Abstract
The predefined-time tracking problem of spacecraft attitude systems with loss of actuator effectiveness and lumped disturbance including the external disturbance and system uncertainty is studied. In order to obtain the estimation of the actuator efficiency factor more quickly and accurately, a robust learning observer is designed. Based on the fault reconstruction information of the learning observer and the predefined-time stability lemma, a predefined-time tracking fault-tolerant control scheme is proposed for the faulty spacecraft attitude system. The stability of the learning observer and the whole control system is verified by the Lyapunov stability theory. Finally, the effectiveness and advantages of the proposed scheme are illustrated by simulation results including comparisons with existing works.
1. Introduction
The attitude control system is an important part of spacecraft control system. It affects the flight performance and attitude tracking property, and plays a crucial role in the safe flight mission of spacecraft [1]. In recent years, many scholars have deeply studied the design of controllers in the case of spacecraft external disturbances, system modeling uncertainties, and actuator faults [2].
The control methods of spacecraft mainly include adaptive control [3], sliding mode control [4], neural network control [5], model predictive control [6], fuzzy logic control [7] and dynamic inversion control [8], and so on. Sliding mode control is widely used in the field of aircraft control because of its strong robustness to external disturbances and uncertainties of the system. It should be pointed out that most of the current advanced controller designs can prove that the control system is asymptotically stable, that is, the derivative of Lyapunov function , which theoretically indicates that the system can be stable in an infinite time. In the field of aircraft control, due to the requirements of spacecraft tasks, the system needs to respond quickly; as such, some scholars have proposed the finite time control method. Reference [9] designed a finite time tracking controller based on fast terminal sliding mode control technology and neural network for a spacecraft attitude control system with sensor failure and actuator saturation. In the stability proof of reference [9], the Lyapunov function satisfies , where , the system will be stable within a finite time , i.e., , is the initial value of the system state variable. For the rendezvous task of thrust vector spacecraft, a constrained optimal orbit finite time attitude controller design scheme is proposed in [10]. In reference [11], a finite time disturbance observer is designed for spacecraft attitude control system with actuator faults and mismatched disturbances, and the estimation is applied to the design scheme of a finite time sliding mode fault-tolerant controller. References [10,11] proved that the objective of stability is that the derivative of Lyapunov function satisfies , where , , , and it can prove that the state of the system converges in a finite time , and . It can be seen from [9,10,11] that the proof of finite time convergence of the system is related to the initial value of the system. When the initial value of the system changes or uncertain, it is difficult to calculate the convergence time of the system, which limits the application of finite time control.
In order to solve the problem that the finite time stability is related to the initial value, a fixed time controller with globally fixed convergence time of the system has been proposed. Reference [12] designed a fixed time attitude controller using fixed time theory and improved inversion control strategy. A fixed time attitude tracking control scheme for rigid spacecraft is proposed in [13] based on the idea of adding an integrator and inversion control technology. The proof objective of [12,13] is to make Lyapunov function satisfy , where , . If the above inequality is satisfied, it can be shown that the system is stable in a fixed time T, and the expression of T is . It can be seen from the proof process of fixed time stability that the fixed time value of system convergence is related to the controller parameters of the system. In most cases, it is difficult to establish a direct relationship between stable fixed time and control parameters. Once the fixed time value of system stability is set, it is difficult to make the system stable through several parameter adjustments. In order to solve the above problems, Sanchez Torres et al. proposed a controller design scheme with a fixed time upper bound as an adjustable parameter, which is named as a predefined-time stable system [14]. The convergence time of the predefined-time stable system can be preset arbitrarily by designing the parameters of the controller, which is independent of the initial value of the system. At present, the control theory related to the predefined-time stability is mainly applied to fractional order systems [15], robotic control systems [16], space robots [17], surface ships [18], hypersonic vehicle attitude control systems [19], etc. To the best of our knowledge, the results about predefined-time fault-tolerant control of spacecraft attitude control systems with external disturbances, system uncertainties and actuator failures are limited, which remains challenging and motivates us to do this study.
Learning observer is an advanced fault diagnosis mechanism, which can estimate constant fault, time-varying fault, and periodic fault. Its basic principle is to use the fault information at the previous time and the state output error information of the system for iterative learning to obtain the estimated value of the fault information at the current time [20]. For the distributed system, reference [21] reconstructs the fault value of the system by using the fault information of the previous time and the residual information of the previous time. This kind of observer can be called iterative learning observer. References [22,23] use the fault information of the previous time and the estimated error value of the current time state to reconstruct the fault of the system. This kind of observer can be called recursive learning observer. At present, most learning observers are used to estimate additive faults, and there are few research results on multiplicative faults (such as actuator efficiency loss faults).
Based on the above analysis, this paper proposes a predefined-time control scheme based on robust learning observer for a spacecraft attitude control system with external disturbances, system uncertainty and actuator fault. Firstly, the mathematical model of spacecraft attitude control system is given and a learning observer is designed to estimate the efficiency loss fault of the actuator. By using the estimated value of the learning observer, a fault-tolerant controller with predefined-time is designed. Lyapunov function is used to prove that the attitude angle of the system can track the desired command signal within the predefined time. Finally, the numerical simulation proves the effectiveness and feasibility of the proposed control scheme. The contributions of this paper are summarized as follows:
- A robust learning observer is proposed to reconstruct efficiency loss faults. Compared with the traditional iterative learning observer [20] and recursive learning observer [21,22], the learning estimation law proposed in this paper is composed of the fault estimation value and state estimation error of the previous time and the state estimation error of the current time, which can quickly and accurately reconstruct the effectiveness value of the actuators.
- Using the reconstructed information of actuator efficiency factor, a fault-tolerant attitude controller is designed based on the lemma of predefined-time stability and sliding mode control theory, so that the attitude angle of the system can track the desired command signal within predefined time.
- Compared with the finite-time and fixed-time attitude control systems, the convergence time of the predefined-time stable system can be preset arbitrarily by tuning a simple parameter, which is independent of the initial value of the system.
The paper is organized as follows. The spacecraft attitude model and control objective is formulated in Section 2. The design of learning observer is proposed in Section 3 while the predefined fault-tolerant controller is given in Section 4. The simulation results are shown in Section 5. Conclusions are made in the last section.
2. The Model of Spacecraft and Problem Formulation
In this section, the spacecraft kinematics described using modified Rodrigues parameters and dynamics of attitude loop can be described as
where denotes the spacecraft attitude angle vector, denotes the attitude rate vector and is measurable; denotes the inertia matrix, denotes the inertia uncertainty; denotes the control torque vector; denotes the external disturbance vector; , and and denote cross product matrices which defined as follows
The three-axis attitude control torque of spacecraft is realized by the actuator of the system. This paper considers the situation where the actuators experience a partial loss of actuator effectiveness. Then, the spacecraft attitude dynamics in Equation (1) can be modified as
where denotes the control distributed matrix, denotes the desired control torque allocating to the individual actuator, m indicates the number of actuators. denotes the health condition of the actuators, which can be called the actuator effectiveness matrix, and . When implies that the ith actuator is operating healthy without any fault. When implies completely failure of ith actuator. is can be regarded as the lumped disturbance vector.
Control objective. For the spacecraft attitude control system with external disturbance, system uncertainty and actuator efficiency loss fault, the efficiency factor in the system is reconstructed by designing a learning observer, and then a predefined-time fault-tolerant tracking controller is designed based on the predefined-time stability lemma and sliding mode theory, so that the attitude of the system can accurately track the command signal within the predefined time. The structure block diagram of the observer-based predefined-time attitude control for spacecraft is designed as shown in Figure 1.
Figure 1.
The structure of the observer-based predefined-time attitude control strategy.
The following lemma and assumptions are introduced, which will be used for deriving our main results in the sequel.
Lemma 1
(Predefined-time stability [14]). For autonomous control systems , if there is exists a Lyapunov function with . Then, it can be concluded that the control system is globally predefined-time stable with respect to T in sense that for all and , provided that
where , denotes predefined time value.
Assumption 1.
The nonlinear function is uniformly bounded for with a Lipschitz constant , which could be formulated in the following
Assumption 2.
The lumped disturbance vector is bounded, but the upper bound is unknown. Namely, , where is the unknown positive scalar.
Assumption 3.
Because of physical limitations on the actuator, the control action generated is limited by the saturation value, and for simplicity, we assume that all the actuator control input torques have the same constraint value , that is, for .
3. Design of Learning Observer
Inspired by the previous learning observer design [24], we designed an improved learning observer design scheme for the efficiency factor of the actuator. The actuator loss of effectiveness fault is a diagonal matrix, and in Equation (2) can be written as
where and .
The faulty dynamics equation of rigid spacecraft (2) can be transformed into
An improved learning observer is designed as follows
where and denote the angular velocity estimation and loss effectiveness fault estimation, respectively. denotes the last time value and is usually taken as the sampling time internal of the system. Signal is also called learning observer input, which is updated or driven successively by the state estimation error at the past and current time, and previous learning observer input . l is a positive constant and and are positive-definite gain matrices chosen by designer. n is a positive sign function gain. The parameter is a positive-definite matrix.
Remark 1.
In order to ensure that our estimated fault value remains within an interval , we improve our learning update law (6) as follows
where indicates the lower limit of the efficiency loss factor, which is usually set to a very small value, such as . stand for projection operator.
To evaluate the estimation performance of the robust learning observer, two new variables have been defined as follows and . The observer error equation can be obtained by subtracting (7) from (6)
In order to express the main results, the following assumptions and lemmas are required.
Assumption 4.
Since the efficiency loss factor of the actuator satisfies the constraint , the following inequality can be held as , where is a positive constant.
Lemma 2.
If learning update law is defined in Equation (6), the following inequality holds:
where and is a number greater than 0, and its value will be given in the proof section.
Proof.
The efficiency factor estimation error of the observer is
Next, we can get
Using the well-known Young’s inequality, that is for all , we have, for arbitrary positive constants ,
Combining above inequalities into (11) leads to
where , , and . This completes the proof. □
Theorem 1 (Main Result).
Consider estimation error Equation (9) satisfying Lemma 1. An improved learning observer is designed in the form of (7) with the observer gains selected as , , and , then efficiency factor estimation error and the state estimation error will converge to a small interval containing the origin.
Proof.
Select the Lyapunov function as follows
Taking the time derivation of yield
Substituting (9) into , (16) can be further obtained as follows
Using the Young inequality principle, the following inequality holds
where is a positive constant. Substituting the inequality (18) into (17) leads to
where is a positive constant.
Substituting Lemma 2 and Assumption 4 into Equation (18), one has
Then, if the gain of the learning observer satisfies the following inequalities,
the derivation of respect to time yields to
where . It is further obtained from inequality (21) that when or . According to theorem in [25], it can be concluded that the learning observer error system is uniformly ultimately bounded.
Correspondingly, it is concluded that the estimation errors of angular velocity and fault are ultimately uniformly bounded by
By adjusting the parameters to increase the value of and or decrease the value of , the estimation error of the observer can converge to arbitrarily small residual interval. Then, the proof of Theorem 1 is completed. □
4. Design of Predefined-Time Attitude Tracking Controller
In this section, a predefined-time attitude fault-tolerant tracking controller is designed by using the lemma of predefined-time stable and the reconstructed information , which can be obtained by learning observer, where . is defined as the estimation error matrix, which satisfies . From Theorem 1, converges to an arbitrarily small value, and hence the following inequality can be achieved , where is a unknown positive constant. The mathematical model expression of spacecraft attitude control system can be rewritten as
For the faulty attitude system (23), define two new error variables , , where is the desired attitude command; therefore, the attitude tracking error dynamics can be expressed as
Define the Lyapunov function of attitude angle error . Select a sliding mode variable as follows
where , , and is the predefined time value.
According to Lemma 1, the predefined-time attitude tracking controller can be expressed as
where , is the predefined time value. is the estimation of efficiency factor, which can be obtained from learning observer (7). denotes the pseudo-inverse operation of the matrix . is the parameter gain of the system and its value is taken as . is the Lyapunov function of sliding mode variable, .
Theorem 2.
For the faulty spacecraft attitude systems (23), by designing a fault-tolerant controller based on the estimation information from the learning observer (7), the control system can be stabilized in the predefined time , and the attitude of the system can track the desired attitude angle command in the predefined time T.
Proof.
Derivation of the Lyapunov functions on sliding surfaces variable, we can obtain
Substituting control law (26) into above equation gives
According to Lemma 1, when , and sliding mode variable s will converge to 0 in the predefined time .
When , combining with (25), we have
Taking the derivative of with regard to time t, one has
According to Lemma 1, when , tracking error vector will converge to 0 within the predefined time . In conclusion, the attitude system of the spacecraft will be stable within the predefined time under the action of the controller, and the attitude angle of the system will track the reference command within the predefined time T. The proof of Theorem 2 is completed. □
5. Simulation
In order to verify the effectiveness and feasibility of the control scheme proposed in this paper, a learning observer (LO) and a predefined-time controller (PTC) are designed for a class of spacecraft operating in circular orbit. At the same time, they are compared with the existing adaptive sliding mode observer (ASMO) [26] and terminal sliding mode control (TSMC) schemes [10].
The initial value of attitude angle and angular rate of spacecraft attitude control system is set as and . The learning time interval of the learning observer is . The external disturbance is set to . The moment of inertia of the system is set to . In this section, we consider that the number of actuators is , and they are installed orthogonally, that is, D is the identity matrix. The desired attitude angle command is . The design controller parameters and the observer values are given in Table 1.
Table 1.
Parameters and initial states for simulation.
In the simulation, the following two cases are considered.
Case 1. Proposed LO vs. adaptive sliding mode observer in [26].
In this case, the main purpose is demonstrating the validity of the proposed learning observer approach. In order to facilitate the analysis, We set different efficiency factors on the three actuators: constant or time-varying faults. Denote and the fault scenario is set as
Figure 2 shows the response curve of fault reconstruction by two observers. The two observers have good estimation performance for constant faults, but the adaptive sliding mode observer can not estimate time-varying faults well. Figure 3 shows the fault estimation error curves of the two observers. When no efficiency loss fault occurs in the system, the adaptive sliding mode observer is greatly affected by the comprehensive disturbance. The estimation error of the second channel fluctuates greatly. It takes 5 s for the adaptive sliding mode observer to make the estimation error converge to a small range. When the efficiency loss fault occurs, the learning observer can accurately estimate the efficiency factor in about 3 s. It can be seen from the Figure 4 that no matter what form of efficiency loss fault occurs, the learning observer can accurately reconstruct the fault factor within 3 s after the fault occurs. Compared with the learning observer, the adaptive sliding mode observer takes a longer time (about 8 s) to track the constant fault; however, for the time-varying fault, their estimation results are poor and there is a large estimation error. Figure 4 shows the estimation error curve of system state variables . Both observers have good estimation effect on the state variables of the system, and the estimation error converges to a very small interval. In conclusion, the learning observer proposed in this paper can quickly and accurately estimate the efficiency loss failure (constant or time-varying) of the actuator.
Figure 2.
The estimation of fault.
Figure 3.
The estimation error of fault.
Figure 4.
The estimation error of angular rate.
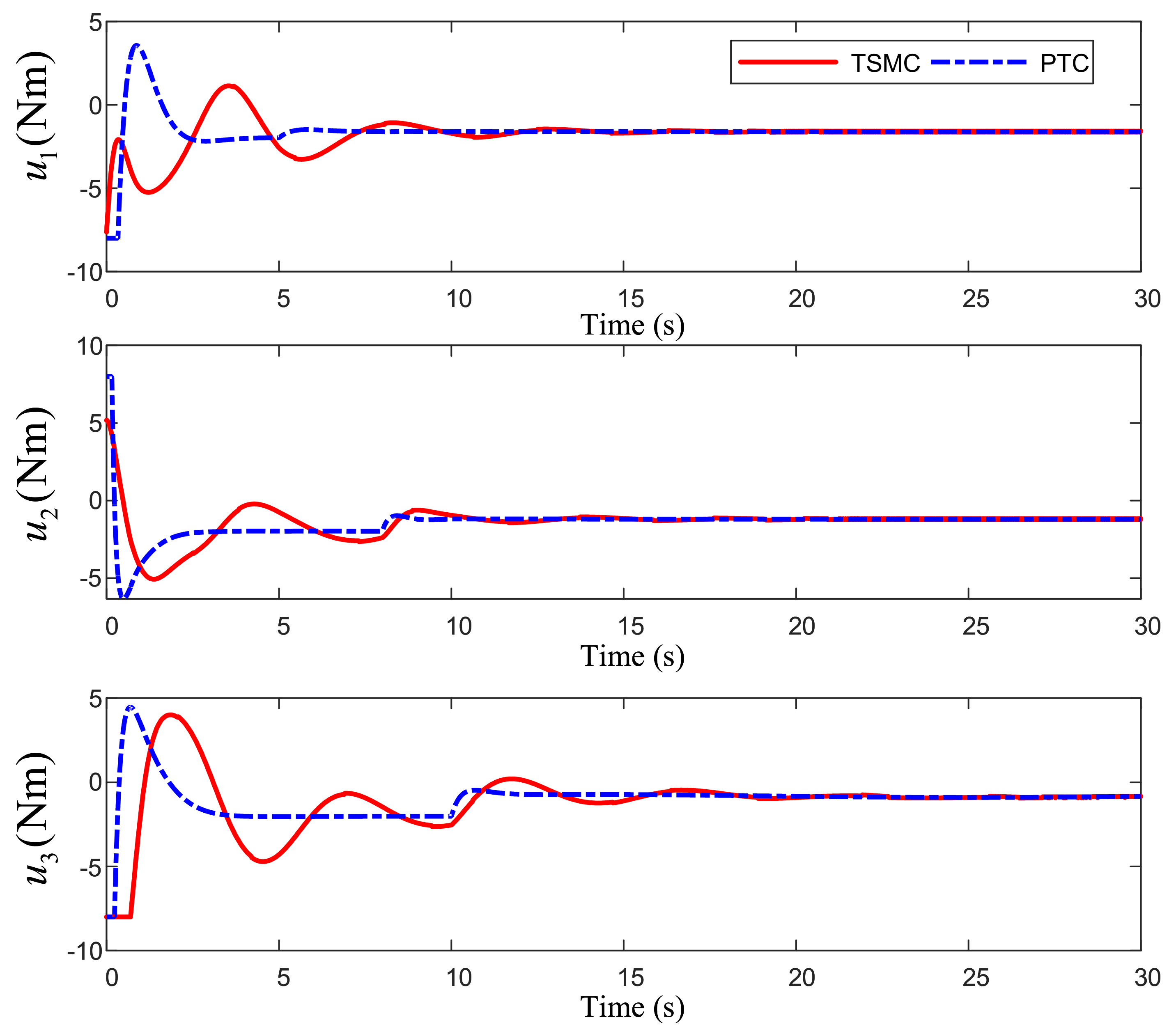
Case 2. Proposed LO-based predefined-time controller (PTC) vs. terminal sliding mode controller (TSMC) in [10].
For comparison, a terminal sliding mode fault tolerant controller is implemented in the attitude control system. Figure 5 demonstrates the attitude angle tracking performance and Figure 6 shows the response of system angular velocity. Figure 7 is the response of actuator torque under the two different control methods. It can be seen from Figure 5 that the system attitude angle changes gently under the predefined-time controller, and the attitude angle tracks the reference command within 20 s. Figure 6 and Figure 7 show that the output torque of the actuator directly affects the angular rate change of the system. When each actuator appears, the control torque change of the scheme proposed in this paper is relatively gentle, which will not cause a large range of changes in the angular rate curve. When no fault occurs (the first 5 s), the angular rate converges to the neighborhood of 0 in 3 s. At the time of failure, the attitude angular rate has only a small fluctuation, and then returns to the stable state within 2 s.
Figure 5.
The response of attitude angle tracking performance.
Figure 6.
The response of angle velocities performance.
Figure 7.
The response of actuator torque.
Overall, the results of the above two cases fully verify the stability and robustness of the learning observer-based predefined-time tracking control system under external disturbances, system uncertainties and loss of actuator effectiveness.
6. Conclusions
This paper proposes an observer-based fault-tolerant tracking control scheme for a spacecraft attitude system with loss of faults effectiveness. Firstly, a learning observer is designed to reconstruct the efficiency factor of the system actuator. It is theoretically proved that the estimation error of the observer can converge to any small interval. Based on the predefined-time control theory, a fault-tolerant tracking control scheme is designed using the fault reconstruction information of the learning observer. The numerical simulation is applied to compare with the existing observer and control method, which shows the advantages of the scheme proposed in this paper. This paper only considers the case that the actuator has efficiency loss failure, but we do not consider the case that the actuator has limited output and multiple faults. In addition, the control allocation problem of actuators will be the subject of future research.
Author Contributions
Conceptualization, T.C. and H.G.; methodology, T.C.; software, B.H.; validation, T.C., H.G. and B.H.; formal analysis, T.C. and B.H.; writing—original draft preparation, T.C.; writing—review and editing, T.C.; supervision, H.G.; project administration, H.G. and T.C.; funding acquisition, H.G. and T.C. All authors have read and agreed to the published version of the manuscript.
Funding
This work was partially supported in part by Postgraduate Research & Practice Innovation Program of Jiangsu Province (No. KYCX18_0299). The authors also gratefully acknowledge financial support from the program of China Scholarships Council (No. 201806830102).
Institutional Review Board Statement
Not applicable.
Informed Consent Statement
Not applicable.
Data Availability Statement
Not applicable.
Acknowledgments
We would like to thank the anonymous reviewers for their constructive suggestions to improve the quality of this paper.
Conflicts of Interest
The authors declare no conflict of interest.
References
- Lee, D. Fault-tolerant finite-time controller for attitude tracking of rigid spacecraft using intermediate quaternion. IEEE Trans. Aerosp. Electron. Syst. 2021, 57, 540–553. [Google Scholar] [CrossRef]
- Hasan, M.N.; Haris, H.; Qin, S.Y. Vibration suppression and fault-tolerant attitude control for flexible spacecraft with actuator faults and malalignments. Aerosp. Sci. Technol. 2022, 120, 107290. [Google Scholar] [CrossRef]
- Xie, S.; Chen, Q. Adaptive nonsingular predefined time control for attitude stabilization of rigid spacecrafts. IEEE Trans. Circuits Syst. II Express Briefs 2022, 69, 189–193. [Google Scholar] [CrossRef]
- Tang, P.; Zhang, F.; Ye, J.; Lin, D. An integral TSMC-based adaptive fault-tolerant control for quadrotor with external disturbances and parametric uncertainties. Aerosp. Sci. Technol. 2021, 109, 106415. [Google Scholar] [CrossRef]
- Chen, Q.; Xie, S.; He, S. Neural-network-based adaptive singularity-free fixed-time attitude tracking control for spacecrafts. IEEE Trans. Cybern. 2021, 51, 5032–5045. [Google Scholar] [CrossRef]
- Chai, R.; Tsourdos, A.; Gao, H.; Xia, Y.; Chai, S. Dual-loop tube-based robust model predictive attitude tracking control for spacecraft with system constraints and additive disturbances. IEEE Trans. Ind. Electron. 2022, 69, 4022–4033. [Google Scholar] [CrossRef]
- Zhang, Z.; Shi, Y.; Yan, W. A novel attitude-tracking control for spacecraft networks with input delays. IEEE Trans. Control. Syst. Technol. 2020, 29, 1035–1047. [Google Scholar] [CrossRef]
- Wang, F.; Hou, M.; Cao, X.; Duan, G. Event-triggered backstepping control for attitude stabilization of spacecraft. J. Frankl. Inst. 2019, 356, 9474–9501. [Google Scholar] [CrossRef]
- Ye, D.; Xiao, Y.; Sun, Z.; Xiao, B. Neural Network Based Finite-Time Attitude Tracking Control of Spacecraft With Angular Velocity Sensor Failures and Actuator Saturation. IEEE Trans. Ind. Electron. 2022, 69, 4129–4136. [Google Scholar] [CrossRef]
- Zhang, J.; Biggs, J.D.; Ye, D.; Sun, Z. Finite-time attitude set-point tracking for thrust-vectoring spacecraft rendezvous. Aerosp. Sci. Technol. 2020, 96, 105588. [Google Scholar] [CrossRef]
- Guo, B.; Chen, Y. Adaptive fast sliding mode fault tolerant control integrated with disturbance observer for spacecraft attitude stabilization system. ISA Trans. 2019, 94, 1–9. [Google Scholar] [CrossRef] [PubMed]
- Du, H.; Zhang, J.; Wu, D.; Zhu, W.; Li, H.; Chu, Z. Fixed-time attitude stabilization for a rigid spacecraft. ISA Trans. 2020, 98, 263–270. [Google Scholar] [CrossRef] [PubMed]
- Zou, A.; Kumar, K.D.; de Ruiter, A.H.J. Fixed-time attitude tracking control for rigid spacecraft. Automatica 2020, 113, 108792. [Google Scholar] [CrossRef]
- Sanchez-Torres, J.D.; Gomez-Gutierrez, D.; López, E.; Loukianov, A.G. A class of predefined-time stable dynamical systems. IMA J. Math. Control. Inf. 2018, 35, 1–29. [Google Scholar] [CrossRef]
- Munoz-Vazquez, A.J.; Sanchez-Torres, J.D.; Defoort, M.; Boulaaras, S. Predefined-time convergence in fractional-order systems. Chaos Solitons Fractals 2021, 143, 110571. [Google Scholar] [CrossRef]
- Munoz-Vazquez, A.J.; Sanchez-Torres, J.D.; Jimenez-Rodriguez, E.; Loukianov, A.G. Predefined-Time Robust Stabilization of Robotic Manipulators. IEEE/ASME Trans. Mechatronics 2019, 24, 1033–1040. [Google Scholar] [CrossRef]
- Jin, R.; Geng, Y.; Chen, X. Predefined-time control for free-floating space robots in task space. J. Frankl. Inst. 2021, 358, 9542–9560. [Google Scholar] [CrossRef]
- Liang, C.; Ge, M.; Liu, Z.; Ling, G.; Liu, F. Predefined-time formation tracking control of networked marine surface vehicles. Control Eng. Pract. 2021, 107, 104682. [Google Scholar] [CrossRef]
- Li, Y.; Hou, M.; Liang, S.; Jiao, G. Predefined-time adaptive fault-tolerant control of hypersonic flight vehicles without overparameterization. Aerosp. Sci. Technol. 2020, 104, 105987. [Google Scholar] [CrossRef]
- Chen, W.; Saif, M. An iterative learning observer-based approach to fault detection and accommodation in nonlinear systems. In Proceedings of the 40th IEEE Conference on Decision and Control, Orlando, FL, USA, 4–7 December 2001; pp. 4469–4474. [Google Scholar]
- Chen, W.; Saif, M. Observer-based fault diagnosis of satellite system subject to time-varying thruster faults. J. Dyn. Syst. Meas. Control 2007, 129, 352–356. [Google Scholar] [CrossRef]
- Yao, L.; Qin, J.; Wang, H.; Jiang, B. Design of new fault diagnosis and fault tolerant control scheme for non-Gaussian singular stochastic distribution systems. Automatica 2012, 48, 2305–2313. [Google Scholar] [CrossRef]
- Xiao, B.; Hu, Q.L.; Friswell, M.I. Active fault-tolerant attitude control for flexible spacecraft with loss of actuator effectiveness. Int. J. Adapt. Control Signal Process. 2013, 27, 925–943. [Google Scholar] [CrossRef]
- Cao, T.; Gong, H.J.; Cheng, P.; Xue, Y.X. A novel learning observer-based fault-tolerant attitude control for rigid spacecraft. Aerosp. Sci. Technol. 2022, 128, 107751. [Google Scholar] [CrossRef]
- Hu, Q.L.; Zhang, X.X.; Niu, G.L. Observer-based fault tolerant control and experimental verification for rigid spacecraft. Aerosp. Sci. Technol. 2019, 92, 373–386. [Google Scholar] [CrossRef]
- Zhang, X.B.; Zhou, Z.P. Integrated fault estimation and fault tolerant attitude control for rigid spacecraft with multiple actuator faults and saturation. IET Control Theory Appl. 2019, 13, 2365–2375. [Google Scholar] [CrossRef]
Publisher’s Note: MDPI stays neutral with regard to jurisdictional claims in published maps and institutional affiliations. |
© 2022 by the authors. Licensee MDPI, Basel, Switzerland. This article is an open access article distributed under the terms and conditions of the Creative Commons Attribution (CC BY) license (https://creativecommons.org/licenses/by/4.0/).






