Mathematical Simulation of Forest Fuel Pyrolysis and Crown Forest Fire Impact for Forest Fire Danger and Risk Assessment
Abstract
1. Introduction
2. Background
3. Materials and Methods
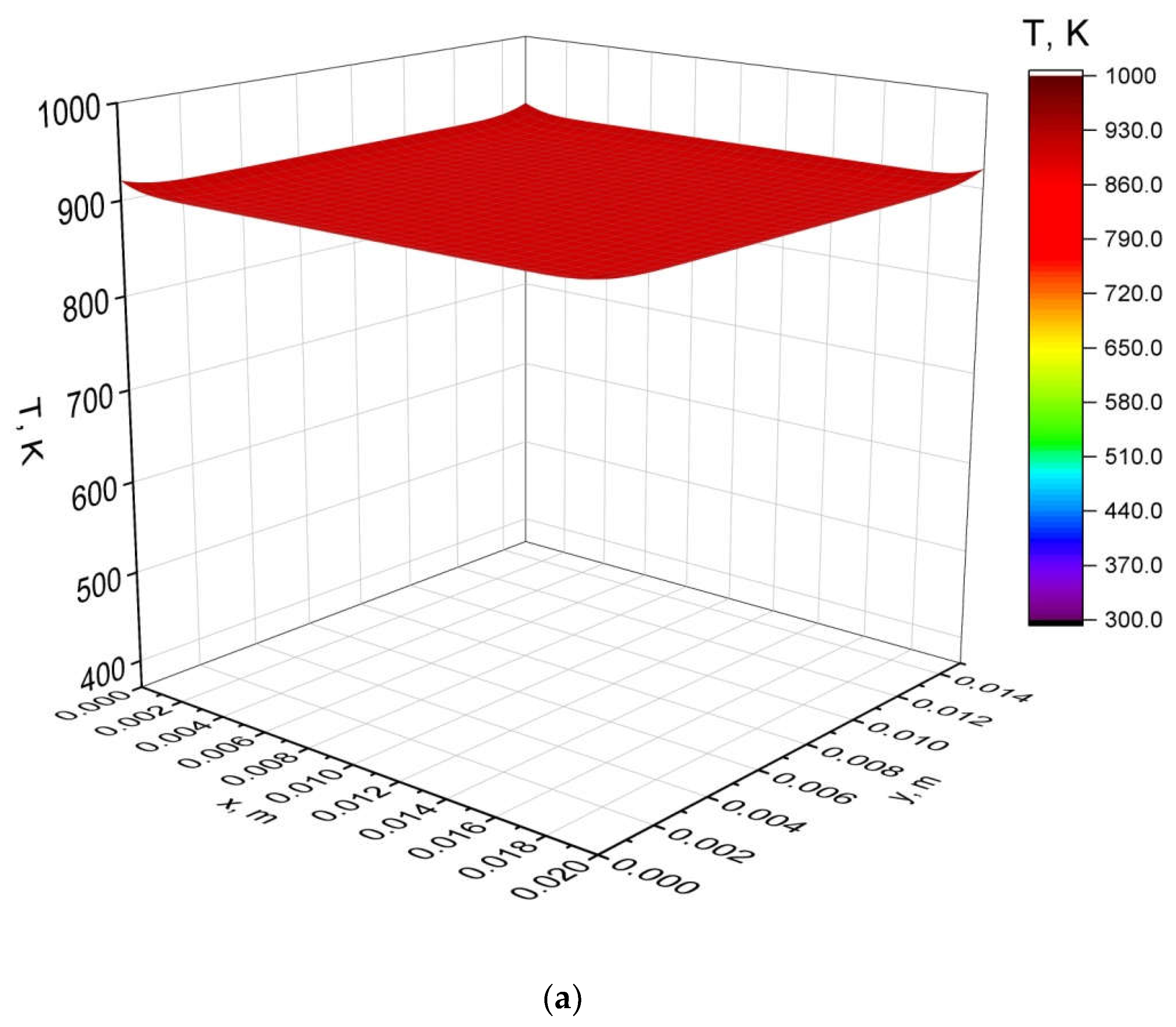
4. Results
5. Discussion
6. Conclusions
- (1)
- A mathematical model of heat and mass transfer has been developed in the framework of a three-dimensional statement taking into account pyrolysis and moisture evaporation.
- (2)
- Scenario numerical modeling was carried out and the obtained results were analyzed.
Author Contributions
Funding
Institutional Review Board Statement
Informed Consent Statement
Data Availability Statement
Conflicts of Interest
References
- Pyzhev, A.I.; Sharafutdinov, R.A.; Borisova, I.V. Ecological and Economic Modelling of the Forestry Problems of Russia. IOP Conf. Ser. Mater. Sci. Eng. 2020, 753, 082004. [Google Scholar] [CrossRef]
- Westerling, A.L. Increasing western US forest wildfire activity: Sensitivity to changes in the timing of spring. Philos. Trans. R. Soc. B Biol. Sci. 2016, 371, 20150178. [Google Scholar] [CrossRef]
- Eugenio, F.C.; dos Santos, A.R.; Pedra, B.D.; Pezzopane, J.E.M.; Mafia, R.G.; Loureiro, E.B.; Martins, L.D.; Saito, N.S. Causal, temporal and spatial statistics of wildfires in areas of planted forests in Brazil. Agric. For. Meteorol. 2018, 266-267, 157–172. [Google Scholar] [CrossRef]
- Molina-Terrén, D.M.; Xanthopoulos, G.; Diakakis, M.; Ribeiro, L.; Caballero, D.; Delogu, G.M.; Viegas, D.; Silva, C.A.; Cardil, A. Analysis of forest fire fatalities in Southern Europe: Spain, Portugal, Greece and Sardinia (Italy). Int. J. Wildland Fire 2019, 28, 85. [Google Scholar] [CrossRef]
- Read, S.; Howell, C. National ‘state of the forests’ reporting in Australia. Aust. For. 2019, 82, 53–55. [Google Scholar] [CrossRef]
- Stocks, B.; Martell, D.L. Forest fire management expenditures in Canada: 1970–2013. For. Chron. 2016, 92, 298–306. [Google Scholar] [CrossRef]
- Barhoumi, C.; Peyron, O.; Joannin, S.; Subetto, D.; Kryshen, A.; Drobyshev, I.; Girardin, M.P.; Brossier, B.; Paradis, L.; Pastor, T.; et al. Gradually increasing forest fire activity during the Holocene in the northern Ural region (Komi Republic, Russia). Holocene 2019, 29, 1906–1920. [Google Scholar] [CrossRef]
- Belhadjkhedher, C.; Koutsias, N.; Karamitsou, A.; Ei-Melki, T.; Ouelhazi, B.; Hamdi, A.; Nouri, H.; Mouillot, F. A Revised Historical Fire Regime Analysis in Tunisia (1985–2010) from a Critical Analysis of the National Fire Database and Remote Sensing. Forests 2018, 9, 59. [Google Scholar] [CrossRef]
- Valderrama, L.; Contreras-Reyes, J.E.; Carrasco, R. Ecological Impact of Forest Fires and Subsequent Restoration in Chile. Resources 2018, 7, 26. [Google Scholar] [CrossRef]
- Adams, M. Mega-fires, tipping points and ecosystem services: Managing forests and woodlands in an uncertain future. For. Ecol. Manag. 2013, 294, 250–261. [Google Scholar] [CrossRef]
- Doerr, S.H.; Santín, C. Global trends in wildfire and its impacts: Perceptions versus realities in a changing world. Philos. Trans. R. Soc. B 2016, 371, 20150345. [Google Scholar] [CrossRef] [PubMed]
- Struchtrup, H. Thermodynamics and Energy Conversion; Springer: Berlin/Heidelberg, Germany, 2014. [Google Scholar]
- Williams, F.A. “Combustion,” in Encyclopedia of Wildfires and Wildland-Urban Interface (WUI) Fires; Manzello, S.L., Ed.; Springer International Publishing: Cham, Switzerland, 2018; pp. 1–12. [Google Scholar]
- Shchetinsky, E.A. Sputnik of the Head of Extinguishing Forest Fires; VNIILM: Moscow, Russia, 2003; 96p. (In Russian) [Google Scholar]
- Strumillo, C.; Kudra, T. Drying: Principles, Applications, and Design; CRC Press: Boca Raton, FL, USA, 1986. [Google Scholar]
- Keane, R.E. Wildland Fuel Fundamentals and Applications; Springer International Publishing: Cham, Switzerland, 2015. [Google Scholar]
- Britton, C.M.; Countryman, C.M.; Wright, H.A.; Walvekar, A.G. The effect of humidity, air temperature, and wind speed on fine fuel moisture content. Fire Technol. 1973, 9, 46–55. [Google Scholar] [CrossRef]
- Majlingová, A.; Schallerová, D. Preliminary results of statistical analysis focused on the dependence between forest litter moisture and relative air humidity. J. For. Sci. 2016, 62, 493–500. [Google Scholar] [CrossRef]
- Quan, X.; He, B.; Yebra, M.; Yin, C.; Liao, Z.; Li, X. Retrieval of forest fuel moisture content using a coupled radiative transfer model. Environ. Model. Softw. 2017, 95, 290–302. [Google Scholar] [CrossRef]
- Zhu, X.; Skidmore, A.K.; Darvishzadeh, R.; Wang, T. Estimation of forest leaf water content through inversion of a radiative transfer model from LiDAR and hyperspectral data. Int. J. Appl. Earth Obs. Geoinf. 2018, 74, 120–129. [Google Scholar] [CrossRef]
- Luo, K.; Quan, X.; He, B.; Yebra, M. Effects of Live Fuel Moisture Content on Wildfire Occurrence in Fire-Prone Regions over Southwest China. Forests 2019, 10, 887. [Google Scholar] [CrossRef]
- Luo, K.; He, B.; Quan, X.; Liu, X.; Wen, C. Preliminarily Analysis of the Relation Between Satellite Derived Fuel Moisture Content and Wildfire Activity in Southwestern China. In Proceedings of the IGARSS 2019–2019 IEEE International Geoscience and Remote Sensing Symposium, Yokohama, Japan, 28 July–2 August 2019; pp. 9906–9909. [Google Scholar] [CrossRef]
- Kuznetsov, G.; Nigay, N.; Syrodoy, S.; Gutareva, N.Y.; Malyshev, D.Y. A comparative analysis of the characteristics of the water removal processes in preparation for incineration of typical wood waste and forest combustible materials. Energy 2022, 239, 122362. [Google Scholar] [CrossRef]
- Anisimov, P.; Onuchin, E.; Vishnevskaja, M. Modeling Pine and Birch Whole Tree Drying. Croat. J. For. Eng. J. Theory Appl. For. Eng. 2017, 38, 7. [Google Scholar]
- Grishin, A.M.; Golovanov, A.N.; Kataeva, L.Y.; Loboda, E.L. Formulation and Solution of the Problem of Drying of a Layer of Combustible Forest Materials. Combust. Explos. Shock Waves 2001, 37, 57–66. [Google Scholar] [CrossRef]
- Ostapenko, A.; Morkovin, V.; Manmareva, V.; Manmarev, D. Risk analysis in the management of forest fire in Russia. IOP Conf. Ser. Earth Environ. Sci. 2019, 392, 012074. [Google Scholar] [CrossRef]
- Hamadeh, A.N.; Karouni, B.; Daya, P. Chauvet Using correlative data analysis to develop weather index that estimates the risk of forest fires in lebanon: Assessment versus prevalent meteorological indices. Int. J. Phys. Sci. Res. 2017, 1, 14–38. [Google Scholar]
- Dimitrakopoulos, A.P.; Bemmerzouk, A.M. Predicting live herbaceous moisture content from a seasonal drought index. Int. J. Biometeorol. 2003, 47, 73–79. [Google Scholar] [CrossRef]
- Ganatsas, P.; Antonis, M.; Marianthi, T. Development of an adapted empirical drought index to the Mediterranean conditions for use in forestry. Agric. For. Meteorol. 2011, 151, 241–250. [Google Scholar] [CrossRef]
- de Jong, M.C.; Wooster, M.J.; Kitchen, K.; Manley, C.; Gazzard, R.; McCall, F.F. Calibration and evaluation of the Canadian Forest Fire Weather Index (FWI) System for improved wildland fire danger rating in the United Kingdom. Nat. Hazards Earth Syst. Sci. 2016, 16, 1217–1237. [Google Scholar] [CrossRef]
- Hadisuwito, A.S.; Hassan, F.H. A Comparative Study of the Forest Fire Danger Index Calculation Methods Using Backpropagation. J. Phys. Conf. Ser. 2020, 1529, 052051. [Google Scholar] [CrossRef]
- KV, S.B.; Roy, A. Forest fire danger index based on modifying Nesterov Index, fuel, and anthropogenic activities using MODIS TERRA, AQUA and TRMM satellite datasets. In Proceedings of the Land Surface and Cryosphere Remote Sensing III, New Delhi, India, 4–7 April 2016; Volume 9877, p. 98771A. [Google Scholar] [CrossRef]
- Chavardès, R.D.; Daniels, L.D.; Harvey, J.E.; Greene, G.A.; Marcoux, H.; Eskelson, B.N.I.; Gedalof, Z.; Brookes, W.; Kubian, R.; Cochrane, J.D.; et al. Regional drought synchronised historical fires in dry forests of the Montane Cordillera Ecozone, Canada. Int. J. Wildland Fire 2022, 31, 67–80. [Google Scholar] [CrossRef]
- Garcia-Perez, M.; Chaala, A.; Pakdel, H.; Kretschmer, D.; Roy, C. Characterization of bio-oils in chemical families. Biomass-Bioenergy 2007, 31, 222–242. [Google Scholar] [CrossRef]
- Collard, F.-X.; Blin, J. A review on pyrolysis of biomass constituents: Mechanisms and composition of the products obtained from the conversion of cellulose, hemicelluloses and lignin. Renew. Sustain. Energy Rev. 2014, 38, 594–608. [Google Scholar] [CrossRef]
- Van de Velden, M.; Baeyens, J.; Brems, A.; Janssens, B.; Dewil, R. Fundamentals, kinetics and endothermicity of the biomass pyrolysis reaction. Renew. Energy 2010, 35, 232–242. [Google Scholar] [CrossRef]
- Hameed, S.; Sharma, A.; Pareek, V.; Wu, H.; Yu, Y. A review on biomass pyrolysis models: Kinetic, network and mechanistic models. Biomass-Bioenergy 2019, 123, 104–122. [Google Scholar] [CrossRef]
- Sharma, A.; Pareek, V.; Zhang, D. Biomass pyrolysis—A review of modelling, process parameters and catalytic studies. Renew. Sustain. Energy Rev. 2015, 50, 1081–1096. [Google Scholar] [CrossRef]
- Wang, S.; Dai, G.; Yang, H.; Luo, Z. Lignocellulosic biomass pyrolysis mechanism: A state-of-the-art review. Prog. Energy Combust. Sci. 2017, 62, 33–86. [Google Scholar] [CrossRef]
- Diblasi, C. Modeling chemical and physical processes of wood and biomass pyrolysis. Prog. Energy Combust. Sci. 2008, 34, 47–90. [Google Scholar] [CrossRef]
- Radmanesh, R.; Courbariaux, Y.; Chaouki, J.; Guy, C. A unified lumped approach in kinetic modeling of biomass pyrolysis. Fuel 2006, 85, 1211–1220. [Google Scholar] [CrossRef]
- Amutio, M.; Lopez, G.; Alvarez, J.; Moreira, R.; Duarte, G.; Nunes, J.; Olazar, M.; Bilbao, J. Pyrolysis kinetics of forestry residues from the Portuguese Central Inland Region. Chem. Eng. Res. Des. 2013, 91, 2682–2690. [Google Scholar] [CrossRef]
- Wadhwani, R.; Sutherland, D.; Moinuddin, K. Suitable pyrolysis model for physics-based bushfire simulation. In Proceedings of the 11th Asia-Pacific Conference on Combustion, Sydney, Australia, 10–14 December 2017; The University of Sydney: Camperdown, NSW, Australia, 2017; p. 4. [Google Scholar]
- Hostikka, S.; Matala, A. Pyrolysis Model for Predicting the Heat Release Rate of Birch Wood. Combust. Sci. Technol. 2017, 189, 1373–1393. [Google Scholar] [CrossRef]
- Kansa, E.J.; Perlee, H.E.; Chaiken, R.F. Mathematical model of wood pyrolysis including internal forced convection. Combust. Flame 1977, 29, 311–324. [Google Scholar] [CrossRef]
- Kuznetsov, G.V.; Strizhak, P.A. Heat and Mass Transfer in Quenching the Reaction of Thermal Decomposition of a Forest Combustible Material with a Group of Water Drops. J. Eng. Phys. 2014, 87, 608–617. [Google Scholar] [CrossRef]
- Zhdanova, A.O.; Kuznetsov, G.V.; Strizhak, P.A. Numerical Investigation of Physicochemical Processes Occurring during Water Evaporation in the Surface Layer Pores of a Forest Combustible Material. J. Eng. Phys. 2014, 87, 773–781. [Google Scholar] [CrossRef]
- Zhdanova, A.; Kuznetsov, G.G.; Legros, J.C.; Strizhak, P.P. Thermal conditions for stopping pyrolysis of forest combustible material and applications to firefighting. Therm. Sci. 2017, 21, 2565–2577. [Google Scholar] [CrossRef]
- Abaimov, V.F. Dendrology; Akademiya: Moscow, Russia, 2009. (In Russian) [Google Scholar]
- Baranovskii, N.V.; Kirienko, V.A. Ignition of Forest Combustible Materials in a High-Temperature Medium. J. Eng. Phys. 2020, 93, 1266–1271. [Google Scholar] [CrossRef]
- Bakhvalov, N.S.; Zhidkov, N.P.; Kobelkov, G.M. Numerical Methods; Binom: Moscow, Russia, 2004; 636p. (In Russian) [Google Scholar]
- Pankratov, B.M.; Polezhaev, Y.u.V.; Rudko, A.K. Interaction of Materials with Gas Streams; Zuev, V.S., Ed.; Mechanical Engineering: Moscow, Russia, 1975; 224p. (In Russian) [Google Scholar]
- Bulba, E.; Ivanova, N. Experimental investigation of the processes of dehumidification of coniferous biomass. MATEC Web Conf. 2017, 141, 01014. [Google Scholar] [CrossRef][Green Version]
- Bulba, E.; Ivanova, N. Experimental study of liquid evaporation rate from coniferous biomass. MATEC Web Conf. 2017, 110, 1020. [Google Scholar] [CrossRef]
- Bulba, E.; Malinovsky, A. Experimental Research of Moisture Evaporation Process from Biomass in a Drying Chamber. MATEC Web Conf. 2015, 23, 01053. [Google Scholar] [CrossRef]
- Grishin, A.M. A general mathematical model of forest fires and its application to the protection and safeguarding of forests. In Conjugate Problems of Mechanics and Ecology: Selected Reports of Internet Conference; Publishing House of the Tomsk State University: Tomsk, Russia, 2000; pp. 88–137. (In Russian) [Google Scholar]
- Wang, Y.; Yang, L.; Zhao, L.; Deng, Y. Design of Simulation Training System for Remote Sensing Large Data Processing of Natural Disasters. J. Coast. Res. 2018, 83, 328–334. [Google Scholar] [CrossRef]
- Samarskii, A.A. The Theory of Difference Schemes; Marcel Dekker, Inc.: New York, NY, USA; Basel, Switzerland, 2001. [Google Scholar]
- Samarskii, A.A.; Vabishchevich, P.N. Computational Heat Transfer, Vol. 1. Mathematical Modeling; Wiley: Chichester, UK, 1995. [Google Scholar]
- Samarskii, A.A.; Vabishchevich, P.N. Computational Heat Transfer, Vol. 2. The Finite Difference Method; Wiley: Chichester, UK, 1995; 432p. [Google Scholar]
- Lei, J.; Fang, H.; Xue, B.; Li, Y. A Parallel Conformal Symplectic Euler Algorithm for GPR Numerical Simulation on Dispersive Media. IEEE Geosci. Remote Sens. Lett. 2022, 19, 1–5. [Google Scholar] [CrossRef]
- Baranovskiy, N.; Kirienko, V. Mathematical Simulation of Forest Fuel Pyrolysis in One-Dimensional Statement Taking into Account Soot Formation. Processes 2021, 9, 1616. [Google Scholar] [CrossRef]
- Origin Lab Official Web-Site. Available online: https://www.originlab.com/ (accessed on 9 September 2021).
- Valendik, E.N.; Kosov, I.V. Effect of thermal radiation of forest fire on the environment. Contemp. Probl. Ecol. 2008, 1, 399–403. [Google Scholar] [CrossRef]
- Josephson, A.J.; Castaño, D.; Koo, E.; Linn, R.R. Zonal-Based Emission Source Term Model for Predicting Particulate Emission Factors in Wildfire Simulations. Fire Technol. 2021, 57, 943–971. [Google Scholar] [CrossRef]
- Moskalev, P.V.; Shitov, V.V. Mathematical Modeling of Porous Structures; Fizmatlit: Moscow, Russia, 2007; 120p. (In Russian) [Google Scholar]
- Grishin, A.M. Mathematical Modeling of Forest Fires and New Ways to Fighting Them; Science: Novosibirsk, Russia, 1992; 401p. (In Russian) [Google Scholar]
- Adámek, Z.M.; Jankovská, V.; Hadincová, E.; Kula, J. Wild Drivers of forest fire occurrence in the cultural landscape of Central Europe. Landsc. Ecol. 2018, 33, 2031–2045. [Google Scholar] [CrossRef]
- Bowman, D.M.; Moreira-Muñoz, A.; Kolden, C.A.; Chávez, R.O.; Muñoz, A.A.; Salinas, F.; Johnston, F.H. Human–environmental drivers and impacts of the globally extreme 2017 Chilean fires. Ambio 2019, 48, 350–362. [Google Scholar] [CrossRef]
- Le, H.V.; Hoang, D.A.; Tran, C.T.; Nguyen, P.Q.; Tran, V.H.T.; Hoang, N.D.; Amiri, M.; Ngo, T.P.T.; Nhu, H.V.; Hoang, T.V.; et al. A new approach of deep neural computing for spatial prediction of wildfire danger at tropical climate areas. Ecol. Inform. 2021, 63, 101300. [Google Scholar] [CrossRef]
- BWotton, M. Interpreting and using outputs from the Canadian Forest Fire Danger Rating System in research applications. Environ. Ecol. Stat. 2009, 16, 107–131. [Google Scholar] [CrossRef]
- Kaur, H.; Sood, S.K. Fog-assisted IoT-enabled scalable network infrastructure for wildfire surveillance. J. Netw. Comput. Appl. 2019, 144, 171–183. [Google Scholar] [CrossRef]
- Pimont, F.; Fargeon, H.; Opitz, T.; Ruffault, J.; Barbero, R.; Martin-StPaul, N.; Rigolot, E.; Riviére, M.; Dupuy, J. Prediction of regional wildfire activity in the probabilistic Bayesian framework of Firelihood. Ecol. Appl. 2021, 31, e02316. [Google Scholar] [CrossRef]
- RAD Studio. 2020. Available online: https://www.embarcadero.com/ru/products/rad-studio (accessed on 3 July 2020).
- MATLAB. 2020. Available online: https://www.mathworks.com/products/matlab.html (accessed on 3 July 2020).
- Microsoft Visual Studio. 2020. Available online: https://visualstudio.microsoft.com (accessed on 3 July 2020).
- Viegas, D.X.; Bovio, G.; Ferreira, A.; Nosenzo, A.; Sol, B. Comparative study of various methods of fire danger evaluation in southern Europe. Int. J. Wildland Fire 2000, 9, 235–246. [Google Scholar] [CrossRef]
- WFAS Wildland Fire Assessment System. Official Site. Available online: http://www.wfas.net (accessed on 3 July 2020).
- APodolskaya, S.; Ershov, D.V.; Shulyak, P.P. Application of the method for assessing the probability of occurrence of forest fires in ISDM-Rosleskhoz. Mod. Probl. Remote Sens. Earth Space 2011, 8, 118–126. (In Russian) [Google Scholar]
- Lee, B.; Alexander, M.; Hawkes, B.; Lynham, T.; Stocks, B.; Englefield, P. Information systems in support of wildland fire management decision making in Canada. Comput. Electron. Agric. 2002, 37, 185–198. [Google Scholar] [CrossRef]
- Katagis, T.; Gitas, I.Z. Assessing the Accuracy of MODIS MCD64A1 C6 and FireCCI51 Burned Area Products in Mediterranean Ecosystems. Remote Sens. 2022, 14, 602. [Google Scholar] [CrossRef]
- Feng, L.; Xiao, H.; Yang, Z.; Zhang, G. A Multiscale Normalization Method of a Mixed-Effects Model for Monitoring Forest Fires Using Multi-Sensor Data. Sustainability 2022, 14, 1139. [Google Scholar] [CrossRef]
- Edan, M.H.; Maarouf, R.M.; Hasson, J. Predicting the impacts of land use/land cover change on land surface temperature using remote sensing approach in Al Kut, Iraq. Phys. Chem. Earth 2021, 123, 103012. [Google Scholar] [CrossRef]
- Chiang, C.-Y.; Barnes, C.; Angelov, P.; Jiang, R. Deep Learning-Based Automated Forest Health Diagnosis from Aerial Images. IEEE Access 2020, 8, 144064–144076. [Google Scholar] [CrossRef]
- Grishin, A.M.; Golovanov, A.N.; Kataeva LYu Loboda, E.L. Problem of drying of a layer of combustible forest materials. Inzhenerno-Fiz. Zhurnal. 2001, 74, 58–64. [Google Scholar]
- Grishin, A.M.; Baranovskii, N.V. Comparative Analysis of Simple Models of Drying of the Layer of Forest Combustibles, Including the Data of Experiments and Natural Observations. Inzhenerno-Fiz. Zhurnal 2003, 76, 166–169. [Google Scholar] [CrossRef]
- Matsenko, V.V.; Sokolov, A.Y.; Kalinin, S.I.; Andriyanova, F.I.; Andreeva, T.A.; Ananyin, S.V.; Krylov, M.N.; Kazantseva, L.V. General Plan of the Anti-Fire Arrangement of Forests. Vol. 1. Explanatory Note. 5-99.14-17-PM; State Design and Survey Institute Rosgiproles, Altai Branch: Barnaul, Russia, 1999. (In Russian) [Google Scholar]
- Grishin, A.M. Modeling and Forecasting Disasters; Publishing House of Tomsk University: Tomsk, Russia, 2002; 122p. (In Russian) [Google Scholar]
- Baranovskiy, N.V. Mathematical Modeling of the Most Probable Scenarios and Conditions for the Occurrence of Forest Fires. Ph.D. Thesis, Tomsk State University, Tomsk, Russian, 2007; 153p. [Google Scholar]
- Li, Y.; Mickley, L.J.; Liu, P.; Kaplan, J.O. Trends and spatial shifts in lightning fires and smoke concentrations in response to 21st century climate over the national forests and parks of the western United States. Atmos. Chem. Phys. 2020, 20, 8827–8838. [Google Scholar] [CrossRef]
- Baranovskiy, N.V. Predicting, Monitoring, and Assessing Forest Fire Dangers and Risks; IGI Global: Hershey, PA, USA, 2020. [Google Scholar] [CrossRef]
- Krigstin, S.; Wetzel, S. A review of mechanisms responsible for changes to stored woody biomass fuels. Fuel 2016, 175, 75–86. [Google Scholar] [CrossRef]
- Courty, L.; Chetehouna, K.; Lemée, L.; Fernandez-Pello, C.; Garo, J.-P. Biogenic volatile organic compounds emissions at high temperatures of common plants from Mediterranean regions affected by forest fires. J. Fire Sci. 2014, 32, 459–479. [Google Scholar] [CrossRef]
- Grishin, A.M.; Filkov, A.I. A deterministic-probabilistic system for predicting forest fire danger. Fire Saf. J. 2011, 46, 56–62. [Google Scholar] [CrossRef]
- Nesterov, V.G. Combustibility of the Forest and Methods of Its Determination; Goslesbumizdat: Moscow, Russia, 1949; 76p. (In Russian) [Google Scholar]
- Nieto, H.; Aguado, I.; Garcia, M.; Chuvieco, E. Lightning-caused fires in Central Spain: Development of a probability model of occurrence for two Spanish regions. Agric. For. Meteorol. 2012, 162–163, 35–43. [Google Scholar] [CrossRef]
- Titaev, P.S. Simulation model of the probability of forest fires taking into account lightning activity and anthropogenic factor. Fire Explos. Saf. 2015, 24, 44–53. (In Russian) [Google Scholar]
- Baranovskiy, N.V.; Kuznetsov, G.V.; Nemova, T.N. Mathematical computing of coniferous tree ignition by the cloud-to-ground lightning discharge using Joule-Lenz’s law. Int. J. Electr. Comput. Eng. 2017, 7, 1337–1346. [Google Scholar] [CrossRef][Green Version]
- Baranovskiy, N.V. (Ed.) Forest Fire Danger Prediction Using Deterministic-Probabilistic Approach; IGI Global: Hershey, PA, USA, 2021. [Google Scholar] [CrossRef]
- Kuleshov, A.A.; Myshetskaya, E.E.; Yakush, S.E. Simulation of forest fires based on a two-dimensional three-phase model. J. Phys. Conf. Ser. 2019, 1336, 012002. [Google Scholar] [CrossRef]
- Kuznetsov, G.; Voytkov, I.; Kralinova, S.; Atroshenko, Y. Heat transfer and phase transformations in the localization of forest fuel combustion. Interfacial Phenom. Heat Transf. 2019, 1336, 012002. [Google Scholar] [CrossRef]
- Baranovskiy, N. Forest Fire Danger Assessment Using SPMD-Model of Computation for Massive Parallel System. Int. Rev. Model. Simul. 2017, 10, 193. [Google Scholar] [CrossRef]
- Baranovskiy, N.; Zharikova, M. A Web-Oriented Geoinformation System Application for Forest Fire Danger Prediction in Typical Forests of the Ukraine. Lect. Notes Geoinf. Cartogr. 2014, 13–22. [Google Scholar] [CrossRef]
- Baranovskiy, N. Deterministic-Probabilistic Approach to Predict Lightning-Caused Forest Fires in Mounting Areas. Forecasting 2021, 3, 695–715. [Google Scholar] [CrossRef]
- Nikhil, S.; Danumah, J.H.; Saha, S.; Prasad, M.K.; Rajaneesh, A.; Mammen, P.C.; Ajin, R.S.; Kuriakose, S.L. Application of GIS and AHP Method in Forest Fire Risk Zone Mapping: A Study of the Parambikulam Tiger Reserve, Kerala, India. J. Geovisualization Spat. Anal. 2021, 5, 14. [Google Scholar] [CrossRef]
- Kovács, K.D. Evaluation of burned areas with sentinel-2 using snap: The case of kineta and mati, Greece, July 2018. Geogr. Technica. 2019, 14, 21–38. [Google Scholar] [CrossRef]
- Baranovskiy, N.V. The Development of Application to Software Origin Pro for Informational Analysis and Forecast of Forest Fire Danger Caused by Thunderstorm Activity. J. Autom. Inf. Sci. 2019, 51, 12–23. [Google Scholar] [CrossRef]
- Eslami, R.; Azarnoush, M.; Kialashki, A.; Kazemzadeh, F. Gis-based forest fire susceptibility assessment by random forest, artificial neural network and logistic regression methods. J. Trop. For. Sci. 2021, 33, 173–184. [Google Scholar] [CrossRef]
- Zheng, Z.; Gao, Y.; Yang, Q.; Zou, B.; Xu, Y.; Chen, Y.; Yang, S.; Wang, Y.; Wang, Z. Predicting forest fire risk based on mining rules with ant-miner algorithm in cloud-rich areas. Ecol. Indic. 2020, 118, 106772. [Google Scholar] [CrossRef]
- Zhou, W.; Chen, W.; Zhou, E.; Huang, Y.; Wei, R.; Zhou, Y. Prediction of Wildfire-induced Trips of Overhead Transmission Line based on data mining. In Proceedings of the 7th IEEE International Conference on High Voltage Engineering and Application, ICHVE 2020–Proceedings, Beijing, China, 6–10 September 2020; p. 9279835. [Google Scholar] [CrossRef]
- Sivrikaya, F.; Küçük, Ö. Modeling forest fire risk based on GIS-based analytical hierarchy process and statistical analysis in Mediterranean region. Ecol. Inform. 2022, 68, 101537. [Google Scholar] [CrossRef]
- Lucas-Borja, M.E.; Zema, D.A.; Fernández, C.; Soria, R.; Miralles, I.; Santana, V.M.; Pérez-Romero, J.; del Campo, A.D.; Delgado-Baquerizo, M. Limited contribution of post-fire eco-engineering techniques to support post-fire plant diversity. Sci. Total Environ. 2022, 815, 152894. [Google Scholar] [CrossRef]
- Pozo, R.A.; Galleguillos, M.; González, M.E.; Vásquez, F.; Arriagada, R. Assessing the socio-economic and land-cover drivers of wildfire activity and its spatiotemporal distribution in south-central Chile. Sci. Total Environ. 2022, 810, 152002. [Google Scholar] [CrossRef]
- Molina, J.; Ortega, M.; Silva, F.R.Y. Fire ignition patterns to manage prescribed fire behavior: Application to Mediterranean pine forests. J. Environ. Manag. 2022, 302, 114052. [Google Scholar] [CrossRef]
- Lestienne, M.; Vannière, B.; Curt, T.; Jouffroy-Bapicot, I.; Hély, C. Climate-driven Mediterranean fire hazard assessments for 2020–2100 on the light of past millennial variability. Clim. Chang. 2022, 170, 1–2. [Google Scholar] [CrossRef]
- Carbonell-Rivera, J.P.; Torralba, J.; Estornell, J.; Ruiz, L.; Crespo-Peremarch, P. Classification of Mediterranean Shrub Species from UAV Point Clouds. Remote Sens. 2022, 14, 199. [Google Scholar] [CrossRef]
- Evelpidou, N.; Tzouxanioti, M.; Gavalas, T.; Spyrou, E.; Saitis, G.; Petropoulos, A.; Karkani, A. Assessment of Fire Effects on Surface Runoff Erosion Susceptibility: The Case of the Summer 2021 Forest Fires in Greece. Land 2022, 11, 21. [Google Scholar] [CrossRef]
- Smith-Ramírez, C.; Castillo-Mandujano, J.; Becerra, P.; Sandoval, N.; Fuentes, R.; Allende, R.; Acuña, M.P. Combining remote sensing and field data to assess recovery of the Chilean Mediterranean vegetation after fire: Effect of time elapsed and burn severity. For. Ecol. Manag. 2022, 503, 119800. [Google Scholar] [CrossRef]
- Pérez-Invernón, F.J.; Huntrieser, H.; Soler, S.; Gordillo-Vázquez, F.J.; Pineda, N.; Navarro-González, J.; Reglero, V.; Montanyà, J.; van der Velde, O.; Koutsias, N. Lightning-ignited wildfires and long continuing current lightning in the Mediterranean Basin: Preferential meteorological conditions. Atmos. Chem. Phys. 2021, 21, 17529–17557. [Google Scholar] [CrossRef]
- de Dios, V.R.; Hedo, J.; Camprubí, À.C.; Thapa, P.; del Castillo, E.M.; de Aragón, J.M.; Bonet, J.A.; Balaguer-Romano, R.; Díaz-Sierra, R.; Yebra, M.; et al. Climate change induced declines in fuel moisture may turn currently fire-free Pyrenean mountain forests into fire-prone ecosystems. Sci. Total Environ. 2021, 797, 149104. [Google Scholar] [CrossRef]
- Reilly, S.; Clark, M.L.; Bentley, L.P.; Matley, C.; Piazza, E.; Menor, I.O. The Potential of Multispectral Imagery and 3D Point Clouds from Unoccupied Aerial Systems (UAS) for Monitoring Forest Structure and the Impacts of Wildfire in Mediterranean-Climate Forests. Remote Sens. 2021, 13, 3810. [Google Scholar] [CrossRef]
- Mohajane, M.; Costache, R.; Karimi, F.; Pham, Q.B.; Essahlaoui, A.; Nguyen, H.; Laneve, G.; Oudija, F. Application of remote sensing and machine learning algorithms for forest fire mapping in a Mediterranean area. Ecol. Indic. 2021, 129, 107869. [Google Scholar] [CrossRef]
- Costa-Saura, J.M.; Balaguer-Beser, Á; Ruiz, L.A.; Pardo-Pascual, J.E.; Soriano-Sancho, J.L. Empirical Models for Spatio-Temporal Live Fuel Moisture Content Estimation in Mixed Mediterranean Vegetation Areas Using Sentinel-2 Indices and Meteorological Data. Remote Sens. 2021, 13, 3726. [Google Scholar] [CrossRef]
- Thomas, G.; Rosalie, V.; Olivier, C.; Maria, D.G.A.; Antonio, L.P. Modelling forest fire and firebreak scenarios in a mediterranean mountainous catchment: Impacts on sediment loads. J. Environ. Manag. 2021, 289, 112497. [Google Scholar] [CrossRef]
- Navarro-Carrión, J.T.; León-Cadena, P.; Ramon-Morte, A. Open data repositories and Geo Small Data for mapping the wildfire risk exposure in wildland urban interface (WUI) in Spain: A case study in the Valencian Region. Remote Sens. Appl. Soc. Environ. 2021, 22, 100500. [Google Scholar] [CrossRef]












Publisher’s Note: MDPI stays neutral with regard to jurisdictional claims in published maps and institutional affiliations. |
© 2022 by the authors. Licensee MDPI, Basel, Switzerland. This article is an open access article distributed under the terms and conditions of the Creative Commons Attribution (CC BY) license (https://creativecommons.org/licenses/by/4.0/).
Share and Cite
Baranovskiy, N.V.; Kirienko, V.A. Mathematical Simulation of Forest Fuel Pyrolysis and Crown Forest Fire Impact for Forest Fire Danger and Risk Assessment. Processes 2022, 10, 483. https://doi.org/10.3390/pr10030483
Baranovskiy NV, Kirienko VA. Mathematical Simulation of Forest Fuel Pyrolysis and Crown Forest Fire Impact for Forest Fire Danger and Risk Assessment. Processes. 2022; 10(3):483. https://doi.org/10.3390/pr10030483
Chicago/Turabian StyleBaranovskiy, Nikolay Viktorovich, and Viktoriya Andreevna Kirienko. 2022. "Mathematical Simulation of Forest Fuel Pyrolysis and Crown Forest Fire Impact for Forest Fire Danger and Risk Assessment" Processes 10, no. 3: 483. https://doi.org/10.3390/pr10030483
APA StyleBaranovskiy, N. V., & Kirienko, V. A. (2022). Mathematical Simulation of Forest Fuel Pyrolysis and Crown Forest Fire Impact for Forest Fire Danger and Risk Assessment. Processes, 10(3), 483. https://doi.org/10.3390/pr10030483

