Research on Evaluation Method of Electric Vehicle Wireless Charging Interoperability Based on Two Parameter Representation
Abstract
:1. Introduction
- “Output power-transmission efficiency” evaluation method
- 2.
- “Coupling coefficient-quality factor” evaluation method
- 3.
- “Characteristic impedance” evaluation method
2. System Interoperability Modeling Analysis
2.1. WPT System Compensation Network Selection
2.2. WPT Interoperability Modeling Analysis
3. System Interoperability Evaluation Method
3.1. Interoperability Evaluation of System Efficiency
3.2. Interoperability Evaluation of System Output Power
4. System Interoperability Simulation
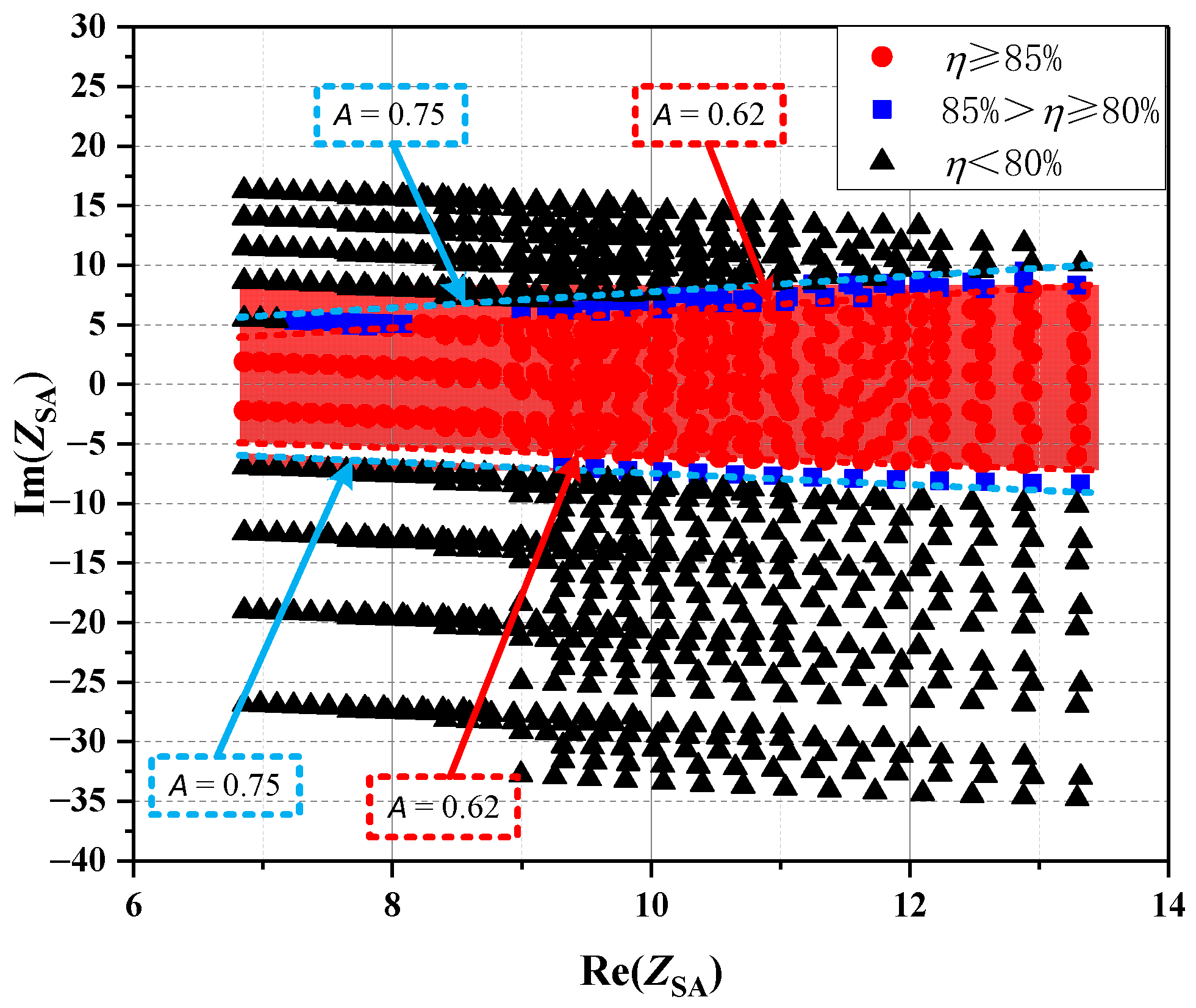
4.1. System Transmission Efficiency Interoperability Simulation
4.2. System Output Power Interoperability Simulation
5. WPT System Interoperability Experiment
Interoperability Experiment Parameters and Results
6. Conclusions
Author Contributions
Funding
Institutional Review Board Statement
Data Availability Statement
Conflicts of Interest
References
- Jang, Y.J. Survey of the operation and system study on wireless charging electric vehicle systems. Transp. Res. Part C Emerg. Technol. 2018, 95, 844–866. [Google Scholar] [CrossRef]
- Mou, X.; Gladwin, D.T.; Zhao, R.; Sun, H. Survey on magnetic resonant coupling wireless power transfer technology for electric vehicle charging. IET Power Electron. 2019, 12, 3005–3020. [Google Scholar] [CrossRef]
- Li, S.; Mi, C.C. Wireless Power Transfer for Electric Vehicle Applications. IEEE J. Emerg. Sel. Top. Power Electron. 2015, 3, 4–17. [Google Scholar]
- Wenbin, W.; Jun, X.; Jianbo, X.; Qiong, L.; Tianqi, M.; Ao, Z. A Review of High Power Research on Electric Vehicle Wireless Charging. In Proceedings of the 2019 14th IEEE Conference on Industrial Electronics and Applications (ICIEA), Xi’an, China, 19–21 June 2019. [Google Scholar]
- Kalwar, K.A.; Aamir, M.; Mekhilef, S. Inductively coupled power transfer (ICPT) for electric vehicle charging—A review. Renew. Sustain. Energy Rev. 2015, 47, 462–475. [Google Scholar] [CrossRef]
- Kim, D.; Kim, H.; Huang, A.; He, Q.; Zhang, H.; Ahn, S.; Zhu, Y.; Fan, J. Analysis and Introduction of Effective Permeability with Additional Air-Gaps on Wireless Power Transfer Coils for Electric Vehicle Based on SAE J2954 Recommended Practice. Energies 2019, 12, 4797. [Google Scholar] [CrossRef]
- Bukya, R.; Mangu, B.; Bhaskar, B.; Bhavsingh, B. Analysis of Interoperability Different Compensation Network in Wireless EV Charging Systems. In Proceedings of the 2021 2nd Global Conference for Advancement in Technology (GCAT), Bangalore, India, 1–3 October 2021. [Google Scholar]
- Ombach, O. Design and safety considerations of interoperable wireless charging system for automotive. In Proceedings of the 2014 Ninth International Conference on Ecological Vehicles and Renewable Energies (EVER), Monte-Carlo, Monaco, 25–27 March 2014. [Google Scholar]
- Liu, X.; Li, X.; Liu, Z.; Zhang, Q.; Li, S. Interoperability Analysis and Improvement of Wireless Charging System for Electric Vehicle Application with Different Compensation Networks. In Proceedings of the 2019 IEEE 3rd International Electrical and Energy Conference (CIEEC), Beijing, China, 7–9 September 2019. [Google Scholar]
- Song, K.; Guo, Y.; Yang, G.; Huang, X.; Zhang, H.; Zhang, Q.; Lu, R.; Zhu, C. Interoperability Analysis and Improvement for Rectangular Coil and DD Coil of Wireless EV Charging. In Proceedings of the 2019 22nd International Conference on Electrical Machines and Systems (ICEMS), Harbin, China, 11–14 August 2019. [Google Scholar]
- Guo, Y.; Zhang, Y.; Yan, B.; Wang, K.; Zhang, Z.; Wang, L. Interoperability Analysis of Compensation Network in Electric Vehicle Wireless Charging System. In Proceedings of the 2018 IEEE International Power Electronics and Application Conference and Exposition (PEAC), Shenzhen, China, 4–7 November 2018. [Google Scholar]
- Chen, Z.; Sha, L.; Zhang, X. Research on Improving the Interoperability of Electric Vehicle Wireless Power Transfer. In Proceedings of the 2021 IEEE 4th International Electrical and Energy Conference (CIEEC), Wuhan, China, 28–30 May 2021. [Google Scholar]
- SAE J2954, Wireless power transfer for light-duty plug-in/electric vehicles and alignment methodology wireless power transfer for light-duty plug-in/electric vehicles and alignment methodology. April 2022. Available online: http://www.sae.org (accessed on 17 July 2022).
- ICE 61980-1; Electric Vehicle Wireless Power Transfer (WPT) Systems—Part 1: General Requirements. International Electrotechnical Commission: Geneva, Switzerland, 2020.
- GB/T 38775.6; Electric Vehicle Wireless Power Transfer—Part 6: Interoperability Requirements and Testing—Gground Side. National Standardization Administration: Beijing, China, 2021.
- GB/T 38775.7; Electric Vehicle Wireless Power Transfer—Part 7: Interoperability Requirements and Testing—Vehicle Side. National Standardization Administration: Beijing, China, 2021.
- RamRakhyani, A.K.; Mirabbasi, S.; Chiao, M. Design and Optimization of Resonance-Based Efficient Wireless Power Delivery Systems for Biomedical Implants. IEEE Trans. Biomed. Circuits Syst. 2011, 5, 48–63. [Google Scholar] [CrossRef] [PubMed]
- Hassler, M.; Niedermeier, F.; Krammer, J.; Diepold, K. A Method for Interoperable Interface Description of Inductive Power Transfer Systems. In Proceedings of the 2018 IEEE PELS Workshop on Emerging Technologies: Wireless Power Transfer (Wow), Montreal, QC, Canada, 3–7 June 2018. [Google Scholar]
- Yang, G.; Song, K.; Huang, X.; Wang, C.; Huang, X.; Li, J.; Zhu, C. Improved Interoperability Evaluation Method for Wireless Charging Systems Based on Interface Impedance. IEEE Trans. Power Electron. 2021, 36, 8588–8592. [Google Scholar] [CrossRef]
- Song, K.; Yang, G.; Wei, R.; Huang, X.; Zhang, Q.; Zhu, C. Interoperability Evaluation of Wireless Electric Vehicle Charging Systems Based on Impedance. In Proceedings of the 2019 IEEE Energy Conversion Congress and Exposition (ECCE), Baltimore, MD, USA, 29 September–3 October 2019. [Google Scholar]















| Standard | Power Level Pin (kw) | Value Range |
|---|---|---|
| SAE J2954 | WPT1 | p ≤ 3.7 |
| WPT2 | 3.7 ≤ p ≤ 7.7 | |
| WPT3 | 7.7 ≤ p ≤ 11.1 | |
| WPT4 | 11.1 ≤ p ≤ 22 |
| Standard | Output Power Pout (kW) | Transmission Efficiency η (%) | |||||
|---|---|---|---|---|---|---|---|
| SAE J2954 | Ground end | Ground equipment | Face to face: η More than 85% offset: η ≥ 80% | ||||
| Vehicle terminal | WPT1 | WPT2 | WPT3 | WPT4 | |||
| On board equip-ment | WPT1 | support | support | support | undetermined | ||
| WPT2 | support | support | support | undetermined | |||
| WPT3 | support | support | support | undetermined | |||
| WPT4 | undetermined | undetermined | undetermined | undetermined | |||
| Parameter | Standard Value | Value Range | Company |
|---|---|---|---|
| US | 200 | — | V |
| f | 85,500 | — | Hz |
| k | 0.25 | (0.1~0.3) | — |
| Lf1 | 18 | — | μH |
| Cf1 | 192.5 | — | nF |
| C1 | 157.5 | — | nF |
| L1 | 40 | (35~45) | μH |
| L2 | 70 | (65~75) | μH |
| C2 | 63 | (61~65) | nF |
| Cf2 | 231 | (220~240) | nF |
| Lf2 | 15 | (10~20) | μH |
| RL | 12 | — | Ω |
| Group | C2 (nF) | Cf2 (nF) | Lf2 (μH) |
|---|---|---|---|
| 1 | 63 | 225 | 20 |
| 2 | 63 | 225 | 25 |
| 3 | 70 | 240 | 10 |
| 4 | 55 | 230 | 12 |
| Group | L1 (μH) | L2 (μH) | k |
|---|---|---|---|
| 1 | 42 | 68 | 0.198 |
| 2 | 43.5 | 68 | 0.15 |
| 3 | 43.5 | 68 | 0.17 |
| 4 | 44 | 70 | 0.21 |
Publisher’s Note: MDPI stays neutral with regard to jurisdictional claims in published maps and institutional affiliations. |
© 2022 by the authors. Licensee MDPI, Basel, Switzerland. This article is an open access article distributed under the terms and conditions of the Creative Commons Attribution (CC BY) license (https://creativecommons.org/licenses/by/4.0/).
Share and Cite
Sha, L.; Liu, J.; Chen, Z. Research on Evaluation Method of Electric Vehicle Wireless Charging Interoperability Based on Two Parameter Representation. Processes 2022, 10, 1591. https://doi.org/10.3390/pr10081591
Sha L, Liu J, Chen Z. Research on Evaluation Method of Electric Vehicle Wireless Charging Interoperability Based on Two Parameter Representation. Processes. 2022; 10(8):1591. https://doi.org/10.3390/pr10081591
Chicago/Turabian StyleSha, Lin, Jiangang Liu, and Zhixin Chen. 2022. "Research on Evaluation Method of Electric Vehicle Wireless Charging Interoperability Based on Two Parameter Representation" Processes 10, no. 8: 1591. https://doi.org/10.3390/pr10081591
APA StyleSha, L., Liu, J., & Chen, Z. (2022). Research on Evaluation Method of Electric Vehicle Wireless Charging Interoperability Based on Two Parameter Representation. Processes, 10(8), 1591. https://doi.org/10.3390/pr10081591

