Prediction of Initial CRP/Albumin Ratio on In-Hospital Mortality in Isolated Traumatic Brain Injury Patients
Abstract
1. Introduction
2. Materials and Methods
2.1. Study Design and Population
2.2. Data Collection
2.3. Treatment Regimen and Intensive Care Unit Treatment
2.4. Cardiopulmonary Parameters
2.5. Serum Biomarkers
2.6. Radiological Data
2.7. In-Hospital Outcome and Mortality
2.8. Statistical Analysis
3. Results
3.1. Main Characteristics
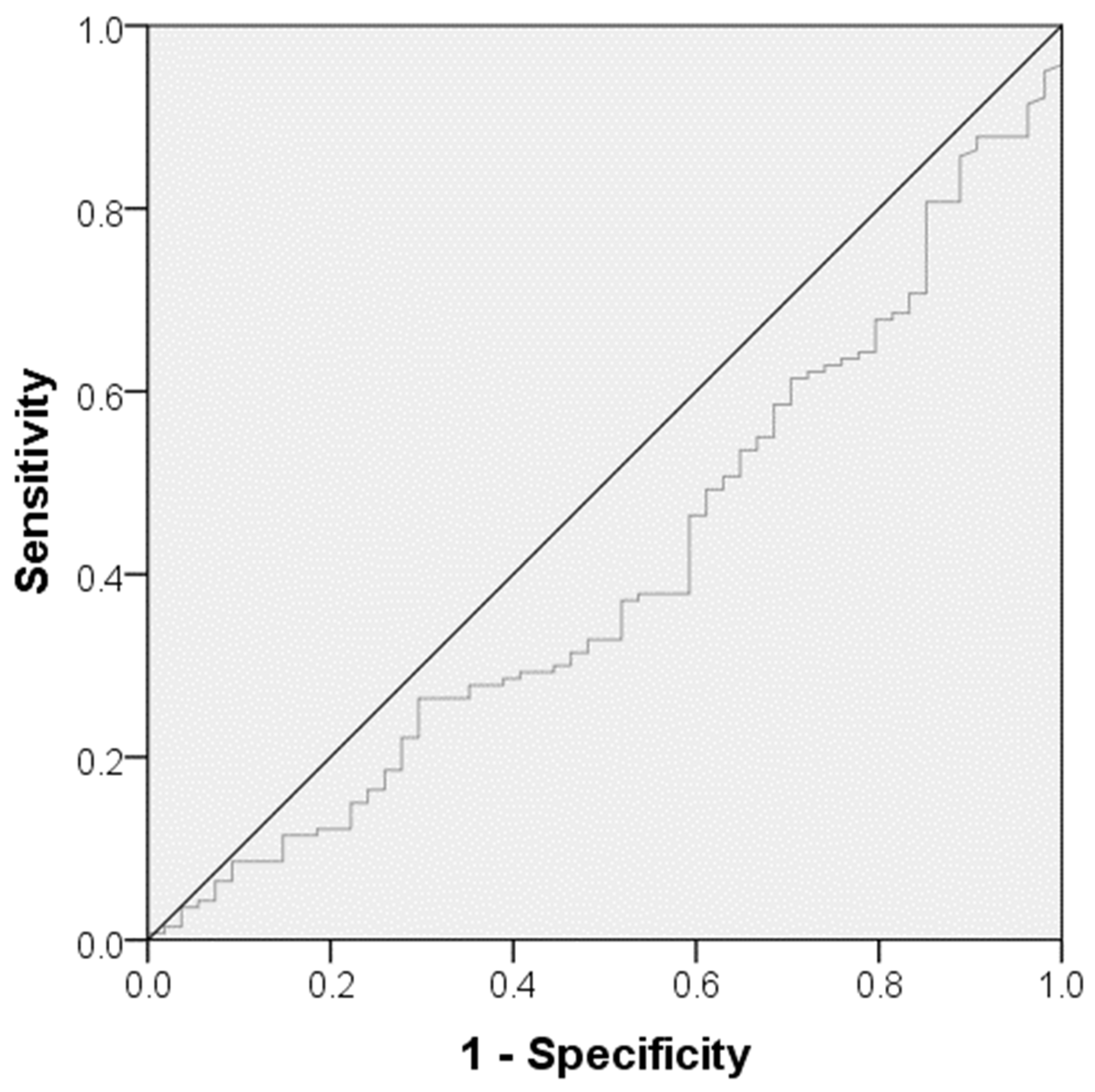
3.2. In-Hospital Mortality and Outcome
4. Discussion
4.1. In-Hospital Mortality
4.2. C-Reactive Protein/Albumin Ratio
4.3. Limitations of the Study
5. Conclusions
Author Contributions
Funding
Institutional Review Board Statement
Informed Consent Statement
Data Availability Statement
Acknowledgments
Conflicts of Interest
References
- Maas, A.I.R.; Menon, D.K.; Adelson, P.D.; Andelic, N.; Bell, M.J.; Belli, A.; Bragge, P.; Brazinova, A.; Büki, A.; Chesnut, R.M.; et al. Traumatic brain injury: Integrated approaches to improve prevention, clinical care, and research. Lancet Neurol. 2017, 16, 987–1048. [Google Scholar] [CrossRef] [PubMed]
- Corps, K.N.; Roth, T.L.; McGavern, D.B. Inflammation and neuroprotection in traumatic brain injury. JAMA Neurol. 2015, 72, 355–362. [Google Scholar] [CrossRef] [PubMed]
- Das, M.; Mohapatra, S.; Mohapatra, S.S. New perspectives on central and peripheral immune responses to acute traumatic brain injury. J. Neuroinflamm. 2012, 9, 236. [Google Scholar] [CrossRef] [PubMed]
- Wang, R.; He, M.; Ou, X.; Xie, X.; Kang, Y. CRP Albumin ratio is positively associated with poor outcome in patients with traumatic brain injury. Clin. Neurol. Neurosurg. 2020, 195, 106051. [Google Scholar] [CrossRef] [PubMed]
- Carney, N.; Totten, A.M.; O’Reilly, C.; Ullman, J.S.; Hawryluk, G.W.J.; Bell, M.J.; Bratton, S.L.; Chesnut, R.; Harris, O.A.; Kissoon, N.; et al. Guidelines for the Management of Severe Traumatic Brain Injury, Fourth Edition. Neurosurgery 2017, 80, 6–15. [Google Scholar] [CrossRef] [PubMed]
- Krausz, A.D.; Korley, F.K.; Burns, M.A. The Current State of Traumatic Brain Injury Biomarker Measurement Methods. Biosensors 2021, 11, 319. [Google Scholar] [CrossRef] [PubMed]
- Wang, K.K.; Yang, Z.; Zhu, T.; Shi, Y.; Rubenstein, R.; Tyndall, J.A.; Manley, G.T. An update on diagnostic and prognostic biomarkers for traumatic brain injury. Expert Rev. Mol. Diagn. 2018, 18, 165–180. [Google Scholar] [CrossRef] [PubMed]
- Bender, M.; Stein, M.; Schoof, B.; Kolodziej, M.A.; Uhl, E.; Schöller, K. Troponin I as an early biomarker of cardiopulmonary parameters during the first 24 h of intensive care unit treatment in isolated traumatic brain injury patients. Injury 2020, 51, 1189–1195. [Google Scholar] [CrossRef] [PubMed]
- Park, J.E.; Chung, K.S.; Song, J.H.; Kim, S.Y.; Kim, E.Y.; Jung, J.Y.; Kang, Y.A.; Park, M.S.; Kim, Y.S.; Chang, J.; et al. The C-Reactive Protein/Albumin Ratio as a Predictor of Mortality in Critically Ill Patients. J. Clin. Med. 2018, 7, 333. [Google Scholar] [CrossRef] [PubMed]
- Bai, M.; Wu, Y.; Ji, Z.; Wang, S.; Lin, Z.; Pan, S.; Huang, K. Prognostic value of C-reactive protein/albumin ratio in neurocritically ill patients. Minerva Anestesiol. 2019, 85, 1299–1307. [Google Scholar] [CrossRef] [PubMed]
- Kocatürk, M.; Kocatürk, Ö. Assessment of relationship between C-reactive protein to albumin ratio and 90-day mortality in patients with acute ischaemic stroke. Neurol. Neurochir. Pol. 2019, 53, 205–211. [Google Scholar] [CrossRef] [PubMed]
- Bender, M.; Haferkorn, K.; Friedrich, M.; Uhl, E.; Stein, M. Impact of Early C-Reactive Protein/Albumin Ratio on Intra-Hospital Mortality among Patients with Spontaneous Intracerebral Hemorrhage. J. Clin. Med. 2020, 9, 1236. [Google Scholar] [CrossRef] [PubMed]
- Oh, T.K.; Ji, E.; Na, H.-S.; Min, B.; Jeon, Y.-T.; Do, S.-H.; Song, I.-A.; Park, H.-P.; Hwang, J.-W. C-Reactive Protein to Albumin Ratio Predicts 30-Day and 1-Year Mortality in Postoperative Patients after Admission to the Intensive Care Unit. J. Clin. Med. 2018, 7, 39. [Google Scholar] [CrossRef] [PubMed]
- Basile-Filho, A.; Lago, A.F.; Menegueti, M.G.; Nicolini, E.A.; Rodrigues, L.A.d.B.; Nunes, R.S.; Auxiliadora-Martins, M.; Ferez, M.A. The use of APACHE II, SOFA, SAPS 3, C-reactive protein/albumin ratio, and lactate to predict mortality of surgical critically ill patients: A retrospective cohort study. Medicine 2019, 98, e16204. [Google Scholar] [CrossRef] [PubMed]
- Ranzani, O.T.; Zampieri, F.G.; Forte, D.N.; Azevedo, L.C.P.; Park, M. C-reactive protein/albumin ratio predicts 90-day mortality of septic patients. PLoS ONE 2013, 8, e59321. [Google Scholar] [CrossRef] [PubMed]
- Vincent, J.-L.; Dubois, M.-J.; Navickis, R.J.; Wilkes, M.M. Hypoalbuminemia in acute illness: Is there a rationale for intervention? A meta-analysis of cohort studies and controlled trials. Ann. Surg. 2003, 237, 319–334. [Google Scholar] [CrossRef] [PubMed]
- Özçiftci Yılmaz, P.; Karacan, E. The effects of C-reactive protein/albumin ratio and hematologic parameters on predicting the prognosis for emergency surgical patients in intensive care. Ulus. Travma Acil Cerrahi Derg. 2021, 27, 67–72. [Google Scholar] [CrossRef] [PubMed]
- Sun, R.; Sun, X.; Yang, H.; Liu, Q. Retrospective analysis of serum C-reactive protein/albumin ratio for the prognosis of the adult patients with sepsis. Chin. Crit. Care Med. 2016, 28, 413–417. [Google Scholar] [PubMed]
- Teasdale, G.; Jennett, B. Assessment of Coma and Impaired Consciousness. Lancet 1974, 304, 81–84. [Google Scholar] [CrossRef] [PubMed]
- Le Gall, J.R.; Lemeshow, S.; Saulnier, F. A new Simplified Acute Physiology Score (SAPS II) based on a European/North American multicenter study. JAMA 1993, 270, 2957–2963. [Google Scholar] [CrossRef] [PubMed]
- Foreman, B.P.; Caesar, R.R.; Parks, J.; Madden, C.; Gentilello, L.M.; Shafi, S.; Carlile, M.C.; Harper, C.R.; Diaz-Arrastia, R.R. Usefulness of the abbreviated injury score and the injury severity score in comparison to the Glasgow Coma Scale in predicting outcome after traumatic brain injury. J. Trauma Inj. Infect. Crit. Care 2007, 62, 946–950. [Google Scholar] [CrossRef] [PubMed]
- van Swieten, J.C.; Koudstaal, P.J.; Visser, M.C.; Schouten, H.J.; van Gijn, J. Interobserver agreement for the assessment of handicap in stroke patients. Stroke 1988, 19, 604–607. [Google Scholar] [CrossRef] [PubMed]
- Wilson, J.T.; Pettigrew, L.E.; Teasdale, G.M. Structured interviews for the Glasgow Outcome Scale and the extended Glasgow Outcome Scale: Guidelines for their use. J. Neurotrauma 1998, 15, 573–585. [Google Scholar] [CrossRef] [PubMed]
- Wang, Y.; Gong, Y.; Chen, D.; Xu, F.; Yang, P. C-Reactive Protein/Albumin Ratio Is Associated with Mortality in Patients with Moderate to Severe Traumatic Brain Injury. World Neurosurg. 2023, 173, e234–e240. [Google Scholar] [CrossRef] [PubMed]
- Diedler, J.; Sykora, M.; Hahn, P.; Rupp, A.; Rocco, A.; Herweh, C.; Steiner, T. C-reactive-protein levels associated with infection predict short- and long-term outcome after supratentorial intracerebral hemorrhage. Cerebrovasc. Dis. 2009, 27, 272–279. [Google Scholar] [CrossRef] [PubMed]
- Lobo, S.M.A.; Lobo, F.R.M.; Bota, D.P.; Lopes-Ferreira, F.; Soliman, H.M.; Mélot, C.; Vincent, J.-L. C-reactive protein levels correlate with mortality and organ failure in critically ill patients. Chest 2003, 123, 2043–2049. [Google Scholar] [CrossRef] [PubMed]
- Oh, T.K.; Song, I.-A.; Lee, J.H. Clinical usefulness of C-reactive protein to albumin ratio in predicting 30-day mortality in critically ill patients: A retrospective analysis. Sci. Rep. 2018, 8, 14977. [Google Scholar] [CrossRef] [PubMed]
- Löppönen, P.; Qian, C.; Tetri, S.; Juvela, S.; Huhtakangas, J.; Bode, M.K.; Hillbom, M. Predictive value of C-reactive protein for the outcome after primary intracerebral hemorrhage. J. Neurosurg. 2014, 121, 1374–1379. [Google Scholar] [CrossRef] [PubMed]
- Kim, M.H.; Ahn, J.Y.; Song, J.E.; Choi, H.; Ann, H.W.; Kim, J.K.; Kim, J.H.; Jeon, Y.D.; Kim, S.B.; Jeong, S.J.; et al. The C-Reactive Protein/Albumin Ratio as an Independent Predictor of Mortality in Patients with Severe Sepsis or Septic Shock Treated with Early Goal-Directed Therapy. PLoS ONE 2015, 10, e0132109. [Google Scholar] [CrossRef] [PubMed]
- Di Napoli, M.; Papa, F.; Bocola, V. C-reactive protein in ischemic stroke: An independent prognostic factor. Stroke 2001, 32, 917–924. [Google Scholar] [CrossRef] [PubMed]
- Di Napoli, M.; Godoy, D.A.; Campi, V.; del Valle, M.; Piñero, G.; Mirofsky, M.; Popa-Wagner, A.; Masotti, L.; Papa, F.; Rabinstein, A.A.; et al. C-reactive protein level measurement improves mortality prediction when added to the spontaneous intracerebral hemorrhage score. Stroke 2011, 42, 1230–1236. [Google Scholar] [CrossRef] [PubMed]
- Ghabaee, M.; Zandieh, A.; Mohebbi, S.; Fakhri, M.; Sadeghian, H.; Divani, F.; Amirifard, H.; Mousavi-Mirkala, M.; Ghaffarpour, M. Predictive ability of C-reactive protein for early mortality after ischemic stroke: Comparison with NIHSS score. Acta Neurol. Belg. 2014, 114, 41–45. [Google Scholar] [CrossRef] [PubMed]
- Xu, L.B.; Yue, J.K.; Korley, F.; Puccio, A.M.; Yuh, E.L.; Sun, X.; Rabinowitz, M.; Vassar, M.; Taylor, S.R.; Winkler, E.A.; et al. High-Sensitivity C-Reactive Protein is a Prognostic Biomarker of Six-Month Disability after Traumatic Brain Injury: Results from the TRACK-TBI Study. J. Neurotrauma 2021, 38, 918–927. [Google Scholar] [CrossRef] [PubMed]



| Parameter | Results |
|---|---|
| Baseline data | |
| Age, years, mean (±SD) * | 66.3 (19.9) |
| Women, n (%) * | 75 (37.5) |
| Men, n (%) * | 125 (62.5) |
| Body mass index, kg/m2, mean (±SD) * | 26.0 (4.1) |
| Glasgow coma scale score, median (IQR) * | 11 (3–15) |
| AIS score, median (IQR) * | 0 (0–0) |
| AIS score 0, n (%) * | 160 (80.0) |
| AIS score 1, n (%) * | 40 (20.0) |
| AIS head score, median (IQR) * | 2 (1–5) |
| AIS head score 1, n (%) * | 52 (26.0) |
| AIS head score 2, n (%) * | 55 (27.5) |
| AIS head score 3, n (%) * | 7 (3.5) |
| AIS head score 4, n (%) * | 22 (11.0) |
| AIS head score 5, n (%) * | 31 (15.5) |
| AIS head score 6, n (%) * | 33 (16.5) |
| APACHE II score, median (IQR) * | 14 (9–21) |
| Comorbidities, n (%) * | 130 (65.0) |
| Premedication, n (%) * | 124 (62.0) |
| Emergency surgery, n (%) *** | 79 (39.5) |
| Intubation, n (%) ** | 97 (48.5) |
| Tracheostomy, n (%) *** | 20 (10.0) |
| Aspiration, n (%) *** | 54 (27.0) |
| Cardiopulmonary parameters | |
| Norepinephrine application rate, µg/kg/min, median (IQR) ** | 0.06 (0–0.04) |
| Systolic blood pressure, mmHg, median (IQR) ** | 128 (118–138) |
| Mean arterial pressure, mmHg, median (IQR) ** | 81 (74–90) |
| Heart rate, beats per minute, median (IQR) ** | 75.5 (67.8–87.3) |
| Respiration rate, n per minute, median (IQR) ** | 12 (12–17) |
| Inspiratory oxygen fraction, %, median (IQR) ** | 40.0 (21–40) |
| PEEP level, median (IQR) ** | 6 (5–7) |
| Body temperature, centigrade, median (IQR) * | 36.7 (36.2–37.3) |
| Biomarkers | |
| White blood cells, giga/L, median (IQR) ** | 11.8 (11.4–14.7) |
| Hemoglobin, g/dL, median (IQR) ** | 13.0 (11.4–14.5) |
| Hematocrit, l/L, median (IQR) ** | 0.38 (0.34–0.42) |
| Thrombocytes, giga/L, median (IQR) ** | 181.5 (155–261) |
| Prothrombin time, %, median (IQR) ** | 83.5 (70.5–101) |
| Partial thromboplastin time, sec, median (IQR) ** | 27.5 (26–33) |
| Fibrinogen, g/L, median (IQR) ** | 2.55 (2.31–3.35) |
| Antithrombin 3, %, median (IQR) ** | 85.5 (75.3–97.8) |
| Sodium, mmol/L, median (IQR) ** | 139 (137–141) |
| Potassium, mmol/L, median (IQR) ** | 3.9 (3.6–4.2) |
| Creatinine, mg/dL, median (IQR) ** | 0.8 (0.6–1.1) |
| Urea, mg/dL, median (IQR) ** | 28 (25.3–47.8) |
| Cholinesterase, U/L, median (IQR) ** | 7246 (5378–9255) |
| Blood glucose, mg/dL, median (IQR) ** | 134.5 (112–163) |
| Serum lactate, mmol/L, median (IQR) ** | 1.5 (1.0–2.3) |
| Troponin I, ng/mL, median (IQR) ** | 0.01 (0.01–0.04) |
| Cortisol, µg/dL, median (IQR) ** | 23.2 (16.6–36.6) |
| C-reactive protein, mg/dL, median (IQR) ** | 2.25 (1.1–20.7) |
| Albumin, g/L, median (IQR) ** | 37.5 (35.1–43.1) |
| C-reactive protein/Albumin ratio, median (IQR) ** | 0.067 (0.026–0.533) |
| Radiological data | |
| Subdural hematoma, n (%) * | 41 (20.5) |
| Epidural hematoma, n (%) * | 5 (2.5) |
| Traumatic subarachnoid hemorrhage, n (%) * | 11 (5.5) |
| Brain contusion, n (%) * | 6 (3) |
| Diffuse axonal injury, n (%) * | 3 (1.5) |
| Skull fracture, n (%) * | 1 (0.5) |
| Diffuse traumatic brain injury, n (%) * | 133 (66.5) |
| Outcome | |
| mRS score, median (IQR) **** | 3 (0–6) |
| mRS 0, n (%) **** | 68 (34) |
| mRS 1, n (%) **** | 13 (56.5) |
| mRS 2, n (%) **** | 8 (4) |
| mRS 3, n (%) **** | 18 (9) |
| mRS 4, n (%) **** | 11 (5.5) |
| mRS 5, n (%) **** | 27 (13.5) |
| mRS 6, n (%) **** | 55 (27.5) |
| GOS score, median (IQR) **** | 4 (1–5) |
| GOS 1, n (%) **** | 55 (27.5) |
| GOS 2, n (%) **** | 13 (6.5) |
| GOS 3, n (%) **** | 25 (12.5) |
| GOS 4, n (%) **** | 27 (13.5) |
| GOS 5, n (%) **** | 80 (40) |
| GCS | Survivor | Non-Survivor | IHM [%] |
|---|---|---|---|
| 3 | 23 | 32 | 58.18 |
| 4 | 1 | 1 | 50 |
| 5 | 5 | 2 | 28.57 |
| 6 | 2 | 0 | 0 |
| 7 | 3 | 3 | 50 |
| 8 | 5 | 4 | 44.44 |
| 9 | 0 | 0 | - |
| 10 | 8 | 1 | 11.11 |
| 11 | 10 | 2 | 16.67 |
| 12 | 10 | 2 | 16.67 |
| 13 | 10 | 4 | 28.57 |
| 14 | 20 | 1 | 4.76 |
| 15 | 48 | 3 | 5.88 |
| Parameter | Survivor (n = 145) | Non-Survivor (n = 55) | p-Value |
|---|---|---|---|
| Baseline Data | |||
| Age, years, mean (±SD) * | 63.5 (20.9) | 73.6 (14.5) | 0.002 |
| Women, n (%) * | 55 (37.9) | 20 (36.4) | 0.838 |
| Men, n (%) * | 90 (62.1) | 35 (63.6) | |
| Body mass index, kg/m2, mean (±SD) * | 25.9 (3.7) | 26.3 (4.9) | 0.397 |
| Glasgow coma scale score, median (IQR) * | 13 (8–15) | 3 (3–8) | <0.0001 |
| AIS score, median (IQR) * | 0 (0–0) | 0 (0–1) | 0.113 |
| AIS score 0, n (%) * | 120 (82.8) | 40 (72.7) | |
| AIS score 1, n (%) * | 25 (17.2) | 15 (27.3) | |
| AIS head score, median (IQR) * | 2 (1–3) | 6 (5–6) | <0.0001 |
| AIS head score 1, n (%) * | 52 (35.9) | 0 (0) | |
| AIS head score 2, n (%) * | 55 (37.9) | 0 (0) | |
| AIS head score 3, n (%) * | 7 (4.8) | 0 (0) | |
| AIS head score 4, n (%) * | 9 (6.2) | 13 (23.6) | |
| AIS head score 5, n (%) * | 22 (15.2) | 9 (16.4) | |
| AIS head score 6, n (%) * | 0 (0) | 33 (60.0) | |
| APACHE II score, median (IQR) * | 11 (8–17) | 21.5 (18–26.3) | <0.0001 |
| Comorbidities, n (%) * | 91 (62.8) | 39 (70.9) | 0.407 |
| Premedication, n (%) * | 91 (62.8) | 33 (60) | 0.130 |
| Emergency surgery, n (%) *** | 53 (36.6) | 26 (47.3) | 0.006 |
| Intubation, n (%) ** | 49 (33.8) | 48 (87.3) | <0.0001 |
| Tracheostomy, n (%) *** | 19 (13.1) | 1 (1.8) | 0.018 |
| Aspiration, n (%) *** | 35 (24.1) | 19 (34.5) | 0.256 |
| Cardiopulmonary parameter | |||
| Norepinephrine application rate, µg/kg/min, median (IQR) ** | 0.0 (0.0–0.03) | 0.03 (0.00–0.01) | <0.0001 |
| Mean arterial pressure, mmHg, median (IQR) ** | 82 (74–90) | 78.5 (67.3–91.5) | 0.126 |
| Heart rate, beats per minute, median (IQR) ** | 76 (68–87) | 72 (63–88.5) | 0.246 |
| Respiration rate, n per minute, median (IQR) ** | 15 (12–17) | 12 (10–15) | <0.0001 |
| Inspiratory oxygen fraction, %, median (IQR) ** | 21 (21–40) | 35 (21–45) | 0.002 |
| PEEP level, median (IQR) ** | 5.5 (5–7) | 5 (5–6) | 0.089 |
| Body temperature, centigrade, median (IQR) * | 36.9 (36.4–37.3) | 36.3 (35.1–36.8) | <0.0001 |
| Biomarkers | |||
| White blood cells, giga/L, median (IQR) ** | 10.0 (7.4–14.3) | 11.9 (9.8–15.7) | 0.005 |
| Hemoglobin, g/dL, median (IQR) ** | 13.5 (11.9–14.8) | 12.2 (10–13.8) | 0.001 |
| Hematocrit, l/L, median (IQR) ** | 0.39 (0.35–0.43) | 0.36 (0.3–0.4) | 0.002 |
| Thrombocytes, giga/L, median (IQR) ** | 209 (160–272.5) | 193 (144–251) | 0.130 |
| Prothrombin time, %, median (IQR) ** | 94 (80–102) | 82 (56–96) | 0.002 |
| Partial thromboplastin time, sec, median (IQR) ** | 28 (26–31) | 31 (27–39) | <0.0001 |
| Fibrinogen, g/L, median (IQR) ** | 2.77 (2.32–3.33) | 2.72 (2.22–3.46) | 0.793 |
| Antithrombin 3, %, median (IQR) ** | 89 (77.3–97.8) | 284 (71.5–98.3) | 0.364 |
| Creatinine, mg/dL, median (IQR) ** | 0.8 (0.6–1) | 0.9 (0.7–1.3) | 0.087 |
| Urea, mg/dL, median (IQR) ** | 34 (24.5–46) | 42 (28–59) | 0.011 |
| Cholinesterase, U/L, median (IQR) ** | 7711.5 (5757.5–9332) | 6555 (3863–8942) | 0.031 |
| Blood glucose, mg/dL, median (IQR) ** | 123 (110–154) | 158 (131–182) | <0.0001 |
| Serum lactate, mmol/L, median (IQR) ** | 1.3 (0.9–2.1) | 2.1 (1.2–3.2) | <0.0001 |
| Troponin I, ng/mL, median (IQR) ** | 0.01 (0.01–0.02) | 0.02 (0.01–0.08) | 0.009 |
| Cortisol, µg/dL, median (IQR) ** | 24.4 (16.4–35.9) | 28 (17.6–45) | 0.250 |
| C-reactive protein, mg/dL, median (IQR) ** | 4.01 (0.88–19.47) | 8.1 (1.6–24) | 0.169 |
| Albumin, g/L, median (IQR) ** | 39.5 (36.5–43.7) | 36.4 (32.6–41.1) | <0.0001 |
| C-reactive protein/Albumin ratio, median (IQR) ** | 0.09 (0.02–0.48) | 0.24 (0.04–0.68) | 0.038 |
| Radiological data | |||
| Localization | 0.158 | ||
| Subdural hematoma, n (%) * | 27 (18.6) | 14 (25.5) | |
| Epidural hematoma, n (%) * | 5 (3.4) | 0 (0) | |
| Traumatic subarachnoid hemorrhage, n (%) * | 11 (7.6) | 0 (0) | |
| Brain contusion, n (%) * | 5 (3.4) | 1 (1.8) | |
| Diffuse axonal injury, n (%) * | 3 (2.1) | 0 (0) | |
| Skull fracture, n (%) * | 1 (0.7) | 0 (0) | |
| Diffuse traumatic brain injury, n (%) * | 93 (64.1) | 40 (72.7) | |
| Parameter | Odds Ratio | 95% CI | p-Value |
|---|---|---|---|
| Age, years, mean (±SD) * | 0.953 | 0.927–0.981 | 0.001 |
| Glasgow coma scale score, median (IQR) * | 1.347 | 1.203–1.509 | <0.0001 |
| Norepinephrine application rate, µg/kg/min, mean (±SD) ** | 0.000 | 0.000–0.090 | 0.016 |
| Serum lactate, mmol/L, median (IQR) ** | 0.506 | 0.353–0.725 | <0.0001 |
| Inspiratory oxygen fraction, mean (±SD) ** | 1.041 | 0.995–1.088 | 0.079 |
| C-reactive protein/Albumin ratio, mean (±SD) * | 0.547 | 0.316–0.945 | 0.031 |
Disclaimer/Publisher’s Note: The statements, opinions and data contained in all publications are solely those of the individual author(s) and contributor(s) and not of MDPI and/or the editor(s). MDPI and/or the editor(s) disclaim responsibility for any injury to people or property resulting from any ideas, methods, instructions or products referred to in the content. |
© 2024 by the authors. Licensee MDPI, Basel, Switzerland. This article is an open access article distributed under the terms and conditions of the Creative Commons Attribution (CC BY) license (https://creativecommons.org/licenses/by/4.0/).
Share and Cite
Friedrich, M.; Haferkorn, K.; Stein, M.; Uhl, E.; Bender, M. Prediction of Initial CRP/Albumin Ratio on In-Hospital Mortality in Isolated Traumatic Brain Injury Patients. Biomedicines 2024, 12, 1084. https://doi.org/10.3390/biomedicines12051084
Friedrich M, Haferkorn K, Stein M, Uhl E, Bender M. Prediction of Initial CRP/Albumin Ratio on In-Hospital Mortality in Isolated Traumatic Brain Injury Patients. Biomedicines. 2024; 12(5):1084. https://doi.org/10.3390/biomedicines12051084
Chicago/Turabian StyleFriedrich, Michaela, Kristin Haferkorn, Marco Stein, Eberhard Uhl, and Michael Bender. 2024. "Prediction of Initial CRP/Albumin Ratio on In-Hospital Mortality in Isolated Traumatic Brain Injury Patients" Biomedicines 12, no. 5: 1084. https://doi.org/10.3390/biomedicines12051084
APA StyleFriedrich, M., Haferkorn, K., Stein, M., Uhl, E., & Bender, M. (2024). Prediction of Initial CRP/Albumin Ratio on In-Hospital Mortality in Isolated Traumatic Brain Injury Patients. Biomedicines, 12(5), 1084. https://doi.org/10.3390/biomedicines12051084

