Limited Clinical Impact of Genetic Associations between Celiac Disease and Type 2 Inflammatory Diseases: Insights from Mendelian Randomization
Abstract
1. Introduction
2. Methods
2.1. Data Sources
2.2. Instrumental Variable Selection
2.3. Research Design Assumptions
- The IVs are significantly associated with the exposure (celiac disease).
- The IVs are not associated with any confounders of the exposure–outcome relationship.
- The IVs affect the outcomes exclusively through their impact on the exposure.
2.4. Statistical Analysis
3. Results
3.1. Genetic Instrumentation and Sample Characteristics
3.2. Association Analyses
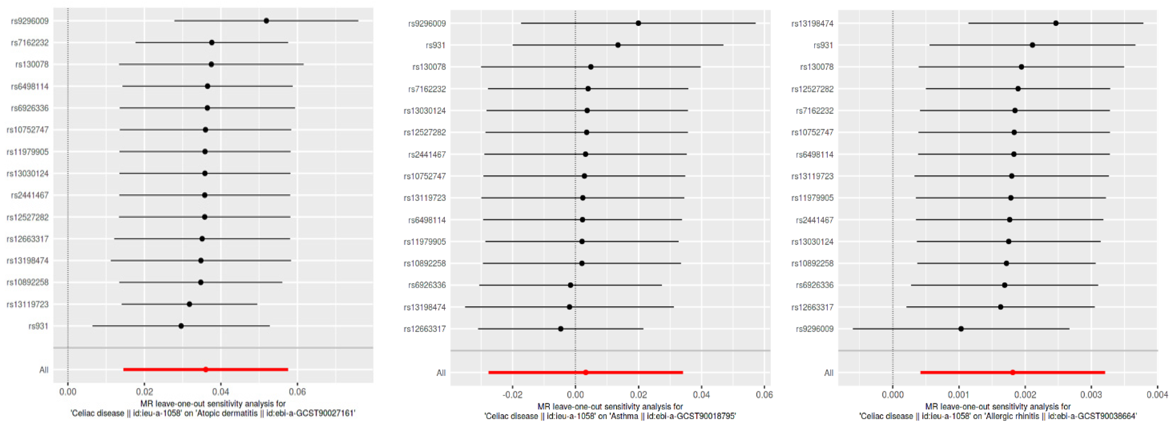
3.2.1. Celiac Disease and Atopic Dermatitis
3.2.2. Celiac Disease and Asthma
3.2.3. Celiac Disease and Allergic Rhinitis
3.2.4. CD and IgE-Mediated Food Allergy
3.3. Causal Directionality Testing
4. Discussion
5. Conclusions
Author Contributions
Funding
Institutional Review Board Statement
Informed Consent Statement
Data Availability Statement
Conflicts of Interest
References
- Rubio-Tapia, A.; Hill, I.D.; Kelly, C.P.; Calderwood, A.H.; Murray, J.A. ACG Clinical Guidelines: Diagnosis and Management of Celiac Disease. Am. J. Gastroenterol. 2013, 108, 656–676. [Google Scholar] [CrossRef] [PubMed]
- Caio, G.; Volta, U.; Sapone, A.; Leffler, D.A.; De Giorgio, R.; Catassi, C.; Fasano, A. Celiac disease: A comprehensive current review. BMC Med. 2019, 17, 142. [Google Scholar] [CrossRef] [PubMed]
- Laurikka, P.; Nurminen, S.; Kivelä, L.; Kurppa, K. Extraintestinal Manifestations of Celiac Disease: Early Detection for Better Long-Term Outcomes. Nutrients 2018, 10, 1015. [Google Scholar] [CrossRef] [PubMed]
- Itamura, M.; Sawada, Y. Involvement of Atopic Dermatitis in the Development of Systemic Inflammatory Diseases. Int. J. Mol. Sci. 2022, 23, 13445. [Google Scholar] [CrossRef] [PubMed]
- Caminati, M.; Pham DLe Bagnasco, D.; Canonica, G.W. Type 2 immunity in asthma. World Allergy Organ. J. 2018, 11, 13. [Google Scholar] [CrossRef] [PubMed]
- Megiorni, F.; Pizzuti, A. HLA-DQA1 and HLA-DQB1 in Celiac disease predisposition: Practical implications of the HLA molecular typing. J. Biomed. Sci. 2012, 19, 88. [Google Scholar] [CrossRef]
- Nilsen, E.M.; Lundin, K.E.; Krajci, P.; Scott, H.; Sollid, L.M.; Brandtzaeg, P. Gluten specific, HLA-DQ restricted T cells from coeliac mucosa produce cytokines with Th1 or Th0 profile dominated by interferon gamma. Gut 1995, 37, 766–776. [Google Scholar] [CrossRef]
- Cinicola, B.L.; Pulvirenti, F.; Capponi, M.; Bonetti, M.; Brindisi, G.; Gori, A.; De Castro, G.; Anania, C.; Duse, M.; Zicari, A.M. Selective IgA Deficiency and Allergy: A Fresh Look to an Old Story. Medicina 2022, 58, 129. [Google Scholar] [CrossRef] [PubMed]
- Abdukhakimova, D.; Ibrayeva, M.; Dossybayeva, K.; Turganbekova, A.; Zhanzakova, Z.; Abdrakhmanova, S.; McLoone, P.; Poddighe, D. Total serum IgA levels and HLA-DQB1*02:01 allelic status. Immunol. Res. 2024, 72, 167–173. [Google Scholar] [CrossRef]
- Poddighe, D.; Capittini, C. The Role of HLA in the Association between IgA Deficiency and Celiac Disease. Dis. Markers 2021, 2021, 8632861. [Google Scholar] [CrossRef]
- Pallav, K.; Xu, H.; Leffler, D.A.; Kabbani, T.; Kelly, C.P. Immunoglobulin A deficiency in celiac disease in the United States. J. Gastroenterol. Hepatol. 2016, 31, 133–137. [Google Scholar] [CrossRef] [PubMed]
- Lahat, N.; Shapiro, S.; Karban, A.; Gerstein, R.; Kinarty, A.; Lerner, A. Cytokine Profile in Coeliac Disease. Scand. J. Immunol. 1999, 49, 441–447. [Google Scholar] [CrossRef] [PubMed]
- Kero, J.; Gissler, M.; Hemminki, E.; Isolauri, E. Could TH1 and TH2 diseases coexist? Evaluation of asthma incidence in children with coeliac disease, type 1 diabetes, or rheumatoid arthritis: A register study. J. Allergy Clin. Immunol. 2001, 108, 781–783. [Google Scholar] [CrossRef] [PubMed]
- Zauli, D.; Grassi, A.; Granito, A.; Foderaro, S.; De Franceschi, L.; Ballardini, G.; Bianchi, F.; Volta, U. Prevalence of silent coeliac disease in atopics. Dig. Liver Dis. 2000, 32, 775–779. [Google Scholar] [CrossRef] [PubMed]
- Imperatore, N.; Rispo, A.; Capone, P.; Donetto, S.; De Palma, G.D.; Gerbino, N.; Rea, M.; Caporaso, N.; Tortora, R. Gluten-free diet does not influence the occurrence and the Th1/Th17-Th2 nature of immune-mediated diseases in patients with coeliac disease. Dig. Liver Dis. 2016, 48, 740–744. [Google Scholar] [CrossRef] [PubMed][Green Version]
- Ellul, P.; Vassallo, M.; Montefort, S. Association of asthma and allergic rhinitis with celiac disease. Indian. J. Gastroenterol. 2005, 24, 270–271. [Google Scholar] [PubMed]
- Theodoropoulos, D.S.; Kelly, L.E.; Stockdale, C.K. Celiac disease in the context of airborne allergen-associated chronic vulvo-vaginitis. Eur. Rev. Med. Pharmacol. Sci. 2019, 23, 8084–8086. [Google Scholar] [PubMed]
- Minelli, C.; Del Greco, M.F.; van der Plaat, D.A.; Bowden, J.; Sheehan, N.A.; Thompson, J. The use of two-sample methods for Mendelian randomization analyses on single large datasets. Int. J. Epidemiol. 2021, 50, 1651–1659. [Google Scholar] [CrossRef] [PubMed]
- de Leeuw, C.; Savage, J.; Bucur, I.G.; Heskes, T.; Posthuma, D. Understanding the assumptions underlying Mendelian randomization. Eur. J. Hum. Genet. 2022, 30, 653–660. [Google Scholar] [CrossRef]
- Brion, M.J.A.; Shakhbazov, K.; Visscher, P.M. Calculating statistical power in Mendelian randomization studies. Int. J. Epidemiol. 2013, 42, 1497–1501. [Google Scholar] [CrossRef]
- Hemani, G.; Zheng, J.; Elsworth, B.; Wade, K.H.; Haberland, V.; Baird, D.; Laurin, C.; Burgess, S.; Bowden, J.; Langdon, R.; et al. The MR-Base platform supports systematic causal inference across the human phenome. eLife 2018, 7, e34408. [Google Scholar] [CrossRef] [PubMed]
- Kruschke, J.K. Rejecting or Accepting Parameter Values in Bayesian Estimation. Adv. Methods Pract. Psychol. Sci. 2018, 1, 270–280. [Google Scholar] [CrossRef]
- Sliz, E.; Huilaja, L.; Pasanen, A.; Laisk, T.; Reimann, E.; Mägi, R.; Hannula-Jouppi, K.; Peltonen, S.; Salmi, T.; Koulu, L.; et al. Uniting biobank resources reveals novel genetic pathways modulating susceptibility for atopic dermatitis. J. Allergy Clin. Immunol. 2022, 149, 1105–1112.e9. [Google Scholar] [CrossRef] [PubMed]
- Sakaue, S.; Kanai, M.; Tanigawa, Y.; Karjalainen, J.; Kurki, M.; Koshiba, S.; Narita, A.; Konuma, T.; Yamamoto, K.; Akiyama, M.; et al. A cross-population atlas of genetic associations for 220 human phenotypes. Nat. Genet. 2021, 53, 1415–1424. [Google Scholar] [CrossRef] [PubMed]
- Dönertaş, H.M.; Fabian, D.K.; Fuentealba, M.; Partridge, L.; Thornton, J.M. Common genetic associations between age-related diseases. Nat. Aging 2021, 1, 400–412. [Google Scholar] [CrossRef] [PubMed]
- Saeki, H.; Kuwata, S.; Nakagawa, H.; Etoh, T.; Yanagisawa, M.; Miyamoto, M.; Tokunaga, K.; Juji, T.; Shibata, Y. HLA and atopic dermatitis with high serum IgE Levels. J. Allergy Clin. Immunol. 1994, 94, 575–583. [Google Scholar] [CrossRef] [PubMed]
- Margolis, D.J.; Mitra, N.; Duke, J.L.; Berna, R.; Margolis, J.D.; Hoffstad, O.; Kim, B.; Yan, A.; Zaenglein, A.; Fuxench, Z.C.; et al. Human leukocyte antigen class-I variation is associated with atopic dermatitis: A case-control study. Hum. Immunol. 2021, 82, 593–599. [Google Scholar] [CrossRef] [PubMed]
- Trynka, G.; Zhernakova, A.; Romanos, J.; Franke, L.; Hunt, K.A.; Turner, G.; Bruinenberg, M.; Heap, G.A.; Platteel, M.; Ryan, A.W.; et al. Coeliac disease-associated risk variants in TNFAIP3 and REL implicate altered NF- B signalling. Gut 2009, 58, 1078–1083. [Google Scholar] [CrossRef] [PubMed]
- Tokunaga, K. Lessons from Genome-Wide Search for Disease-Related Genes with Special Reference to HLA-Disease Associations. Genes 2014, 5, 84–96. [Google Scholar] [CrossRef]
- Cárdaba, B.; Cortegano, I.; Florido, F.; Arrieta, I.; Aceituno, E.; del Pozo, V.; Gallardo, S.; Rojo, M.; Palomino, P.; Lahoz, C. Genetic restrictions in olive pollen allergy. J. Allergy Clin. Immunol. 2000, 105, 292–298. [Google Scholar] [CrossRef]
- Sanderson, E.; Glymour, M.M.; Holmes, M.V.; Kang, H.; Morrison, J.; Munafò, M.R.; Palmer, T.; Schooling, C.M.; Wallace, C.; Zhao, Q.; et al. Mendelian randomization. Nat. Rev. Methods Primers 2022, 2, 6. [Google Scholar] [CrossRef] [PubMed]
- Mahajan, A.; Go, M.J.; Zhang, W.; Below, J.E.; Gaulton, K.J.; Ferreira, T.; Horikoshi, M.; Johnson, A.D.; Ng, M.C.Y.; Prokopenko, I.; et al. Genome-wide trans-ancestry meta-analysis provides insight into the genetic architecture of type 2 diabetes susceptibility. Nat. Genet. 2014, 46, 234–244. [Google Scholar] [CrossRef] [PubMed]





Disclaimer/Publisher’s Note: The statements, opinions and data contained in all publications are solely those of the individual author(s) and contributor(s) and not of MDPI and/or the editor(s). MDPI and/or the editor(s) disclaim responsibility for any injury to people or property resulting from any ideas, methods, instructions or products referred to in the content. |
© 2024 by the authors. Licensee MDPI, Basel, Switzerland. This article is an open access article distributed under the terms and conditions of the Creative Commons Attribution (CC BY) license (https://creativecommons.org/licenses/by/4.0/).
Share and Cite
Omar, M.; Omar, M.; Nassar, S.; Lahat, A.; Sharif, K. Limited Clinical Impact of Genetic Associations between Celiac Disease and Type 2 Inflammatory Diseases: Insights from Mendelian Randomization. Biomedicines 2024, 12, 1429. https://doi.org/10.3390/biomedicines12071429
Omar M, Omar M, Nassar S, Lahat A, Sharif K. Limited Clinical Impact of Genetic Associations between Celiac Disease and Type 2 Inflammatory Diseases: Insights from Mendelian Randomization. Biomedicines. 2024; 12(7):1429. https://doi.org/10.3390/biomedicines12071429
Chicago/Turabian StyleOmar, Mahmud, Mohammad Omar, Salih Nassar, Adi Lahat, and Kassem Sharif. 2024. "Limited Clinical Impact of Genetic Associations between Celiac Disease and Type 2 Inflammatory Diseases: Insights from Mendelian Randomization" Biomedicines 12, no. 7: 1429. https://doi.org/10.3390/biomedicines12071429
APA StyleOmar, M., Omar, M., Nassar, S., Lahat, A., & Sharif, K. (2024). Limited Clinical Impact of Genetic Associations between Celiac Disease and Type 2 Inflammatory Diseases: Insights from Mendelian Randomization. Biomedicines, 12(7), 1429. https://doi.org/10.3390/biomedicines12071429

