), ∆Weight (rs = 0.3971, p < 0.05) and ∆BMI (rs = 0.3778, p < 0.05). Lastly, Food Cravings Questionnaire (FCQ) scores were negatively correlated with %EWL (rs = −0.4320, p < 0.05) and ∆Weight at 1 year post-surgery (rs = −0.4294, p < 0.05). This suggests that individuals with a higher genetic addiction risk are more responsive to weight loss treatment, especially in the case of the DRD2 polymorphism. These results should translate clinically to improve positivity and attitude related to weight management by those individuals born with the risk alleles (rs1800497; rs1799971).
1. Introduction
Among adults worldwide, obesity is a steadily growing problem [1,2,3,4,5,6,7,8,9,10,11]. In 2008, this global health issue impacted approximately 1.5 billion adults [12]. By 2016, this number climbed to 1.9 billion adults worldwide [13]. By the year 2030, 1.35 billion individuals are projected to be overweight, and obese adult numbers are projected to reach 573 million individuals [14]. If this issue remains neglected, these numbers are projected to reach 2.16 billion overweight individuals and 1.12 billion obese individuals by 2030 [14].
There is evidence to support that obesity and eating disorders are related to psychiatric comorbidities [15,16,17,18,19,20,21,22,23,24]. Among Brazilian obese patients, binge eating disorders were found to correlate with depression and suicidal thoughts [25]. Additionally, patients seeking bariatric weight loss surgery often suffer from various affective and psychological disorders including anxiety, depression, and body image dissatisfaction [26].
One challenge in weight management science is that most treatments for obesity are considered unsustainable over time [27,28]. Bariatric surgery is considered an optimal weight loss method for individuals unable to achieve efficient results from typical, non-surgical weight loss interventions [29]. The two common types of bariatric surgeries include gastric sleeve and bypass surgery (or laparoscopic sleeve gastrectomy and Roux-en-Y gastric bypass, respectively). One clinical study found that after 7 years, gastric sleeve surgery resulted in a 47% weight loss, gastric bypass surgery resulted in a 55% weight loss, and both surgeries resulted in an improved quality of life [30].
However, this procedure can pose post-operative behavioral risks such as increased rates of alcohol abuse [31,32,33]. In fact, many substance and non-substance behavioral addictions (such as gambling disorders) tend to increase after obesity operations [34]. Interestingly, common genetic liability to alcohol consumption problems (ACP) and suicide attempts (SA) were significantly correlated with all impulsive personality traits (rs= 0.2–0.53, p < 0.002), and the largest correlation was with lack of premeditation, though supplementary analyses suggested that these findings were potentially more influenced by ACP than SA [35,36]. It is noteworthy that in a genome-wide association study among veterans with a history of attempted suicide, a strong pan-ancestry signal at the dopamine receptor D2 locus (p = 1.77 × 10−7) was identified and subsequently replicated in a large, independent international civilian cohort (p = 7.97 × 10−4)7 [37].
Identifying individuals who may be at risk for behavioral addictions can influence and personalize post-surgical intervention methods for those with obesity. This can potentially maximize benefits and likelihood of surgical success. Assessments for at-risk patients can occur in a couple of different fashions. First, psychological assessments can be utilized to discern which patients might be struggling with body image issues and affective disorders, thus influencing the course of pre-surgical preparations and post-operative behavioral follow-ups [26,29,38,39].
In addition to psychological screenings, an individual’s genetic makeup can be observed [40,41,42,43] to highlight a propensity towards behavioral addictions [44], giving clinicians further opportunities to tailor interventions and maximize the likelihood of the operation’s success. Genetic addiction risk has been previously described to identify genetic polymorphisms (alleles) known to play a role in addiction, compulsive behaviors (such as overeating) [45,46], vulnerability to pain [47], and behavioral/conduct disorders [48]. A partial summary of these genes and their polymorphisms, locations, and risk alleles are shown in Table 1. Briefly, these genes are known to play a role in mesolimbic neurotransmission: modulating neurotransmitter systems such as GABA receptors, serotonin transporters, mu-opioid receptors, multiple neurotransmitter enzymes, and, most importantly, receptors and transporters in dopaminergic neurotransmission [49]. Together, alterations in their neurogenetic markers establish a framework for epigenetic behavioral expressions known as Reward Deficiency Syndrome (RDS) [50]. The candidate genes relating to RDS have been thoroughly investigated in hundreds of studies. A meta-analysis of 74,566 case-controlled subjects showed a significant risk of alcohol-use disorder in the presence of DRD2, DRD3, DRD4, DAT1, COMT, OPRM1, and 5HTT polymorphisms [51].
Table 1.
GARS panel. Table adopted from Blum et al., 2020 [52].
We presently examined the role of specific psychosocial and genetic factors and their association with weight data outcomes in patients undergoing bariatric surgery. The objective of the present study was to examine this pre-operative data and identify its predictive ability in the trajectory of post-operative outcomes. Genetic and psychosocial data were correlated with post-operative body weight data 1 year after surgery.
2. Materials and Methods
2.1. Subjects
Initially, 70 bariatric surgery candidates were consulted at Kaleida Health Bariatric Center in Buffalo, NY. Of these, 34 subjects provided initial informed consent.
Among these participants, the mean age was 47 (SD = 12.33). A total of 10.3% of these participants were males and 89.7% were females. The mean height of these participants was 165 cm (SD = 7.38) and the mean pre-operative bodyweight was 118 kg (SD = 20.76). The mean BMI was 43 (SD = 6.02). Of the individuals that reported race (n = 27), 85.19% were white, 11.11% were black or African, and 3.7% were Hispanic. Pre-operative bloodwork of these participants included the following measures: glucose mean 102.62 mg/dL, SD = 31.28. Triglyceride mean = 144.04 mg/dL SD = 82.45 and cholesterol mean = 193.2 mg/dL, SD = 38.33.
Exclusion criteria included pregnant women, prisoners, and those with significant cognitive or neurological impairments. Data were collected on medical history, comorbidities and other conditions treated, and weight history. More than half of the sample reported a childhood history of obesity. A total of 48% of subjects reported alcohol use (M ≤ 1 drinks per week). Cigarette use was reported in 1 patient. A total of 42% of patients reported orthopedic pain. A total of 39% of patients had depression. A total of 81% of patients experienced sleep apnea. Data were collected at 1-year post-surgery follow-up visits for 30 subjects. Lack of follow ups due to the COVID-19 pandemic resulted in a smaller than anticipated sample size.
2.2. Surgery
All patients received either laparoscopic sleeve gastrectomy or Roux-en-Y gastric bypass surgery. A total of 23 individuals received laparoscopic sleeve gastrectomy, and 7 individuals received Roux-en-Y gastric bypass.
2.3. Data Collection
Parameters relating to health pre- and post-surgery (1 year) were collected from electronic health records (2021–2022). Change in weight and BMI from 1 year after surgery were calculated.
2.4. Psychosocial Questionnaires
Patients were given surveys in both paper in digital formats. The surveys can be seen in Table 2. These validated scales were used to evaluate psychosocial data related to obesity and eating habits. These reports included: nutrition (Eating Attitudes Test-26 (EAT-26) [53]; Food Cravings Questionnaire—Trait Reduced (FCQ-TR) [54]; Eating Expectancies Inventory (EEI) [55]; food addiction (modified Yale Food Addiction Scale 2.0 (mYFAS 2.0) [56]; binge-eating disorder symptoms (Weight-Influenced Self-Esteem Questionnaire (WISE-Q) [57]; depression and anxiety (Difficulties in Emotion Regulation Scale) (DERS) [58]; Center for Epidemiologic Studies Depression Scale (CESDS) [59], and chronic stress and life quality (Chronic Stress Index (CSI) [60]; sleep (Pittsburgh Sleep Quality Index (PSQI) [61]. This methodology was utilized as previously described [62].
Table 2.
Summary of previous and present findings: Genetic and psychosocial correlates of bodyweight data after Bariatric Surgery at 6 months and 1 year post-operation. Data from 6 months post-operation were previously reported [62].
2.5. Genetic Addiction Risk Severity (GARS)
The GARS assay (Geneus Health, San Antonio, TX, USA) is a genetic test used to evaluate eleven gene polymorphisms known to be involved in motivation and reward. This test is commonly used to predict RDS, a propensity for addictive behaviors (such as eating disorders), and a tendency towards substance abuse. Prior to surgery, cheek swab samples were collected from subjects and processed according to previously published protocol [63]. PCR amplification was used to isolate DNA, which was then analyzed for polymorphisms in genes: DRD1, OPRM1, DRD2, DRD3, DRD4, COMT, DAT1, DRD4-R, GABRB3, HTTLPR, and MAOA [45,49]. Geneus Health in San Antonio, Texas provided analysis and results. Individual risk scores were calculated as previously described [47,49,62,64].
2.6. Statistical Analysis
Data were assessed and visualized using GraphPad Prism software 8.1.2 (Dotmatics, San Diego, CA, USA). Spearman’s rank correlations were analyzed for ∆BMI and ∆Weight 1 year after surgery date. GARS risk alleles were correlated with ∆BMI, ∆Weight, and psychosocial scores. Tukey’s HSD test, Sidak’s test was performed post hoc (when applicable) for significant ANOVA outcomes.
2.7. Ethics
This study was approved by and complied with the Institutional Review Board of the University at Buffalo (#IRB00003126). All subjects were fully informed about the nature of the study, and all provided informed consent.
3. Results
3.1. Baseline Demographic Characteristics
Participants (n = 30) were recruited from the Bariatric Program at Kaleida Health, which is designated as a Comprehensive Center under the Metabolic and Bariatric Surgery Accreditation and Quality Improvement Program. This study was approved by the IRB at the University at Buffalo. Participants were predominantly female and Caucasian, with >50% reporting a childhood history of overweight/obesity. Of these subjects, 74% underwent vertical sleeve gastrectomy. The COVID-19 epidemic prevented us from obtaining psychosocial questionnaires and follow-up data in 10 participants.
3.2. Psychosocial and GARS Data
A majority of subjects disclosed symptoms of depression, issues in sleep quality, and food addiction and cravings. These reports are in agreement with previous psychosocial studies on obesity [56,59,61,65]. The Yale Food Addiction Scale (mYFAS) results were lower than anticipated [66,67]. The summarized psychosocial scores (previously reported) [62] can be seen in Table 3.
Table 3.
Psychosocial Questionnaire Results as previously reported by Thanos et al., 2023 [62].
GARS results were categorized as homozygote (two copies of the risk allele), heterozygote (one copy of the risk allele), or low risk (no copies of the risk allele). Homozygote alleles were most present in the MAO and DRD1 genes. No subjects were homozygous for risk alleles in genes OPRMI, DRD4 (rs761010487), and DAT1f. A GARS score above or equal to 7 indicates a high risk for addiction and RDS. In total, 76% of subjects were categorized as high-risk. Previous studies have shown that a high GARS score is correlated with an increased risk for alcohol abuse [45,51,68,69,70].
3.3. Risk Allele Correlates
Spearman’s correlations revealed that the OPRM1 showed a significant negative correlation with 1-year weight (rs = −0.4477, p < 0.01, 95% CI: −0.7052, −0.08583) and BMI (rs = −0.4477, p < 0.05, 95% CI: −0.7052, −0.08590). DRD2 was negatively correlated with BMI at 1 year (rs = −0.4927, p < 0.05, 95% CI: −0.7331, −0.01429), positively correlated with ∆Weight (rs = 0.4077, p < 0.05., 95% CI: 0.03711, 0.6797), and positively correlated with %EWL (rs = 0.5521, p < 0.05, 95% CI: 0.2219, 0.7687) at 1 year post-surgery. The results of these correlations with SNPs are shown in Figure 1. The overall GARS score was correlated with %EWL (rs = 0.4236, p < 0.05, 95% CI: 0.05629, 0.6899), ∆Weight (rs = 0.3971, p < 0.05, 95% CI: 0.02445, 0.6729), and ∆BMI (rs = 0.3778, p < 0.05, 95% CI: 0.001782, 0.6603) (Figure 2). Lastly, FCQ scores were negatively correlated with %EWL (rs = −0.4320, p < 0.05, 95% CI: −0.7176, −0.022) and ∆Weight at 1-year post surgery (rs = −0.4294, p < 0.05, 95% CI: −0.7160, −0.01879) (Figure 3).
Figure 1.
Scatterplots visualizing correlations between SNPs and body weight data. (A) Positive correlations between single DRD2 SNPs and 1 yr ∆Weight (rs = 0.4077, p < 0.05). (B) Negative correlations between single DRD2 SNPs and 1 yr BMI (rs = −0.4927, p < 0.05). (C) Positive correlation between DRD2 SNPs and %EWL (rs = 0.5521, p < 0.05). (D) Negative correlation between OPRM1 SNP and 1 yr BMI (rs = −0.4477, p < 0.05).
Figure 2.
Correlations between overall GARS score. (A) %EWL (rs = 0.4236, p < 0.05). (B) 1 yr ∆Weight (rs = 0.3971, p < 0.05). (C) 1 yr ∆BMI (rs = 0.3778, p < 0.05).
Figure 3.
Negative correlations between (A) FCQ and (B) 1 yr ∆Weight (rs = −0.4294, p < 0.05) and %EWL (rs = 0.4320, p < 0.05).
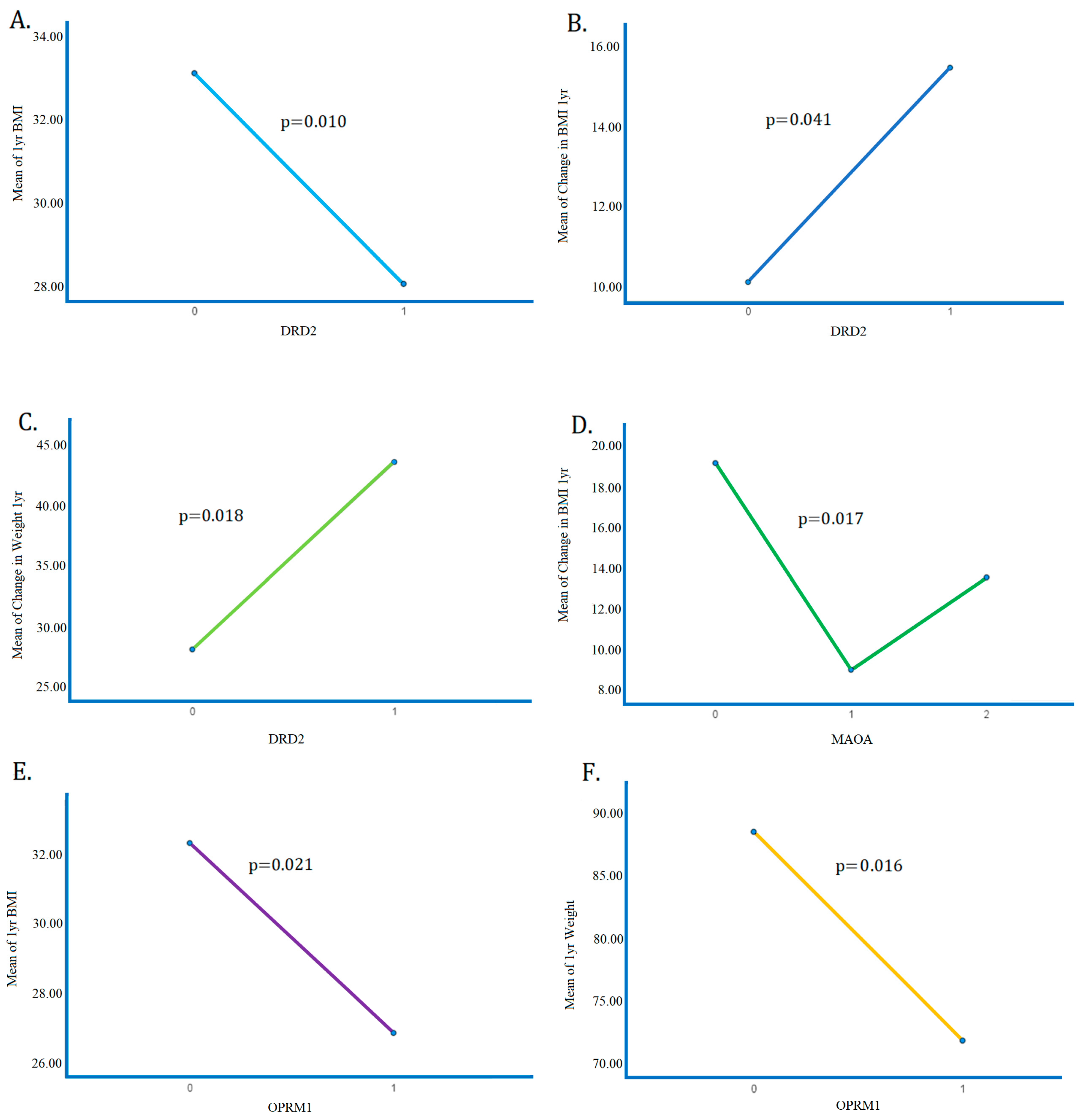
A one-way ANOVA was performed to compare means of weight, BMI, ∆Weight, and ∆BMI between the different SNP expression values (0, 1, or 2). The Tukey HSD post hoc test was performed where relevant. There is a significant difference in 1 year BMI (p = 0.010), ∆BMI (p = 0.041), and ∆Weight (p = 0.018) between 0 and 1 DRD2 risk allele copy. There is a significant difference in 1-year BMI (p = 0.021) and 1-year weight (p = 0.016) between 0 and 1 copy of the OPRM1 risk allele. (Subjects with two copies of the DRD2 risk allele and the OPRM1 risk allele were not represented in the sample.) There is also a significant difference in ∆BMI (p = 0.017) among the different SNP expression values of the MAOA risk allele. Tukey HSD post hoc tests indicate that there is a significant difference (p = 0.017) in ∆BMI between 0 and 1 copy of the MAOA risk allele, but not between 0 and 2 copies or 1 and 2 copies. These results are visualized in Figure 4.
Figure 4.
ANOVA results detailing the significant differences in means of (A) 1-year BMI between subjects with 0 and 1 copy of the DRD2 gene (p = 0.010); (B) ∆BMI between subjects with 0 and 1 copy of the DRD2 gene (p = 0.041); (C) ∆Weight between subjects with 0 and 1 copy of the DRD2 gene (p = 0.018); (D) ∆BMI between subjects with 0 and 1 copies of the MAOA gene (p = 0.017). Note: difference in mean insignificant between 0–2, 1–2 copies of the MAOA gene. (E) 1-year BMI between subjects with 0 and 1 copy of the OPRM1 gene (p = 0.021). (F) 1-year weight between subjects with 0 and 1 copy of the OPRM1 gene (p = 0.016).
A post hoc power analysis was conducted using G*Power 3.1 [71] to test the correlation using a two-tailed test, an alpha of 0.05, a moderate effect size (r = 0.40), and a sample size of n = 29. Results showed that the achieved power was 0.59.
4. Discussion
These results reflect a beneficial response to weight loss surgery in individuals with indicators of high genetic addiction risk. Those with higher GARS scores show greater changes in weight, %EWL, and change in BMI 1 year after bariatric surgery. Our ANOVA results indicated a significant difference in mean weight change between individuals with 0 and 1 copy of the MAOA gene, with 1 copy resulting in lower average weight change. The ANOVA and Spearman’s correlations revealed a significant improvement in weight parameters in patients with 1 copy of the OPRM1 and the DRD2 gene.
The DRD2 gene, located on chromosome 11q23, is the most widely studied gene in neuropsychiatry [72,73,74,75,76,77,78,79,80,81,82,83,84,85,86,87,88,89,90,91,92]. The A1 risk allele is associated with various substance and non-substance addictions [69,93,94]. Carriers of this risk allele show a decreased availability of dopamine D2 receptors [95,96], which can result in D2 receptor super-sensitivity [97], increasing severity of alcoholism [98,99], obesity [28], and addiction relapse [97].
A1 allelic presence is related to many facets of obesity [7,43,51,55,56]. DRD2 variants were associated with BMI in individuals seeking weight loss treatment [73]. Parental obesity, postpubescent onset, and a preference for carbohydrates have all been linked to the A1 obese phenotype [98]. The A1 allelic presence was found in 45.2% of 73 nonalcohol- and nondrug-abusing obese subjects. This presence was observed in 51.5 subjects with a history of parental obesity. Carbohydrate preferers displayed 64.3% of this allelic presence. Even fat distribution was found to have a hereditary component [100,101].
We believe that the results of this clinical study are likely the result of D2 modulation. At first glance, it may seem contradictory that individuals with a genetic susceptibility to addictive eating and obesity would have such a positive response to bariatric surgery. However, compliance to addiction treatment has been observed in alcoholics with the A1 polymorphism [102]. Bromocriptine treatment (dopamine agonist therapy) proved to produce the most significant attenuations in craving and anxiety amongst A1 carrier alcoholics [102]. This genotype was associated with reductions in body weight, fat mass, and BMI after among subjects who underwent resistance training and calorie restriction for weight loss. In addition, DRD2 polymorphisms are correlates of longitudinal obesity mitigation in Chinese children and adolescents [103]. Moreover, carriers of the DRD2 A1 allele with diminished D2 receptor availability show a positive association between caudate response and change in weight [94].
We speculate that the surgical intervention directly modulated the dopaminergic reward system. It is known that D2 availability can decrease with overstimulation from overeating [104,105,106] and D2 striatal receptor availability is significantly decreased in cases of severe obesity [28]. These results suggest that surgery bypassed D2 super sensitivity and decreased the wanting mechanism in these obese patients.
There is in fact some evidence pointing to an upregulation/normalization of D2 receptors after bariatric surgery [28,107,108,109,110]. In a preclinical autoradiography study, rats on a chronic high-fat diet became obese and showed decreased D1 and D2 receptors in the nucleus accumbens and striatum. Rats who were given a high-fat diet and Roux-en-Y gastric bypass surgery showed no difference in DA receptor levels when compared to restricted diet rats, suggesting that striatal and nucleus accumbens dopamine systems can be normalized after bariatric surgery [109].
This phenomenon is observable in clinical studies as well. Striatal D2 and D3 availability was assessed in morbidly obese women after Roux-en-Y gastric bypass surgery [108]. At first, striatal availability of these receptors decreased at baseline and remained after 6 weeks. After 2 years, however, the availabilities of these receptors increased and improved body weight data were observed [108]. Additionally, among five female subjects undergoing this same bariatric procedure, significant weight loss was observed and D2 receptor availabilities increased in the anterior and posterior putamen and caudate nucleus, and in the ventral striatum [107].
The Mu-Opioid Receptor is known to modulate reward processing, motivation, and hedonic behaviors [111]. This gene is commonly assessed to help determine genetic addiction risk. However, its role in eating disorders and obesity has only been slightly investigated. One study assessing ORM1 polymorphism, rs2281617 (different from presently observed polymorphism) linked genetic data with feeding behavior, adiposity, and amygdala volume in 598 adolescents [112]. BOLD fMRI results showed that this polymorphism was associated with higher amygdala volume, which correlated negatively with fat intake. It is believed that the OPRM1 gene and variations of amygdalar volumes modulate dietary intake of fat [112].
Though there are fewer studies relating the OPRM1 gene to obesity, Positron Emission Tomography (PET) studies using the receptor agonist radiotracer 11C-carfentanil have specified the role of this receptor in obesity and eating behaviors. Multiple studies have found that OPRM1 availability is negatively related to obesity and food addiction [113,114,115,116]. First, there is evidence to suggest that familial obesity is related to decreased availability of the OPRM1 [114]. OPRM1 availability has also been associated with eating habits as indicated by the Dutch Eating Behavior Questionnaire [114]. This study revealed decreased OPRM1 availability correlated with an increase in external eating. Subjects with decreased receptor availability showed an increased likelihood of responding to palatable food cues by eating [114].
Karlsson et al. observed the dynamics of obesity and the OPRM1 gene. In this study, 13 morbidly obese women underwent [(11)C]carfentanil PET scans. When compared to controls, decreased availability of OPRM1 was observed in the ventral striatum, insula, and thalamus. BMI was associated negatively with OPRM1 availability [116]. Brain responses to palatable foods occur in non-obese individuals as well. A BOLD fMRI study detected activation in the amygdala, ventral striatum, and hypothalamus after subjects were shown palatable food cues. OPRM1 availability was negatively associated with this fMRI reward response [111].
The MAOA gene encodes for enzymes responsible for breaking down monoamine neurotransmitters, including serotonin and dopamine [117,118]. Variations of this gene play a role in psychiatric disorders including substance use disorders and conduct/antisocial personality disorders [117,119]. Variations in this gene are associated with disease comorbidities because of the enzyme’s direct actions on dopamine levels [120].
The evidence linking this gene prompts further investigation. One study investigating MAOA and COMT genotypes in obese subjects compared to controls found no significant relation between the MAOA genotype and obesity [121]. Another study assessing the same gene and similar repeat sequences of interest to our own (3.5R, 4R). The results of this study reflected a strong significance of the MAOA genotype on body weight and BMI [118]. In a group of young Portuguese adults, body fat and the MAOA 3R genotype were correlated in men only [122]. The significant difference in mean change of BMI after 1 year of bariatric surgery was only observed between individuals having 0 or 1 copy of the risk alleles, with 1 copy having the less favorable outcome lower average changes in BMI. Mean differences between 0 and 2 or 1 and 2 copies were found to be insignificant. This may be related to subtle changes in DA levels among this genotype.
5. Limitations
A small sample size due to lack of follow ups during COVID-19 pandemic can be considered a limitation of this study. Genetic and psychosocial data are cofactors of post-surgical results, while epigenetics and other variables were not the focus of this study.
6. Conclusions
This novel comparison between genetic and psychosocial factors predicted outcomes following bariatric surgery. These results suggest that individuals with specific genetic alleles and psychosocial scores are significantly correlated with weight loss and outcomes following bariatric surgery. Specifically, patients carrying the DRD2 A1 allele (rs1800497) and the mu-opioid allele (1799971) significantly correlated with greater weight loss following bariatric surgery. Understanding these results should clinically translate to the patient providing additional positivity and as such augmented attitude based on genetic and psychosocial information. This report is the second part of a longitudinal study observing the genetic and psychosocial effects on bariatric surgery outcomes [62]. A summary of the present findings along with previous data can be seen in Table 2. Future studies will track these same data at longer time intervals after bariatric surgery. Notes of recidivism, including for substance and non-substance addictive behaviors, will be closely monitored as well. These subjects will continue to be monitored for long-term outcomes beyond the present study.
Author Contributions
P.K.T., L.D.M., T.Q. and K.B.: study concept and design; A.H., A.P., J.B., L.D.M. and T.Q.: Methodology; A.M., L.G. and C.H.: data collection and analysis; L.G., P.K.T., K.B. and C.H.: data interpretation and statistical analysis; P.K.T., T.Q. and L.D.M.: obtained funding, study supervision. P.K.T., K.B. and C.H.: review and editing. All authors were given access to data in the study and took responsibility for the integrity and accuracy of analysis. All authors have read and agreed to the published version of the manuscript.
Funding
This study was partially supported by the University at Buffalo VPR Buffalo Blue Sky. K.B. along with Marjorie Gondre-Lewis (Howard University) are recipients of R41 MD012318/MD/NIMHD NIH HHS/United States. P.K.T. is the recipient of R21 DA045640/DA/NIDA NIH HHS/ United States; R33 DA045640/DA/NIDA NIH HHS/United States.
Institutional Review Board Statement
This study complied with the Institutional Review Board of the University at Buffalo. All subjects provided informed consent.
Informed Consent Statement
Informed consent was obtained from all subjects involved in the study.
Data Availability Statement
Data are available from the corresponding author upon reasonable request.
Acknowledgments
This study was in part funded by the University at Buffalo VPR Buffalo Blue Sky. We thank the entire bariatric program staff, including all practitioners and administration. We especially thank the following members of the Obesity Bariatric Research Network: Jamey Tulloch, Ken Leonard, Pamela Novello Smith, Carroll Harmon.
Conflicts of Interest
Blum owns relevant worldwide patents as the inventor of the Genetic Addiction Risk Severity (GARS) test through his companies Synaptamine, Inc. and SpliceGen Holdings.
Correction Statement
Due to an error in article production, incorrect references were previously listed in the main text. This information has been updated and this change does not affect the scientific content of the article.
References
- Kim, D.; Hou, W.; Wang, F.; Arcan, C. Factors Affecting Obesity and Waist Circumference Among US Adults. Prev. Chronic Dis. 2019, 16, E02. [Google Scholar] [CrossRef] [PubMed]
- Mohammed, M.S.; Sendra, S.; Lloret, J.; Bosch, I. Systems and WBANs for Controlling Obesity. J. Healthc. Eng. 2018, 2018, 1564748. [Google Scholar] [CrossRef] [PubMed]
- Lemamsha, H.; Randhawa, G.; Papadopoulos, C. Prevalence of Overweight and Obesity among Libyan Men and Women. BioMed Res. Int. 2019, 2019, 8531360. [Google Scholar] [CrossRef] [PubMed]
- Dávila-Torres, J.; González-Izquierdo, J.J.; Barrera-Cruz, A. Obesity in Mexico. Rev. Med. Inst. Mex. Seguro Soc. 2015, 53, 240–249. [Google Scholar]
- Perez-Campos, E.; Mayoral, L.P.-C.; Andrade, G.M.; Mayoral, E.P.-C.; Huerta, T.H.; Canseco, S.P.; Canales, F.J.R.; Cabrera-Fuentes, H.A.; Cruz, M.M.; Santiago, A.D.P.; et al. Obesity subtypes, related biomarkers & heterogeneity. Indian J. Med. Res. 2020, 151, 11–21. [Google Scholar] [CrossRef]
- Huse, O.; Hettiarachchi, J.; Gearon, E.; Nichols, M.; Allender, S.; Peeters, A. Obesity in Australia. Obes. Res. Clin. Pract. 2018, 12, 29–39. [Google Scholar] [CrossRef]
- Ferreira, C.M.; dos Reis, N.D.; Castro, A.d.O.; Höfelmann, D.A.; Kodaira, K.; Silva, M.T.; Galvao, T.F. Prevalence of childhood obesity in Brazil: Systematic review and meta-analysis. J. Pediatr. 2021, 97, 490–499. [Google Scholar] [CrossRef]
- Anis, A.H.; Zhang, W.; Bansback, N.; Guh, D.P.; Amarsi, Z.; Birmingham, C.L. Obesity and overweight in Canada: An updated cost-of-illness study. Obes. Rev. 2010, 11, 31–40. [Google Scholar] [CrossRef]
- Jebb, S.A.; Aveyard, P.N.; Hawkes, C. The evolution of policy and actions to tackle obesity in England. Obes. Rev. 2013, 14 (Suppl. S2), 42–59. [Google Scholar] [CrossRef]
- Breen, C.; O’connell, J.; Geoghegan, J.; O’shea, D.; Birney, S.; Tully, L.; Gaynor, K.; O’kelly, M.; O’malley, G.; O’donovan, C.; et al. Obesity in Adults: A 2022 Adapted Clinical Practice Guideline for Ireland. Obes. Facts 2022, 15, 736–752. [Google Scholar] [CrossRef]
- Arroyo-Johnson, C.; Mincey, K.D. Obesity Epidemiology Worldwide. Gastroenterol. Clin. N. Am. 2016, 45, 571–579. [Google Scholar] [CrossRef] [PubMed]
- Carpaij, O.A.; Berge, M.v.D. The asthma–obesity relationship: Underlying mechanisms and treatment implications. Curr. Opin. Pulm. Med. 2018, 24, 42–49. [Google Scholar] [CrossRef] [PubMed]
- Maffetone, P.B.; Rivera-Dominguez, I.; Laursen, P.B. Overfat and Underfat: New Terms and Definitions Long Overdue. Front. Public Health 2016, 4, 279. [Google Scholar] [CrossRef] [PubMed]
- Kelly, T.; Yang, W.; Chen, C.-S.; Reynolds, K.; He, J. Global burden of obesity in 2005 and projections to 2030. Int. J. Obes. 2008, 32, 1431–1437. [Google Scholar] [CrossRef]
- McElroy, S.L.; Keck, P.E., Jr. Obesity in bipolar disorder: An overview. Curr. Psychiatry Rep. 2012, 14, 650–658. [Google Scholar] [CrossRef]
- Copeland, L.A.; Pugh, M.J.; Hicks, P.B.; Noel, P.H. Use of obesity-related care by psychiatric patients. Psychiatr. Serv. 2012, 63, 230–236. [Google Scholar] [CrossRef]
- Stewart, K.E.; Levenson, J.L. Psychological and psychiatric aspects of treatment of obesity and nonalcoholic fatty liver disease. Clin. Liver Dis. 2012, 16, 615–629. [Google Scholar] [CrossRef]
- Stunkard, A.J.; Faith, M.S.; Allison, K.C. Depression and obesity. Biol. Psychiatry 2003, 54, 330–337. [Google Scholar] [CrossRef]
- Tronieri, J.S.; Wurst, C.M.; Pearl, R.L.; Allison, K.C. Sex Differences in Obesity and Mental Health. Curr. Psychiatry Rep. 2017, 19, 29. [Google Scholar] [CrossRef]
- Kalarchian, M.A.; Marcus, M.D. Psychiatric comorbidity of childhood obesity. Int. Rev. Psychiatry 2012, 24, 241–246. [Google Scholar] [CrossRef]
- Berkowitz, R.I.; Fabricatore, A.N. Obesity, psychiatric status, and psychiatric medications. Psychiatr. Clin. N. Am. 2011, 34, 747–764. [Google Scholar] [CrossRef] [PubMed]
- Cortese, S.; Tessari, L. Attention-Deficit/Hyperactivity Disorder (ADHD) and Obesity: Update 2016. Curr. Psychiatry Rep. 2017, 19, 4. [Google Scholar] [CrossRef] [PubMed]
- Bharti, B.; Malhi, P. Psychiatric Comorbidities in Adolescents with Obesity: A Wake-Up Call for Life Course and Multisectoral Interventions. Indian J. Pediatr. 2021, 88, 215–216. [Google Scholar] [CrossRef] [PubMed]
- Da Luz, F.Q.; Hay, P.; Touyz, S.; Sainsbury, A. Obesity with Comorbid Eating Disorders: Associated Health Risks and Treatment Approaches. Nutrients 2018, 10, 829. [Google Scholar] [CrossRef]
- Aguiar, P.V.; Dionisio, W.d.S.; Souza, E.A.d.C.; Vantini, D.; Campanholi, R.; Pinto, T.C.C.; Ximenes, R.C.C. Binge eating, depressive symptoms and suicidal ideation in obese candidates for bariatric surgery. Eat. Weight Disord. 2023, 28, 12. [Google Scholar] [CrossRef]
- Sarwer, D.B.; Allison, K.C.; Wadden, T.A.; Ashare, R.; Spitzer, J.C.; McCuen-Wurst, C.; LaGrotte, C.; Williams, N.N.; Edwards, M.; Tewksbury, C.; et al. Psychopathology, disordered eating, and impulsivity as predictors of outcomes of bariatric surgery. Surg. Obes. Relat. Dis. 2019, 15, 650–655. [Google Scholar] [CrossRef]
- O’brien, P.E.; Hindle, A.; Brennan, L.; Skinner, S.; Burton, P.; Smith, A.; Crosthwaite, G.; Brown, W. Long-Term Outcomes After Bariatric Surgery: A Systematic Review and Meta-analysis of Weight Loss at 10 or More Years for All Bariatric Procedures and a Single-Centre Review of 20-Year Outcomes After Adjustable Gastric Banding. Obes. Surg. 2019, 29, 3–14. [Google Scholar] [CrossRef]
- Ribeiro, G.; Maia, A.; Cotovio, G.; Oliveira, F.P.M.; Costa, D.C.; Oliveira-Maia, A.J. Striatal dopamine D2-like receptors availability in obesity and its modulation by bariatric surgery: A systematic review and meta-analysis. Sci. Rep. 2023, 13, 49591. [Google Scholar] [CrossRef]
- Wolfe, B.M.; Kvach, E.; Eckel, R.H. Treatment of Obesity: Weight Loss and Bariatric Surgery. Circ. Res. 2016, 118, 1844–1855. [Google Scholar] [CrossRef]
- Grönroos, S.; Helmiö, M.; Juuti, A.; Tiusanen, R.; Hurme, S.; Löyttyniemi, E.; Ovaska, J.; Leivonen, M.; Peromaa-Haavisto, P.; Mäklin, S.; et al. Effect of Laparoscopic Sleeve Gastrectomy vs Roux-en-Y Gastric Bypass on Weight Loss and Quality of Life at 7 Years in Patients with Morbid Obesity: The SLEEVEPASS Randomized Clinical Trial. JAMA Surg. 2021, 156, 137–146. [Google Scholar] [CrossRef]
- Hardman, C.A.; Christiansen, P. Psychological issues and alcohol misuse following bariatric surgery. Nat. Rev. Endocrinol. 2018, 14, 377–378. [Google Scholar] [CrossRef] [PubMed]
- Ivezaj, V.; Benoit, S.C.; Davis, J.; Engel, S.; Lloret-Linares, C.; Mitchell, J.E.; Pepino, M.Y.; Rogers, A.M.; Steffen, K.; Sogg, S. Changes in Alcohol Use after Metabolic and Bariatric Surgery: Predictors and Mechanisms. Curr. Psychiatry Rep. 2019, 21, 85. [Google Scholar] [CrossRef] [PubMed]
- Blum, K.; Bailey, J.; Gonzalez, A.M.; Oscar-Berman, M.; Liu, Y.; Giordano, J.; Braverman, E.; Gold, M. Neuro-Genetics of Reward Deficiency Syndrome (Rds) as the Root Cause of “Addiction Transfer”: A New Phenomena Common after Bariatric Surgery. J. Genet. Syndr. Gene Ther. 2011, 4. [Google Scholar] [CrossRef] [PubMed]
- Eryılmaz, G.; Noyan, C. Gambling Disorder Following Bariatric Surgery. Curr. Addict. Res. 2018, 2, 62. [Google Scholar] [CrossRef]
- Lannoy, S.; Ohlsson, H.; Stephenson, M.; Kendler, K.S.; Sundquist, J.; Sundquist, K.; Edwards, A.C. Risk of non-fatal suicide attempt in individuals with substance use disorder: The roles of aggregate genetic liability and environmental exposures in a Swedish population-based cohort. Addiction 2022, 117, 2943–2952. [Google Scholar] [CrossRef] [PubMed]
- Stephenson, M.; Lannoy, S.; Edwards, A.C. Shared genetic liability for alcohol consumption, alcohol problems, and suicide attempt: Evaluating the role of impulsivity. Transl. Psychiatry 2023, 13, 87. [Google Scholar] [CrossRef]
- Kimbrel, N.A.; Ashley-Koch, A.E.; Qin, X.J.; Lindquist, J.H.; Garrett, M.E.; Dennis, M.F.; Hair, L.P.; Huffman, J.E.; Jacobson, D.A.; Madduri, R.K.; et al. A genome-wide association study of suicide attempts in the million veterans program identifies evidence of pan-ancestry and ancestry-specific risk loci. Mol. Psychiatry 2022, 27, 2264–2272. [Google Scholar] [CrossRef]
- König, I.R.; Fuchs, O.; Hansen, G.; von Mutius, E.; Kopp, M.V. What is precision medicine? Eur. Respir. J. 2017, 50, 1700391. [Google Scholar] [CrossRef]
- Belligoli, A.; Bettini, S.; Segato, G.; Busetto, L. Predicting Responses to Bariatric and Metabolic Surgery. Curr. Obes. Rep. 2020, 9, 373–379. [Google Scholar] [CrossRef]
- Goodarzi, M.O. Genetics of obesity: What genetic association studies have taught us about the biology of obesity and its complications. Lancet Diabetes Endocrinol. 2018, 6, 223–236. [Google Scholar] [CrossRef]
- Panera, N.; Mandato, C.; Crudele, A.; Bertrando, S.; Vajro, P.; Alisi, A. Genetics, epigenetics and transgenerational transmission of obesity in children. Front. Endocrinol. 2022, 13, 1006008. [Google Scholar] [CrossRef] [PubMed]
- Pigeyre, M.; Yazdi, F.T.; Kaur, Y.; Meyre, D. Recent progress in genetics, epigenetics and metagenomics unveils the pathophysiology of human obesity. Clin. Sci. 2016, 130, 943–986. [Google Scholar] [CrossRef] [PubMed]
- Cai, N.; Choi, K.W.; Fried, E.I. Reviewing the genetics of heterogeneity in depression: Operationalizations, manifestations and etiologies. Hum. Mol. Genet. 2020, 29, R10–R18. [Google Scholar] [CrossRef] [PubMed]
- Yau, Y.H.C.M.; Potenza, M.N. Gambling disorder and other behavioral addictions: Recognition and treatment. Harv. Rev. Psychiatry 2015, 23, 134–146. [Google Scholar] [CrossRef]
- Blum, K.; Modestino, E.J.; Gondre-Lewis, M.; Chapman, E.J.; Neary, J.; Siwicki, D.; Baron, D.; Hauser, M.; Smith, D.E.; Roy, A.K.; et al. The Benefits of Genetic Addiction Risk Score (GARS™) Testing in Substance Use Disorder (SUD). Int. J. Genom. Data Min. 2018, 2018, 115. [Google Scholar] [CrossRef]
- Fried, L.; Modestino, E.J.; Siwicki, D.; Lott, L.; Thanos, P.K.; Baron, D.; Badgaiyan, R.D.; Ponce, J.V.; Giordano, J.; Downs, W.B.; et al. Hypodopaminergia and “Precision Behavioral Management” (PBM): It is a Generational Family Affair. Curr. Pharm. Biotechnol. 2020, 21, 528–541. [Google Scholar] [CrossRef]
- Moran, M.; Blum, K.; Ponce, J.V.; Lott, L.; Gondré–Lewis, M.C.; Badgaiyan, S.; Brewer, R.; Downs, B.W.; Fynman, P.; Weingarten, A.; et al. High Genetic Addiction Risk Score (GARS) in Chronically Prescribed Severe Chronic Opioid Probands Attending Multi-pain Clinics: An Open Clinical Pilot Trial. Mol. Neurobiol. 2021, 58, 3335–3346. [Google Scholar] [CrossRef]
- Modestino, E.J.; Blum, K.; Dennen, C.A.; Downs, B.W.; Bagchi, D.; Llanos-Gomez, L.; Elman, I.; Baron, D.; Thanos, P.K.; Badgaiyan, R.D.; et al. Theorizing the Role of Dopaminergic Polymorphic Risk Alleles with Intermittent Explosive Disorder (IED), Violent/Aggressive Behavior and Addiction: Justification of Genetic Addiction Risk Severity (GARS) Testing. J. Pers. Med. 2022, 12, 1946. [Google Scholar] [CrossRef]
- Blum, K.; Oscar-Berman, M.; Demetrovics, Z.; Barh, D.; Gold, M.S. Genetic Addiction Risk Score (GARS): Molecular neurogenetic evidence for predisposition to Reward Deficiency Syndrome (RDS). Mol. Neurobiol. 2014, 50, 765–796. [Google Scholar] [CrossRef]
- Blum, K.; Dennen, C.A.; Elman, I.; Bowirrat, A.; Thanos, P.K.; Badgaiyan, R.D.; Downs, B.W.; Bagchi, D.; Baron, D.; Braverman, E.R.; et al. Should Reward Deficiency Syndrome (RDS) Be Considered an Umbrella Disorder for Mental Illness and Associated Genetic and Epigenetic Induced Dysregulation of Brain Reward Circuitry? J. Pers. Med. 2022, 12, 1719. [Google Scholar] [CrossRef]
- Blum, K.; Han, D.; Gupta, A.; Baron, D.; Braverman, E.R.; Dennen, C.A.; Kazmi, S.; Llanos-Gomez, L.; Badgaiyan, R.D.; Elman, I.; et al. Statistical Validation of Risk Alleles in Genetic Addiction Risk Severity (GARS) Test: Early Identification of Risk for Alcohol Use Disorder (AUD) in 74,566 Case–Control Subjects. J. Pers. Med. 2022, 12, 1385. [Google Scholar] [CrossRef] [PubMed]
- Blum, K.; Bowirrat, A.; Baron, D.; Lott, L.; Ponce, J.V.; Brewer, R.; Siwicki, D.; Boyett, B.; Gondre-Lewis, M.C.; Smith, D.E.; et al. Biotechnical development of genetic addiction risk score (GARS) and selective evidence for inclusion of polymorphic allelic risk in substance use disorder (SUD). J Syst Integr Neurosci. 2020, 6, 1015761/JSIN1000221. [Google Scholar] [CrossRef]
- Garner, D.M.; Olmsted, M.P.; Bohr, Y.; Garfinkel, P.E. The eating attitudes test: Psychometric features and clinical correlates. Psychol. Med. 1982, 12, 871–878. [Google Scholar] [CrossRef] [PubMed]
- Meule, A.; Hermann, T.; Kübler, A. A short version of the Food Cravings Questionnaire-Trait: The FCQ-T-reduced. Front Psychol. 2014, 5, 190. [Google Scholar] [CrossRef] [PubMed]
- Fitzsimmons-Craft, E.E.; Keatts, D.A.; Bardone-Cone, A.M. Eating Expectancies in Relation to Eating Disorder Recovery. Cogn. Ther. Res. 2013, 37, 1041–1047. [Google Scholar] [CrossRef] [PubMed]
- Gearhardt, A.N.; Corbin, W.R.; Brownell, K.D. Development of the Yale Food Addiction Scale Version 2.0. Psychol. Addict. Behav. 2016, 30, 113–121. [Google Scholar] [CrossRef] [PubMed]
- Trottier, K.; McFarlane, T.; Olmsted, M.P.; McCabe, R.E. The Weight Influenced Self-Esteem Questionnaire (WISE-Q): Factor structure and psychometric properties. Body Image 2013, 10, 112–120. [Google Scholar] [CrossRef]
- Kaufman, E.A.; Xia, M.; Fosco, G.; Yaptangco, M.; Skidmore, C.R.; Crowell, S.E. The Difficulties in Emotion Regulation Scale Short Form (DERS-SF): Validation and Replication in Adolescent and Adult Samples. J. Psychopathol. Behav. Assess. 2016, 38, 443–455. [Google Scholar] [CrossRef]
- Smarr, K.L.; Keefer, A.L. Measures of depression and depressive symptoms: Beck Depression Inventory-II (BDI-II), Center for Epidemiologic Studies Depression Scale (CES-D), Geriatric Depression Scale (GDS), Hospital Anxiety and Depression Scale (HADS), and Patient Health Questionnaire-9 (PHQ-9). Arthritis Rheum. 2011, 63 (Suppl. S11), S454–S466. [Google Scholar] [CrossRef]
- Schulz, P.; Jansen, L.J.; Schlotz, W. Stressreaktivität: Theoretisches Konzept und Messung. Diagnostica 2005, 51, 124–133. [Google Scholar] [CrossRef]
- Buysse, D.J.; Reynolds, C.F., III; Monk, T.H.; Berman, S.R.; Kupfer, D.J. The Pittsburgh Sleep Quality Index: A new instrument for psychiatric practice and research. Psychiatry Res. 1989, 28, 193–213. [Google Scholar] [CrossRef]
- Thanos, P.K.; Hanna, C.; Mihalkovic, A.; Hoffman, A.B.; Posner, A.R.; Busch, J.; Smith, C.; Badgaiyan, R.D.; Blum, K.; Baron, D.; et al. The First Exploratory Personalized Medicine Approach to Improve Bariatric Surgery Outcomes Utilizing Psychosocial and Genetic Risk Assessments: Encouraging Clinical Research. J. Pers. Med. 2023, 13, 1164. [Google Scholar] [CrossRef]
- Boor, K.; Ronai, Z.; Nemoda, Z.; Gaszner, P.; Sasvari-Szekely, M.; Guttman, A.; Kalasz, H. Noninvasive genotyping of dopamine receptor D4 (DRD4) using nanograms of DNA from substance-dependent patients. Curr. Med. Chem. 2002, 9, 793–797. [Google Scholar] [CrossRef]
- Blum, K.; Thanos, P.K.; Wang, G.-J.; Febo, M.; Demetrovics, Z.; Modestino, E.J.; Braverman, E.R.; Baron, D.; Badgaiyan, R.D.; Gold, M.S. The Food and Drug Addiction Epidemic: Targeting Dopamine Homeostasis. Curr. Pharm. Des. 2018, 23, 6050–6061. [Google Scholar] [CrossRef]
- Toups, M.S.; Myers, A.K.; Wisniewski, S.R.; Kurian, B.M.; Morris, D.W.; Rush, A.J.; Fava, M.; Trivedi, M.H. Relationship between obesity and depression: Characteristics and treatment outcomes with antidepressant medication. Psychosom. Med. 2013, 75, 863–872. [Google Scholar] [CrossRef]
- Schulte, E.M.; Smeal, J.K.; Lewis, J.; Gearhardt, A.N. Development of the Highly Processed Food Withdrawal Scale. Appetite 2018, 131, 148–154. [Google Scholar] [CrossRef]
- Pedram, P.; Wadden, D.; Amini, P.; Gulliver, W.; Randell, E.; Cahill, F.; Vasdev, S.; Goodridge, A.; Carter, J.C.; Zhai, G.; et al. Food addiction: Its prevalence and significant association with obesity in the general population. PLoS ONE 2013, 8, e74832. [Google Scholar] [CrossRef] [PubMed]
- Blum, K.; Simpatico, T.; Badgaiyan, R.D.; Demetrovics, Z.; Fratantonio, J.; Agan, G.; Febo, M.; Gold, M.S. Coupling Neurogenetics (GARS™) and a Nutrigenomic Based Dopaminergic Agonist to Treat Reward Deficiency Syndrome (RDS): Targeting Polymorphic Reward Genes for Carbohydrate Addiction Algorithms. J. Reward. Defic. Syndr. 2015, 1, 75–80. [Google Scholar] [CrossRef] [PubMed][Green Version]
- Blum, K.; Sheridan, P.J.; Wood, R.C.; Braverman, E.R.; Chen, T.J.; Comings, D.E. Dopamine D2 receptor gene variants: Association and linkage studies in impulsive-addictive-compulsive behaviour. Pharmacogenetics 1995, 5, 121–141. [Google Scholar] [CrossRef]
- Blum, K.; Liu, Y.; Wang, W.; Wang, Y.; Zhang, Y.; Oscar-Berman, M.; Smolen, A.; Febo, M.; Han, D.; Simpatico, T.; et al. rsfMRIeffects of KB220Z™ on neural pathways in reward circuitry of abstinent genotyped heroin addicts. Postgrad. Med. 2015, 127, 232–241. [Google Scholar] [CrossRef] [PubMed]
- Faul, F.; Erdfelder, E.; Buchner, A.; Lang, A.-G. Statistical power analyses using G*Power 3.1: Tests for correlation and regression analyses. Behav. Res. Methods 2009, 41, 1149–1160. [Google Scholar] [CrossRef] [PubMed]
- Glatt, S.J.; Faraone, S.V.; Lasky-Su, J.A.; Kanazawa, T.; Hwu, H.-G.; Tsuang, M.T. Family-based association testing strongly implicates DRD2 as a risk gene for schizophrenia in Han Chinese from Taiwan. Mol. Psychiatry 2009, 14, 885–893. [Google Scholar] [CrossRef] [PubMed][Green Version]
- Carpenter, C.L.; Wong, A.M.; Li, Z.; Noble, E.P.; Heber, D. Association of dopamine D2receptor and leptin receptor genes with clinically severe obesity. Obesity 2012, 21, E467–E473. [Google Scholar] [CrossRef] [PubMed]
- Cameron, J.D.; Riou, M.É.; Tesson, F.; Goldfield, G.S.; Rabasa-Lhoret, R.; Brochu, M.; Doucet, É. The TaqIA RFLP is associated with attenuated intervention-induced body weight loss and increased carbohydrate intake in post-menopausal obese women. Appetite 2013, 60, 111–116. [Google Scholar] [CrossRef] [PubMed]
- Crist, R.C.; Reiner, B.C.; Berrettini, W.H. A review of opioid addiction genetics. Curr. Opin. Psychol. 2019, 27, 31–35. [Google Scholar] [CrossRef]
- Sanwald, S.; Montag, C.; Kiefer, M. Cumulative Genetic Score of DRD2 Polymorphisms Is Associated with Impulsivity and Masked Semantic Priming. J. Mol. Neurosci. 2022, 72, 1682–1694. [Google Scholar] [CrossRef]
- Noble, E.P. The DRD2 gene in psychiatric and neurological disorders and its phenotypes. Pharmacogenomics 2000, 1, 309–333. [Google Scholar] [CrossRef]
- Luykx, J.J.; Broersen, J.L.; de Leeuw, M. The DRD2 rs1076560 polymorphism and schizophrenia-related intermediate phenotypes: A systematic review and meta-analysis. Neurosci. Biobehav. Rev. 2017, 74, 214–224. [Google Scholar] [CrossRef]
- Niu, Y.-M.; Zhang, J.; Tang, H.; Cao, L.-H.; Jiang, T.-Y.; Hu, Y.-Y. Association between DRD2/ANKK1 rs1800497 C > T polymorphism and post-traumatic stress disorder susceptibility: A multivariate meta-analysis. Front. Neurosci. 2023, 17, 1102573. [Google Scholar] [CrossRef]
- Tsou, C.-C.; Chou, H.-W.; Ho, P.-S.; Kuo, S.-C.; Chen, C.-Y.; Huang, C.-C.; Liang, C.-S.; Lu, R.-B.; Huang, S.-Y. DRD2 and ANKK1 genes associate with late-onset heroin dependence in men. World J. Biol. Psychiatry 2019, 20, 605–615. [Google Scholar] [CrossRef]
- Watanabe, Y.; Shibuya, M.; Someya, T. DRD2Ser311Cys polymorphism and risk of schizophrenia. Am. J. Med. Genet. Part B Neuropsychiatr. Genet. 2015, 168, 224–228. [Google Scholar] [CrossRef] [PubMed]
- Serý, O.; Drtílková, I.; Theiner, P.; Pitelová, R.; Staif, R.; Znojil, V.; Lochman, J.; Didden, W. Polymorphism of DRD2 gene and ADHD. Neuro. Endocrinol. Lett. 2006, 27, 236–240. [Google Scholar] [PubMed]
- Yuan, A.; Su, L.; Yu, S.; Li, C.; Yu, T.; Sun, J. Association between DRD2/ANKK1 TaqIA Polymorphism and Susceptibility with Tourette Syndrome: A Meta-Analysis. PLoS ONE 2015, 10, e0131060. [Google Scholar] [CrossRef] [PubMed]
- D’ambrosio, E.; Pergola, G.; Pardiñas, A.F.; Dahoun, T.; Veronese, M.; Sportelli, L.; Taurisano, P.; Griffiths, K.; Jauhar, S.; Rogdaki, M.; et al. A polygenic score indexing a DRD2-related co-expression network is associated with striatal dopamine function. Sci. Rep. 2022, 12, 12610. [Google Scholar] [CrossRef]
- Gluskin, B.S.; Mickey, B.J. Genetic variation and dopamine D2 receptor availability: A systematic review and meta-analysis of human in vivo molecular imaging studies. Transl. Psychiatry 2016, 6, e747. [Google Scholar] [CrossRef]
- Dang, L.C.; Samanez-Larkin, G.R.; Castrellon, J.J.; Perkins, S.F.; Cowan, R.L.; Zald, D.H. Individual differences in dopamine D2 receptor availability correlate with reward valuation. Cogn. Affect. Behav. Neurosci. 2018, 18, 739–747. [Google Scholar] [CrossRef]
- Suchanecka, A.; Grzywacz, A.; Samochowiec, J. ANKK1 gene in psychiatry. Psychiatr. Polska 2012, 45, 349–356. [Google Scholar]
- Miura, I.; Zhang, J.-P.; Hagi, K.; Lencz, T.; Kane, J.M.; Yabe, H.; Malhotra, A.K.; Correll, C.U. Variants in the DRD2 locus and antipsychotic-related prolactin levels: A meta-analysis. Psychoneuroendocrinology 2016, 72, 1–10. [Google Scholar] [CrossRef]
- Dubertret, C.; Gouya, L.; Hanoun, N.; Deybach, J.C.; Adès, J.; Hamon, M.; Gorwood, P. The 3′ region of the DRD2 gene is involved in genetic susceptibility to schizophrenia. Schizophr. Res. 2004, 67, 75–85. [Google Scholar] [CrossRef]
- Ludmer, J.A.; Levitan, R.; Gonzalez, A.; Kennedy, J.; Villani, V.; Masellis, M.; Basile, V.S.; Atkinson, L. DRD2 and SLC6A3 moderate impact of maternal depressive symptoms on infant cortisol. Psychoneuroendocrinology 2015, 62, 243–251. [Google Scholar] [CrossRef]
- Kim, J.I.; Kim, J.-W.; Lee, J.-M.; Yun, H.J.; Sohn, C.-H.; Shin, M.-S.; Kim, B.; Chae, J.; Roh, J.; Kim, B.-N. Interaction between DRD2 and lead exposure on the cortical thickness of the frontal lobe in youth with attention-deficit/hyperactivity disorder. Prog. Neuro-Psychopharmacology Biol. Psychiatry 2018, 82, 169–176. [Google Scholar] [CrossRef] [PubMed]
- Wang, Y.-S.; Lee, S.-Y.; Chen, S.-L.; Chang, Y.-H.; Wang, T.-Y.; Lin, S.-H.; Wang, C.-L.; Huang, S.-Y.; Lee, I.; Chen, P.; et al. Role of DRD2 and ALDH2 genes in bipolar II disorder with and without comorbid anxiety disorder. Eur. Psychiatry 2014, 29, 142–148. [Google Scholar] [CrossRef] [PubMed]
- Comings, D.; Flanagan, S.; Dietz, G.; Muhleman, D.; Knell, E.; Gysin, R. The dopamine D2 receptor (DRD2) as a major gene in obesity and height. Biochem. Med. Metab. Biol. 1993, 50, 176–185. [Google Scholar] [CrossRef] [PubMed]
- Sun, X.; Kroemer, N.B.; Veldhuizen, M.G.; Babbs, A.E.; de Araujo, I.E.; Gitelman, D.R.; Sherwin, R.S.; Sinha, R.; Small, D.M. Basolateral amygdala response to food cues in the absence of hunger is associated with weight gain susceptibility. J. Neurosci. 2015, 35, 7964–7976. [Google Scholar] [CrossRef]
- Arinami, T.; Itokawa, M.; Aoki, J.; Shibuya, H.; Ookubo, Y.; Iwawaki, A.; Ota, K.; Shimizu, H.; Hamaguchi, H.; Toru, M. Further association study on dopamine D2 receptor variant S311C in schizophrenia and affective disorders. Am. J. Med. Genet. 1996, 67, 133–138. [Google Scholar] [CrossRef]
- Noble, E.P.; Blum, K.; Ritchie, T.; Montgomery, A.; Sheridan, P.J. Allelic association of the D2 dopamine receptor gene with receptor-binding characteristics in alcoholism or gene ism. Arch. Gen. Psychiatry 1991, 48, 648–654. [Google Scholar] [CrossRef]
- Blum, K.; Chen, T.J.; Downs, B.W.; Bowirrat, A.; Waite, R.L.; Braverman, E.R.; Madigan, M.; Oscar-Berman, M.; DiNubile, N.; Stice, E.; et al. Neurogenetics of dopaminergic receptor supersensitivity in activation of brain reward circuitry and relapse: Proposing “Deprivation-Amplification Relapse Therapy” (DART). Postgrad. Med. 2009, 121, 176–196. [Google Scholar] [CrossRef]
- Noble, E.P. The D2 dopamine receptor gene: A review of association studies in alcoholism. Behav. Genet. 1993, 23, 119–129. [Google Scholar] [CrossRef]
- Uhl, G.; Blum, K.; Noble, E.; Smith, S. Substance abuse vulnerability and D2 receptor genes. Trends Neurosci. 1993, 16, 83–88. [Google Scholar] [CrossRef]
- Chen, A.L.C.; Blum, K.; Chen, T.J.H.; Giordano, J.; Downs, B.W.; Han, D.; Barh, D.; Braverman, E.R. Correlation of the Taq1 dopamine D2 receptor gene and percent body fat in obese and screened control subjects: A preliminary report. Food Funct. 2012, 3, 40–48. [Google Scholar] [CrossRef]
- Bouchard, C.; Perusse, L.; Leblanc, C.; Tremblay, A.; Thériault, G. Inheritance of the amount and distribution of human body fat. Int. J. Obes. 1988, 12, 205–215. [Google Scholar] [PubMed]
- Lawford, B.R.; Young, R.M.; Rowell, J.A.; Qualichefski, J.; Fletcher, B.H.; Syndulko, K.; Ritchie, T.; Noble, E.P. Bromocriptine in the treatment of alcoholics with the D2 dopamine receptor A1 allele. Nat. Med. 1995, 1, 337–341. [Google Scholar] [CrossRef] [PubMed]
- Zhu, J.-F.; Chen, L.-H.; Yuan, K.; Liang, L.; Wang, C.-L. Dopamine receptor D2 polymorphism is associated with alleviation of obesity after 8-year follow-up: A retrospective cohort study in obese Chinese children and adolescents. J. Zhejiang Univ. Sci. B 2018, 19, 807–814. [Google Scholar] [CrossRef] [PubMed]
- Volkow, N.D.; Wise, R.A. How can drug addiction help us understand obesity? Nat. Neurosci. 2005, 8, 555–560. [Google Scholar] [CrossRef] [PubMed]
- Volkow, N.D.; Wang, G.-J.; Fowler, J.S.; Telang, F. Overlapping neuronal circuits in addiction and obesity: Evidence of systems pathology. Philos. Trans. R. Soc. B Biol. Sci. 2008, 363, 3191–3200. [Google Scholar] [CrossRef]
- Volkow, N.D.; Wang, G.-J.; Baler, R.D. Reward, dopamine and the control of food intake: Implications for obesity. Trends Cogn. Sci. 2011, 15, 37–46. [Google Scholar] [CrossRef]
- Steele, K.E.; Prokopowicz, G.P.; Schweitzer, M.A.; Magunsuon, T.H.; Lidor, A.O.; Kuwabawa, H.; Kumar, A.; Brasic, J.; Wong, D.F. Alterations of central dopamine receptors before and after gastric bypass surgery. Obes. Surg. 2010, 20, 369–374. [Google Scholar] [CrossRef]
- van der Zwaal, E.M.; de Weijer, B.A.; van de Giessen, E.M.; Janssen, I.; Berends, F.J.; van de Laar, A.; Ackermans, M.T.; Fliers, E.; la Fleur, S.E.; Booij, J.; et al. Striatal dopamine D2/3 receptor availability increases after long-term bariatric surgery-induced weight loss. Eur. Neuropsychopharmacol. 2016, 26, 1190–1200. [Google Scholar] [CrossRef]
- Hamilton, J.; Swenson, S.; Hajnal, A.; Thanos, P.K. Roux-en-Y gastric bypass surgery normalizes dopamine D1, D2, and DAT levels. Synapse 2018, 72, e22058. [Google Scholar] [CrossRef]
- de Weijer, B.A.; van de Giessen, E.; Janssen, I.; Berends, F.J.; van de Laar, A.; Ackermans, M.T.; Fliers, E.; la Fleur, S.E.; Booij, J.; Serlie, M.J. Striatal dopamine receptor binding in morbidly obese women before and after gastric bypass surgery and its relationship with insulin sensitivity. Diabetologia 2014, 57, 1078–1080. [Google Scholar] [CrossRef]
- Nummenmaa, L.; Saanijoki, T.; Tuominen, L.; Hirvonen, J.; Tuulari, J.J.; Nuutila, P.; Kalliokoski, K. μ-opioid receptor system mediates reward processing in humans. Nat. Commun. 2018, 9, 1500. [Google Scholar] [CrossRef] [PubMed]
- Haghighi, A.; Melka, M.G.; Bernard, M.; Abrahamowicz, M.; Leonard, G.T.; Richer, L.; Perron, M.; Veillette, S.; Xu, C.J.; Greenwood, C.M.T.; et al. Opioid receptor mu 1 gene, fat intake and obesity in adolescence. Mol. Psychiatry 2014, 19, 63–68. [Google Scholar] [CrossRef] [PubMed]
- Joutsa, J.; Karlsson, H.K.; Majuri, J.; Nuutila, P.; Helin, S.; Kaasinen, V.; Nummenmaa, L. Binge eating disorder and morbid obesity are associated with lowered mu-opioid receptor availability in the brain. Psychiatry Res. Neuroimaging 2018, 276, 41–45. [Google Scholar] [CrossRef] [PubMed]
- Kantonen, T.; Karjalainen, T.; Pekkarinen, L.; Isojärvi, J.; Kalliokoski, K.; Kaasinen, V.; Hirvonen, J.; Nuutila, P.; Nummenmaa, L. Cerebral μ-opioid and CB1 receptor systems have distinct roles in human feeding behavior. Transl. Psychiatry 2021, 11, 442. [Google Scholar] [CrossRef]
- Kantonen, T.; Pekkarinen, L.; Karjalainen, T.; Bucci, M.; Kalliokoski, K.; Haaparanta-Solin, M.; Aarnio, R.; Dickens, A.M.; von Eyken, A.; Laitinen, K.; et al. Obesity risk is associated with altered cerebral glucose metabolism and decreased μ-opioid and CB1 receptor availability. Int. J. Obes. 2022, 46, 400–407. [Google Scholar] [CrossRef]
- Karlsson, H.K.; Tuominen, L.; Tuulari, J.J.; Hirvonen, J.; Parkkola, R.; Helin, S.; Salminen, P.; Nuutila, P.; Nummenmaa, L. Obesity is associated with decreased μ-opioid but unaltered dopamine D2Receptor availability in the brain. J. Neurosci. 2015, 35, 3959–3965. [Google Scholar] [CrossRef]
- Brunner, H.G. MAOA deficiency and abnormal behaviour: Perspectives on an assocation. Ciba Found Symp. 2007, 194, 155–164, discussion 164–157. [Google Scholar] [CrossRef]
- Need, A.C.; Ahmadi, K.R.; Spector, T.D.; Goldstein, D.B. Obesity is associated with genetic variants that alter dopamine availability. Ann. Hum. Genet. 2006, 70, 293–303. [Google Scholar] [CrossRef]
- Ziegler, C.; Domschke, K. Epigenetic signature of MAOA and MAOB genes in mental disorders. J. Neural Transm. 2018, 125, 1581–1588. [Google Scholar] [CrossRef]
- Kanarik, M.; Grimm, O.; Mota, N.R.; Reif, A.; Harro, J. ADHD co-morbidities: A review of implication of gene × environment effects with dopamine-related genes. Neurosci. Biobehav. Rev. 2022, 139, 104757. [Google Scholar] [CrossRef]
- Avsar, O.; Kuskucu, A.; Sancak, S.; Genc, E. Are dopaminergic genotypes risk factors for eating behavior and obesity in adults? Neurosci. Lett. 2017, 654, 28–32. [Google Scholar] [CrossRef] [PubMed]
- Dias, H.; Muc, M.; Padez, C.; Manco, L. Association of polymorphisms in 5-HTT (SLC6A4) and MAOA genes with measures of obesity in young adults of Portuguese origin. Arch. Physiol. Biochem. 2016, 122, 8–13. [Google Scholar] [CrossRef] [PubMed]
Disclaimer/Publisher’s Note: The statements, opinions and data contained in all publications are solely those of the individual author(s) and contributor(s) and not of MDPI and/or the editor(s). MDPI and/or the editor(s) disclaim responsibility for any injury to people or property resulting from any ideas, methods, instructions or products referred to in the content. |
© 2023 by the authors. Licensee MDPI, Basel, Switzerland. This article is an open access article distributed under the terms and conditions of the Creative Commons Attribution (CC BY) license (https://creativecommons.org/licenses/by/4.0/).



