Abstract
Vitamin C, C6H8O6, is a water-soluble vitamin that is widespread in nature. It is an essential nutrient involved in many biological processes in the living organisms: it enhances collagen biosynthesis, ensures the optimal functioning of enzymes and the immune system, has a major role in lipid and iron metabolism, and it enhances the biosynthesis of l-carnitine. Due to its antioxidant activity, vitamin C can neutralize the tissue-damaging effects of free radicals. Vitamin C is being related to the prevention of cancer and cardiovascular diseases. This review includes current information on the biosynthesis of ascorbic acid, as new methods are now challenging the traditional Reichstein process for vitamin C’s industrial-scale production. Different strains were analyzed in correlation with their ability to synthesize ascorbic acid, and several separation techniques were investigated for a more effective production of vitamin C.
1. Introduction
Vitamin C is an essential nutrient for many multicellular organisms and has important functions in protein formation, but it is also an important product in the pharmaceutical, cosmetics, and food industries [1,2]. The global market for vitamin C and its derivatives reached in 2022 USD 1.24 billion, with an increase in exports by 22.06% (from USD 1.01 billion), the most important exporters being China (USD 773 million), USA (USD 86.1 million), and the UK (USD 81.6 million) [3].
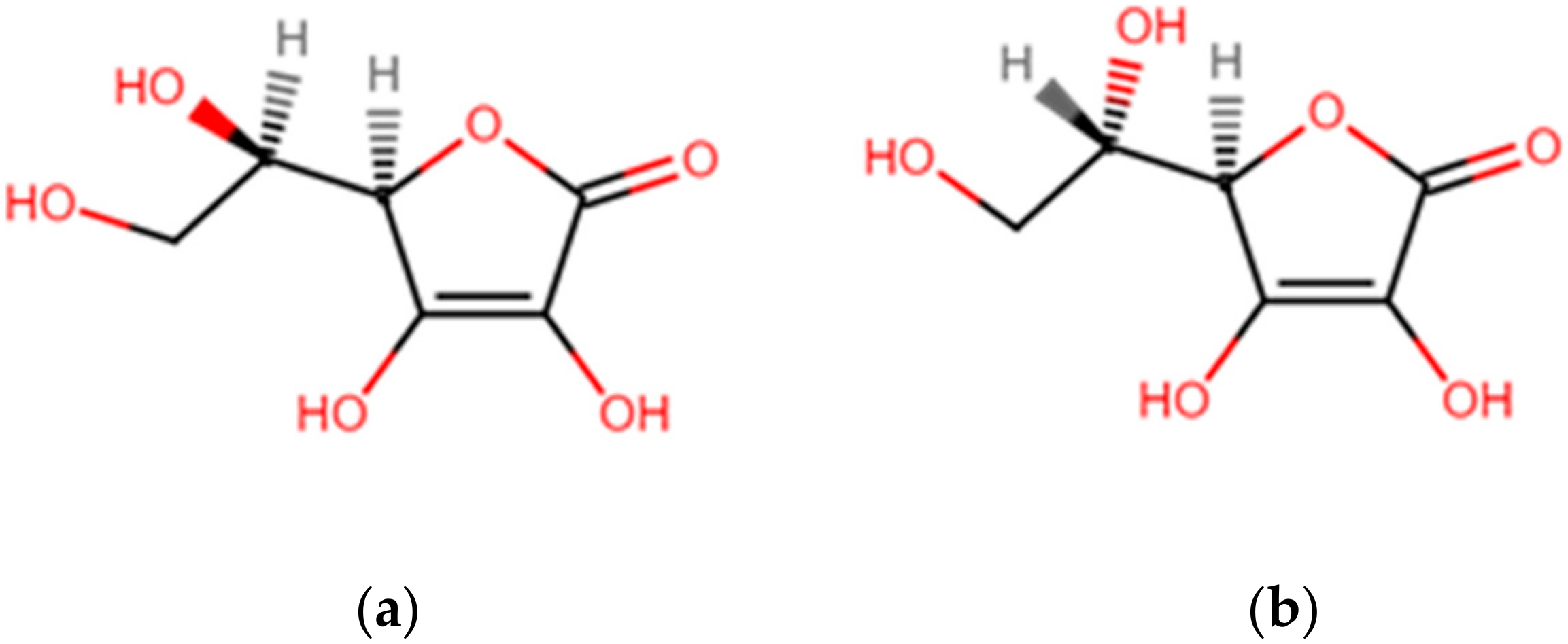
Albert Szent-Gyorgyi, a Hungarian professor of medicinal chemistry, discovered this compound in 1928, but its chemical structure was obtained in 1933 by Norman Haworth [4]. Vitamin C exists in the form of two enantiomers, L and D (Figure 1). It is an odorless, white-to-yellowish substance that has a very pleasant taste and canbe easily dissolved in water (water solubility is 0.33 g/mL), but it is insoluble in hydrophobic substances such asfats, diethyl ether, chloroform, benzene, petroleum ether, and oils [5]. Its density at 25 °C is 1.65 g/cm3. This acid decomposes at 192 °C with the emission of irritating vapors that consist of H2O, CO2, CO, HCOOH, and CH4. It is believed that the decomposition mechanism is mainly based on dehydration and degradation to form furfural [6].
Figure 1.
Ascorbic acid structure: (a) l-ascorbic acid (vitamin C), and (b) d-ascorbic acid Adapted with permission from Ref. [7].
Vitamin C forms an ascorbate anion that is stabilized by electron delocalization which results from the resonance between the two forms (Figure 2). This anion can be used to form salts with calcium, sodium, and potassium, and it reacts as an alcohol with organic acids and forms esters such as ascorbyl palmitate andascorbyl stearate.
Figure 2.
Electron delocalization of an ascorbate anion. Adapted with permission from Ref. [8].
The predominant pathway (aerobic degradation pathway) of degradation in aqueous systems starts with vitamin C’s oxidation to dehydroascorbic acid, which further is converted to 2,3-diketogulonic acid (Figure 3), with the loss of vitamin properties. These reactions may occur without any oxidizers or reducing agents, and the presence of Fe3+ ions can favor the reactions. Another pathway of vitamin C degradation is represented by hydrolysis, which occurs in anaerobic conditions.The reaction is slower and needs a high temperature of approximately 120 °C [8].
Figure 3.
Aerobic degradation of vitamin C. Adapted with permission from Ref. [7].
2. Applications
Vitamin C has the largest industrial production in comparison with other vitamins, being primarily used for pharmaceutical applications (Figure 4), followed by its use in the foods and beverages sector as antioxidant and in animal feed (10%). More than 80% of current worldwide vitamin C production is provided by Chinese manufacturers. Initially, vitamin C production was controlled by big manufacturers such as BASF, Roche, Merck, and Takeda Pharmaceutical (located mainly in Europe and Japan). By the early 1990s, Chinese producers had already gained one-third of the world’s vitamin C market, and the main industrial manufacturers were Northeast Pharmaceutical Group Co., Weisheng Pharmaceutical Company, and Aland Nutraceutical Co. [9].
Figure 4.
Applications of vitamin C [9].
Vitamin C is widely used in the food, pharmaceutical, and cosmetics industries. In the pharmaceutical industry, vitamin C is an important active ingredient in many pharmaceutical forms, such as multivitamin supplements, vitamin complexes with iron, other minerals, or vitamin B complexes. It is also used for pediatric drops, tablets, syrups, and effervescent tablets. Tablets with vitamin C are the most wide-spread pharmaceutical form prepared by wet granulation or direct compression [10]. Vitamin C is also an important physiological antioxidant that is capable of regenerating other antioxidants (for example, vitamin E) [11]. Major insufficiency of this nutrient in human nutrition may lead to a serious disease called scurvy, which is easily treated by the consumption of fresh fruits and vegetables in one’s diet [12]. It must be taken into account that vitamin C is not present in grains [11]. In pharmaceutical forms that are used topically, vitamin C is effective in the treatment of hyperpigmentation andthe prevention of skin damage by UV radiation. Systemically, vitamin C acts in epigenetics such as in the synthesis of immunoglobulins, stimulating the synthesis of interferon. Other studies have shown that vitamin C has a role in the treatment of male infertility and neurodegenerative diseases [13,14]. It also may be used in promoting the delivery of active substances to the body [15].
In cosmetic products, vitamin C is widely used in emulsions, serums, and masks. Due to its beneficial stimulation of collagen biosynthesis, UV radiation damage protection, and the uniformization and illumination of the skin, vitamin C is currently being studied to create new, stable, innovative formulas that offer visible anti-aging and anti-pigmentation effects [16]. Vitamin C has the ability to inhibit tyrosinase (an enzyme responsible for converting tyrosine into melanin, which provides pigmentation) by bonding to the active site’s copper ions, and it is used in depigmentation creams. Vitamin C may be used as a unique active ingredient in cosmetic products or in combination with other active ingredients, and its concentration must be from 8 to 20% because higher concentrations do not enhance the effect of the product, but rather are susceptible to causing skin irritation due to vitamin C’sacidic character [17]. However, vitamin C concentrations should be at least 8% for visible results inskin [16]. Vitamin C permeates through the skin, in spite of its low lipophilicity, but for optimal penetration of the epidermal barrier, aqueous cosmetic products require a pH below its pKa (4.2). Oxygen and temperature represent the most important factors with major impacts on vitamin C degradation [17,18]. Further, pH and water activity have shown to influence the rate of vitamin C degradation [19,20]. Regarding the presence of other components in solutions containing vitamin C, it has beendemonstrated that the presence of sugars, lipids, amino acids, enzymes, and Fe2+ or Cu2+ metallic ions or microorganisms have an effect on vitamin C degradation [17,21,22,23,24]. This problem can be solved by using impermeable packaging, anacidic product pH, encapsulation of the active ingredients, or using more stable and easier to incorporate derivatives, such as ascorbyl-6-palmitate (stable at neutral pH), tetra-isopalmitoyl ascorbate (anti-aging ingredient), magnesium ascorbyl phosphate (more stable), ascorbyl 2-phosphate-6-palmitate (moisturizing agent), sodium ascorbyl phosphate (relatively new and used in skin care products), ascorbyl 2-glucoside (superior skin penetration and stability), or 3-O-ethyl ascorbate. Vitamin C can be administered for extended periods of time, due in part to its solubility in water, whichfacilitates its excretion at a high dosage. Cases of contact dermatitis or allergic reactions are very rarely reported [16].
Vitamin C was explored as a treatment in patients with COVID-19 (moderate to severe cases) due to its potential capacity to inhibit viruses such as herpes simplex, influenza, and poliovirus [25]. Therefore, Hiedra analyzed the evolution of 17 patients with moderate to severe COVID-19 that were treated with vitamin C (3 g in 24 h (in three doses) for 72 h), in addition to other medications. It was shown that vitamin C has potential benefits in viral infections, especially in the prevention and management of oxidative stress [26]. Another study included 76 patients with COVID-19 disease, where vitamin C was administrated in a higher dose of 12 g intravenous in the first 24 h, and 6 g in a single dose for foursubsequent days. The results indicated the benefits ofusing elevated doses of vitamin C by reducing the risk of 28-day mortality compared with the standard therapy group, and also by improving oxygen support status [27].
3. Production
Currently, for the production of vitamin C, three process technologiesare used:
- -
- Reichstein process,
- -
- Two-step fermentation, and
- -
- One-step fermentation.
Microorganisms, including bacteria, yeast, and filamentous fungi, were investigated for their ability to produce vitamin C using d-sorbitol, l-sorbose, l-sorbosone, or d-glucose as substrates, obtaining either vitamin C or its precursor (2-ketogulonic acid). The strains’ productivity is presented in Table 1.
Table 1.
Microbial strains used for vitamin Cproduction (corn steep liquor—CSL).
3.1. Reichstein Method
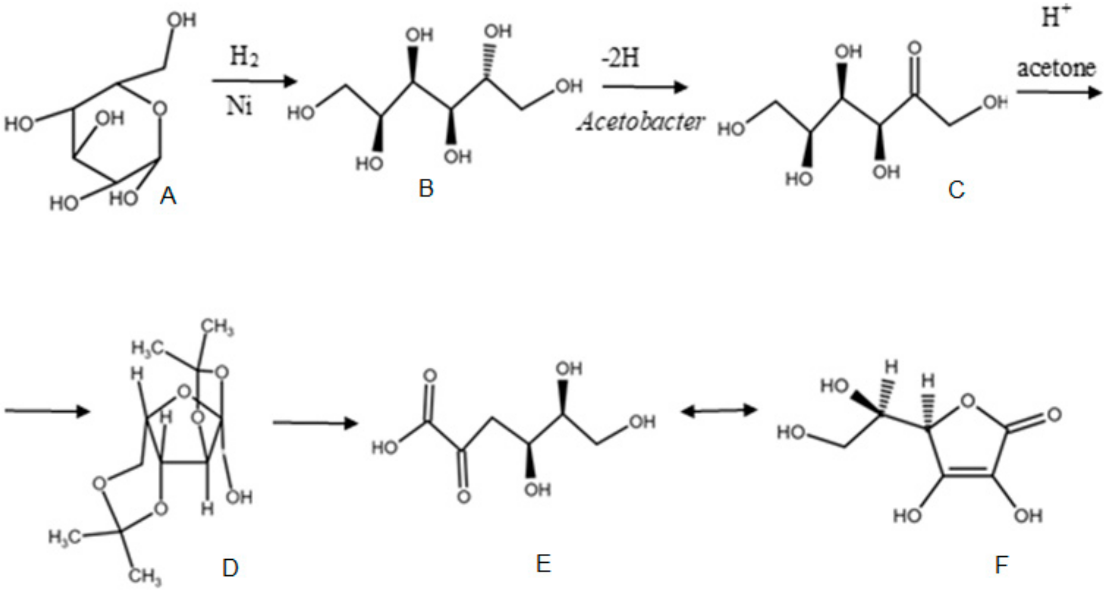
The first patented chemical method for Vitamin C synthesis was the Reichstein method, which was sold in 1934 to Hoffmann-La Roche. This method has several steps that involve six chemical syntheses and one microbial transformation of the substrate using Acetobacter sp. [37,38]. Current industrial methods of the production of vitamin C are based on this process [39].
The original process (Figure 5) transforms glucose into vitamin C using five steps (chemical and microbial): (i) reduction of glucose (1) to d-sorbitol (2) with a nickel catalyst, (ii) oxidation to l-sorbose (3) using Acetobacter oxydans or Acetobacter xylium, (iii) treatment with acetone and sulfuric acid to obtain diacetone-sorbose (4) (2,34,6-di-isopropylidene-l-xylo-2-hexofuranose), (iv) oxidation of diacetone-sorbose to 2-keto-l-gulonic acid (5) acid using a platinum catalyst, and, finally, (v) enolization and internal lactonization with removal of the water of this chemical compound to vitamin C (6) [38,40].
Figure 5.
Reichstein method of vitamin C production. (A) d-glucose, (B) d-sorbitol, (C) l-sorbose, (D) 2,3,4,6-di-isopropylidene-l-xylo-2-hexofuranose, (E) 2-keto-l-gulonic acid, and (F) vitamin C. Step 1 is a reduction process with 100% yield, step 2 is an oxidation process with a yield between 60–95% using Acetobacter suboxydans, and steps 3 to 6 are oxidation processes with 80%, 90%, and 75% yields, respectively. In addition, Pseudomonas strains can be used for the first oxidation step.
The Reichstein method has major advantages: higher conversion efficiency (higher atom economy value 0.6424 compared with two-step fermentation 0.5383), cheap raw materials, glucose is a widespread and easy-to-obtain material, and its intermediates are chemically stable [39]. Although the procedure has beenimproved over theyears and the yields of the method have increased, there are significant disadvantages to consider, such as the higher capital and operating costs, multiple steps involved in the production processes, use of harmful solvents (e.g., acetone), and high disposal waste cost [40].
Through the Reichsteinprocess, only 15–18% of the glucose is converted to vitamin C (corn, wheat, molasses, and d-sorbitol are used as feed stocks, but pre-treatment is required) [41].
3.2. Two-Step Fermentation Process
Compared to Reichstein’s process, the use ofvitamin C’s production of fermentation processes has become more attractive because it generates fewerenvironmentally hazardous chemicals. A two-step fermentation process (Figure 6) was developed to reduce the disadvantages of the classic Reichstein method [42].
Figure 6.
Representation of the two-step fermentation process.
The first step (after the d-glucose chemical hydrogenation step) implies l-sorbose production using G. suboxydans, A. suboxydans, and G. oxydans (able to produce highly stereospecific enzymes used by industrial producers in China), as in the original process, while the second step implies the production of 2-keto-l-gulonic acid by a synergic microbial culture [42]. To improve the fermentation performance, synergic microorganisms such as Pseudomonas striata with G. oxydans spp. (later characterized and identified as Ketogulonicigenium vulgare) or enzymes [43,44] that generate vitamin C via the direct oxidation of l-sorbosone (an intermediate of the bio-oxidation of d-sorbitol to 2KGA) were investigated for vitamin C production. These open the possibility for a direct route production of vitamin C, eliminating the chemical rearrangement necessity of 2KGA [9,28].
The most important strain that can convert l-sorbose to 2-keto-l-gulonic acid is K. vulgare (the strain is distantly related to Gluconobacter and Acetobacillus strains), but it needs an accompanying strain (Bacillus megaterium [33,45], Bacillus cereus, Xanthomonas maltophilia, or Bacillus thuriengiensis) to enhance the production yield [42]. G. oxydans/K. vulgare is an aerobe and a Gram-negative microorganism from the Acetobacteraceae family. The helper strain provides nutrients or activators for the main strain to enhance the yield of 2-keto-l-gulonic acid, and K. vulgare induces the companion strain to release metabolites and produce spores. The technological process is influenced by the amount of the starting inoculum, medium composition, and biosynthesis conditions (pH and temperature) [42]. A useful strategy for enhancing the growth of the K. vulgare yield for 2-KLG synthesis could be regulating the release of metabolites and activators from the helper strain by damaging the companion strain cell wall for a higher release of activators and nutrients [42]. These developments in K. vulgare cultivation allowed improving the yield of the substrate transformation to d-sorbitol in the first step of fermentation to 98% and by using the mutant strainstogether (B. thuringiensis and K. vulgare, with an increase in the conversion rate of l-sorbose to 2-keto-l-gulonic acid from 82.7% to 95% [42]). The 2-KGA concentrations of 55.38g/L and 68.94 g/L by cultivation of K. vulgare with B. megaterium 2980, respectively, and K. vulgare with B. subtilis A9 (on the following medium: 80 g/L l-sorbose; 12 g/L urea; 10 g/L CSL; 5 g/L CaCO3; 0.2 g/L MgSO4 and 1 g/L KH2PO4) were obtained [33].
In comparison with the original process, the fermentation process starts with a culture of G. oxydans and lasts 24 h, and the yield of l-sorbose is 25–28%. The product of the biochemical reactions in the first step is afterwards transformed with a mixed culture of the bacteria K. vulgare and other species of microorganisms (for example, agenetically modified Bacillus spp.) to 2-keto-l-gulonic acid. The most important conditions are presented in Table 2 [42].
Table 2.
Conditions for the two-step fermentation process.
To enhance the fermentation yields, a fed-batch fermentation for reducing the inhibition generated by d-sorbitol (substrate) was used, and the final concentration of l-sorbose of 320 g/L was obtained by feeding 600 g/L of sorbitol feed at a rate of 0.36 L/h, generating a 17.7 g/L·h productivity [42]. Lim et al. developed a two-step process using d-sorbitol as a carbon source, with Gluconobacteroxydans for the first step and Pseudoglyconobactersaccharoketogenes for the second, in which sorbose is converted to 2-ketogulonic acid. The first fermentation combined a batch and a fed-batch stage (an initial substrate concentration of d-sorbitol of 23–25% for the batch part was completed after about 16 h with 70–75% sterilized sorbitol solution and the fed-batch fermentation was started again for 16 h), which allowed the production of a 36% concentration of l-sorbose. Before going to the second bioreactor, the fermentation broth obtained in the first was microfiltered for biomass removal [39]. Using this two-step fermentation process, the yields for the two steps were: 98% (production of l-sorbose from d-sorbitol) and 97% (production of 2-KLG from l-sorbose), making it the preferred process applied for the industrial-scale production of vitamin C [1].
3.3. One-Step Fermentation
Trying to obtain a simplified production method which requires fewer stages and fewer processing steps that would ensure an economic yield, the latest studies on vitamin C production are based on a metabolic pathway that directly produces vitamin C using glucose or sorbitol as a substrate, with Saccharomyces cerevisiae [46,47], Erwinia herbicola ATCC 21988, and a mixed culture (K. vulgare DSM4025 and G. oxydans IFO3291 or G. oxydans T100 [1]). Even if a lot of microalgae [48,49] have a complete metabolic path to biosynthesize vitamin C, its cultivation cost is much higher than the cultivation cost of microorganisms in bioreactors, and so most studies are concentrated around bacterial or yeast producers. In nature, the yeasts could only synthetize the analogue of vitamin C, which is called d-erythorbic acid (Figure 7) [47].
Figure 7.
Biosynthesis of vitamin C in plants and d-erythroascorbic acid in yeasts. (A)—d-glucose, (B)—d-arabinose, (C)—d-arabinono-1,4-lactone, (D)—d-erythroascorbic acid, (E)—l-galactose, (F)—l-galactono-1,4-lactone, and (G)—vitamin C. In plants, galactose (obtained from glucose by the subsequent action of the following enzymes: hexokinase, hexose phosphate isomerase, phosphomannose isomerase, phosphomannose mutase, GDP-mannose pyrophosphorylase, and GDP-mannose-3,5-epimerase) is converted by l-galactose dehydrogenase into l-galactono-1,4-lactone and by l-galactono-1,4-lactone dehydrogenase into vitamin C. In yeast cells, a five-carbon analogue of vitamin C is synthesized by the action of the following enzymes: d-arabinose dehydrogenase and d-arabinono-1,4-lactone oxidase.
Due to genetic engineering, a strain of Saccharomyces cerevisiae YLAA is able to produce high amounts of vitamin C, and it was obtained by the addition of syngeneic genes from the vitamin C synthesis pathway. Starting from S. cerevisiae BY4741, two modules were added, including the genes galdh, expressing l-galactose dehydrogenase, and gldh expressing l-galactono-1,4-lactone dehydrogenase obtained from Arabidopsis. These genes encode the formation of the enzymes involved in the two final steps of biosynthesis, l-GalDH and l-GLDH, respectively [47]:
Galactose-1-P → l-galactono-1.4-lactone → vitamin C
The strain was grown at 30 °C and 220 rpm in two culture mediums (Table 3). After 72 h of fermentation, vitamin C was directly obtained from glucose with a concentration of about 3.58 mg/L as an intracellular product. The vitamin C started to accumulate inside the microbial cells after 24 h of fermentation and reached a maximum at 72 h, after which it started to oxidize and the concentration of vitamin C decreased. The genetic modification ofthe yeasts cells didnot cause an additional growth burden and glucose requirement to Saccharomyces cerevisiae [47].
Table 3.
Culture medium for S. cerevisiae.
A mixed culture containing G. oxydans, K. vulgare, and B. endophyticus was analyzed for 2-KGA biosynthesis, obtaining a yield of 73.70 g/Lin a one-step production of 2-keto-l-gulonic acid [50]. The Kluyveromyces lactis JVC1-56 strain was obtained by the integration of Arabidopsis thaliana l-galactose pathway genes that encode the production of the following enzymes: GDP-d-Mannose 3′,5′-Epimerase, GME, GDP-l-Galactose phosphorylase, VTC2, l-Galactose-1-Phosphate phosphatase, and VTC4, which is involved in the subsequent order in the following steps of biosynthesis:
GDP-d-Mannose → GDP-l-Galactose → l-Galactose-1P → l-Galactose
l-Galactose is transformed by—d-arabinose dehydrogenase into l-Galactono-1.4-Lactone and converted into vitamin C by d-arabinono 1,4 lactone oxidase in the final pathway step. The obtained strain was studied for its capability to transform lactose and d-galactose into l-galactose, obtaining a 14.40 mg/L vitamin Caccumulation on a YP (yeast peptone) medium supplemented with 2% (w/v) galactose [51].
The filamentous fungus Aspergillus niger (genetically modified by the addition of two genes coding two enzymes from vitamin C pathways in plants(Euglena gracilis l-galactono-1,4-lactone lactonase, EgALase, and Malpighiaglabra l-galactono-1,4-lactonedehydrogenase, MgGALDH)) was investigated for vitamin C production from d-galacturonic acid, obtaining 170 mg/L vitamin Cusing a medium containing 6 g/L NaNO3, 0.52 g/L KCl, 0.52 g/L MgCl2, and 1.52 g/L KH2PO4, supplemented with 20 g/L of d-galacturonic acid and 5 g/L of d-xylose [27]. Aspergillus flavus and Aspergillus tamarii were used for vitamin Cproduction, using as substrate brewery spent grain, under the following cultivation conditions: pH 5.0, temperature of 40 °C, 100 rpm agitation speed, and 96 h fermentation. In the final fermentation broth, 7.25 g/L and 6.25 g/L of vitamin C were obtained using A. tamari and A. flavus, respectively [52,53].
The most important parameters that should be monitored during the fermentation process for vitamin C production are: temperature, pressure, pH, dissolved oxygen, and broth composition [39]. The bioreactor size is in direct relation to the manufacture production capacity.
The results obtained for one-step fermentation in terms of productivity show potential for the industrial scale, but the prevention of 2-KGA as a by-product formation and the low stability of vitamin C in the fermentation broth still need to be overcome for this process to be implemented on acommercial scale.
4. Separation of Vitamin C
Regardless of the method used to obtain vitamin C, its recovery is quite difficult. At present, the separation and purification of vitamin C is carried out at the industrial level in two stages. In the first stage, pre-purification, a large part of the by-products is retained using ion exchangers. In the second stage, the purified solution is concentrated under vacuum and vitamin C is separated by cold crystallization in an acid medium [54]. The technological difficulties of the separation and purification stages are amplified by the need to carry out each stage in a very short time due to the low stability of vitamin C in the solution. Due to the fact that vitamin C separation and purification requires chemical and physical processes, and taking into account its poor stability (severely degraded by heatand unstable in aqueous solutions), improvement of this step for the industrial scale is very important [55,56].
Starting from the two-step fermentation process with one culture, a multistep separation process includes (Figure 8):
Figure 8.
Representation of the production and separation processes of vitamin C.
The fermentation broth from the second bioreactor was filtered to separate the biomass (1% of the total mass of the solution is lost), and the obtained liquid phase was sent to an evaporator to remove water excess, with the purpose ofincreasing the esterification reaction rate as H2O is one of the products. After evaporation, the mass was introduced in a continuous stirred tank for the esterification processes at 64 °C with2-keto-gulonic acid with methanol, and methyl gluconate was produced. The reaction mass was transferred to a cooler and atemperature of 30 °C was achieved. Then, the methyl gluconate was reacted with Na2CO3 and sodium ascorbate was released. The reaction product was fed into a bipolar membrane electrodialysis cell, GBX-102, that allowed the cation and anion exchanges with water molecules for vitamin C recovery from the sodium ascorbate. The excess water was removed in a vacuum evaporator before the crystallization process (4 °C, 54 h). The filtrated, solid vitamin C was then freeze-dried at −35 °C, and the resultant product was stored at 4 °C because of its instability [39].
One other process applied for vitamin Crecovery from fermentation broth in industry is ion-exchange chromatography, which uses anionic exchange resins operated at an acidic pH [57]. For vitamin C separation and purification, three different ion exchangers can be used: Zipax SCX, Permaphase AAX, and Zipax SAX. The Zipax ion exchangers, SCX (sulphonated fluorocarbon resin) and SAX (consisting of quaternary amines), are strong anion exchange resins which can be used at up to 50 °C in aqueous solvents and in a 1–9 pH domain, thoughnot with organic solvents. The second, Permaphase AAX, isstable at temperatures above 50 °C in aqueous and organic solvents at an optimal pH of 3–9 [57]. Ion exchange is widely used in the separation and purification of biomolecules, including vitamins, but its industrial use for vitamin C is restricted due to the necessity of maintaining a lower pH condition and ionic strength. Suzhou Bojie Resin Technology Co. developed separation and purification resins that can be successfully applied for vitamin C, and they are characterized by good selectivity and stability, extended life, and recyclability ability. The membrane filtration processes applied by vitamin C manufacturers before ionic exchange use organic ultrafiltration membranes, with a relatively high separation accuracy, which that also possess the ability to retain proteins and other large impurities from the fermentation broth without any vitamin C lost (as no reactives are used).
The recovery of 2-keto-l-gulonic acid with high recovery yields of 85% was obtained in an invention by using a cation exchange treatment of the microorganism-free fermentation broth, followed by direct crystallization of 2-keto-l-gulonic acid monohydrate. The2-keto-l-gulonic acid was produced by fermentation using a Gluconobacteroxydans SCB 329 and Bacillus thuringiensis SCB 933 combined culture in a ratio of 25:1 and a medium containing l-sorbose. The recovery yield of 2-keto-l-gulonic acid was specially controlled by protein removal to a concentration of below 2400 ppm and/or modifying the fermentation broth’s pH to below 1.5 in order to maintain a vitamin C concentration of under 2.5% [58].
Another process studied for vitamin C recovery from aqueous solutions is reactive extraction using different extractants (e.g., high molecular amines) that could selectively extract vitamin C through a reversible chemical reaction. The reactive extraction has some advantages, such as a short time needed for separation so that the vitamin C would not be degraded, flexibility (because it may cover a small or large scale of volume and may be realized at a different pH and temperature), economic benefits (because it does not need an expensive setup), and the possibility ofrecirculating the solvent [59].The study of the separation of vitamin C by reactive extraction with Amberlite LA-2 (a secondary amine) indicated that the process proceeds through a first-order interfacial reaction with respect to both reactants, regardless of the polarity of the solvent. The process efficiency is controlled by the concentration of the extracting agent (Amberlite LA2) in the organic phase, the pH of the aqueous phase, and the polarity of the solvent. Thus, the efficiency of the reactive extraction is improved by the use of solvents with a high polarity, and the yield of the separation of vitamin C from the aqueous solutions reaches values of approximately95% (160 g/L Amberlite LA2, pH = 2, T = 25 °C [54]).
5. Conclusions
The following methods formanufacturing vitamin C are used: the Reichstein process (highest process yield is 60%), atwo-step fermentation with a single culture or with a mixed culture (highest process yield is 94.5%, with a higher product quality), and a one-step fermentation (highest process yield is 81.3%) [1]. The two-step fermentation has a higher efficiency and better productivity and is less hazardous for the environment than the original method. The cost is also diminished to two-thirds of the Reichstein process cost due to lower energy (lower temperature and pressure) and water consumption [39]. Furthermore, the two-step fermentation process replaces the chemical reaction of sorbose to 2-keto-gulonic acid with a biochemical route using microorganisms that lower the use of harmful solvents, such as acetone. The difference between the two-step fermentation with a single culture and that with a mixed culture is that in second fermentation, a single microorganism (preferred because it is cheaper and easier to control) or a co-culture (harder to be optimized to obtain an optimum balance between the strains, and the cultivation takes more time) is used. In accordance with these, the two-step fermentation with a single culture is preferred because it involves a lower production cost with higher efficiency, and it simplifies the fermentation monitoring (monitoring the fermentation is easier) [39]. Most of the industrial production of vitamin C is still based on the Reichstein process, but with several modifications. Today, the two-step fermentation process (l-sorbose fermentation in the first step and 2-KLG fermentation in the second step) is applied in China by all manufacturers for industrial vitamin C production without chemical stages (as in the Reichstein’s process). The industrial use of a second fermentation process involving bio-oxidation using, as producing strain, Ketogulonicigenium vulgare WSH001 for the transformation of d-sorbitol to 2-ketogulonic acid is also being used. The research for the development and improvement of the existing industrial methods isdetermined by the increasing demand and a growing worldwide competition. The aim of recent studies is the total replacement of the classic Reichstein process by efficient fermentation processes to produce vitamin C using a cost-saving starting material such as glucose or d-sorbitol. The researchers’ goal of enhancing the yield of biosynthesis should be achieved by the improvement of the fermentation process and the genetic modification of microorganisms, such as the exogenous addition of cofactors (several enzymes implied in the different biosynthetic steps require specific cofactors: d-arabinose dehydrogenase exhibits the absolute necessity for NADP+; the terminal enzymes (l-galactose dehydrogenase and l-galactono-1,4-lactone dehydrogenase) from the plant pathway also require NAD as a cofactor; NADPH-dependent glucose dehydrogenase with an excess cofactor allowed a 60% conversion for 2-ketogulonic acid production from glucose when Pseudomonas citrea was used) or specific nutrients, the analysis of additional strains, and the optimization of the metabolic pathway in the production microorganisms. Direct microbial fermentation for vitamin C production is a process that requires more attention as it could become an alternative to the well-established industrial process.
Author Contributions
All authors contributed to the original draft preparation—writing. All authors have read and agreed to the published version of the manuscript.
Funding
This work was supported by a grant of the Ministry of Research, Innovation and Digitization, CNCS-UEFISCDI, project number PN-III-P1-1.1-TE-2021-0153, within PNCDI III.
Institutional Review Board Statement
Not applicable.
Informed Consent Statement
Not applicable.
Data Availability Statement
Not applicable.
Conflicts of Interest
The authors declare no conflict of interest.
References
- Wang, P.; Zeng, W.; Xu, S.; Du, G.; Zhou, J.; Chen, J. Current challenges facing one-step production of l-ascorbic acid. Biotechnol. Adv. 2018, 36, 1882–1899. [Google Scholar] [CrossRef] [PubMed]
- Malik, M.; Narwal, V.; Pundir, C.S. Ascorbic acid biosensing methods: A review. Process. Biochem. 2022, 118, 11–23. [Google Scholar] [CrossRef]
- The Observatory of Economic Complexity. Available online: https://oec.world (accessed on 2 July 2022).
- Carpenter, K.J. The discovery of vitamin C. Ann. Nutr. Metab. 2012, 61, 259–264. [Google Scholar] [CrossRef] [PubMed]
- O’Neil, M.J. (Ed.) The Merck Index—An Encyclopedia of Chemicals, Drugs, and Biologicals, 14th ed.; Whitehouse Station: Hunterdon, NJ, USA, 2006; p. 136. [Google Scholar]
- Jingyan, S.; Yuwen, L.; Zhiyong, W.; Cunxin, W. Investigation of thermal decomposition of ascorbic acid by TG-FTIR and thermal kinetics analysis. J. Pharm. Biomed. 2013, 77, 116–119. [Google Scholar] [CrossRef]
- Munoz-Munoz, J.L.; Garcia-Molina, F.; García-Ruiz, P.A.; Varon, R.; Tudela, J.; García-Cánovas, F.; Rodriguez-Lopez, J.N. Stereospecific inactivation of tyrosinase by l- and d-ascorbic acid. BBA Proteins Proteom. 2009, 1794, 244–253. [Google Scholar] [CrossRef]
- Herbig, A.L.; Renard, C.; Renard, M.G.C.C. Factors that impact the stability of vitamin C at intermediate temperatures in a food matrix. Food. Chem. 2017, 220, 444–451. [Google Scholar] [CrossRef]
- Pappenberger, G.; Hohmann, H.P. Industrial production of l-Ascorbic acid (Vitamin C) and d-isoascorbic acid. Adv. Biochem. Eng. Biotechnol. 2013, 143, 143–188. [Google Scholar] [CrossRef]
- Bauernfeind, J.C. Ascorbic Acid Technology in Agricultural, Pharmaceutical, Food, and Industrial Applications. Adv. Chem. Ser. 1982, 200, 395–497. [Google Scholar] [CrossRef]
- Li, Y.; Schellhorn, H.E. The Journal of Nutrition Critical Review New Developments and Novel Therapeutic Perspectives for Vitamin C. J. Nutr. 2007, 137, 2171–2184. [Google Scholar] [CrossRef]
- Hodges, R.E.; Hood, J.; Canham, J.E.; Sauberlich, H.E.; Baker, E.M. Clinical manifestations of ascorbic acid deficiency in man. Am. J. Clin. Nutr. 1971, 24, 432–443. [Google Scholar] [CrossRef]
- Akmal, M.; Qadri, J.Q.; Al-Waili, N.S.; Thangal, S.; Haq, A.; Saloom, K.Y. Improvement in human semen quality after oral supplementation of vitamin C. J. Med. Food 2006, 9, 440–442. [Google Scholar] [CrossRef]
- Kocot, J.; Luchowska-Kocot, D.; Kiełczykowska, M.; Musik, I.; Kurzepa, J. Does Vitamin C Influence Neurodegenerative Diseases and Psychiatric Disorders? Nutrients 2017, 9, 659. [Google Scholar] [CrossRef]
- Caritá, A.C.; Fonseca-Santos, B.; Shultz, J.D.; Michniak-Kohn, B.; Chorilli, M.; Leonardi, G.R. Vitamin C: One compound, several uses. Advances for delivery, efficiency and stability. Nanomed. Nanotechnol. Biol. Med. 2020, 24, 102–117. [Google Scholar] [CrossRef]
- Ravetti, S.; Clemente, C.; Brignone, S.; Hergert, L.; Allemandi, D.; Palma, S. Ascorbic acid in skin health. Cosmetics 2019, 6, 58. [Google Scholar] [CrossRef]
- Lin, S.H.; Agalloco, J. Degradation kinetics of ascorbic acid. Process. Biochem. 1979, 14, 22–24. [Google Scholar]
- Torregrosa, F.; Esteve, M.J.; Frígola, A.; Cortés, C. Ascorbic acid stability during refrigerated storage of orange–carrot juice treated by high pulsed electric field and comparison with pasteurized juice. J. Food Eng. 2006, 73, 339–345. [Google Scholar] [CrossRef]
- Berlinet, C.; Brat, P.; Brillouet, J.-M.; Ducruet, V. Ascorbic acid, aroma compounds, and browning of orange juices related to PET packaging materials and pH. J. Sci. Food Agric. 2006, 86, 2206–2212. [Google Scholar] [CrossRef]
- Mercali, G.D.; Jaeschke, D.P.; Tessaro, I.C.; Marczak, L.D.F. Study of vitamin C degradation in acerola pulp during ohmic and conventional heat treatment. Food Sci. Biotechnol. 2012, 47, 91–95. [Google Scholar] [CrossRef]
- Hsu, H.Y.; Tsai, Y.C.; Fu, C.C.; Wu, J.S.B. Degradation of ascorbic acid in ethanolic solutions. J. Agric. Food Chem. 2012, 60, 10696–10701. [Google Scholar] [CrossRef]
- Mercali, G.D.; Schwartz, S.; Marczak, L.D.F.; Tessaro, I.C.; Sastry, S. Effect of the electric field frequency on ascorbic acid degradation during thermal treatment by ohmic heating. J. Agric. Food Chem. 2014, 62, 5865–5870. [Google Scholar] [CrossRef]
- Soares, N.F.F.; Hotchkiss, J.H. Comparative effects of De-aeration and package permeability on ascorbic acid loss in refrigerated orange juice. Packag. Technol. Sci. 1999, 12, 111–118. [Google Scholar] [CrossRef]
- Bosch, V.; Cilla, A.; García-Llatas, G.; Gilabert, V.; Boix, R.; Alegría, A. Kinetics of ascorbic acid degradation in fruit-based infant foods during storage. J. Food Eng. 2013, 116, 298–303. [Google Scholar] [CrossRef]
- Mousavi, S.; Bereswill, S.; Heimesaat, M.M. Immunomodulatory and antimicrobial effects of vitamin C. Eur. J. Microbiol. Immunol. 2019, 9, 73–79. [Google Scholar] [CrossRef]
- Hiedra, R.; Lo, K.B.; Elbashabsheh, M.; Gul, F.; Wright, R.M.; Albano, J.; Azmaiparashvili, Z.; Apontec, G.P. The use of IV vitamin C for patients with COVID-19: A case series. Expert Rev. Anti Infect. Ther. 2020, 18, 1259–1261. [Google Scholar] [CrossRef]
- Gao, D.; Xu, M.; Wang, G.; Lv, J.; Ma, X.; Guo, Y.; Zhang, D.; Yang, H.; Jiang, W.; Deng, F.; et al. The efficiency and safety of high-dose vitamin C in patients with COVID-19: A retrospective cohort study. Aging 2021, 13, 7020–7034. [Google Scholar] [CrossRef]
- Sugisawa, T.; Miyazaki, T.; Hoshino, T. Microbial production of l-ascorbic acid from d-sorbitol, l-sorbose, l-gulose, and l-sorbosone by Ketogulonicigenium vulgare DSM 4025. Biosci. Biotechnol. Biochem. 2005, 69, 659–662. [Google Scholar] [CrossRef][Green Version]
- Kuivanen, J.; Penttilä, M.; Richard, P. Metabolic engineering of the fungal d-galacturonate pathway for l-ascorbic acid production. Microb. Cell Fact. 2015, 14, 2. [Google Scholar] [CrossRef]
- Gao, L.; Hu, Y.; Liu, J.; Du, G.; Zhou, J.; Chen, J. Stepwise metabolic engineering of Gluconobacter oxydans WSH-003 for the direct production of 2-keto-l-gulonic acid from d-sorbitol. Metab. Eng. 2014, 24, 30–37. [Google Scholar] [CrossRef]
- Chen, S.; Jia, N.; Ding, M.Z.; Yuan, Y.J. Comparative analysis of l-sorbose dehydrogenase by docking strategy for 2-keto-l-gulonic acid production in Ketogulonicigenium vulgare and Bacillus endophyticus consortium. J. Ind. Microbiol. Biotechnol. 2016, 43, 1507–1516. [Google Scholar] [CrossRef]
- Nassif, L.A. The Production of 2-Keto-l-Gulonic Acid by Different Gluconobacter Strains. Master’s Thesis, Virginia Polytechnic Institute and State University, Blacksburg, VA, USA, 1997. [Google Scholar]
- Yang, Y.; Gao, M.; Yu, X.; Zhang, Y.; Lyu, S. Optimization of medium composition for two-step fermentation of vitamin C based on artificial neural network–genetic algorithm techniques. Biotechnol. Biotec. Equip. 2015, 29, 1128–1134. [Google Scholar] [CrossRef]
- Lyu, S.; Guo, Z.; Pan, J.; Yang, Y.; Yang, W.; Chen, H.; Zhang, Z. Effect of rare earth elements on vitamin C fermentation by mixed cultures. Int. J. Agric. Biol. 2014, 16, 1135–1140. [Google Scholar]
- Takagi, Y.; Sugisawa, T.; Hoshino, T. Continuous 2-Keto-l-gulonic acid fermentation by mixed culture of Ketogulonicigenium vulgare DSM 4025 and Bacillus megaterium or Xanthomonas maltophilia. Appl. Microbiol. Biotechnol. 2010, 86, 469–480. [Google Scholar] [CrossRef]
- Yang, W.; Han, L.; Mandlaa, M.; Zhang, H.; Zhang, Z.; Xu, H. A plate method for rapid screening of Ketogulonicigenium vulgare mutants for enhanced 2-keto-l-gulonic acid production. Braz. J. Microbiol. 2017, 48, 397–402. [Google Scholar] [CrossRef]
- Hancock, R.D.; Viola, R. The use of micro-organisms for l-ascorbic acid production: Current status and future perspectives. Appl. Microbiol. Biotechnol. 2001, 56, 567–576. [Google Scholar] [CrossRef]
- Zou, W.; Liu, L.; Chen, J. Structure, mechanism and regulation of an artificial microbial ecosystem for vitamin C production. Crit. Rev. Microbiol. 2013, 39, 247–255. [Google Scholar] [CrossRef]
- Lim, S.M.; Lau, M.S.L.; Tiong, E.I.J.; Goon, M.M.; Lau, R.J.C.; Yeo, W.S.; Lau, S.Y.; Mubarak, N.M. Process design and economic studies of two-step fermentation for production of ascorbic acid. SN Appl. Sci. 2020, 2, 816. [Google Scholar] [CrossRef]
- Boudrant, J. Microbial processes for ascorbic acid biosynthesis: A review. Enzym. Microb. Technol. 1990, 12, 322–329. [Google Scholar] [CrossRef]
- Survase, S.A.; Bajaj, I.B.; Singhal, R.S. Biotechnological Production of Vitamins. Food Technol. Biotechnol. 2006, 44, 381–396. [Google Scholar]
- Yang, W.; Xu, H. Industrial Fermentation of Vitamin C. In Industrial Biotechnology of Vitamins, Biopigments, and Antioxidants; Vandamme, E.J., Revuelta, J.L., Eds.; Wiley: Weinheim, Germany, 2016; pp. 161–192. [Google Scholar] [CrossRef]
- Sugisawa, T.; Ojima, S.; Hoshino, T.; Matzinger, P.K. Isolation and Characterization of a New Vitamin C Producing Enzyme (l-Gulono-γ-lactone Dehydrogenase) of Bacterial Origin. Biosci. Biotechnol. Biochem. 1995, 59, 190–196. [Google Scholar] [CrossRef][Green Version]
- Kaswurm, V.; van Hecke, W.; Kulbe, K.D.; Ludwig, R. Engineering of a bi-enzymatic reaction for efficient production of the ascorbic acid precursor 2-keto-l-gulonic acid. Biochem. Eng. J. 2013, 79, 104–111. [Google Scholar] [CrossRef]
- Zhang, J.; Liu, J.; Shi, Z.; Liu, L.; Chen, J. Manipulation of B. megaterium growth for efficient 2-KLG production by K. vulgare. Process Biochem. 2010, 45, 602–606. [Google Scholar] [CrossRef]
- Sauer, M.; Branduardi, P.; Valli, M.; Porro, D. Production of l-ascorbic acid by metabolically engineered Saccharomyces cerevisiae and Zygosaccharomyces bailii. Appl. Environ. Microbiol. 2004, 70, 6086–6091. [Google Scholar] [CrossRef]
- Zhou, M.; Bi, Y.; Ding, M.; Yuan, Y. One-Step Biosynthesis of Vitamin C in Saccharomyces cerevisiae. Front. Microbiol. 2021, 12, 643472. [Google Scholar] [CrossRef]
- Running, J.A.; Huss, R.J.; Olson, P.T. Heterotrophic production of ascorbic acid by microalgae. J. Appl. Phycol. 1994, 6, 99–104. [Google Scholar] [CrossRef]
- Running, J.A.; Severson, D.K.; Schneider, K.J. Extracellular production of l-ascorbic acid by Chlorella protothecoides, Prototheca species, and mutants of P. moriformis during aerobic culturing at low pH. J. Ind. Microbiol. Biotechnol. 2002, 29, 93–98. [Google Scholar] [CrossRef]
- Ma, Q.; Bi, Y.H.; Wang, E.X.; Zhai, B.B.; Dong, X.T.; Qiao, B. Integrated proteomic and metabolomic analysis of a reconstructed three species microbial consortium for one-step fermentation of 2-keto-l-gulonicacid, the precursor of vitamin C. J. Ind. Microbiol. Biotechnol. 2019, 46, 21–31. [Google Scholar] [CrossRef]
- Rosa, J.C.C.; Colombo, L.T.; Alvim, M.C.T.; Avonce, N.; van Dijck, P.; Passos, F.M.L. Metabolic engineering of Kluyveromyces lactis for l-ascorbic acid (vitamin C) biosynthesis. Microb. Cell Fact. 2013, 12, 59. [Google Scholar] [CrossRef]
- Banjo, T.; Kareem, S.; Popoola, T.; Akinloye, O. Microbial Production of Ascorbic Acid from Brewery Spent Grain (BSG) by Aspergillus flavus and Aspergillus tamarii. Food Appl. Biosci. J. 2018, 6, 93–105. [Google Scholar] [CrossRef]
- Banjo, T.; Kareem, S.; Akinduti, P.; Popoola, T.; Akinloye, O. Optimization and production of ascorbic acid by fusant cell of Aspergillus flavus and Aspergillus tamarii. J. King Saud Univ. Sci. 2019, 31, 931–936. [Google Scholar] [CrossRef]
- Blaga, A.C.; Malutan, T. Selective separation of vitamin C by reactive extraction. J. Chem. Eng. Data 2012, 57, 431–435. [Google Scholar] [CrossRef]
- Poletto, P.; Álvarez-Rivera, G.; López, G.D.; Borges, O.M.A.; Mendiola, J.A.; Ibáñez, E.; Cifuentes, A. Recovery of ascorbic acid, phenolic compounds and carotenoids from acerola by-products: An opportunity for their valorization. LWT 2021, 146, 111654. [Google Scholar] [CrossRef]
- Yin, X.; Chen, K.; Cheng, H.; Chen, X.; Feng, S.; Song, Y.; Liang, L. Chemical Stability of Ascorbic Acid Integrated into Commercial Products: A Review on Bioactivity and Delivery Technology. Antioxidants 2022, 11, 153. [Google Scholar] [CrossRef] [PubMed]
- Kumar, P.S.; Joshiba, G.J. Separation and Purification of Vitamins: Vitamins B1, B2, B6, C and K1. In Applications of Ion Exchange Materials in Biomedical Industries; Springer International Publishing: Cham, Switzerland, 2019; pp. 177–187. [Google Scholar] [CrossRef]
- Ghislain De Troostembergh, J.-C.M.-P.; Debonne, A.I.; Obyn, W.R.; Gwenaëlle, C.; Peuzet, M. Process for the Manufacture of 2-Keto-l-Gulonic Acid. WIPO Patent WO 2003 016508 A2, 23 February 2003. [Google Scholar]
- Kumar, S.; Pandey, S.; Wasewar, K.L.; Ak, N.; Uslu, H. Reactive Extraction as an Intensifying Approach for the Recovery of Organic Acids from Aqueous Solution: A Comprehensive Review on Experimental and Theoretical Studies. J. Chem. Eng. Data 2021, 66, 1557–1573. [Google Scholar] [CrossRef]
Publisher’s Note: MDPI stays neutral with regard to jurisdictional claims in published maps and institutional affiliations. |
© 2022 by the authors. Licensee MDPI, Basel, Switzerland. This article is an open access article distributed under the terms and conditions of the Creative Commons Attribution (CC BY) license (https://creativecommons.org/licenses/by/4.0/).







