Development of Recombinant PLC-Zeta Protein as a Therapeutic Intervention for the Clinical Treatment of Oocyte Activation Failure
Abstract
1. Introduction
2. Materials and Methods
2.1. Recombinant Protein Expression and Purification
2.2. Recombinant Protein Microinjection in Mouse Eggs
2.3. Circular Dichroism (CD)
2.4. PLC Activity Assay
2.5. Embryonic Chick Culture and in Ovo Treatment
3. Results
3.1. Recombinant Human MBP-Tagged PLCζ Protein Has Potent Ca2+ Oscillation-Inducing Activity
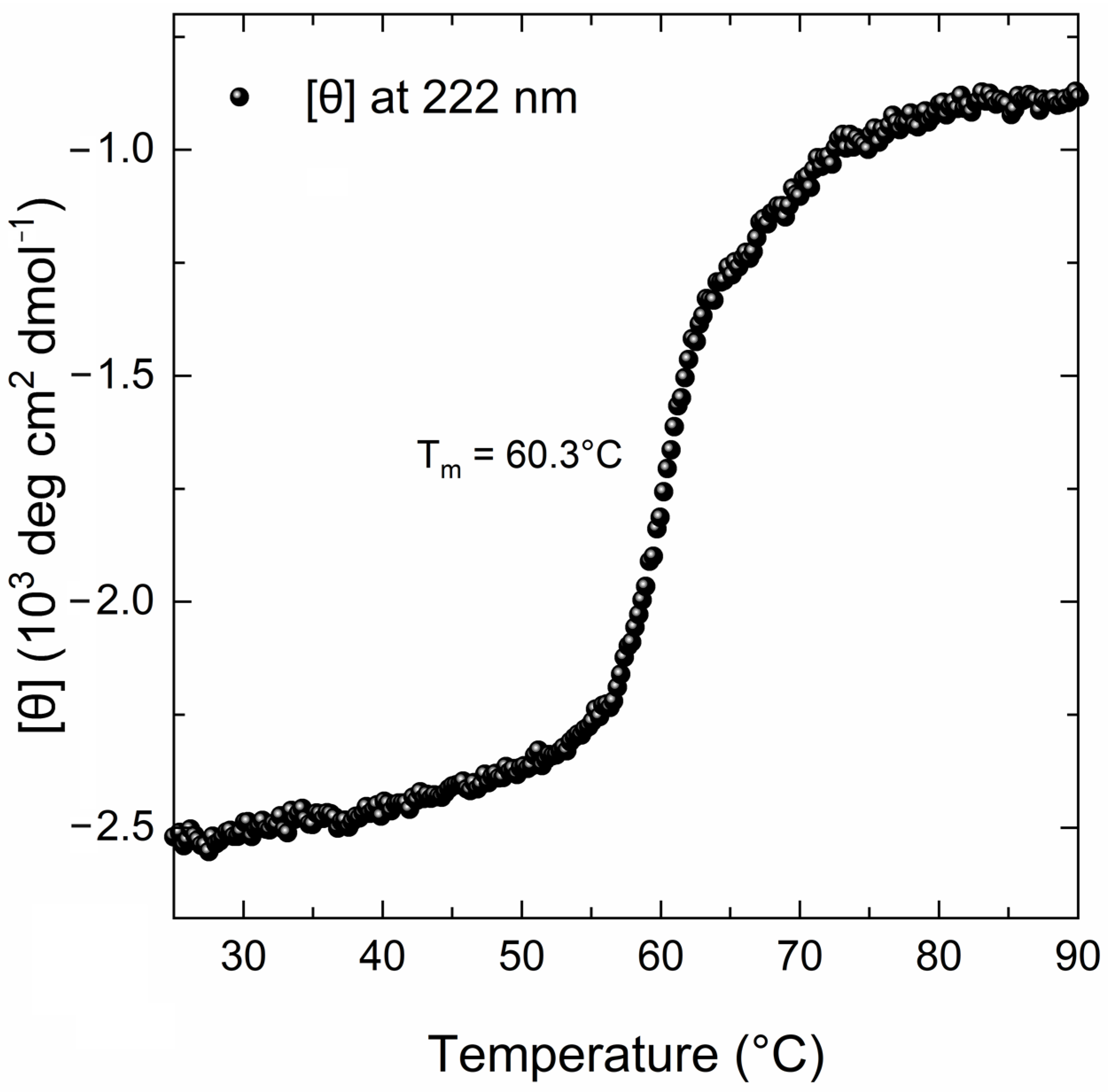
3.2. CD Spectra and Protein Stability of MBP-PLCζ Recombinant Protein
3.3. Recombinant Human MBP-PLCζ Protein Retains Its Enzymatic Properties Following 90-Day Period at −80 °C
3.4. Exposure of Recombinant MBP-PLCζ Protein Did Not Affect the Embryonic Viability of Chicken Embryos
4. Discussion
Author Contributions
Funding
Institutional Review Board Statement
Data Availability Statement
Acknowledgments
Conflicts of Interest
References
- Stricker, S.A. Comparative biology of calcium signaling during fertilization and egg activation in animals. Dev. Biol. 1999, 211, 157–176. [Google Scholar] [CrossRef] [PubMed]
- Runft, L.L.; Jaffe, L.A.; Mehlmann, L.M. Egg activation at fertilization: Where it all begins. Dev. Biol. 2002, 245, 237–254. [Google Scholar] [CrossRef] [PubMed]
- Thanassoulas, A.; Swann, K.; Lai, F.A.; Nomikos, M. SPERM FACTORS AND EGG ACTIVATION: The structure and func-tion relationship of sperm PLCZ1. Reproduction 2022, 164, F1–F8. [Google Scholar] [CrossRef] [PubMed]
- Swann, K.; Larman, M.G.; Saunders, C.M.; Lai, F.A. The cytosolic sperm factor that triggers Ca2+ oscillations and egg activation in mammals is a novel phospholipase C: PLCzeta. Reproduction 2004, 127, 431–439. [Google Scholar] [CrossRef] [PubMed]
- Wakai, T.; Vanderheyden, V.; Fissore, R.A. Ca2+ signaling during mammalian fertilization: Requirements, players, and adaptations. Cold Spring Harb. Perspect. Biol. 2011, 3, a006767. [Google Scholar] [CrossRef] [PubMed]
- Nomikos, M.; Kashir, J.; Lai, F.A. The role and mechanism of action of sperm PLC-zeta in mammalian fertilisation. Biochem. J. 2017, 474, 3659–3673. [Google Scholar] [CrossRef] [PubMed]
- Saunders, C.M.; Larman, M.G.; Parrington, J.; Cox, L.J.; Royse, J.; Blayney, L.M.; Swann, K.; Lai, F.A. PLC zeta: A sperm-specific trigger of Ca(2+) oscillations in eggs and embryo development. Development 2002, 129, 3533–3544. [Google Scholar] [CrossRef] [PubMed]
- Cox, L.J.; Larman, M.G.; Saunders, C.M.; Hashimoto, K.; Swann, K.; Lai, F.A. Sperm phospholipase Czeta from humans and cynomolgus monkeys triggers Ca2+ oscillations, activation and development of mouse oocytes. Reproduction 2002, 124, 611–623. [Google Scholar] [CrossRef] [PubMed]
- Yoon, S.Y.; Jellerette, T.; Salicioni, A.M.; Lee, H.C.; Yoo, M.S.; Coward, K.; Parrington, J.; Grow, D.; Cibelli, J.B.; Visconti, P.E.; et al. Human sperm devoid of PLC, zeta 1 fail to induce Ca(2+) release and are unable to initiate the first step of embryo development. J. Clin. Invest. 2008, 118, 3671–3681. [Google Scholar] [CrossRef] [PubMed]
- Heytens, E.; Parrington, J.; Coward, K.; Young, C.; Lambrecht, S.; Yoon, S.Y.; Fissore, R.A.; Hamer, R.; Deane, C.M.; Ruas, M.; et al. Reduced amounts and abnormal forms of phospholipase C zeta (PLCzeta) in spermatozoa from infertile men. Hum. Reprod. 2009, 24, 2417–2428. [Google Scholar] [CrossRef] [PubMed]
- Escoffier, J.; Lee, H.C.; Yassine, S.; Zouari, R.; Martinez, G.; Karaouzene, T.; Coutton, C.; Kherraf, Z.E.; Halouani, L.; Triki, C.; et al. Homozygous mutation of PLCZ1 leads to defective human oocyte activation and infertility that is not rescued by the WW-binding protein PAWP. Hum. Mol. Genet. 2016, 25, 878–891. [Google Scholar] [CrossRef] [PubMed]
- Torra-Massana, M.; Cornet-Bartolome, D.; Barragan, M.; Durban, M.; Ferrer-Vaquer, A.; Zambelli, F.; Rodriguez, A.; Oliva, R.; Vassena, R. Novel phospholipase C zeta 1 mutations associated with fertilization failures after ICSI. Hum. Reprod. 2019, 34, 1494–1504. [Google Scholar] [CrossRef] [PubMed]
- Dai, J.; Dai, C.; Guo, J.; Zheng, W.; Zhang, T.; Li, Y.; Lu, C.; Gong, F.; Lu, G.; Lin, G. Novel homozygous variations in PLCZ1 lead to poor or failed fertilization characterized by abnormal localization patterns of PLCzeta in sperm. Clin. Genet. 2020, 97, 347–351. [Google Scholar] [CrossRef] [PubMed]
- Yan, Z.; Fan, Y.; Wang, F.; Yan, Z.; Li, M.; Ouyang, J.; Wu, L.; Yin, M.; Zhao, J.; Kuang, Y.; et al. Novel mutations in PLCZ1 cause male infertility due to fertilization failure or poor fertilization. Hum. Reprod. 2020, 35, 472–481. [Google Scholar] [CrossRef] [PubMed]
- Saleh, A.; Kashir, J.; Thanassoulas, A.; Safieh-Garabedian, B.; Lai, F.A.; Nomikos, M. Essential Role of Sperm-Specific PLC-Zeta in Egg Activation and Male Factor Infertility: An Update. Front. Cell Dev. Biol. 2020, 8, 28. [Google Scholar] [CrossRef] [PubMed]
- Abdulsamad, H.M.R.; Murtaza, Z.F.; AlMuhairi, H.M.; Bafleh, W.S.; AlMansoori, S.A.; AlQubaisi, S.A.; Hamdan, H.; Kashir, J. The Therapeutic and Diagnostic Potential of Phospholipase C Zeta, Oocyte Activation, and Calcium in Treating Human Infertility. Pharmaceuticals 2023, 16, 441. [Google Scholar] [CrossRef] [PubMed]
- Shan, Y.; Zhao, H.; Zhao, D.; Wang, J.; Cui, Y.; Bao, H. Assisted Oocyte Activation With Calcium Ionophore Improves Pregnancy Outcomes and Offspring Safety in Infertile Patients: A Systematic Review and Meta-Analysis. Front. Physiol. 2021, 12, 751905. [Google Scholar] [CrossRef] [PubMed]
- Esbert, M.; Carmody, A.; Ballesteros, A.; Seli, E.; Scott, R.T. Calcium Ionophore A23187 treatment to rescue unfertilized oocytes: A prospective randomized analysis of sibling oocytes. Reprod. Biomed. Online 2022, 45, 878–883. [Google Scholar] [CrossRef] [PubMed]
- Anifandis, G.; Michopoulos, A.; Daponte, A.; Chatzimeletiou, K.; Simopoulou, M.; Messini, C.I.; Polyzos, N.P.; Vassiou, K.; Dafopoulos, K.; Goulis, D.G. Artificial oocyte activation: Physiological, pathophysiological and ethical aspects. Syst. Biol. Reprod. Med. 2019, 65, 3–11. [Google Scholar] [CrossRef] [PubMed]
- Chen, C.; Sun, T.; Yin, M.; Yan, Z.; Yu, W.; Long, H.; Wang, L.; Liao, X.; Yan, Z.; Li, W.; et al. Ionomycin-induced mouse oocyte activation can disrupt preimplantation embryo development through increased reactive oxygen species reaction and DNA damage. Mol. Hum. Reprod. 2020, 26, 773–783. [Google Scholar] [CrossRef] [PubMed]
- Sanusi, R.; Yu, Y.; Nomikos, M.; Lai, F.A.; Swann, K. Rescue of failed oocyte activation after ICSI in a mouse model of male factor infertility by recombinant phospholipase Czeta. Mol. Hum. Reprod. 2015, 21, 783–791. [Google Scholar] [CrossRef] [PubMed]
- Nomikos, M.; Stamatiadis, P.; Sanders, J.R.; Beck, K.; Calver, B.L.; Buntwal, L.; Lofty, M.; Sideratou, Z.; Swann, K.; Lai, F.A. Male infertility-linked point mutation reveals a vital binding role for the C2 domain of sperm PLCzeta. Biochem. J. 2017, 474, 1003–1016. [Google Scholar] [CrossRef] [PubMed]
- Ikie-Eshalomi, C.; Aliyev, E.; Hoehn, S.; Jurkowski, T.P.; Swann, K. Sperm induce a secondary increase in ATP levels in mouse eggs that is independent of Ca2+ oscillations. Biochem. J. 2023, 480, 2023–2035. [Google Scholar] [CrossRef]
- FitzHarris, G.; Carroll, J.; Swann, K. Electrical-assisted microinjection for analysis of fertilization and cell division in mammalian oocytes and early embryos. Methods Cell Biol. 2018, 144, 431–440. [Google Scholar] [PubMed]
- Greenfield, N.J. Analysis of circular dichroism data. Methods Enzymol. 2004, 383, 282–317. [Google Scholar] [PubMed]
- Nomikos, M.; Blayney, L.M.; Larman, M.G.; Campbell, K.; Rossbach, A.; Saunders, C.M.; Swann, K.; Lai, F.A. Role of phospholipase C-zeta domains in Ca2+-dependent phosphatidylinositol 4,5-bisphosphate hydrolysis and cytoplasmic Ca2+ oscillations. J. Biol. Chem. 2005, 280, 31011–31018. [Google Scholar] [CrossRef] [PubMed]
- Nomikos, M.; Yu, Y.; Elgmati, K.; Theodoridou, M.; Campbell, K.; Vassilakopoulou, V.; Zikos, C.; Livaniou, E.; Amso, N.; Nounesis, G.; et al. Phospholipase Czeta rescues failed oocyte activation in a prototype of male factor infertility. Fertil. Steril. 2013, 99, 76–85. [Google Scholar] [CrossRef] [PubMed]
- Nomikos, M.; Elgmati, K.; Theodoridou, M.; Calver, B.L.; Cumbes, B.; Nounesis, G.; Swann, K.; Lai, F.A. Male infertility-linked point mutation disrupts the Ca2+ oscillation-inducing and PIP(2) hydrolysis activity of sperm PLCzeta. Biochem. J. 2011, 434, 211–217. [Google Scholar] [CrossRef] [PubMed]
- Nomikos, M.; Elgmati, K.; Theodoridou, M.; Georgilis, A.; Gonzalez-Garcia, J.R.; Nounesis, G.; Swann, K.; Lai, F.A. Novel regulation of PLCzeta activity via its XY-linker. Biochem. J. 2011, 438, 427–432. [Google Scholar] [CrossRef] [PubMed]
- Swann, K. SPERM FACTORS AND EGG ACTIVATION: PLCzeta as the sperm factor that activates eggs: 20 years on. Reproduction 2022, 164, E1–E4. [Google Scholar] [CrossRef] [PubMed]
- Hachem, A.; Godwin, J.; Ruas, M.; Lee, H.C.; Ferrer Buitrago, M.; Ardestani, G.; Bassett, A.; Fox, S.; Navarrete, F.; de Sutter, P.; et al. PLCζ is the physiological trigger of the Ca2+ oscillations that induce embryogenesis in mammals but conception can occur in its absence. Development 2017, 144, 2914–2924. [Google Scholar]
- Nozawa, K.; Satouh, Y.; Fujimoto, T.; Oji, A.; Ikawa, M. Sperm-borne phospholipase C zeta-1 ensures monospermic fertilization in mice. Sci. Rep. 2018, 8, 1315. [Google Scholar] [CrossRef] [PubMed]
- Swann, K. Sperm-Induced Ca2+ Release in Mammalian Eggs: The Roles of PLCzeta, InsP(3), and ATP. Cells 2023, 12, 2809. [Google Scholar] [CrossRef] [PubMed]
- Nomikos, M.; Mulgrew-Nesbitt, A.; Pallavi, P.; Mihalyne, G.; Zaitseva, I.; Swann, K.; Lai, F.A.; Murray, D.; McLaughlin, S. Binding of phosphoinositide-specific phospholipase C-zeta (PLC-zeta) to phospholipid membranes: Potential role of an unstructured cluster of basic residues. J. Biol. Chem. 2007, 282, 16644–16653. [Google Scholar] [CrossRef] [PubMed]
- Yu, Y.; Nomikos, M.; Theodoridou, M.; Nounesis, G.; Lai, F.A.; Swann, K. PLCzeta causes Ca2+ oscillations in mouse eggs by targeting intracellular and not plasma membrane PI(4,5)P2. Mol. Biol. Cell 2012, 23, 371–380. [Google Scholar] [CrossRef] [PubMed]
- Phillips, S.V.; Yu, Y.; Rossbach, A.; Nomikos, M.; Vassilakopoulou, V.; Livaniou, E.; Cumbes, B.; Lai, F.A.; George, C.H.; Swann, K. Divergent effect of mammalian PLCzeta in generating Ca2+ oscillations in somatic cells compared with eggs. Biochem. J. 2011, 438, 545–553. [Google Scholar] [CrossRef]
- Storey, A.; Elgmati, K.; Wang, Y.; Knaggs, P.; Swann, K. The role of ATP in the differential ability of Sr2+ to trigger Ca2+ oscillations in mouse and human eggs. Mol. Hum. Reprod. 2021, 27, gaaa086. [Google Scholar] [CrossRef] [PubMed]
- Lu, Y.; Reddy, R.; Ferrer Buitrago, M.; Vander Jeught, M.; Neupane, J.; De Vos, W.H.; Van den Abbeel, E.; Lierman, S.; De Sutter, P.; Heindryckx, B. Strontium fails to induce Ca2+ release and activation in human oocytes despite the presence of functional TRPV3 channels. Hum. Reprod. Open 2018, 2018, hoy005. [Google Scholar] [CrossRef] [PubMed]
- Rogers, N.T.; Hobson, E.; Pickering, S.; Lai, F.A.; Braude, P.; Swann, K. Phospholipase Czeta causes Ca2+ oscillations and parthenogenetic activation of human oocytes. Reproduction 2004, 128, 697–702. [Google Scholar] [CrossRef] [PubMed]
- Jeong, T.H.; Son, Y.J.; Ryu, H.B.; Koo, B.K.; Jeong, S.M.; Hoang, P.; Do, B.H.; Song, J.A.; Chong, S.H.; Robinson, R.C.; et al. Soluble expression and partial purification of recombinant human erythropoietin from E. coli. Protein Expr. Purif. 2014, 95, 211–218. [Google Scholar] [CrossRef] [PubMed]
- Loughran, S.T.; Walls, D. Tagging Recombinant Proteins to Enhance Solubility and Aid Purification. Methods Mol. Biol. 2017, 1485, 131–156. [Google Scholar] [PubMed]
- Salari, Z.; Tavakkoli, H.; Khosravi, A.; Karamad, E.; Salarkia, E.; Ansari, M.; Dabiri, S.; Mortazaeizdeh, A.; Mosallanejad, S.S.; Sharifi, F. Embryo-toxicity of docosahexaenoic and eicosapentaenoic acids: In vivo and in silico investigations using the chick embryo model. Biomed. Pharmacother. 2021, 136, 111218. [Google Scholar] [CrossRef] [PubMed]








| Recombinant Human MBP-PLCζ Protein | Km (μM) | Ca2+ Dependence EC50 (nM) |
|---|---|---|
| Day 1 | 81 | 57 |
| Day 90 | 84 | 55 |
| Embryo | Number of Cases | Number of Embryos Died at ED7 (%) |
|---|---|---|
| Control | 55 | 9 (16.4%) |
| Sham control | 55 | 10 (18.2%) |
| Treatment | 55 | 10 (18.2%) |
Disclaimer/Publisher’s Note: The statements, opinions and data contained in all publications are solely those of the individual author(s) and contributor(s) and not of MDPI and/or the editor(s). MDPI and/or the editor(s) disclaim responsibility for any injury to people or property resulting from any ideas, methods, instructions or products referred to in the content. |
© 2024 by the authors. Licensee MDPI, Basel, Switzerland. This article is an open access article distributed under the terms and conditions of the Creative Commons Attribution (CC BY) license (https://creativecommons.org/licenses/by/4.0/).
Share and Cite
Saleh, A.; Thanassoulas, A.; Aliyev, E.; Swann, K.; Naija, A.; Yalcin, H.C.; Lai, F.A.; Nomikos, M. Development of Recombinant PLC-Zeta Protein as a Therapeutic Intervention for the Clinical Treatment of Oocyte Activation Failure. Biomedicines 2024, 12, 1183. https://doi.org/10.3390/biomedicines12061183
Saleh A, Thanassoulas A, Aliyev E, Swann K, Naija A, Yalcin HC, Lai FA, Nomikos M. Development of Recombinant PLC-Zeta Protein as a Therapeutic Intervention for the Clinical Treatment of Oocyte Activation Failure. Biomedicines. 2024; 12(6):1183. https://doi.org/10.3390/biomedicines12061183
Chicago/Turabian StyleSaleh, Alaaeldin, Angelos Thanassoulas, Elnur Aliyev, Karl Swann, Azza Naija, Huseyin C. Yalcin, F. Anthony Lai, and Michail Nomikos. 2024. "Development of Recombinant PLC-Zeta Protein as a Therapeutic Intervention for the Clinical Treatment of Oocyte Activation Failure" Biomedicines 12, no. 6: 1183. https://doi.org/10.3390/biomedicines12061183
APA StyleSaleh, A., Thanassoulas, A., Aliyev, E., Swann, K., Naija, A., Yalcin, H. C., Lai, F. A., & Nomikos, M. (2024). Development of Recombinant PLC-Zeta Protein as a Therapeutic Intervention for the Clinical Treatment of Oocyte Activation Failure. Biomedicines, 12(6), 1183. https://doi.org/10.3390/biomedicines12061183

