Effect of a Radially Offset Impeller on the Unsteady Characteristics of Internal Flow in a Double-Suction Centrifugal Fan
Abstract
:1. Introduction
2. Numerical Setup
2.1. Fan Model
2.2. Numerical Methods
2.2.1. Governing Equations and Turbulence Models
2.2.2. Numerical Methods
2.3. Grid Sensitivity Study
3. Results and Discussion
3.1. Aerodynamic Performances of the Fan
3.2. Flow in the Impeller
3.2.1. Vortical Structures in Volutes and Impellers
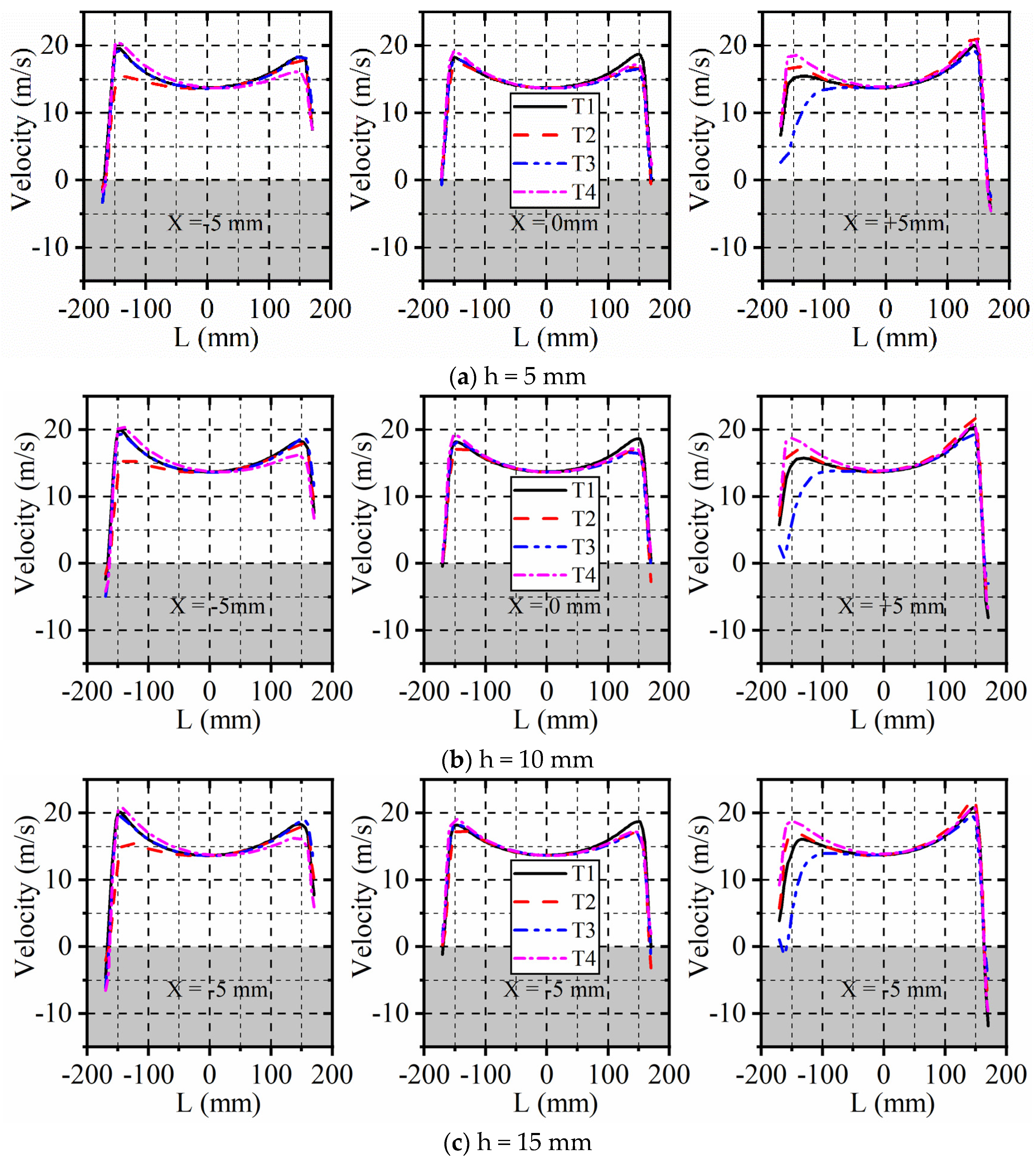
3.2.2. Flow Patterns at the Inlet of Impeller
3.2.3. Characteristics of Unsteady Flow Inside the Impeller
3.2.4. Flow Patterns on the Blade Surface
3.3. Flow in the Volute
3.3.1. Flow Patterns within the Volute
3.3.2. Pressure Fluctuation Inside the Volute
3.3.3. Boundary Layer Flow on the Volute Surface
3.4. Unsteady Flow around the Baffle
3.4.1. Static Pressure Distribution of Inside Baffles
3.4.2. Pressure Fluctuations of the Inside Baffle
3.4.3. Flow Outside of the Volute
4. Conclusions
- (1)
- The minor offset of the impeller lowers the efficiency of the fan to varying degrees. The static pressure efficiency of the fan with an offset impeller of X = −5 mm and X = +5 mm is reduced by 4.04% and 3.75%, respectively.
- (2)
- The gap between the shroud of the impeller and the collector is changed by the offset impeller, causing uneven distributions of pressure and axial velocity at the inlet of the impeller, and reversed flow occurs in the gap region.
- (3)
- The pressure fluctuation in the impeller and volute is enhanced by the offset impeller. The offset in the positive X-direction is beneficial for increasing the diffusing effect of the volute, while the offset in the negative X-direction has the opposite effect.
- (4)
- For the X = −5 mm model, the fluid reverses near the baffle due to the large volute openness, causing increased pressure fluctuation near the baffle. The limiting streamline on the pressure surface of the blades near the baffle is curved, and the area of reversed flow at the trailing edge of the suction surface is large, which lowers the efficiency of the fan.
- (5)
- For the X = +5 mm model, the velocity of flow around the baffle increases and inhibits the generation of a local recirculating flow. However, the offset impeller reduces the flow angle at the inlet of the impeller, resulting in the generation of a large number of recirculating vortices on the pressure surface of the blade, and the blockage in the blade passages is responsible for the decreased efficiency.
Author Contributions
Funding
Conflicts of Interest
References
- Wang, Y.; Dong, Q.; Zhang, Y. Meridional shape design and the internal flow investigation of centrifugal impeller. Proc. Inst. Mech. Eng. Part C J. Mech. Eng. Sci. 2016, 231, 4319–4330. [Google Scholar] [CrossRef]
- Li, C.X.; Wang, S.L.; Jia, Y.K. The performance of a centrifugal fan with enlarged impeller. Energy Convers. Manag. 2011, 52, 2902–2910. [Google Scholar] [CrossRef]
- Younsi, M.; Bakir, F.; Kouidri, S.; Rey, R. Influence of Impeller Geometry on the Unsteady Flow in a Centrifugal Fan: Numerical and Experimental Analyses. Int. J. Rotating Mach. 2007, 2007, 034901. [Google Scholar] [CrossRef]
- Ding, H.C.; Chang, T.; Lin, F.Y. The influence of the blade outlet angle on the flow field and pressure pulsation in a centrifugal fan. Processes 2020, 8, 1422. [Google Scholar] [CrossRef]
- Song, Y.; Fan, H.G.; Zhang, W.; Xie, Z.F. Flow characteristics in volute of a double-suction centrifugal pump with different impeller arrangements. Energies 2019, 12, 669. [Google Scholar] [CrossRef]
- Liu, X.M.; Dang, Q.; Xi, G. Performance improvement of centrifugal fan by using CFD. Eng. Appl. Comput. Fluid Mech. 2014, 2, 130–140. [Google Scholar] [CrossRef]
- Jiang, B.; Wang, J.; Yang, X.; Wang, W.; Ding, Y. Tonal noise reduction by unevenly spaced blades in a forward-curved-blades centrifugal fan. Appl. Acoust. 2019, 146, 172–183. [Google Scholar] [CrossRef]
- Madhwesh, N.; Vasudeva Karanth, K.; Yagnesh Sharma, N. Effect of innovative circular shroud fences on a centrifugal fan for augmented performance—A numerical analysis. J. Mech. Sci. Technol. 2018, 32, 185–197. [Google Scholar] [CrossRef]
- Ye, J.J.; Liu, W.W.; Duan, P.; Huang, X.Y.; Shao, J.D.; Zhang, Y. Investigation of the performance and flow behaviors of the multi-blade centrifugal fan based on the computer simulation technology. Wirel. Pers. Commun. 2018, 103, 563–574. [Google Scholar] [CrossRef]
- Velarde-Sua´rez, S.; Ballesteros-Tajadura, R.; Santolaria-Morros, C.; Gonza´lez-Pe´rez, J. Unsteady flow pattern characteristics downstream of a forward-curved blades centrifugal fan. J. Fluids Eng. 2001, 123, 265–270. [Google Scholar] [CrossRef]
- Lee, Y.T. Impact of fan gap flow on the centrifugal impeller aerodynamics. J. Fluids Eng. 2010, 132, 91103. [Google Scholar] [CrossRef]
- Myung, H.J.; Baek, J.H. Mean velocity characteristics behind a forward-swept axial-flow fan. JSME Int. J. Ser. B 1999, 42, 476–488. [Google Scholar] [CrossRef]
- Zhu, G.J.; Bo, X.Y.; Feng, J.J.; Wu, G.K. Effect of clearance jet on aerodynamic performance of centrifugal fan. IOP Conf. Ser. Mater. Sci. Eng. 2019, 657, 012003. [Google Scholar] [CrossRef]
- Fukutomi, J.; Kuwauchi, T.; Itabashi, A.; Nakase, Y.; Kuwada, T. A Study of Sirocco Fan with Eccentric Inlet Nozzle. Trans. Jpn. Soc. Mech. Eng. Ser. B 1999, 65, 2023–2029. [Google Scholar] [CrossRef]
- Liu, H.; Jiang, B.Y.; Wang, J.; Yang, X.P.; Xiao, Q.H. Numerical and experimental investigations on non-axisymmetric D-type inlet nozzle for a squirrel-cage fan. Eng. Appl. Comput. Fluid Mech. 2021, 15, 363–376. [Google Scholar] [CrossRef]
- Zhou, S.Q.; Wang, M.; Li, Z.Y.; Zhang, S.C. Influence of volute retrofit design on performance of multi-blade centrifugal fan. Trans. Chin. Soc. Agric. Mach. 2018, 49, 180–186. [Google Scholar] [CrossRef]
- Pan, D.; Whitfield, A.; Wilson, M. Design considerations for the volutes of centrifugal fans and compressors. Proc. Inst. Mech. Eng. Part C J. Mech. Eng. Sci. 2016, 213, 401–410. [Google Scholar] [CrossRef]
- Yang, X.; Chen, W.M.; Yuan, M.J.; Wen, X.F.; He, M.J. Experimental study on the effect of relative impeller-to-volute position on the performance of multi-blade centrifugal fan. Fluid Mach. 2011, 39, 1–5. [Google Scholar] [CrossRef]
- Wang, Z.; Xi, G.; Liu, Q. Aerodynamic effects of impeller-diffuser axial misalignment in low-flow-coefficient centrifugal compressor. Sci. China Technol. Sci. 2014, 58, 29–36. [Google Scholar] [CrossRef]
- Baun, D.O.; Köstner, L.; Flack, R.D. Effect of relative impeller-to-volute position on hydraulic efficiency and static radial force distribution in a circular volute centrifugal pump. J. Fluids Eng. 2000, 122, 598–605. [Google Scholar] [CrossRef]
- Younsi, M.; Bakir, F.; Kouidri, S.; Rey, R. Numerical and experimental study of unsteady flow in a centrifugal fan. Proc. Inst. Mech. Eng. Part A J. Power Energy 2007, 221, 1025–1036. [Google Scholar] [CrossRef]
- Ding, J.; Du, X.; Zhang, L.X. Investigation of the effect of volute openness on aerodynamic characteristics of a centrifugal fan. Compress. Blower Fan Technol. 2012, 5, 22–26. [Google Scholar] [CrossRef]
- Li, Z.H.; Ye, X.X.; Wei, Y.K. Investigation on vortex characteristics of a Multi-Blade centrifugal fan near volute outlet region. Processes 2020, 8, 1240. [Google Scholar] [CrossRef]
- Zhang, J.H.; Chu, W.L.; Zhang, H.G.; Wu, Y.H.; Dong, X.J. Numerical and experimental investigations of the unsteady aerodynamics and aero-acoustics characteristics of a backward curved blade centrifugal fan. Appl. Acoust. 2016, 110, 256–267. [Google Scholar] [CrossRef]
- Wu, L.M.; Liu, X.M.; Wang, M.H. Effects of Bionic Volute Tongue on Aerodynamic Performance and Noise Characteristics of Centrifugal Fan Used in the Air-conditioner. J. Bionic Eng. 2020, 17, 780–792. [Google Scholar] [CrossRef]
- Dong, R.; Chu, S.; Katz, J. Effect of modification to tongue and impeller geometry on unsteady flow, pressure fluctuations, and noise in a centrifugal pump. J. Turbomach. 1997, 119, 506–515. [Google Scholar] [CrossRef]
- González, J.; Parrondo, J.; Santolaria, C.; Blanco, E. Steady and unsteady radial forces for a centrifugal pump with impeller to tongue gap variation. J. Fluids Eng. 2006, 128, 454–462. [Google Scholar] [CrossRef]
- Lv, Y.K.; Zhang, B.; Cheng, B. The optimal research on impeller central location of centrifugal fan. Appl. Mech. Mater. 2014, 668, 729–732. [Google Scholar] [CrossRef]
- Patil, S.R.; Chavan, S.T.; Jadhav, N.S.; Vadgeri, S.S. Effect of volute tongue clearance variation on performance of centrifugal blower by numerical and experimental analysis. Mater. Today Proc. 2018, 5, 3883–3894. [Google Scholar] [CrossRef]
- Jin, J.M.; Jung, K.J.; Kim, Y.H.; Kim, Y.J. Effects of gap between impeller and volute tongue on a pressure fluctuation in double-suction pump. J. Mech. Sci. Technol. 2020, 34, 4897–4903. [Google Scholar] [CrossRef]
- Menter, F.R.; Kuntz, M.; Langtry, R. Ten years of industrial experience with the SST turbulence model. Turbul. Heat Mass Transf. 2003, 4, 625–632. Available online: https://www.researchgate.net/publication/228742295 (accessed on 16 July 2014).
- Menter, F.R. Influence of freestream values on k-omega turbulence model predictions. AIAA J. 1992, 30, 1657–1659. [Google Scholar] [CrossRef]
- Menter, F.R. Two-equation eddy-viscosity turbulence models for engineering applications. AIAA J. 1994, 32, 1598–1605. [Google Scholar] [CrossRef]


































| Parameters | Value |
|---|---|
| Flow rate, Qn (m3/h) | 9670 |
| Rotation speed of fan n, (rpm) | 1800 |
| Diameter of impeller inlet, d (mm) | 327 |
| Diameter of impeller outlet, D (mm) | 466 |
| Impeller height, L (mm) | 158 |
| Number of blades, Z | 24 |
| Sub-Domain | Number of Grids (×103) |
|---|---|
| Impeller | 4262 |
| Inflow | 1580 |
| Outflow | 2889 |
| Volute | 1588 |
| Total | 13,319 |
| Method | Model | Static Pressure Rise (Pa) | Static Pressure Efficiency (%) |
|---|---|---|---|
| URANS | X = −5 mm | 853.48 | 66.5 |
| URANS | X = 0 mm | 863.17 | 69.3 |
| URANS | X = +5 mm | 858.23 | 66.7 |
Publisher’s Note: MDPI stays neutral with regard to jurisdictional claims in published maps and institutional affiliations. |
© 2022 by the authors. Licensee MDPI, Basel, Switzerland. This article is an open access article distributed under the terms and conditions of the Creative Commons Attribution (CC BY) license (https://creativecommons.org/licenses/by/4.0/).
Share and Cite
Chen, Z.; Yang, H.; Wei, Y.; He, H.; Zhang, C.; Nie, T.; Yu, P.; Zhang, W. Effect of a Radially Offset Impeller on the Unsteady Characteristics of Internal Flow in a Double-Suction Centrifugal Fan. Processes 2022, 10, 1604. https://doi.org/10.3390/pr10081604
Chen Z, Yang H, Wei Y, He H, Zhang C, Nie T, Yu P, Zhang W. Effect of a Radially Offset Impeller on the Unsteady Characteristics of Internal Flow in a Double-Suction Centrifugal Fan. Processes. 2022; 10(8):1604. https://doi.org/10.3390/pr10081604
Chicago/Turabian StyleChen, Zhiyun, Hui Yang, Yikun Wei, Haijiang He, Chenyu Zhang, Tiehua Nie, Peiquan Yu, and Wei Zhang. 2022. "Effect of a Radially Offset Impeller on the Unsteady Characteristics of Internal Flow in a Double-Suction Centrifugal Fan" Processes 10, no. 8: 1604. https://doi.org/10.3390/pr10081604
APA StyleChen, Z., Yang, H., Wei, Y., He, H., Zhang, C., Nie, T., Yu, P., & Zhang, W. (2022). Effect of a Radially Offset Impeller on the Unsteady Characteristics of Internal Flow in a Double-Suction Centrifugal Fan. Processes, 10(8), 1604. https://doi.org/10.3390/pr10081604

