Distributed Control of an Ill-Conditioned Non-Linear Process Using Control Relevant Excitation Signals
Abstract
:1. Introduction
2. Methodology
2.1. The Skogestad and Morari Distillation Column
2.2. Manipulated-Variable Controlled-Variable (MV-CV) Pairing
2.3. Identification Test Signals
2.4. PID Decoupling Control
2.4.1. PID with Lead-Lag Decoupling
2.4.2. Non-Dimensionally Tuned PID ()
- When there are no right half poles and right half zeros in the off-diagonal and diagonal elements of D, respectively:Then,This is identical to the lead-lag decoupling system outlined in (15).
- When there are no right half poles and no right half zeros in the diagonal and off-diagonal elements of , respectively:
2.4.3. Model Predictive Control (MPC)

2.5. Simulation Setup
2.6. Decentralised MPC
3. Results and Discussion
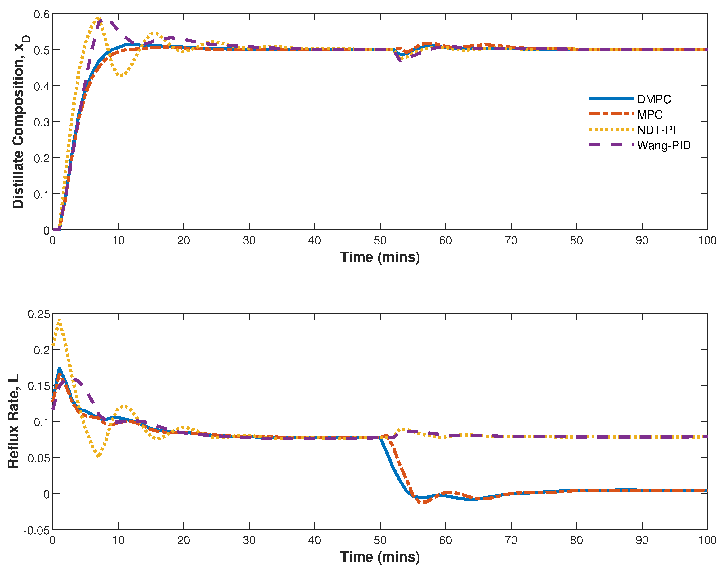
3.1. Case Study I: Wood and Berry Distilllation Column
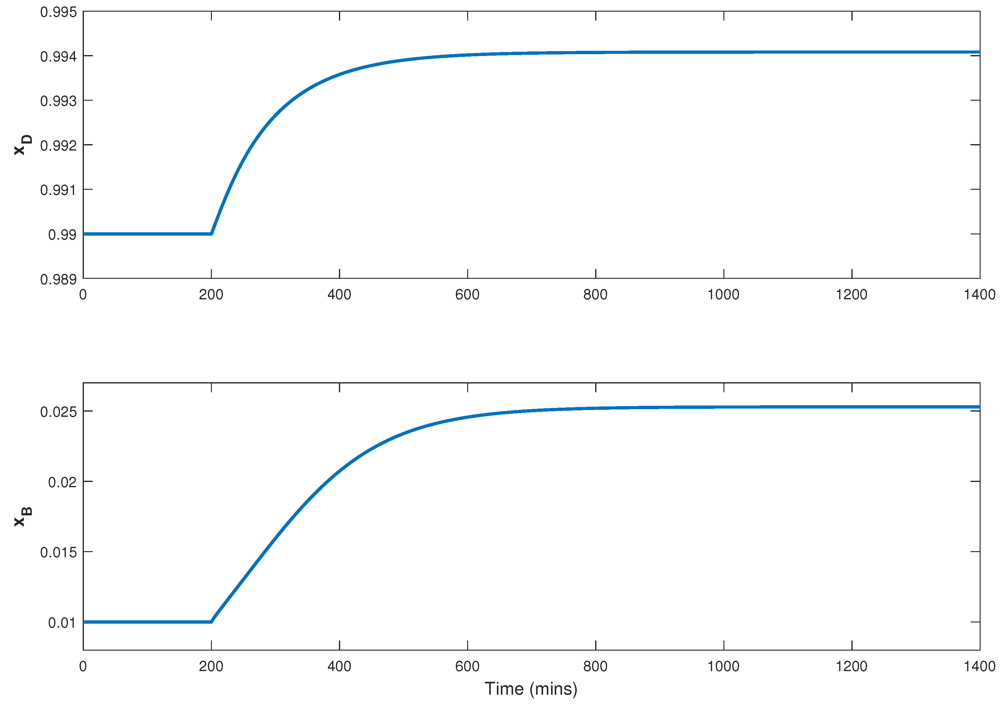
3.2. Case Study II: High-Purity Distillation Column
3.2.1. Identification Tests
- The use of uncorrelated signals.In this method, uncorrelated signals are used to stimulate the plant simultaneously. This is the conventional approach for normal plants. However, studies have suggested that these signals are unlikely to fully excite the process low-gain direction. To address this, two independent pseudo-random binary sequence (PRBS) signals were designed with caution to avoid overexciting the system into strong non-linearity, taking into account the process’s non-linearity and directional dynamics. The data collected from this test are displayed in Figure 12. As seen in Figure 13, the process high-gain direction was adequately stimulated while the low-gain direction was hardly excited.
- The use of partly correlated signals.To effectively excite both the high- and low-gain directions in a test signal, a two-period approach is employed. The two periods consist of a low-amplitude uncorrelated period and a high-amplitude identical signal period. During the high-amplitude period, the identical signals excite the low-gain direction, while during the low-amplitude period, the signals move the outputs in opposite directions (effectively moving them in the same direction) to nearly cancel out their effects on the high-gain direction. This approach ensures that both directions are adequately excited. Figure 14 shows the test signal, while Figure 15 shows the resulting output directions. The plot shows that despite using these signals, the low-gain direction was only slightly excited.
- The use of a combination of correlated signals and uncorrelated signalsIn this approach, two types of test signals are combined to excite the plant in both high- and low-gain directions. The first type consists of low-amplitude uncorrelated signals, while the second type consists of high-amplitude identical signals. By adding together these two signal types, the high-amplitude signals with the same time intervals can further stimulate the low-gain direction, surpassing the results obtained in previous discussed tests. Meanwhile, the low-amplitude uncorrelated signals excite the high-gain direction. The acquired test dataset and measurements of the plant’s output are depicted in Figure 16, while the output directions are plotted in Figure 17. The figure shows improved excitation of the low-gain direction over the other tests. Hence, the data from this test were used for system identification.
3.2.2. System Identification
3.2.3. Control Design
4. Conclusions
Funding
Data are contained within the article.
Acknowledgments
Conflicts of Interest
References
- Hung, N.T.; Ismail, I.; Saad, N.B.; Tufa, L.; Irfan, M. Design of optimal GBN sequences for identification of MIMO systems. In Proceedings of the 2015 10th Asian Control Conference (ASCC), Kota Kinabalu, Malaysia, 31 May–3 June 2015; pp. 1–6. [Google Scholar] [CrossRef]
- Ghosh, R.; Häggblom, K.E.; Böling, J.M. Control-relevant input excitation for system identification of ill-conditioned n × n systems with n > 2. IFAC Proc. Vol. 2014, 47, 9382–9387. [Google Scholar] [CrossRef]
- Yap, T.T.V.; Tan, A.H.; Tan, W.N. Comparison of perturbation signals for ill-conditioned systems and their effectiveness in model-based control. In Proceedings of the 2016 IEEE 12th International Colloquium on Signal Processing & Its Applications (CSPA), Melaka, Malaysia, 4–6 March 2016; pp. 151–156. [Google Scholar] [CrossRef]
- Zhu, Y.; Stec, P. Simple control-relevant identification test methods for a class of ill-conditioned processes. J. Process Control 2006, 16, 1113–1120. [Google Scholar] [CrossRef]
- Zhu, Y. Multivariable System Identification for Process Control [Electronic Resource], 1st ed.; Pergamon: Amsterdam, The Netherlands; New York, NY, USA, 2001. [Google Scholar]
- Zhu, Y. Multivariable process identification for mpc: The asymptotic method and its applications. J. Process Control 1998, 8, 101–115. [Google Scholar] [CrossRef]
- Darby, M.L.; Nikolaou, M. Identification test design for multivariable model-based control: An industrial perspective. Control Eng. Pract. 2014, 22, 165–180. [Google Scholar] [CrossRef]
- Micchi, A.; Pannocchia, G. Comparison of input signals in subspace identification of multivariable ill-conditioned systems. J. Process Control 2008, 18, 582–593. [Google Scholar] [CrossRef]
- Friman, M. Identification of Ill-Conditioned Systems Using Output Rotation. IFAC-PapersOnLine 2020, 53, 851–856. [Google Scholar] [CrossRef]
- Häggblom, K.E. Easy Ways to Design Inputs to obtain Uncorrelated Outputs in MIMO System Identification. IFAC-PapersOnLine 2018, 51, 227–232. [Google Scholar] [CrossRef]
- Borase, R.P.; Maghade, D.K.; Sondkar, S.Y.; Pawar, S.N. A review of PID control, tuning methods and applications. Int. J. Dyn. Control 2021, 9, 818–827. [Google Scholar] [CrossRef]
- Wang, Q.G.; Huang, B.; Guo, X. Auto-tuning of TITO decoupling controllers from step tests. ISA Trans. 2000, 39, 407–418. [Google Scholar] [CrossRef]
- Tavakoli, S.; Griffin, I.; Fleming, P.J. Tuning of decentralised PI (PID) controllers for TITO processes. Control Eng. Pract. 2006, 14, 1069–1080. [Google Scholar] [CrossRef]
- Lakshmanaprabu, S.; Elhoseny, M.; Shankar, K. Optimal tuning of decentralized fractional order PID controllers for TITO process using equivalent transfer function. Cogn. Syst. Res. 2019, 58, 292–303. [Google Scholar] [CrossRef]
- Aguiar, A.P.V.D.A.; Longhi, L.G.S.; Acioli Júnior, G.; Zani, A.; Barros, P.R. Inverted Decoupling PID Control Applied to the Reactors of a Diesel Hydrotreating Unit. J. Control. Autom. Electr. Syst. 2022, 34, 315–323. [Google Scholar] [CrossRef]
- Ovie, E.; Muazu, M.; Sikiru, T.; Sha’aban, Y. A new hybrid PID-Immersion invariance stabilization control scheme for the RTAC benchmark control system. Sci. Afr. 2020, 8, e00462. [Google Scholar] [CrossRef]
- Bounoua, W.; Aftab, M.F.; Omlin, C.W.P. Controller Performance Monitoring: A Survey of Problems and a Review of Approaches from a Data-Driven Perspective with a Focus on Oscillations Detection and Diagnosis. Ind. Eng. Chem. Res. 2022, 61, 17735–17765. [Google Scholar] [CrossRef]
- Sha’aban, Y.A.; Ikpehai, A.; Adebisi, B.; Rabie, K.M. Bi-Directional Coordination of Plug-In Electric Vehicles with Economic Model Predictive Control. Energies 2017, 10, 1507. [Google Scholar] [CrossRef]
- Kunya, A.B.; Argin, M.; Jibril, Y.; Shaaban, Y.A. Improved model predictive load frequency control of interconnected power system with synchronized automatic generation control loops. Beni-Suef Univ. J. Basic Appl. Sci. 2020, 9, 47. [Google Scholar] [CrossRef]
- Alvarado, I.; Limon, D.; de la PeAa, D.M.; Maestre, J.; Ridao, M.; Scheu, H.; Marquardt, W.; Negenborn, R.; Schutter, B.D.; Valencia, F.; et al. A comparative analysis of distributed MPC techniques applied to the HD-MPC four-tank benchmark. J. Process Control 2011, 21, 800–815. [Google Scholar] [CrossRef]
- Stewart, B.T.; Venkat, A.N.; Rawlings, J.B.; Wright, S.J.; Pannocchia, G. Cooperative distributed model predictive control. Syst. Control Lett. 2010, 59, 460–469. [Google Scholar] [CrossRef]
- Alessio, A.; Barcelli, D.; Bemporad, A. Decentralized model predictive control of dynamically coupled linear systems. J. Process Control 2011, 21, 705–714. [Google Scholar] [CrossRef]
- Sha’aban, Y.; Lennox, B.; Laurí, D. PID versus MPC Performance for SISO Dead-time Dominant Processes. IFAC Proc. Vol. 2013, 46, 241–246. [Google Scholar] [CrossRef]
- Sha’aban, Y.A. The Effect of Dead-Time and Damping Ratio on the Relative Performance of MPC and PID on Second Order Systems. Appl. Sci. 2023, 13, 1138. [Google Scholar] [CrossRef]
- Sha’aban, Y.A.; Tahir, F.; Masding, P.W.; Mack, J.; Lennox, B. Control Improvement Using MPC: A Case Study of pH Control for Brine Dechlorination. IEEE Access 2018, 6, 13418–13428. [Google Scholar] [CrossRef]
- Skogestad, S.; Morari, M. Understanding the dynamic behavior of distillation columns. Ind. Eng. Chem. Res. 1988, 27, 1848–1862. [Google Scholar] [CrossRef]
- Skogestad, S. Dynamics and Control of Distillation Columns: A Tutorial Introduction. Chem. Eng. Res. Des. 1997, 75, 539–562. [Google Scholar] [CrossRef]
- Skogestad, S.; Postlethwaite, I. Multivariable Feedback Control: Analysis and Design; John Wiley: Hoboken, NJ, USA, 2005. [Google Scholar]
- Seborg, D.E. Process Dynamics and Control, 3rd ed.; International Student Version; Wiley: Hoboken, NJ, USA, 2011. [Google Scholar]
- Rivera, D.E.; Lee, H.; Mittelmann, H.D.; Braun, M.W. Constrained multisine input signals for plant-friendly identification of chemical process systems. J. Process Control 2009, 19, 623–635. [Google Scholar] [CrossRef]
- Potts, A.S.; Romano, R.A.; Garcia, C. Improving performance and stability of MPC relevant identification methods. Control Eng. Pract. 2014, 22, 20–33. [Google Scholar] [CrossRef]
- Brosilow, C.; Joseph, B. Techniques of Model-Based Control; Prentice Hall Professional: Upper Saddle River, NJ, USA, 2002. [Google Scholar]
- Rivera, D.; Lee, H.; Mittelmann, H.; Braun, M. High-Purity Distillation. Control Syst. IEEE 2007, 27, 72–89. [Google Scholar] [CrossRef]
- Garrido, J.; Vázquez, F.; Morilla, F. Multivariable PID control by decoupling. Int. J. Syst. Sci. 2016, 47, 1054–1072. [Google Scholar] [CrossRef]
- Liu, L.; Tian, S.; Xue, D.; Zhang, T.; Chen, Y.; Zhang, S. A Review of Industrial MIMO Decoupling Control. Int. J. Control. Autom. Syst. 2019, 17, 1246–1254. [Google Scholar] [CrossRef]
- Pereira, R.D.; Veronesi, M.; Visioli, A.; Normey-Rico, J.E.; Torrico, B.C. Implementation and test of a new autotuning method for PID controllers of TITO processes. Control Eng. Pract. 2017, 58, 171–185. [Google Scholar] [CrossRef]
- Maciejowski, J.M. Predictive Control: With Constraints; Pearson Education: Harlow, UK, 2002. [Google Scholar]
- Qin, S.; Badgwell, T.A. A survey of industrial model predictive control technology. Control Eng. Pract. 2003, 11, 733–764. [Google Scholar] [CrossRef]
- Wang, L. A Tutorial on Model Predictive Control: Using a Linear Velocity-Form Model. Dev. Chem. Eng. Miner. Process. 2004, 12, 573–614. [Google Scholar] [CrossRef]
- Scattolini, R. Architectures for distributed and hierarchical Model Predictive Control—A review. J. Process Control 2009, 19, 723–731. [Google Scholar] [CrossRef]
- Wood, R.; Berry, M. Terminal composition control of a binary distillation column. Chem. Eng. Sci. 1973, 28, 1707–1717. [Google Scholar] [CrossRef]




















| Controlled Variables | Manipulated Variables | Measured Disturbances |
|---|---|---|
| Reflux flow (L) | Top composition () | Feed rate (F) |
| Boil-up flow (V) | Bottoms composition () | Feed composition () |
| Distillate flow (D) | Condenser boiler holdup () | Liquid fraction in feed () |
| Bottoms flow rate (B) | reboiler holdup () | - |
| Set-Point Response | Disturbance Rejection | |||
|---|---|---|---|---|
| Controller | ||||
| 0.2438 | 0.1170 | 6.7597 | 1.3616 | |
| 0.2454 | 0.1131 | 8.1202 | 1.5143 | |
| MPC | 0.2414 | 0.1087 | 4.7006 | 1.3415 |
| DMPC | 0.2411 | 0.1088 | 4.6867 | 1.3647 |
| Set-Point Response | Disturbance Rejection | |||
|---|---|---|---|---|
| Controller | ||||
| 0.6228 | 0.1806 | 0.6228 | 0.1806 | |
| 0.2647 | 0.1105 | 0.2647 | 0.1185 | |
| MPC | 0.3954 | 0.1801 | 0.7079 | 0.3127 |
| DMPC | 0.3824 | 0.1076 | 0.6103 | 0.3041 |
| Set-Point Response | Disturbance Rejection | |||
|---|---|---|---|---|
| Controller | ||||
| MPC | 3.869 | 2.801 | 4.024 | 3.421 |
| DMPC | 2.988 | 2.073 | 3.237 | 2.687 |
| Set-Point Response | Disturbance Rejection | |||
|---|---|---|---|---|
| Controller | ||||
| MPC | 0.7793 | 0.8562 | 2.1272 | 1.8121 |
| DMPC | 1.3491 | 1.1555 | 1.4435 | 1.1987 |
Disclaimer/Publisher’s Note: The statements, opinions and data contained in all publications are solely those of the individual author(s) and contributor(s) and not of MDPI and/or the editor(s). MDPI and/or the editor(s) disclaim responsibility for any injury to people or property resulting from any ideas, methods, instructions or products referred to in the content. |
© 2023 by the author. Licensee MDPI, Basel, Switzerland. This article is an open access article distributed under the terms and conditions of the Creative Commons Attribution (CC BY) license (https://creativecommons.org/licenses/by/4.0/).
Share and Cite
Sha’aban, Y.A. Distributed Control of an Ill-Conditioned Non-Linear Process Using Control Relevant Excitation Signals. Processes 2023, 11, 3320. https://doi.org/10.3390/pr11123320
Sha’aban YA. Distributed Control of an Ill-Conditioned Non-Linear Process Using Control Relevant Excitation Signals. Processes. 2023; 11(12):3320. https://doi.org/10.3390/pr11123320
Chicago/Turabian StyleSha’aban, Yusuf Abubakar. 2023. "Distributed Control of an Ill-Conditioned Non-Linear Process Using Control Relevant Excitation Signals" Processes 11, no. 12: 3320. https://doi.org/10.3390/pr11123320
APA StyleSha’aban, Y. A. (2023). Distributed Control of an Ill-Conditioned Non-Linear Process Using Control Relevant Excitation Signals. Processes, 11(12), 3320. https://doi.org/10.3390/pr11123320

