The Impact of Agrivoltaic Systems on Tomato Crop: A Case Study in Southern Italy
Abstract
:1. Introduction
2. Materials and Methods
2.1. Site Description
2.2. Setup of the Experimental Field
2.3. Field Measurements and Monitoring
2.3.1. Weather Data and Soil Temperature
- : reference evapotranspiration (mm d−1)
- : net radiation (MJ m−2 d−1)
- : soil heat flux density (MJ m−2 d−1)
- : average air temperature at 2 m height (°C)
- : wind speed at 2 m height (m s−1)
- : saturation vapour pressure deficit (Kpa)
- : slope of the curve of saturated vapour pressure (kPa °C−1)
- : Psychrometric constant (kPa °C−1)
2.3.2. Irrigation Water Management
- : the total available soil water in the root zone (mm)
- : the readily available soil water in the root zone (mm)
- : the water content at FC (m3 m−3)
- : the water content at PWP (m3 m−3)
- : the rooting depth (m)
- : the average fraction of TAW that can be depleted from the root zone before water stress occurs.
2.3.3. Water Productivity
- : the average crop yield of tomato per a specified area (kg)
- : the average irrigation water used for the same area (m3)
2.4. Physiological and Biometric Measurements
2.5. Yield, Biomass, and Fruit Quality
2.6. Statistical Analysis
3. Results and Discussion
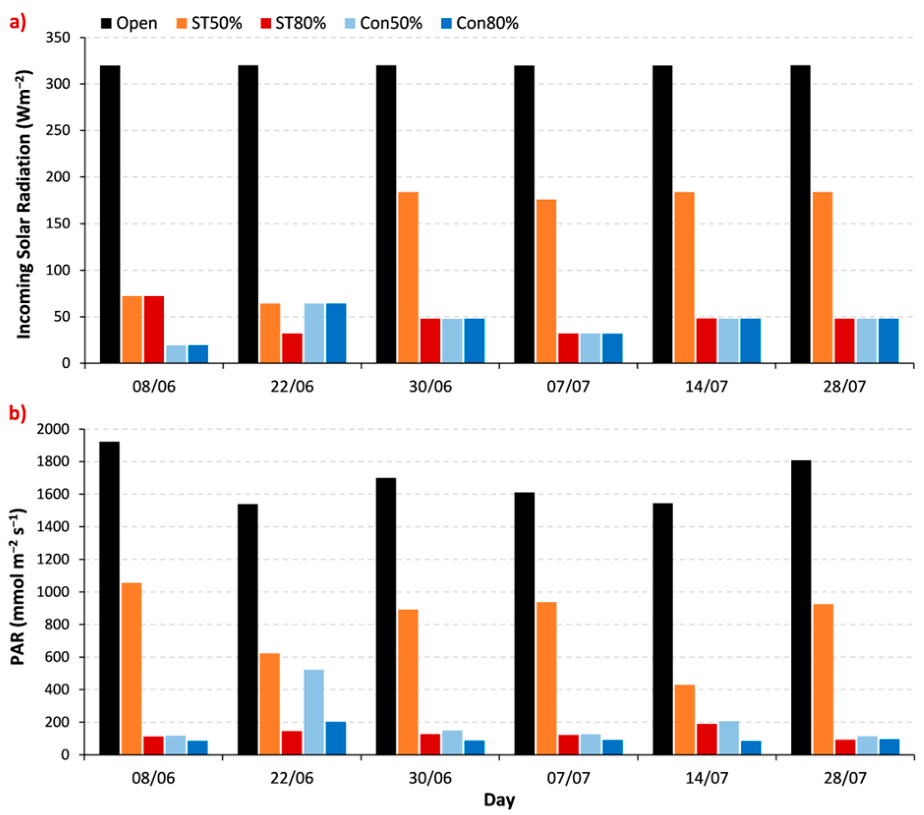
3.1. Weather and Soil Data
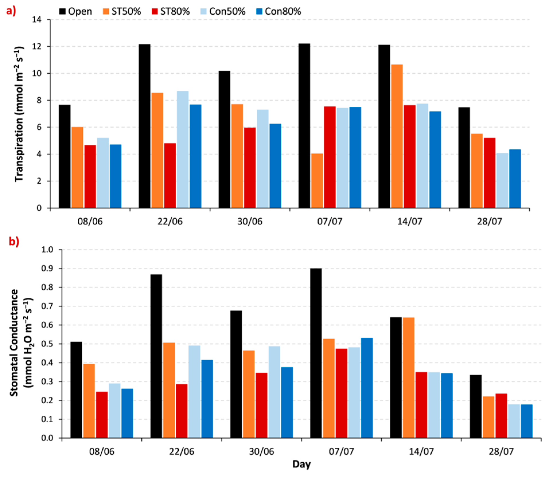
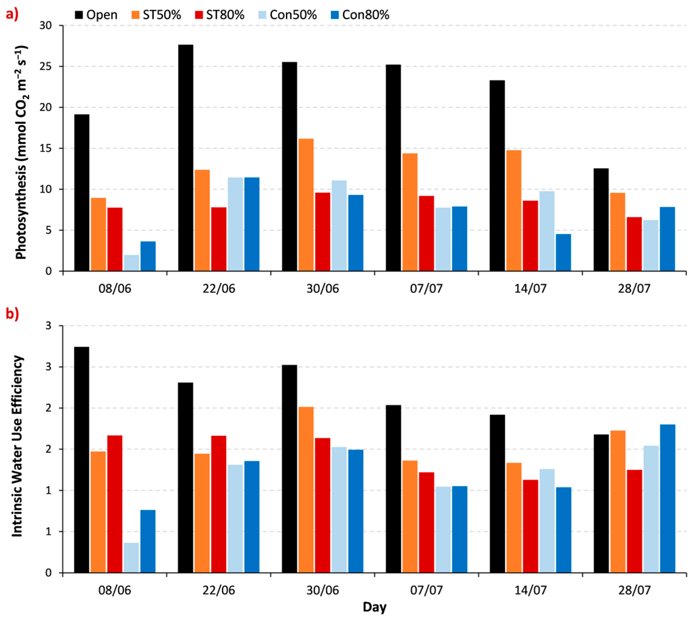
3.2. Physiological Parameter
3.3. Irrigation Water Supply
3.4. Effect of Shade on Plant Morphology
3.5. Effect of AVS on Tomato Crop Yield
3.6. Water Productivity
3.7. Effect of AVS on Tomato Quality Attributes
3.8. Electricity Generation during the Experiment
4. Conclusions
Author Contributions
Funding
Data Availability Statement
Conflicts of Interest
Abbreviations
| AV | Agrivoltaic |
| AVS | Agrivoltaic System |
| COL | Colour index |
| Con | Conventional |
| DM | Dry Matter |
| ET | Evapotranspiration |
| FC | Field Capacity |
| GHG | Greenhouse Gas |
| iWUE | intrinsic Water Use Efficiency |
| PAR | Photosynthetically Active Radiation |
| PV | Photovoltaic |
| PWP | Permanent Welting Point |
| RAW | Readily Available Water |
| ST | Semi-transparant |
| TA | Titratable Acidity |
| TAW | Total Available Water |
| TSS | Total Soluble Solids |
| WC | Water Content |
| WP | Water Productivity |
| WUE | Water Use Efficiency |
Appendix A
| Treatments | Solar Radiation | PAR | Transpiration Rate | Stomatal Conductance | Photosynthesis | iWUE |
|---|---|---|---|---|---|---|
| Open | 319.88 a | 1687.60 a | 10.31 a | 0.66 a | 22.24 a | 2.20 a |
| ST50% | 143.90 b | 811.00 b | 7.09 b | 0.46 b | 12.70 b | 1.56 b |
| ST80% | 46.73 c | 131.64 c | 5.97 b | 0.32 c | 8.25 c | 1.43 bc |
| Con50% | 43.16 c | 206.10 c | 6.75 b | 0.38 bc | 8.04 c | 1.17 c |
| Con80% | 43.17 c | 108.00 c | 6.28 b | 0.35 bc | 7.26 c | 1.25 c |

References
- Roxani, A.; Zisos, A.; Sakki, G.-K.; Efstratiadis, A. Multidimensional Role of Agrovoltaics in Era of EU Green Deal: Current Status and Analysis of Water-Energy-Food-Land Dependencies. Land 2023, 12, 1069. [Google Scholar] [CrossRef]
- Dinesh, H.; Pearce, J.M. The potential of agrivoltaic systems. Renew. Sustain. Energy Rev. 2016, 54, 299–308. [Google Scholar] [CrossRef]
- European Commission. A Clean Planet for All: A European Strategic Long-Term Vision for a Prosperous, Modern, Competitive and Climate Neutral Economy; COM(2018) 773 final; European Commission: Brussels, Belgium, 2018. [Google Scholar]
- Goetzberger, A.; Zastrow, A. On the Coexistence of Solar-Energy Conversion and Plant Cultivation. Int. J. Sol. Energy 2007, 1, 55–69. [Google Scholar] [CrossRef]
- Trommsdorff, M.; Kang, J.; Reise, C.; Schindele, S.; Bopp, G.; Ehmann, A.; Weselek, A.; Högy, P.; Obergfell, T. Combining food and energy production: Design of an agrivoltaic system applied in arable and vegetable farming in Germany. Renew. Sustain. Energy Rev. 2021, 140, 110694. [Google Scholar] [CrossRef]
- Weselek, A.; Bauerle, A.; Hartung, J.; Zikeli, S.; Lewandowski, I.; Högy, P. Agrivoltaic system impacts on microclimate and yield of different crops within an organic crop rotation in a temperate climate. Agron. Sustain. Dev. 2021, 41, 59. [Google Scholar] [CrossRef]
- Mamun, M.A.A.; Dargusch, P.; Wadley, D.; Zulkarnain, N.A.; Aziz, A.A. A review of research on agrivoltaic systems. Renew. Sustain. Energy Rev. 2022, 161, 112351. [Google Scholar] [CrossRef]
- Marrou, H.; Wery, J.; Dufour, L.; Dupraz, C. Productivity and radiation use efficiency of lettuces grown in the partial shade of photovoltaic panels. Eur. J. Agron. 2013, 44, 54–66. [Google Scholar] [CrossRef]
- Elamri, Y.; Cheviron, B.; Mange, A.; Dejean, C.; Liron, F.; Belaud, G. Rain concentration and sheltering effect of solar panels on cultivated plots. Hydrol. Earth Syst. Sci. 2018, 22, 1285–1298. [Google Scholar] [CrossRef]
- Marrou, H.; Dufour, L.; Wery, J. How does a shelter of solar panels influence water flows in a soil–crop system? Eur. J. Agron. 2013, 50, 38–51. [Google Scholar] [CrossRef]
- Barron-Gafford, G.A.; Minor, R.L.; Allen, N.A.; Cronin, A.D.; Brooks, A.E.; Pavao-Zuckerman, M.A. The Photovoltaic Heat Island Effect: Larger solar power plants increase local temperatures. Sci. Rep. 2016, 6, 35070. [Google Scholar] [CrossRef]
- Weselek, A.; Ehmann, A.; Zikeli, S.; Lewandowski, I.; Schindele, S.; Högy, P. Agrophotovoltaic systems: Applications, challenges, and opportunities. A review. Agron. Sustain. Dev. 2019, 39, 35. [Google Scholar] [CrossRef]
- Trypanagnostopoulos, G.; Kavga, A.; Souliotis, Μ.; Tripanagnostopoulos, Y. Greenhouse performance results for roof installed photovoltaics. Renew. Energy 2017, 111, 724–731. [Google Scholar] [CrossRef]
- Zisis, C.; Pechlivani, E.M.; Tsimikli, S.; Mekeridis, E.; Laskarakis, A.; Logothetidis, S. Organic Photovoltaics on Greenhouse Rooftops: Effects on Plant Growth. Mater. Today Proc. 2019, 19, 65–72. [Google Scholar] [CrossRef]
- Cossu, M.; Yano, A.; Solinas, S.; Deligios, P.A.; Tiloca, M.T.; Cossu, A.; Ledda, L. Agricultural sustainability estimation of the European photovoltaic greenhouses. Eur. J. Agron. 2020, 118, 126074. [Google Scholar] [CrossRef]
- Barron-Gafford, G.A.; Pavao-Zuckerman, M.A.; Minor, R.L.; Sutter, L.F.; Barnett-Moreno, I.; Blackett, D.T.; Thompson, M.; Dimond, K.; Gerlak, A.K.; Nabhan, G.P.; et al. Agrivoltaics provide mutual benefits across the food–energy–water nexus in drylands. Nat. Sustain. 2019, 2, 848–855. [Google Scholar] [CrossRef]
- Cossu, M.; Murgia, L.; Ledda, L.; Deligios, P.A.; Sirigu, A.; Chessa, F.; Pazzona, A. Solar radiation distribution inside a greenhouse with south-oriented photovoltaic roofs and effects on crop productivity. Appl. Energy 2014, 133, 89–100. [Google Scholar] [CrossRef]
- Li, X.; Cai, J.; Li, H.; Bo, Y.; Liu, F.; Jiang, D.; Dai, T.; Cao, W. Effect of Shading from Jointing to Maturity on High Molecular Weight Glutenin Subunit Accumulation and Glutenin Macropolymer Concentration in Grain of Winter Wheat. J. Agron. Crop Sci. 2012, 198, 68–79. [Google Scholar] [CrossRef]
- El-Gizawy, A.M.; Abdallah, M.M.F.; Gomaa, H.M.; Mohamed, S.S. Effect of different shading levels on tomato plants. 2. Yield and fruit quality. Acta Hortic. 1993, 323, 349–354. [Google Scholar] [CrossRef]
- Nangare, D.D.; Singh, J.; Meena, V.S.; Bhushan, B.; Bhatnagar, P.R. Effect of green shade nets on yield and quality of tomato (Lycopersicon esculentum Mill) in semi-arid region of Punjab. Asian J. Adv. Basic. Appl. Sci. 2015, 1, 1–8. [Google Scholar]
- Allen, R.G.; Pereira, L.S.; Raes, D.; Smith, M. Crop Evapotranspiration—Guidelines for Computing Crop Water Requirements—FAO Irrigation and Drainage Paper 56; Food and Agriculture Organization (FAO): Rome, Italy, 1998; pp. 1–15. [Google Scholar]
- Phocaides, A. Handbook on Pressurized Irrigation Techniques, 2nd ed.; FAO: Rome, Italy, 2007. [Google Scholar]
- Pereira, L.S.; Cordery, I.; Iacovides, I. Improved indicators of water use performance and productivity for sustainable water conservation and saving. Agric. Water Manag. 2012, 108, 39–51. [Google Scholar] [CrossRef]
- LI-COR. LI-6400/XT Portable Photosynthesis System. Available online: https://www.licor.com/env/support/LI-6400/topics/system-description.html (accessed on 21 September 2023).
- D’Aquino, S.; Mistriotis, A.; Briassoulis, D.; Di Lorenzo, M.L.; Malinconico, M.; Palma, A. Influence of modified atmosphere packaging on postharvest quality of cherry tomatoes held at 20 °C. Postharvest Biol. Technol. 2016, 115, 103–112. [Google Scholar] [CrossRef]
- López Camelo, A.F.; Gómez, P.A. Comparison of color indexes for tomato ripening. Hortic. Bras. 2004, 22, 534–537. [Google Scholar] [CrossRef]
- Pathare, P.B.; Opara, U.L.; Al-Said, F.A.-J. Colour Measurement and Analysis in Fresh and Processed Foods: A Review. Food Bioprocess. Technol. 2013, 6, 36–60. [Google Scholar] [CrossRef]
- AOAC 942.15-1965; AOAC Official Method 942.15: Acidity (Titratable) of Fruit Products. AOAC: Rockville, MD, USA, 1965.
- Admane, N.; Cavallo, G.; Hadjila, C.; Cavalluzzi, M.M.; Rotondo, N.P.; Salerno, A.; Cannillo, J.; Difonzo, G.; Caponio, F.; Ippolito, A.; et al. Biostimulant Formulations and Moringa oleifera Extracts to Improve Yield, Quality, and Storability of Hydroponic Lettuce. Molecules 2023, 28, 373. [Google Scholar] [CrossRef] [PubMed]
- Pang, K.; Van Sambeek, J.W.; Navarrete-Tindall, N.E.; Lin, C.-H.; Jose, S.; Garrett, H.E. Responses of legumes and grasses to non-, moderate, and dense shade in Missouri, USA. I. Forage yield and its species-level plasticity. Agrofor. Syst. 2017, 93, 11–24. [Google Scholar] [CrossRef]
- Marrou, H.; Guilioni, L.; Dufour, L.; Dupraz, C.; Wery, J. Microclimate under agrivoltaic systems: Is crop growth rate affected in the partial shade of solar panels? Agric. For. Meteorol. 2013, 177, 117–132. [Google Scholar] [CrossRef]
- Dupraz, C.; Marrou, H.; Talbot, G.; Dufour, L.; Nogier, A.; Ferard, Y. Combining solar photovoltaic panels and food crops for optimising land use: Towards new agrivoltaic schemes. Renew. Energy 2011, 36, 2725–2732. [Google Scholar] [CrossRef]
- Amaducci, S.; Yin, X.; Colauzzi, M. Agrivoltaic systems to optimise land use for electric energy production. Appl. Energy 2018, 220, 545–561. [Google Scholar] [CrossRef]
- Sun, Q.; Wang, Y.; Chen, G.; Yang, H.; Du, T. Water use efficiency was improved at leaf and yield levels of tomato plants by continuous irrigation using semipermeable membrane. Agric. Water Manag. 2018, 203, 430–437. [Google Scholar] [CrossRef]
- Aroca-Delgado, R.; Pérez-Alonso, J.; Callejón-Ferre, Á.-J.; Díaz-Pérez, M. Morphology, yield and quality of greenhouse tomato cultivation with flexible photovoltaic rooftop panels (Almería-Spain). Sci. Hortic. 2019, 257, 108768. [Google Scholar] [CrossRef]
- Lobos, G.A.; Retamales, J.B.; Hancock, J.F.; Flore, J.A.; Romero-Bravo, S.; del Pozo, A. Productivity and fruit quality of Vaccinium corymbosum cv. Elliott under photo-selective shading nets. Sci. Hortic. 2013, 153, 143–149. [Google Scholar] [CrossRef]
- Ureña-Sánchez, R.; Callejon-Ferre, Á.J.; Pérez-Alonso, J.; Carreño-Ortega, Á. Greenhouse tomato production with electricity generation by roof-mounted flexible solar panels. Sci. Agric. 2012, 69, 233–239. [Google Scholar] [CrossRef]
- Benard, C.; Bernillon, S.; Biais, B.; Osorio, S.; Maucourt, M.; Ballias, P.; Deborde, C.; Colombie, S.; Cabasson, C.; Jacob, D.; et al. Metabolomic profiling in tomato reveals diel compositional changes in fruit affected by source-sink relationships. J. Exp. Bot. 2015, 66, 3391–3404. [Google Scholar] [CrossRef] [PubMed]
- Miller, L.; Vellidis, G.; Mohawesh, O.; Coolong, T. Comparing a Smartphone Irrigation Scheduling Application with Water Balance and Soil Moisture-based Irrigation Methods: Part I—Plasticulture-grown Tomato. HortTechnology 2018, 28, 354–361. [Google Scholar] [CrossRef]
- Jiang, S.; Tang, D.; Zhao, L.; Liang, C.; Cui, N.; Gong, D.; Wang, Y.; Feng, Y.; Hu, X.; Peng, Y. Effects of different photovoltaic shading levels on kiwifruit growth, yield and water productivity under “agrivoltaic” system in Southwest China. Agric. Water Manag. 2022, 269, 107675. [Google Scholar] [CrossRef]
- Al-agele, H.A.; Proctor, K.; Murthy, G.; Higgins, C. A Case Study of Tomato (Solanum lycopersicon var. Legend) Production and Water Productivity in Agrivoltaic Systems. Sustainability 2021, 13, 2850. [Google Scholar] [CrossRef]
- Abdel-Mawgoud, A.M.R.; El-Abd, S.O.; Singer, S.M.; Abou-Hadid, A.F.; Hsiao, T.C. Effect of shade on the growth and yield of tomato plants. Acta Hortic. 1996, 434, 313–320. [Google Scholar] [CrossRef]
- Cantore, V.; Lechkar, O.; Karabulut, E.; Sellami, M.H.; Albrizio, R.; Boari, F.; Stellacci, A.M.; Todorovic, M. Combined effect of deficit irrigation and strobilurin application on yield, fruit quality and water use efficiency of “cherry” tomato (Solanum lycopersicum L.). Agric. Water Manag. 2016, 167, 53–61. [Google Scholar] [CrossRef]
- Malundo, T.M.M.; Shewfelt, R.L.; Scott, J.W. Flavor quality of fresh tomato (Lycopersicon esculentum Mill.) as affected by sugar and acid levels. Postharvest Biol. Technol. 1995, 6, 103–110. [Google Scholar] [CrossRef]
- Johnstone, P.R.; Hartz, T.K.; LeStrange, M.; Nunez, J.J.; Miyao, E.M. Managing fruit soluble solids with late-season deficit irrigation in drip-irrigated processing tomato production. HortScience 2005, 40, 1857–1861. [Google Scholar] [CrossRef]
- Kader, A.A.; Morris, L.L.; Stevens, M.A.; Albright-Holton, M. Composition and Flavor Quality of Fresh Market Tomatoes as Influenced by Some Postharvest Handling Procedures. J. Am. Soc. Hortic. Sci. 1978, 103, 6–13. [Google Scholar] [CrossRef]
- Kader, A.A. Flavor quality of fruits and vegetables. J. Sci. Food Agric. 2008, 88, 1863–1868. [Google Scholar] [CrossRef]
- Mendes, K.F.; Mendes, K.F.; Guedes, S.F.; Silva, L.C.A.S.; Arthur, V. Evaluation of physicochemical characteristics in cherry tomatoes irradiated with 60Co gamma-rays on post-harvest conservation. Radiat. Phys. Chem. 2020, 177, 109139. [Google Scholar] [CrossRef]
- Romero, P.; Rose, J.K.C. A relationship between tomato fruit softening, cuticle properties and water availability. Food Chem. 2019, 295, 300–310. [Google Scholar] [CrossRef] [PubMed]
- Guichard, S.; Bertin, N.; Leonardi, C.; Gary, C. Tomato fruit quality in relation to water and carbon fluxes. Agronomie 2001, 21, 385–392. [Google Scholar] [CrossRef]













| Description | Viessmann Vitovolt 300 M390 WG | Viessmann Vitovolt 300 M300 RA |
|---|---|---|
| Panel Frame | Conventional | Semi-transparent |
| Cell Type | Monocrystalline | Monocrystalline |
| Nominal Power Output (PMPP) | 390 Wp | 310 Wp |
| Maximum Power Voltage (VMPP) | 40.8 V | 32.9 V |
| Maximum Power Current (IMPP) | 9.56 A | 9.52 A |
| Open Circuit Voltage (Voc) | 49.3 V | 40.3 V |
| Short Circuit Current (Isc) | 10.03 A | 10.12 A |
| Module Efficiency | 20.8% | 18.8% |
| Treatments | DM % | WC % | COL | Firmness (N) | pH | TA (% Citric Acid) | TSS (°Brix) | TSS:TA Ratio |
|---|---|---|---|---|---|---|---|---|
| Shade effect | ||||||||
| Open | 6.67 ± 0.44 ab | 93.33 ± 0.44 ab | 37.26 ± 3.75 a | 34.54 ± 9.13 a | 4.32 ± 0.03 a | 0.31 ± 0.01 c | 4.93 ± 0.15 a | 15.85 ± 0.67 a |
| ST50% | 6.13 ± 0.10 abc | 93.87 ± 0.10 abc | 38.97 ± 2.90 a | 37.84 ± 12.43 a | 4.29 ± 0.03 a | 0.35 ± 0.01 bc | 4.87 ± 0.15 a | 14.09 ± 0.40 b |
| ST80% | 5.21 ± 0.25 c | 94.79 ± 0.25 a | 37.07 ± 3.96 a | 33.58 ± 14.57 a | 4.15 ± 0.03 b | 0.42 ± 0.01 a | 5.10 ± 0.20 a | 12.08 ± 0.43 c |
| Con50% | 7.16 ± 0.96 a | 92.84 ± 0.96 c | 35.89 ± 4.50 a | 34.18 ± 10.09 a | 4.13 ± 0.01 b | 0.35 ± 0.01 b | 4.93 ± 0.15 a | 13.95 ± 0.78 b |
| Con80% | 5.40 ± 0.48 bc | 94.60 ± 0.48 ab | 36.25 ± 6.60 a | 35.40 ± 16.36 a | 4.13 ± 0.02 b | 0.40 ± 0.02 a | 4.77 ± 0.15 a | 11.90 ± 0.52 c |
| Deficit irrigation effect | ||||||||
| Open | 6.67 ± 0.44 b | 93.33 ± 0.44 a | 37.26 ± 3.75 b | 34.54 ± 9.13 b | 4.32 ± 0.03 b | 0.31 ± 0.01 a | 4.93 ± 0.15 b | 15.85 ± 0.67 b |
| Open ST | 6.49 ± 0.62 b | 93.51 ± 0.62 a | 40.16 ± 3.65 a | 32.30 ± 11.55 b | 4.37 ± 0.02 ab | 0.32 ± 0.02 a | 5.20 ± 0.36 ab | 16.03 ± 0.48 b |
| Open Con | 8.28 ± 0.52 a | 91.72 ± 0.52 b | 34.94 ± 3.98 b | 47.66 ± 13.48 a | 4.41 ± 0.03 a | 0.29 ± 0.01 a | 5.67 ± 0.15 a | 19.26 ± 0.62 a |
Disclaimer/Publisher’s Note: The statements, opinions and data contained in all publications are solely those of the individual author(s) and contributor(s) and not of MDPI and/or the editor(s). MDPI and/or the editor(s) disclaim responsibility for any injury to people or property resulting from any ideas, methods, instructions or products referred to in the content. |
© 2023 by the authors. Licensee MDPI, Basel, Switzerland. This article is an open access article distributed under the terms and conditions of the Creative Commons Attribution (CC BY) license (https://creativecommons.org/licenses/by/4.0/).
Share and Cite
Mohammedi, S.; Dragonetti, G.; Admane, N.; Fouial, A. The Impact of Agrivoltaic Systems on Tomato Crop: A Case Study in Southern Italy. Processes 2023, 11, 3370. https://doi.org/10.3390/pr11123370
Mohammedi S, Dragonetti G, Admane N, Fouial A. The Impact of Agrivoltaic Systems on Tomato Crop: A Case Study in Southern Italy. Processes. 2023; 11(12):3370. https://doi.org/10.3390/pr11123370
Chicago/Turabian StyleMohammedi, Serine, Giovanna Dragonetti, Naouel Admane, and Abdelouahid Fouial. 2023. "The Impact of Agrivoltaic Systems on Tomato Crop: A Case Study in Southern Italy" Processes 11, no. 12: 3370. https://doi.org/10.3390/pr11123370
APA StyleMohammedi, S., Dragonetti, G., Admane, N., & Fouial, A. (2023). The Impact of Agrivoltaic Systems on Tomato Crop: A Case Study in Southern Italy. Processes, 11(12), 3370. https://doi.org/10.3390/pr11123370

