Abstract
In the context of global efforts to pursue carbon neutrality, the research on the application technology of methanol fuel in internal combustion engines has ushered in a new peak. In order to provide a theoretical basis for the development of direct injection methanol engines, the spray characteristics of methanol with high-pressure direct injection were studied. Based on the visualization experimental device of constant volume vessels, the diffused background-illumination extinction imaging (DBI) and schlieren methods were applied to examine the distinctions in the evaporating spray properties between methanol and diesel under different injection pressures and ambient temperature conditions. Furthermore, aiming to maximize the potential of methanol fuel in compression ignition engines, under the premise that the alternative fuel can obtain the same total fuel energy as diesel, two different injection strategies of methanol were proposed and evaluated through the coordination of the nozzle hole diameter, injection pressure and injection duration. It reveals that it is easier for methanol spray to evaporate because of the lower boiling point, which results in a shorter spray tip penetration and wider spray angle compared with those of diesel, especially under the middle-level ambient temperature (600 K) condition. These deviations are also observed under different injection pressure conditions. However, affected by the lower energy density, the strategies of injecting the same fuel energy of methanol with that of diesel prolong the methanol spray tip penetration, enlarge its spray area and sacrifice the methanol evaporation performance. It is necessary for the geometrical design of the combustion chamber to coordinate with the hole diameter and injection pressure selection to deal with the huge distinctions in the spray characteristics between methanol and diesel fuel.
1. Introduction
As one of the main power machineries in the entire industrial society, the internal combustion engine is widely used in traffic, transportation, construction machinery, agricultural machinery, electric power generation and other fields by virtue of its advantages of high power and efficiency. Faced with increasingly stringent emission regulations and carbon dioxide (CO2) emission limits, using alcohol fuel in compression ignition engines can significantly reduce soot, nitrogen oxides (NOx) and CO2 emissions [1,2]. As a kind of clean energy, compared with other alternative fuels, methanol (CH3OH) has a sound industrial base, and it is in the liquid phase at room temperature and pressure, which is convenient for transport and use [3]. Moreover, with its low-carbon and oxygen-containing properties, it enables the combustion to be clean and efficient. Therefore, as a renewable energy source that can be synthesized from biomass and renewable electricity, methanol fuel is expected to play a significant role in achieving the goal of “carbon neutrality” for future internal combustion engines [4,5]. Consequently, the technical route of using green methanol fuel becomes one of the best choices for the technological innovation of internal combustion engines, and the research on the clean and efficient application of methanol fuel in internal combustion engines has also attracted extensive attention [6,7,8,9].
As shown in Table 1, compared with diesel, methanol has a lower cetane number and a higher latent heat of vaporization, which makes it difficult to achieve compression ignition. In addition, methanol has a lower energy density and requires a larger flow rate of fuel supply. As a result, the research on the bottleneck technology of methanol applications in the field of compression ignition engines, which has higher thermal efficiency and a wide application, is of great significance to the fields of logistics, heavy machinery, power equipment, the ship industry and so on. It is one of the important means to control related emissions, alleviate the energy crisis and promote the further green development of internal combustion engines under the premise of cost control.
Table 1.
Comparison of physicochemical properties [10,11].
The current compression ignition methanol engine is usually modified or developed based on the original diesel engine. The combustion of methanol usually requires diesel for its ignition, and the injection method is mainly dominated by low-pressure port fuel injection [12,13,14,15]. However, methanol combustion belongs to premixed combustion in this mode. Due to the absence of throttle control and the high compression ratio, the methanol energy efficiency is limited by low-load misfire, insufficient combustion and high-load knocking [16,17]. Therefore, the high-pressure direct injection of methanol, which can realize the methanol diffusion combustion, is one of the feasible ways to further improve the methanol energy efficiency of compression ignition engines [18,19,20,21]. For the shipping industry, methanol high-pressure direct injection technology is the first choice for large marine engines [22,23].
Until now, the research on methanol spray mostly focused on the low-pressure port fuel injection [24] and the medium-pressure direct fuel injection [11,25,26,27,28]. Gong et al. [11] studied the effects of different injection pressures, ambient densities and nozzle diameters on methanol spray characteristics under non-evaporative conditions, and a comparison with diesel spray was carried out. The results showed that the methanol penetration was shorter and the cone angle was larger under the same experimental conditions. The maximum injection pressure of methanol was only 18 MPa. There are few reports on methanol spray under high-pressure injection conditions such as diesel injection. Anupam et al. [29] used a simplified single-hole nozzle and carried out a test on the liquid phase penetration and vapor phase penetration characteristics of methanol spray under evaporation conditions, but the highest injection pressure reached only 48 MPa. The study found that ambient gas density and temperature had a great influence on the spray penetration of methanol vapor and the liquid phase. Compared with the liquid phase penetration, the vapor phase penetration was more sensitive to the injection pressure variation. Based on the evaporative spray research of methanol-diesel emulsion, Anupam et al. [30] conducted high-pressure injection research on emulsions with different emulsifiers and different contents of methanol, and the maximum injection pressure was as large as 150 MPa. The results showed that the surfactant boiling point had a great influence on the liquid length of the methanol-in-diesel emulsion sprays. The liquid length of the emulsion was higher than that of diesel by using a surfactant and had a higher boiling point than that of diesel. Matamis et al. [31] carried out optical diagnostics on the characteristics of methanol spray and mixture formation using a compression ignition engine with a cylinder diameter of 130 mm. The maximum injection pressure of methanol was 160 MPa. The law of related parameters was briefly summarized under different injection timings, injection pressures and ambient density conditions. The results showed that there were obvious cyclic changes in the methanol spray parameters, the effect of injection timing on the liquid phase penetration is more obvious and the injection pressure can directly affect the initial increasing rate of the liquid phase penetration and the vapor concentration characteristics of methanol fuel. The effect of the injection pressure on the spray angle is very limited.
As a result, it is concerning that, because of the one-sided conditions, there is still no unified understanding of the influence of relevant boundary conditions, such as injection pressure and ambient temperature, on methanol spray properties, and the overall research is still in its infancy. A relatively complete theoretical system has not yet been formed in the field of methanol high-pressure injection. It can also be seen that the relevant research on high-pressure methanol spray is always focusing on the methanol spray itself, although methanol has usually emerged under diesel engine-like conditions. In fact, it is helpful to take diesel spray as a benchmark when conducting the methanol spray research of high-pressure injection, which is one of the key factors for engine modification and the development of methanol direct injection engines. In addition, in order to obtain the same power output as the diesel engine, the injection strategy of methanol fuel with low calorific value also needs to be designed carefully such that full play is given to the advantages of methanol fuel. Compared with previous studies on the characteristics of methanol spray, the purpose of this research is to guide the design of a high-pressure direct injection methanol engine such as diesel engines, and the spray characteristics of methanol and diesel with high-pressure injection are compared comprehensively under evaporative conditions.
In the current study, the diffused background-illumination extinction imaging (DBI) and schlieren methods were used to investigate the relevant characteristics of high-pressure methanol spray. The diesel spray was also correlated under different injection pressures and ambient temperature conditions. Based on the experimental device of a visual constant volume vessel, the high-pressure common rail system is used to realize the high-pressure injection of methanol. On this basis, under the premise that alternative fuel should obtain the same total fuel energy as diesel injection, taking the methanol direct injection engine as the background, two different injection strategies of methanol fuels are proposed and evaluated through the coordination of different nozzle hole diameters, injection pressures and injection signal pulses.
2. Materials and Methods
2.1. Experimental Apparatus
The high-temperature and high-pressure constant volume device plays an important role in the spray optical diagnostic test. It can accurately reproduce the ambient pressure and temperature in the cylinder during the working process of the internal combustion engine. Then, the fuel injection process is abstracted from the complex internal combustion engine, and systematic visual observation and testing research is carried out.
In the current study, the schlieren method was applied to investigate the overall properties of evaporating sprays. The liquid phase characteristics of evaporating sprays were obtained using the DBI method. The refractive index gradient of high-temperature gaseous media is proportional to the density gradient. The schlieren method is based on this principle to test and study the characteristics of the spray under evaporation conditions. It can meet the morphological qualitative analysis of methanol evaporation spray and the quantitative analysis of the penetration distance, spray angle, spray area, etc. After the diffuse background light with uniform intensity passes through the liquid spray, its intensity will be greatly reduced due to the effect of meter scattering. Compared with the high-brightness background of the image, the liquid droplets and liquid filaments will appear as shadows. Therefore, the DBI method is more conducive to the observation and analysis of liquid phase spray. The experimental arrangement of the schlieren method is shown in Figure 1, which consists of a constant volume vessel, fuel supply system, ambient gas supply system, heating system and high-speed photography system.
Figure 1.
Scheme of the schlieren experiment.
In order to achieve high-pressure injection methanol such as a diesel engine, the fuel injection system adopts the diesel high-pressure common-rail system and the solenoid injector of Liaoning Xinfeng. The basic single-hole nozzle configuration is shown in Figure 2, and the maximum injection pressure can reach 200 MPa. The entire spray initiation and development process was recorded by a high-speed video camera (FASTCAM SA-Z) with a particular lens (AF-S VR 70–300 mm f/4.5–5.6G IF-ED). The camera resolution used in the experiments is 512 × 896, and the image frame rate is 20,000 fps (shutter speed: 1/20,409 s). Precise synchronous control of the fuel injection and photography is based on the NI CompactRIO and LabVIEW control programs. The DBI experiment could be carried out only by adjusting the optical path in Figure 1.
Figure 2.
Scheme of the nozzle configuration.
2.2. Image Processing
Figure 3 is a schematic diagram of the morphology analysis of the spray images and the parameter definitions for the sprays in the experiments. In order to obtain the spray boundary and light intensity distribution information, binarization and false-color processing were conducted by using a self-written program in Matlab. As explained in Figure 3b, the vertical distance between the spray tip and the nozzle tip is defined as the spray tip penetration; the included angle of the spray boundary at 1/2 of the distance of the spray tip penetration is the spray cone angle; the area enclosed by the spray boundary is the spray area. When it comes to the spray volume, slice (vi) for integration was generated by rotating the corresponding 2-D stripe (ds) in the spray image around the axis of each stripe. In this way, the spray parameters could be calculated based on the processed images, and the ten-times average results were plotted in the following section. The relative error of each parameter was within 2%, and the error bar was omitted to improve the readability of the charts. The solenoid injector has an injection delay period in this test, which varies with the change in injection pressure. In order to facilitate the comparison, the time after the start of the injection (ASOI) is taken as the starting point of the spray development sequence.

Figure 3.
Method of image processing. (a) Morphology analysis of evaporating spray. (b) Definition of spray parameters.
2.3. Experimental Conditions
In order to investigate the evaporating spray characteristics of methanol under the background of high-pressure direct injection and compression ignition engines, four cases were designed, which are listed in Table 2. Taking diesel spray as the benchmark, Case 1 and Case 2 are used to confirm the effects of injection pressure and ambient temperature, while the injection quantity is kept constant. Moreover, since the low calorific value of methanol is about half of that of diesel, the methanol injection quantity should be much higher than that of diesel such that the total injection fuel energy is guaranteed to be consistent. However, the atomization and vaporization can possibly be threatened by the high injection quantity, even though the boiling point of methanol is much lower than that of diesel. It is worth noting that some of the ambient temperatures are lower than the autoignition temperature of diesel in Case 2. The main purpose of the low ambient temperature selection is to explore the atomization and evaporation characteristics of the pre-injection methanol before the engine compression TDC. Therefore, it can provide a theoretical reference for the premixed combustion mode of the direct-injection methanol engine.
Table 2.
Condition Settings of the Experimental Study.
Aiming to achieve the comparability of the engine power and emission performance between the methanol engine and diesel engine, it is necessary to find some effective strategies that can generate enough methanol quantity with one cycle while maintaining the fine mixture formation at the same time. In the current study, two different regulation strategies were proposed, which correspond to Case 3 and Case 4, respectively. Case 3 studies the spray characteristics of methanol under higher injection quantity conditions by increasing the nozzle hole diameter and adjusting the injection duration. Case 4 focuses on the scheme that adjusts the hole diameter and injection pressure. Diesel spray, which has the same fuel energy as that of methanol in Case 3 and Case 4, is used as a reference because most compression ignition methanol engines are modified or developed from commercial diesel engines.
3. Results and Discussion
3.1. Under Different Injection Pressure Conditions
The overall spray images of the schlieren method, which correspond to the conditions in Case 1, are shown in Figure 4, and the higher light intensity can represent the high fuel concentration region. It is apparent that the high-intensity region of the methanol spray core is shorter and smaller than that of diesel spray, even though the injection quantities of diesel and methanol are the same. The average light intensity in the downstream region of the methanol spray is also weaker. As for the total spray morphology, the methanol spray tip is narrow and pointed relatively, while the waist of the methanol spray is wider than that of the diesel spray. Besides that, the spray boundary of the methanol spray is more disorganized than that of the diesel spray, and these kinds of distinctions become more obvious under higher injection pressure conditions. The light intensity and spray morphology have a deep relationship with the spray atomization and vaporization processes, and the quantitative analysis can provide insight into the mechanism behind the phenomena.
Figure 4.
Comparison results of typical methanol and diesel evaporating sprays.
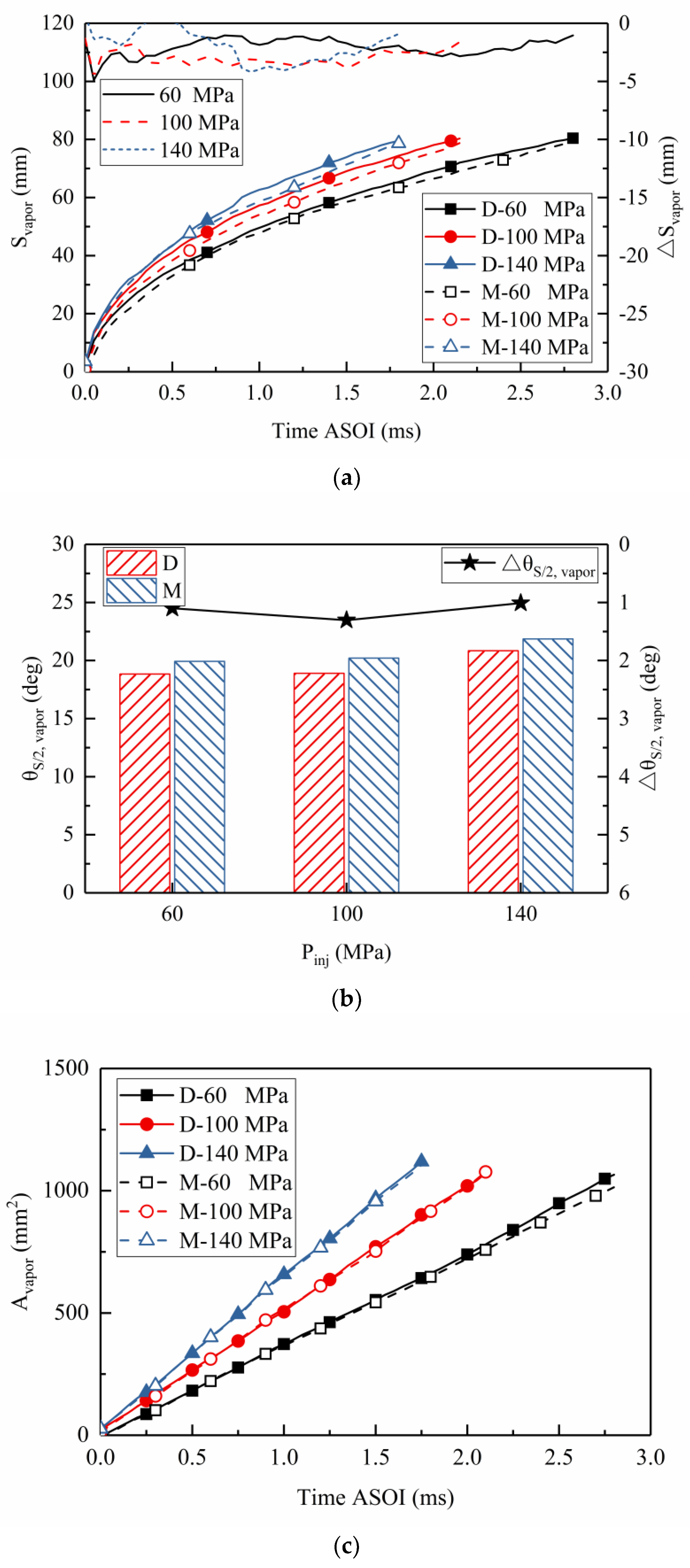
The spray time-varying geometrical parameters, including vapor phase spray tip penetration, spray angle and spray area, are plotted in Figure 5. In order to identify the gap between methanol and diesel spray under different injection pressure conditions, the subtraction of the results from methanol and diesel spray is also presented in Figure 5a,b.
Figure 5.
Quantitative results of the vapor phase spray under different injection pressure conditions. (a) Spray tip penetration results. (b) Spray angle results. (c) Spray area results.
Paying attention to the spray tip penetration results, the spray tip penetration of methanol is 2–3 mm shorter than that of diesel under each injection pressure condition. This is mainly attributed to the lower boiling point of methanol, which can promote faster evaporation than diesel spray, and the factor of the large latent heat of methanol is made up by the high ambient temperature condition of 800 K. As a result, the spray momentum of methanol is reduced by the faster evaporation, and its vapor-phase spray tip penetration is suppressed compared with that of diesel spray.
As for the effect of injection pressure, there is a trend that the gap is more obvious under the higher injection pressure condition of 100 MPa, while the 140 MPa condition has fluctuation in the subtraction results, which has the lowest and highest value among the three conditions within its whole injection duration. Moreover, at the end of the injection, the difference in the spray tip penetration between diesel and methanol becomes smaller, and the total distance is almost at the same level under different injection pressure conditions, even though they have different injection durations.
It is known that higher injection pressures can be beneficial to the better fuel atomization, which is correlated with the fast vaporization and shorter penetration. The viscosity of methanol is much lower than that of diesel, and the atomization is more sensitive to the injection pressure increasing. As a result, except for the lower boiling point, the lower viscosity also plays a significant role in the larger gap under the 100 MPa condition. However, the atomization of diesel, which has a higher viscosity, is optimized under the injection pressure condition of 140 MPa. Correspondingly, better atomization and a lower boiling point dominate the evaporation of diesel and methanol under the 140 MPa injection pressure condition, respectively. The competition of the two factors during the injection duration results in fluctuations in the gap between the spray tip penetration.
Affected by the shorter penetration, the methanol spray width is also different from that of diesel spray. Specifically, as shown in Figure 5b, the spray angle of methanol at the quasi-steady state is smaller under the three different injection pressure conditions. Attention should be paid to the subtraction results. The distinction in the spray angle under the 100 MPa condition is the largest one, while the 140 MPa injection pressure does not have much of an effect on the difference. As analyzed before, the atomization of diesel is promoted under the higher injection pressure conditions, and the consequent evaporation is enhanced, even though methanol has a lower boiling point. As a result, the diesel spray width is increased by quite a lot under the 140 MPa condition, and the deviation is not further enlarged, as expected.
Combining the shorter spray tip penetration and the wider spray angle, the total projected methanol spray area is almost the same as that of the diesel spray during the injection under different injection pressure conditions, which are shown in Figure 5c. The two kinds of fuel have the same spray area sensitivity to the injection pressure variation, and with the increase in injection pressure, the total spray area of the methanol spray at the end of the injection is increased by about 10% (from 60 MPa, 1015 mm2 to 140 MPa, 1119 mm2). However, the projected shapes of the sprays are different from each other, which is very important for the combustion system design.
When it comes to the liquid phase spray penetration at the quasi-stable state, the results are shown in Figure 6, and the spray area of the liquid phase spray is also calculated for comparison. Benefiting from the faster evaporation, both the penetration and spray area of the methanol liquid phase spray are smaller than those of diesel, which is consistent with the false color spray images in Figure 4. Moreover, with the increase in the injection pressure, the liquid phase spray penetration and area are decreased for both diesel and methanol. The largest deviation in the penetration and area appears under the 140 MPa condition, and the smallest deviation appears under the 100 MPa condition.
Figure 6.
Quantitative results of the liquid phase spray under different injection pressure conditions.
3.2. Under Different Ambient Temperature Conditions
Ambient temperature is another important condition that can alter the evaporation process, and the experimental results based on the conditions of Case 2 are discussed in this section. The ambient density and the injection duration are kept constant. The typical spray images (the schlieren method and DBI method) at 1.5 ms ASOI are shown in Figure 7 to make a comparison between the diesel and methanol sprays. For both kinds of images, the higher light intensity and the longer penetration of diesel spray are observed clearly, which is in accordance with the analysis in Figure 4.
Figure 7.
Typical vapor and liquid phase spray images of methanol and diesel spray.
The quantitative analysis of the spray is plotted in Figure 8, and the subtraction results are also presented in the upper area of each figure. With the decrease in the ambient temperature, the spray tip penetration is increased for both diesel and methanol. However, under the three ambient conditions, the spray tip penetration of methanol is shorter than that of the diesel spray. Moreover, it seems that the 800 K condition can not contribute too much to the deviation. There are stronger fluctuations in the curves of the subtraction results of the 400 K and 600 K conditions. The spray angles of diesel and methanol are enlarged with the increase in ambient temperature, while the methanol spray angle is always smaller than that of diesel. The deviation in the spray angle is suppressed by increasing the ambient temperature. Because the lower boiling point and the higher latent heat of vaporization exert an effect on the spray evaporation of methanol simultaneously, it is necessary to discuss the evaporation rate of different kinds of fuels in detail.

Figure 8.
Quantitative results of vapor phase spray under different ambient temperature conditions. (a) Spray tip penetration results. (b) Spray angle results.
In order to characterize the evaporation processes of different fuels quantitatively, the liquid phase spray area comparison is calculated based on the DBI experimental results, as shown in Figure 9a. Furthermore, a kind of volume ratio was defined in the current study to roughly identify the spray evaporation ratio. The formula is as follows:
where Vschlieren is the spray volume calculated from the images of the schlieren experiment, and VDBI means the spray volume calculated from the images of the DBI experiment. The comparison results are plotted in Figure 9b.
Figure 9.
Comparison results of the evaporating characteristics of methanol and diesel spray under different ambient temperature conditions. (a) Results of the liquid phase spray tip penetration. (b) Volume fraction of the vapor phase.
Generally, with the increase in ambient temperature, the liquid phase spray area is decreased dramatically, and the liquid phase spray area of methanol is smaller than that of diesel under three different ambient temperature conditions. It is remarkable that the area values of diesel and methanol increase linearly with the time lapsing under the 400 K condition, while they reach a constant value upon the start of the injection under the 800 K condition. What is even more interesting is that the value presents a different trend for diesel and methanol under the 600 K condition. The area of the diesel liquid phase spray increases linearly, while the methanol spray is maintained at the quasi-steady state from about 1.0 ms ASOI (53% decrease). The higher latent heat of vaporization and the lower boiling point dominate the methanol evaporation under the 400 K and 800 K conditions, respectively. As a result, they have the same trend as that of diesel. However, the combination of the two factors exerts an effect on the methanol spray evaporation under the 600 K condition. The result in Figure 9b proves the huge distinctions (43%) in the spray evaporation ratio between diesel and methanol under the 600 K condition. In other words, affected by its higher latent heat of vaporization and its lower boiling point, lower or higher levels of ambient temperature conditions can suppress the difference in the spray evaporation ratio between diesel and methanol. Nevertheless, the middle-level ambient temperature condition gives prominence to the evaporation characteristics of methanol.
3.3. Proposal and Evaluation of Different Injection Strategies
It is known that the fuel supply quantity of methanol usually needs to be much more than that of diesel such that the methanol engine can generate competitive power performance, but it is concerning that large injection quantities are not friendly to fuel evaporation and mixture formation. In the current study, two kinds of methanol injection strategies are proposed based on the variation of the nozzle hole diameter. Matching the same total fuel injection energy under different hole diameter conditions, one is to keep the same injection pressure and adjust the injection duration; the other one is to keep the same injection duration and adjust the injection pressure.
3.3.1. Coordination of the Nozzle Hole Diameter and Injection Duration
The injection pressure was kept at 100 MPa, and the injection duration was shortened with the increase in the nozzle hole diameter. For the diesel spray (5.55 mg) benchmark, the hole diameter was 0.12 mm, and the injection duration was 1.7 ms. On the other hand, the methanol fuel (11.99 mg) was injected by 0.12 mm, 0.15 mm and 0.18 mm holes, and the corresponding injection durations were 3.7 ms, 2.5 ms and 1.7 ms, respectively. Among them, the injection duration of the methanol spray with the 0.18 mm hole diameter is the same as that of the diesel spray with the 0.12 mm hole diameter. This indicates that, when the cross-sectional area of the nozzle hole is about twice that of the diesel nozzle hole, methanol injection can achieve the same fuel energy within the same injection duration under the same injection pressure conditions, which is very significant for the development of direct injection methanal engines.
The comparison results of typical evaporating spray images under different nozzle hole conditions are shown in Figure 10. Under the same injection pressure and fuel energy conditions, for both the vapor phase and the liquid phase, the methanol spray is enlarged by quite a lot with the increase in the nozzle hole diameter. The high-level region of light intensity is also enhanced compared with that of the diesel spray.
Figure 10.
Comparison results of typical evaporating spray images under different strategies.
The vapor phase spray tip penetration results are plotted in Figure 11a, and the absolute value of the subtraction result between diesel and methanol under different hole diameter conditions is also presented in the upper zone. With the increase in hole diameter, the rate of the methanol spray tip penetration increases by a lot, while the value at the end of the injection decreases from 97.2 mm to 90.2 mm because of the shortened injection duration. Moreover, even though the 0.12 mm hole diameter condition can achieve a similar increasing rate of penetration compared to that of diesel, the penetration is prolonged to 97.2 mm, which is much longer than the 71.2 mm value of the diesel spray at the end of the injection, because the injection duration is prolonged enough to achieve the same fuel energy injection. Other the other hand, it is noticeable that the spray tip penetration is longer than that of diesel during the whole injection duration under larger hole diameter conditions. Increasing the hole diameter can maintain the short injection duration, but the increasing rate of the spray tip penetration and the value are changed compared with those of diesel.

Figure 11.
Quantitative analysis of vapor phase spray under different strategies. (a) Spray tip penetration results. (b) Spray angle results. (c) Spray area results.
As for the spray angle result shown in Figure 11b, the methanol spray is wider than the diesel spray. As the hole diameter increases, the deviation is enlarged from 0.8 deg to 2.0 deg. This reveals that the larger hole diameter can promote the penetration and the wide spray of methanol simultaneously. The spray area results present a similar trend as that of the penetration results. At the end of the injection, the 0.12 mm condition generates the largest spray area, even though it propagates like diesel spray. As the hole diameter increases, the spray area increasing rate is accelerated and is much larger than that of the diesel spray, but the value at the end of the injection is suppressed compared with that of the smaller hole diameter condition because of the shortened injection duration.
When modifying diesel engines or conducting methanol engine development, the characteristics discussed above are very significant for model selection and for the design of combustion systems and fuel supply systems.
The comparison results of the spray tip penetration and spray area of the liquid phase spray under a quasi-steady state are shown in Figure 12a. The 0.12 mm condition has a shorter penetration (−5.6 mm) and a smaller spray area (−40%) compared with those of the liquid phase diesel spray, even though the injection duration is the longest one. With the increase in the nozzle hole diameter, the injection duration can approach that of the diesel injection gradually, while both the liquid phase spray tip penetration and spray area are increased by 17.9 mm and 149%, respectively, which directly affects the evaporation performance, as shown in Figure 12b. It can be seen that it takes 28% less time for the methanol spray with the 0.12 mm hole diameter to reach the vapor phase volume fraction of 95% compared with that of the 0.12 mm diesel spray. However, the larger hole diameter exerts a negative effect on the methanol fuel jet break and atomization. With the increase in hole size, the volume fraction of methanol in the vapor phase decreases significantly, indicating that the evaporation of methanol is greatly affected by the larger hole. It takes 39% more time for the methanol spray with the 0.18 mm hole to reach the vapor phase volume of 95% compared to that of the diesel. As a result, it can be concluded that the evaporation performance and spray propagation are changed by the current strategy.

Figure 12.
Comparison results of spray evaporating characteristics under different strategies. (a) Results of the liquid phase. (b) Volume fraction of the vapor phase.
3.3.2. Coordination of Nozzle Hole Diameter and Injection Pressure
In practical applications of high-pressure direct injection, since methanol is used to replace diesel to complete diffusion combustion, methanol fuel injection should be completed within the same time as diesel injection, which achieves the same fuel injection energy as well. Here, the strategy ensures that the methanol injection quantity has the same total fuel calorific value as diesel fuel, and the injection pressure varies under different nozzle hole diameter conditions, maintaining the same injection duration as that of the diesel injection. Case 4 in Table 2 describes the experimental conditions in detail. The conditions of the benchmark diesel spray are set as a 0.12 mm hole diameter, a 40 MPa injection pressure and a 1.9 ms injection duration. The methanol nozzle hole diameters are 0.12 mm, 0.15 mm and 0.18 mm. In order to obtain the same fuel energy, the corresponding injection pressures within the same injection duration are 140 MPa, 77 MPa and 47 MPa, respectively.
The typical spray images under different injection pressure conditions are shown in Figure 13. Increasing the injection pressure under the 0.12 mm hole diameter situation can prolong the methanol spray tip penetration of the vapor phase and enhance the evaporation of the methanol spray, which results in the shorter penetration of the liquid phase compared with that of the diesel spray. With the decrease in injection pressure under larger hole diameter situations, the vapor phase spray is suppressed, while the liquid phase spray of methanol is enlarged. Compared with the other two conditions, the 0.18 mm and 47 MPa condition has a similar spray morphology as that of the diesel spray.
Figure 13.
Comparison results of typical evaporating spray images under different strategies.
The time-resolved spray parameters are quantitively plotted in Figure 14. The high pressure or the large nozzle hole makes the spray tip penetration, spray angle and spray area of the vapor phase methanol spray significantly larger than those of the diesel spray at the same timing during the same injection duration. When the hole diameter is 0.12 mm, since the injection volume of methanol is more than twice that of diesel, in order to ensure the same injection duration, the injection pressure of methanol should be increased to 140 MPa, and the spray penetration is about 20 mm longer than that of the diesel spray. With the decrease in injection pressure, the methanol spray penetrates a shorter distance. When the nozzle hole diameter of methanol is 0.18 mm, the injection pressure can be comparable to that of diesel. However, since the cross-sectional area of the nozzle hole of methanol is more than twice that of diesel, the spray penetration distance is still longer than that of diesel by about 15 mm. From the perspective of the methanol spray alone, with the decrease in the injection pressure, the spray penetration should decrease, but the momentum loss is not so great due to the increase in the nozzle hole diameter. As a result, the final spray tip penetration does not drop by much.
Figure 14.
Quantitative analysis of the vapor phase spray under different strategies. (a) Spray tip penetration results. (b) Spray angle results. (c) Spray area results.
With the decrease in injection pressure, the spray angle of methanol is apparently decreased. However, affected by the increasing hole diameter, the spray angle of methanol is also larger than that of diesel under the three conditions, but the deviation drops from 3.8 deg to 2.5 deg. The integrated effect of the spray tip penetration and spray angle results leads the spray area results to present the same trend as those of the spray penetration. When the nozzle diameter of methanol is 0.18 mm, the spray area develops to be 72% larger than that of diesel.
It is well known that both a large hole and a low injection pressure are factors that deteriorate the atomization and evaporation performance. Therefore, it can be seen from Figure 15a that, with the decrease in injection pressure, the spray penetration and spray area of the methanol liquid phase increase accordingly. In Figure 15b, the methanol spray of a higher injection pressure and a smaller nozzle hole has a higher increasing rate of vapor phase volume fraction. The time it takes for methanol spray with a 0.12 mm hole diameter and a 140 MPa injection pressure to reach the vapor phase volume fraction of 95% is shortened by 57% compared with that of the diesel spray, while the time it takes for methanol spray with a 0.18 mm hole and a 47 MPa to reach the vapor phase volume fraction of 95% is increased by 10%. It can be concluded that the lower injection pressure and the larger hole diameter can also meet the requirement that the same amount of total fuel energy emerges within the same time as that of diesel, and the spray morphology is not changed so dramatically, but the atomization and evaporation should be balanced by the integrated consideration.
Figure 15.
Comparison results of the spray evaporating characteristics under different strategies. (a) Results of the liquid phase spray. (b) Volume fraction of the vapor phase.
4. Conclusions
The application of methanol fuel with low-carbon properties in the field of internal combustion engines is of great significance to the goal target of carbon neutrality. High-pressure direct injection methanol technology can achieve flexible control of the mixture formation and multiple combustion modes, thereby improving combustion efficiency and the low carbon fuel substitution fraction and reducing emissions. In the current research, the effects of injection pressure and ambient temperature on the vaporization characteristics of methanol spray were discussed based on the optical diagnostic experiment, with diesel spray as a comparison. Furthermore, based on the premise of ensuring the same fuel energy injection, two different control strategies for methanol injection are proposed and evaluated systematically. The conclusions are as follows:
- Compared with diesel fuel, methanol has a higher latent heat of vaporization but a lower boiling point and a lower viscosity. Therefore, under the same conditions, the boundary of methanol spray is more irregular, and the vapor phase spray tip penetration is shorter than that of diesel. The spray angle is larger than that of diesel, and the overall spray area is comparable to that of diesel. The liquid phase penetration and the liquid phase spray area are both lower than those of diesel fuel, and the total evaporation rate is higher than that of diesel spray.
- With the increase in injection pressure, the deviation in the spray tip penetration between diesel and methanol fluctuated significantly during the injection process. High pressure plays a stronger role in promoting the atomization of diesel with a higher viscosity. However, the lower boiling point mainly promotes the evaporation of methanol. Therefore, different factors influence the evaporating spray characteristics of the two kinds of fuels under high-pressure injection conditions.
- Diesel and methanol exhibit different sensitivities to the variation in ambient temperature. Under the condition of 600 K, the effect of a lower boiling point is the most prominent, which results in the peak value of deviation in the liquid phase penetration and the evaporation rate between diesel and methanol. Under higher temperature conditions, the evaporation of diesel is also promoted by high temperatures, and under lower temperature conditions, the higher latent heat of vaporization of methanol hinders the evaporation of methanol. Therefore, the difference between diesel and methanol is relatively small under these two conditions.
- Under the strategy of maintaining the injection pressure constant and adjusting the nozzle hole diameter and injection duration to achieve equal energy injection, the vapor phase spray tip penetration and spray area of methanol are much larger than those of diesel. This poses a huge challenge to the geometrical design of combustion systems. In addition, with the increase in the nozzle hole diameter, although the injection duration can be shortened, the liquid phase penetration and spray area are higher than those of diesel, and the evaporation deterioration of the methanol spray is obvious.
- Under the strategy of maintaining the injection duration constant and adjusting the injection pressure and nozzle hole size to achieve the same energy injection, the vapor phase penetration and spray area of the methanol spray are larger than those of the diesel spray. With the decrease in injection pressure, this gap can be narrowed gradually, while the low pressure and the large hole are not conducive to the atomization and evaporation of the methanol spray.
- From the perspective of promoting spray atomization and evaporation, the choice of strategy for methanol injection should be based on the injection system in order to minimize the hole size under the condition of ensuring the highest injection pressure. However, compared with the diesel spray, under the same fuel energy conditions, the excessively long vapor phase penetration generated under high pressure and a small hole can lead to a change in the center of gravity during combustion, which will affect the heat loss and combustion stability directly. Therefore, the factors above should be considered comprehensively in conjunction with the structural design of the combustion chamber. It is expected that the experimental data in the current study can provide a basis and reference for the numerical simulation of methanol spray and the development of methanol engines.
Author Contributions
Y.W., formal analysis, methodology, experiment, writing—original draft, writing—review & editing; P.D., formal analysis, methodology, writing—review & editing; W.L., formal analysis, writing—review & editing; J.T., investigation, visualization; F.W., experiment, investigation; Q.W., experiment, visualization; Z.C., investigation, visualization. B.L., writing—review & editing. All authors have read and agreed to the published version of the manuscript.
Funding
This research was supported by the Basic Research Operation Program of Dalian University of Technology (No. 82232029) and the National Natural Science Foundation of China (No. 51779044).
Institutional Review Board Statement
Not applicable.
Informed Consent Statement
Not applicable.
Data Availability Statement
The data presented in this study are available on request from the corresponding author.
Conflicts of Interest
The authors declare no conflict of interest.
References
- Shamun, S.; Belgiorno, G.; Blasio, G.D.; Beatrice, C.; Tunér, M.; Tunestål, P. Performance and Emissions of Diesel-biodiesel-ethanol Blends in a Light Duty Compreession Ignition Engine. Appl. Therm. Eng. 2018, 145, 444–452. [Google Scholar] [CrossRef]
- Beatrice, C.; Denbratt, I.; Blasio, G.D.; Luca, G.D.; Ianniello, R.; Saccullo, M. Experimental Assessment on Exploiting Low Carbon Ethanol Fuel in a Light-Duty Dual-Fuel Compression Ignition Engine. App. Sci. 2020, 10, 7182. [Google Scholar] [CrossRef]
- Verhelst, S.; Turner, J.W.; Sileghem, L.; Vancoillie, J. Methanol as a fuel for internal combustion engines. Prog. Energy Combust. Sci. 2019, 70, 43–88. [Google Scholar] [CrossRef] [Green Version]
- Wang, D.; Meng, W.; Zhou, H.; Li, G.; Yang, Y.; Li, H. Green hydrogen coupling with CO2 utilization of coal-to-methanol for high methanol productivity and low CO2 emission. Energy 2021, 231, 120970. [Google Scholar]
- Harris, K.; Grim, R.G.; Huang, Z.; Tao, L. A comparative techno-economic analysis of renewable methanol synthesis from biomass and CO2: Opportunities and barriers to commercialization. Appl. Energy 2021, 303, 117637. [Google Scholar] [CrossRef]
- Huang, G.; Li, Z.; Zhao, W.; Zhang, Y.; Li, J.; He, Z.; Qian, Y.; Zhu, L.; Lu, X. Effects of fuel injection strategies on combustion and emissions of intelligent charge compression ignition (ICCI) mode fueled with methanol and biodiesel. Fuel 2020, 274, 117851. [Google Scholar] [CrossRef]
- Li, Z.; Wang, Y.; Geng, H.; Zhen, X.; Liu, M.; Xu, S.; Li, C. Parametric study of a diesel engine fueled with directly injected methanol and pilot diesel. Fuel 2019, 256, 115882. [Google Scholar] [CrossRef]
- Ma, B.; Yao, A.; Yao, C.; Wu, T.; Wang, B.; Gao, J.; Chen, C. Exergy loss analysis on diesel methanol dual fuel engine under different operating parameters. Appl. Energy 2020, 261, 114483. [Google Scholar] [CrossRef]
- Ning, L.; Duan, Q.; Liu, B.; Zeng, K. Experimental assessment of lean-burn characteristics for a modified diesel engine operated in methanol direct injection spark ignition (DISI) mode at full throttle condition. Fuel 2020, 279, 118455. [Google Scholar] [CrossRef]
- Wang, X.; Gao, J.; Jiang, D.; Huang, Z.; Chen, W. Spray characteristics of high-pressure swirl injector fueled with methanol and ethanol. Energy Fuels 2005, 19, 2394–2401. [Google Scholar] [CrossRef]
- Gong, Y.; Liu, S.; Li, Y. Investigation on Methanol Spray Characteristics. Energy Fuels 2007, 21, 2991–2997. [Google Scholar]
- Yao, C.; Cheung, C.S.; Cheng, C.; Wang, Y.; Chan, T.L.; Lee, S.C. Effect of Diesel/methanol compound combustion on Diesel engine combustion and emissions. Energy Convers. Manag. 2008, 49, 1696–1704. [Google Scholar] [CrossRef]
- Dempsey, A.B.; Walker, N.R.; Reitz, R.D. Effect of Piston Bowl Geometry on Dual Fuel Reactivity Controlled Compression Ignition (RCCI) in a Light-Duty Engine Operated with Gasoline/Diesel and Methanol/Diesel. SAE Int. J. Engines 2013, 6, 78–100. [Google Scholar] [CrossRef]
- Duraisamy, G.; Rangasamy, M.; Govindan, N. A comparative study on methanol/diesel and methanol/PODE dual fuel RCCI combustion in an automotive diesel engine. Renew. Energy 2020, 145, 542–556. [Google Scholar] [CrossRef]
- Dierickx, J.; Verbiest, J.; Janvier, T.; Peeters, J.; Sileghem, L.; Verhels, S. Retrofitting a high-speed marine engine to dual-fuel methanol-diesel operation: A comparison of multiple and single point methanol port injection. Fuel Commun. 2021, 7, 100010. [Google Scholar] [CrossRef]
- Wei, H.; Yao, C.; Pan, W.; Han, G.; Dou, Z.; Wu, T.; Liu, M.; Gao, J.; Chen, C.; Shi, J. Experimental investigations of the effects of pilot injection on combustion and gaseous emission characteristics of diesel/methanol dual fuel engine. Fuel 2017, 188, 427–441. [Google Scholar] [CrossRef]
- Yao, C.; Pan, W.; Yao, A. Methanol fumigation in compression-ignition engines: A critical review of recent academic and technological developments. Fuel 2017, 209, 713–732. [Google Scholar] [CrossRef]
- Dong, Y.; Kaario, O.; Hassan, G.; Ranta, O.; Larmi, M.; Johansson, B. High-pressure direct injection of methanol and pilot diesel: A non-premixed dual-fuel engine concept. Fuel 2020, 277, 117932. [Google Scholar] [CrossRef]
- Saccullo, M.; Benham, T.; Denbratt, I. Dual Fuel Methanol and Diesel Direct Injection HD Single Cylinder Engine Tests; SAE Technical Paper: Warrendale, PA, USA, 2018. [Google Scholar]
- Li, Z.; Wang, Y.; Yin, Z.; Gao, Z.; Wang, Y.; Zhen, X. To achieve high methanol substitution ratio and clean combustion on a diesel/methanol dual fuel engine: A comparison of diesel methanol compound combustion (DMCC) and direct dual fuel stratification (DDFS) strategies. Fuel 2021, 304, 121466. [Google Scholar] [CrossRef]
- Li, Y.; Jia, M.; Xu, L.; Bai, X. Multiple-objective optimization of methanol/diesel dual-fuel engine at low loads: A comparison of reactivity controlled compression ignition (RCCI) and direct dual fuel stratification (DDFS) strategies. Fuel 2020, 262, 116673. [Google Scholar] [CrossRef]
- Mayer, S.; Sjöholm, J.; Murakami, T.; Shimada, K.; Kjemtrup, N. Performance and Emission results from the MAN B&W LGI low-Speed Engine Operating on Methanol. In Proceedings of the 28th CIMAC World Congress, Helsinki, Finland, 6–10 June 2016. [Google Scholar]
- Stojcevski, T.; Jay, D.; Vicenzi, L. Operation Experience of World’s First Methanol Engine in a Ferry Installation. In Proceedings of the 28th CIMAC World Congress, Helsinki, Finland, 6–10 June 2016. [Google Scholar]
- Chen, Z.; Yao, A.; Yao, C.; Yin, Z.; Xu, H.; Geng, P.; Dou, Z.; Hu, J.; Wu, T.; Ma, M. Effect of fuel temperature on the methanol spray and nozzle internal flow. Appl. Therm. Eng. 2017, 114, 673–684. [Google Scholar] [CrossRef]
- Zeng, W.; Xu, M.; Zhang, M.; Zhang, Y.; Cleary, D. Characterization of Methanol and Ethanol Sprays from Different DI Injectors by Using Mie-scattering and Laser Induced Fluorescence at Potential Engine Cold-start Conditions; SAE Technical Paper: Warrendale, PA, USA, 2010. [Google Scholar]
- Zeng, W.; Xu, M.; Zhang, G.; Zhang, Y.; Cleary, D. Atomization and vaporization for flash-boiling multi-hole sprays with alcohol fuels. Fuel 2012, 95, 287–297. [Google Scholar] [CrossRef]
- Zhang, W.; Chen, X.; Gu, G.; Hu, H.; Liu, T.; Huang, Z. Experimental study of the spray characteristics of USLD, methanol and DME on the swirl nozzle of a Stirling engine. Fuel Process. Technol. 2014, 119, 1–9. [Google Scholar] [CrossRef]
- Xu, M.; Zhang, Y.; Zeng, W.; Zhang, G.; Zhang, M. Flash Boiling: Easy and Better Way to Generate Ideal Sprays than the High Injection Pressure; SAE Technical Paper: Warrendale, PA, USA, 2013. [Google Scholar]
- Ghost, A.; Boggavarapu, P.; Ravikrishna, R.V. Measurement of Liquid and Vapor Penetration of Evaporating Methanol Sprays. At. Sprays 2020, 10, 741–757. [Google Scholar]
- Ghost, A.; Ravikrishna, R.V. Evaporating Spray Characteristics of Methanol-in-diesel Emulsions. Fuel 2021, 290, 119730. [Google Scholar]
- Matamis, A.; Lonn, S.; Tuner, M.; Andersson, O.; Richter, M. Optical Characterization of Methanol Sprays and Mixture Formation in a Compression-Ignition Heavy-Duty Engine; SAE Technical Paper: Warrendale, PA, USA, 2020. [Google Scholar]
Publisher’s Note: MDPI stays neutral with regard to jurisdictional claims in published maps and institutional affiliations. |
© 2022 by the authors. Licensee MDPI, Basel, Switzerland. This article is an open access article distributed under the terms and conditions of the Creative Commons Attribution (CC BY) license (https://creativecommons.org/licenses/by/4.0/).


















