Impact of Hydrogen Liquefaction on Hydrogen Fuel Quality for Transport Applications (ISO-14687:2019)
Abstract
:1. Introduction
2. Materials and Methods
2.1. Liquified Hydrogen Production Method
2.2. Sampling Methodology
2.3. Analytical Methods
2.4. Impurity Likelihood Assessment Methodology
3. Results and Discussion
3.1. Likelihood of Contaminants from Liquid Hydrogen
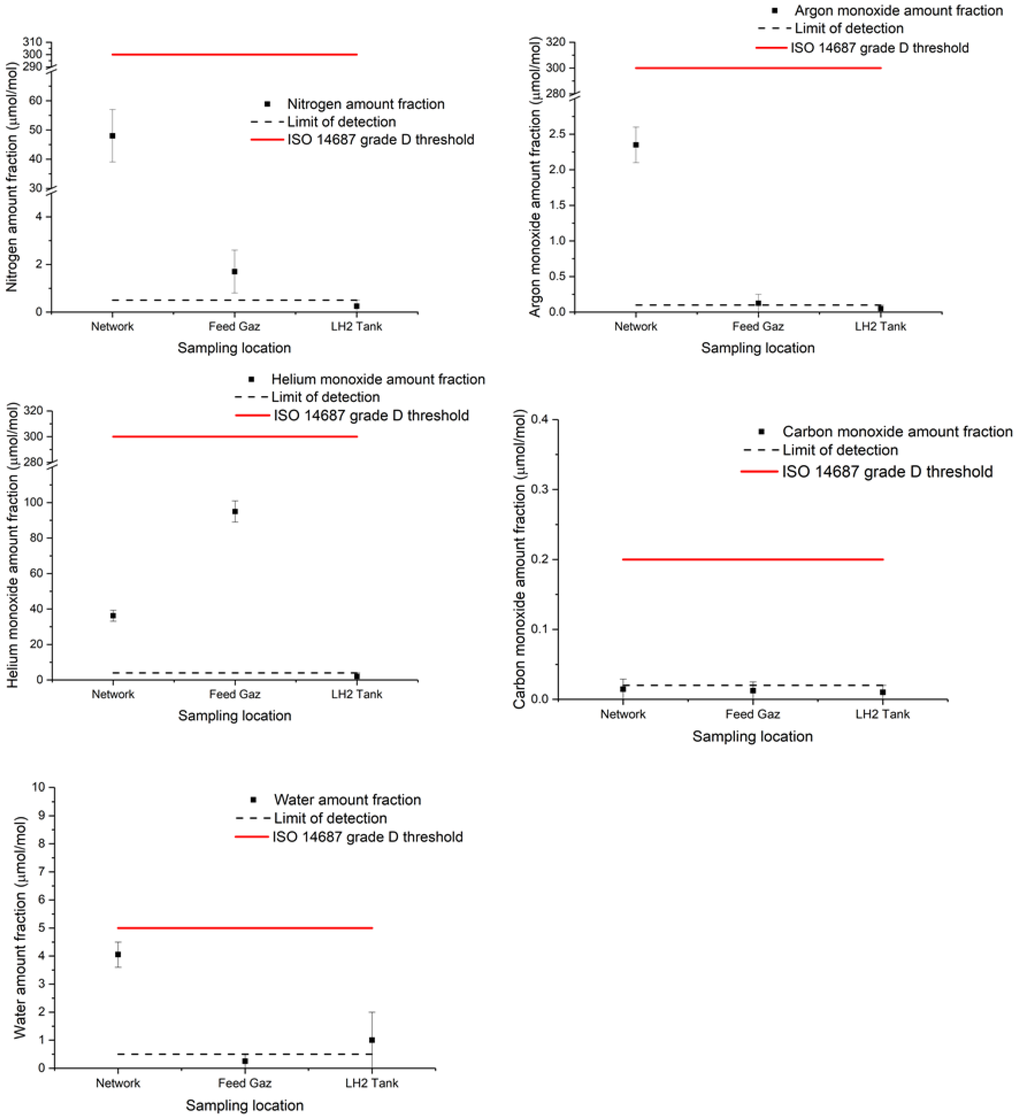
3.2. Hydrogen Quality
3.3. Likelihood of Contaminant Presence in Correlation with Measurement Results
3.4. Water Amount Fraction Measurement Challenge
4. Conclusions
Supplementary Materials
Author Contributions
Funding
Institutional Review Board Statement
Informed Consent Statement
Data Availability Statement
Acknowledgments
Conflicts of Interest
Nomenclature
References
- International Energy Agency (IEA). Global CO2 Emissions in 2019. Available online: https://www.iea.org/data-and-statistics/data-browser?country=WORLD&fuel=CO2emissions&indicator=CO2BySector (accessed on 1 April 2022).
- Aziz, M. Liquid Hydrogen: A Review on Liquefaction, Storage, Transportation, and Safety. Energies 2021, 14, 5917. [Google Scholar] [CrossRef]
- United Nations Report of the Conference of the Parties on Its Twenty-First Session, Held in Paris from 30 November to 13 December 2015. Available online: https://cop23.unfccc.int/resource/docs/2015/cop21/eng/10a01.pdf (accessed on 26 January 2022).
- United Nations Climate Change. Conference of parties 26 COP26—The Glasgow Climate Pact. Available online: https://ukcop26.org/wp-content/uploads/2021/11/COP26-Presidency-Outcomes-The-Climate-Pact.pdf (accessed on 28 March 2022).
- Antonelli, M.; Barsali, S.; Desideri, U.; Giglioli, R.; Paganucci, F.; Pasini, G. Liquid air energy storage: Potential and challenges of hybrid power plants. Appl. Energy 2017, 194, 522–529. [Google Scholar] [CrossRef]
- Kharel, S.; Shabani, B. Hydrogen as a Long-Term Large-Scale Energy Storage Solution to Support Renewables. Energies 2018, 11, 2825. [Google Scholar] [CrossRef]
- Sakintuna, B.; Lamari-Darkrim, F.; Hirscher, M. Metal hydride materials for solid hydrogen storage: A review. Int. J. Hydrogen Energy 2007, 32, 1121–1140. [Google Scholar] [CrossRef]
- He, T.; Cao, H.; Chen, P. Complex Hydrides for Energy Storage, Conversion, and Utilization. Adv. Mater. 2019, 31, 1902757. [Google Scholar] [CrossRef] [PubMed]
- Aakko-Saksa, P.T.; Cook, C.; Kiviaho, J.; Repo, T. Liquid organic hydrogen carriers for transportation and storing of renewable energy–Review and discussion. J. Power Sour. 2018, 396, 803–823. [Google Scholar] [CrossRef]
- Rao, P.C.; Yoon, M. Potential Liquid-Organic Hydrogen Carrier (LOHC) Systems: A Review on Recent Progress. Energies 2020, 13, 6040. [Google Scholar] [CrossRef]
- Aziz, M.; TriWijayanta, A.; Nandiyanto, A.B.D. Ammonia as Effective Hydrogen Storage: A Review on Production, Storage and Utilization. Energies 2020, 13, 3062. [Google Scholar] [CrossRef]
- Andersson, J.; Grönkvist, S. Large-scale storage of hydrogen. Int. J. Hydrogen Energy 2019, 44, 11901–11919. [Google Scholar] [CrossRef]
- Valenti, G. Hydrogen liquefaction and liquid hydrogen storage. Compend. Hydrogen Energy 2016, 2, 27–51. [Google Scholar] [CrossRef]
- Sun, Z.; Lu, X.; Nyahuma, F.M.; Yan, N.; Xiao, J.; Su, S.; Zhang, L. Enhancing Hydrogen Storage Properties of MgH2 by Transition Metals and Carbon Materials: A Brief Review. Front. Chem. 2020, 8, 552. [Google Scholar] [CrossRef] [PubMed]
- Suh, M.P.; Park, H.J.; Prasad, T.K.; Lim, D.W. Hydrogen Storage in Metal–Organic Frameworks. Chem. Rev. 2011, 112, 782–835. [Google Scholar] [CrossRef] [PubMed]
- Yanxing, Z.; Maoqiong, G.; Yuan, Z.; Xueqiang, D.; Jun, S. Thermodynamics analysis of hydrogen storage based on compressed gaseous hydrogen, liquid hydrogen and cryo-compressed hydrogen. Int. J. Hydrogen Energy 2019, 44, 16833–16840. [Google Scholar] [CrossRef]
- Park, Y.M. Literature research on the production, loading, flow, and heat transfer of slush hydrogen. Int. J. Hydrogen Energy 2010, 35, 12993–13003. [Google Scholar] [CrossRef]
- Gürsu, S.; Sheriff, S.A.; Vezirocǧlu, T.N.; Sheffield, J.W. Review of slush hydrogen production and utilization technologies. Int. J. Hydrogen Energy 1994, 19, 491–496. [Google Scholar] [CrossRef]
- Kurtz, J.; Sprik, S.; Bradley, T.H. Review of transportation hydrogen infrastructure performance and reliability. Int. J. Hydrogen Energy 2019, 44, 12010–12023. [Google Scholar] [CrossRef]
- Wijayanta, A.T.; Oda, T.; Purnomo, C.W.; Kashiwagi, T.; Aziz, M. Liquid hydrogen, methylcyclohexane, and ammonia as potential hydrogen storage: Comparison review. Int. J. Hydrogen Energy 2019, 44, 15026–15044. [Google Scholar] [CrossRef]
- Brickwedde, F.G.; Scott, R.B.; Taylor, H.S. The Difference in Vapor Pressures of Ortho and Para Deuterium. J. Chem. Phys. 2004, 3, 653. [Google Scholar] [CrossRef]
- Giauque, W.F.; Johnston, H.L. Symmetrical and antisymmetrical hydrogen and the third law of thermodynamics. thermal equilibrium and the triple point pressure. J. Am. Chem. Soc. 2002, 50, 3221–3228. [Google Scholar] [CrossRef]
- ISO 14687:2019; Hydrogen Fuel Quality—Product Specification. International Organization for Standardization: Vernier, Geneva, 2019.
- Bacquart, T.; Arrhenius, K.; Persijn, S.; Rojo, A.; Auprêtre, M.; Carré, F.; Gozlan, B.; Moore, N.; Morris, A.; Fischer, A.; et al. Hydrogen fuel quality from two main production processes: Steam methane reforming and proton exchange membrane water electrolysis. J. Power Sour. 2019, 444, 227170. [Google Scholar] [CrossRef]
- BS EN 17124:2022; Hydrogen Fuel—Product Specification and Quality Assurance for Hydrogen Refuelling Points Dispensing Gaseous Hydrogen—Proton Exchange Membrane (PEM) Fuel Cell Applications for Vehicles. British Standards Institution: London, UK, 2022.
- Aarhaug, T.A.; Kjos, O.; Bacquart, T.; Valter, V.; Optenhostert, T. Assessment of hydrogen quality dispensed for hydrogen refuelling stations in Europe. Int. J. Hydrogen Energy 2021, 46, 29501–29511. [Google Scholar] [CrossRef]
- Smith, I.M.; Onakunle, F.O. SSfM-3 1.6.1—XLGENLINE, Software for Generalised Least-Squares Fitting; Developed by the (NPL), NPL Document Reference: CMSC/M/06/657 2007; National Physical Laboratory: Teddington, UK, 2007. [Google Scholar]



| Compound | ISO-14687:2019 [23] Amount Fraction (µmol mol−1) |
|---|---|
| Nitrogen | 300 |
| Helium | 300 |
| Argon | 300 |
| Methane | 100 |
| Oxygen | 5 |
| Water | 5 |
| Non-methane hydrocarbons | 2 |
| Carbon dioxide | 2 |
| Carbon monoxide | 0.2 |
| Formic acid | 0.2 |
| Ammonia | 0.1 |
| Formaldehyde | 0.2 |
| Individual organo halogenated compounds | n.a. |
| Total halogenated compounds | 0.05 |
| Total sulphur compounds | 0.004 |
| n.a = Not applicable | |
| Occurrence Class | Class Name | Occurrence or Frequency |
|---|---|---|
| 0 | Very unlikely (Practically impossible) | Contaminant above threshold never been observed for this source/supply chain/station |
| 1 | Unlikely | Known to occur at least once for this source/supply chain/station |
| 2 | Possible | Has happened once a year for this source/supply chain/station |
| 3 | Likely | Has happened more than once a year for this source/supply chain/station |
| 4 | Very likely | Happens on a regular basis for this source/supply chain/station |
| Compounds | ISO 14687-2019 Threshold (µmol mol−1) | Probability of Occurrence from Network Gas Produced by Steam Methane Reforming [24] ** | Probability of Occurrence after Liquefaction |
|---|---|---|---|
| Water | 5 | Very unlikely (0) | Very unlikely (0) |
| Methane | 100 | Possible (2) | Very unlikely (0) * |
| Non-methane hydrocarbons | 2 | Very unlikely (0) | Very unlikely (0) |
| Oxygen | 5 | Very unlikely (0) | Very unlikely (0) |
| Helium | 300 | Unlikely (1) | Very unlikely (0) * |
| Nitrogen | 300 | Likely (3) | Very unlikely (0) * |
| Argon | 300 | Possible (2) | Very unlikely (0) * |
| Carbon dioxide | 2 | Very Unlikely (0) | Very unlikely (0) |
| Carbon monoxide | 0.2 | Very likely (4) | Very unlikely (0) * |
| Total sulphur compounds | 0.004 | Very unlikely (0) | Very unlikely (0) |
| Formaldehyde | 0.2 | Very unlikely (0) | Very unlikely (0) |
| Formic acid | 0.2 | Very unlikely (0) | Very unlikely (0) |
| Ammonia | 0.1 | Very unlikely (0) | Very unlikely (0) |
| Total halogenated | 0.05 | Very unlikely (0) | Very unlikely (0) |
| Compound | Sample 1 Network Measured Value (µmol mol−1) | Sample 2 Feed Gas Measured Value (µmol mol−1) | Sample 3 LH2 Tank Measured Value (µmol mol−1) | ISO-14687:2019 (µmol mol−1) |
|---|---|---|---|---|
| Nitrogen ** | 39–57 | 0.8–2.6 | <0.5 | 300 |
| Helium * | 33.1–39.3 | 89–101 | <4.0 | 300 |
| Argon ** | 2.1–2.6 | <0.10–0.25 | <0.10 | 300 |
| Methane ** | <0.005 | <0.005 | <0.005 | 100 |
| Oxygen ** | <0.20 | <0.20–0.30 | <0.20 | 5 |
| Water ** | 3.5–4.6 | <0.5 | <0.5–2.0 | 5 |
| Non-methane hydrocarbons ** | 0.033–0.035 | <0.020 | <0.020 | 2 |
| Carbon dioxide ** | 0.039–0.058 | <0.010–0.028 | <0.010–0.018 | 2 |
| Carbon monoxide ** | <0.020–0.029 | <0.020–0.030 | <0.020 | 0.2 |
| Formic acid * | <0.005 | <0.005 | <0.005 | 0.2 |
| Ammonia * | 0.017–0.045 | <0 030 | <0 030 | 0.1 |
| Formaldehyde * | <0.005 | <0.005 | <0.005 | 0.2 |
| Individual organo halogenated compounds * | <0.0030 | <0.0032 | <0.0036 | n.a. |
| Total halogenated compounds * | <0.032 | <0.034 | <0.038 | 0.05 |
| Total sulphur compounds * | <0.0010 | <0.0010 | <0.0010 | 0.004 |
Publisher’s Note: MDPI stays neutral with regard to jurisdictional claims in published maps and institutional affiliations. |
© 2022 by the authors. Licensee MDPI, Basel, Switzerland. This article is an open access article distributed under the terms and conditions of the Creative Commons Attribution (CC BY) license (https://creativecommons.org/licenses/by/4.0/).
Share and Cite
Hookham, M.J.F.; Le Gendre, E.; Coulpier, C.; Carré, M.; Morris, A.S.O.; Moore, N.; Hristova, Y.; Bacquart, T. Impact of Hydrogen Liquefaction on Hydrogen Fuel Quality for Transport Applications (ISO-14687:2019). Processes 2022, 10, 1697. https://doi.org/10.3390/pr10091697
Hookham MJF, Le Gendre E, Coulpier C, Carré M, Morris ASO, Moore N, Hristova Y, Bacquart T. Impact of Hydrogen Liquefaction on Hydrogen Fuel Quality for Transport Applications (ISO-14687:2019). Processes. 2022; 10(9):1697. https://doi.org/10.3390/pr10091697
Chicago/Turabian StyleHookham, Mathew J. F., Erwann Le Gendre, Cyril Coulpier, Martine Carré, Abigail S. O. Morris, Niamh Moore, Yoana Hristova, and Thomas Bacquart. 2022. "Impact of Hydrogen Liquefaction on Hydrogen Fuel Quality for Transport Applications (ISO-14687:2019)" Processes 10, no. 9: 1697. https://doi.org/10.3390/pr10091697
APA StyleHookham, M. J. F., Le Gendre, E., Coulpier, C., Carré, M., Morris, A. S. O., Moore, N., Hristova, Y., & Bacquart, T. (2022). Impact of Hydrogen Liquefaction on Hydrogen Fuel Quality for Transport Applications (ISO-14687:2019). Processes, 10(9), 1697. https://doi.org/10.3390/pr10091697

