Monitoring of Paddy and Maize Fields Using Sentinel-1 SAR Data and NGB Images: A Case Study in Papua, Indonesia
Abstract
1. Introduction
2. Materials and Methods
2.1. Experimental Site
2.2. UAV Data
2.3. Sentinel-1 SAR Data
2.4. Crop Growth
2.5. Parameter Selection
2.6. Analysis Result
3. Results
3.1. RVI from Sentinel S-1 Data
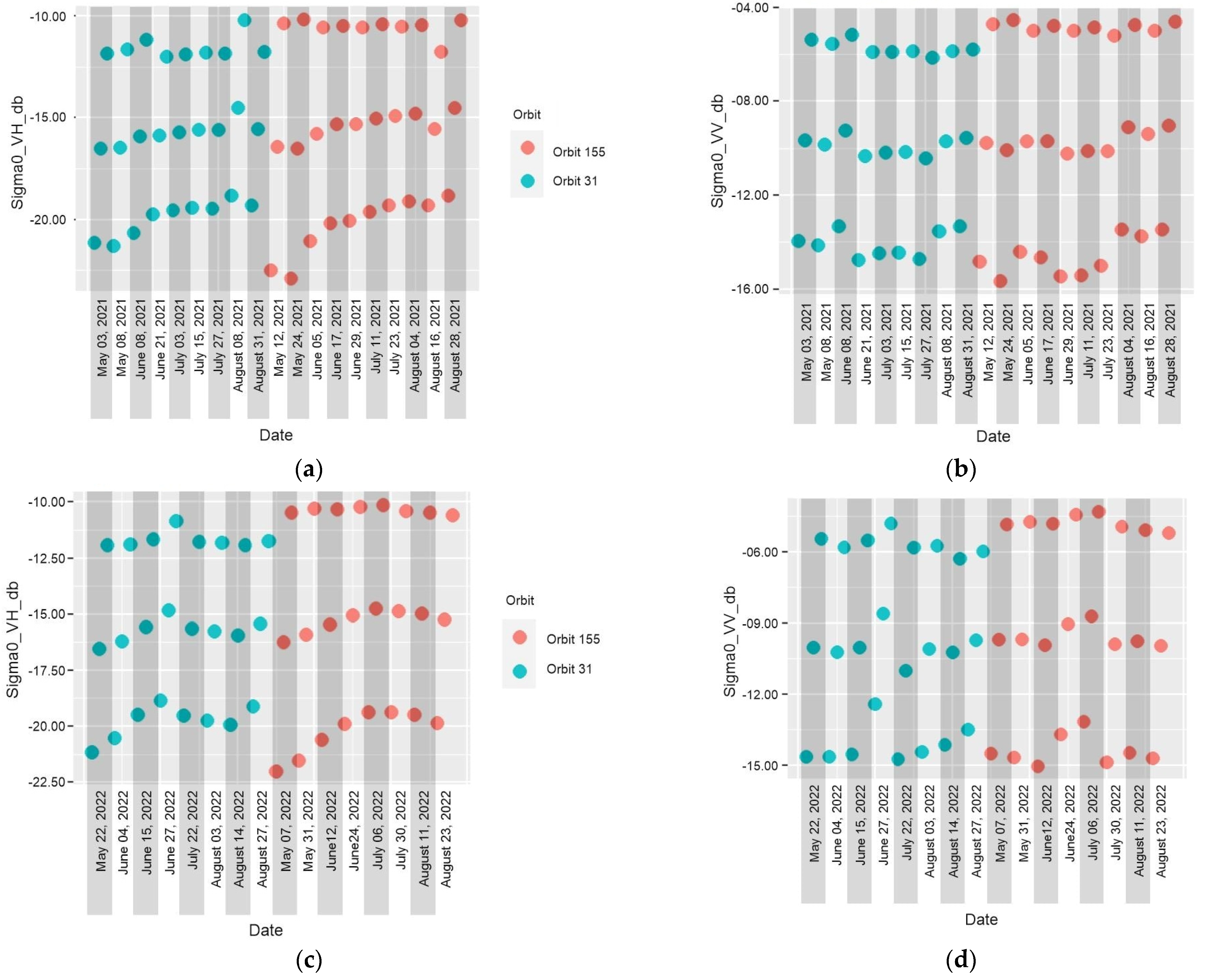
3.2. Changes in Sentinel S-1 Backscattering
3.3. Vegetation Index Analysis
4. Discussion
5. Conclusions
Author Contributions
Funding
Institutional Review Board Statement
Informed Consent Statement
Data Availability Statement
Acknowledgments
Conflicts of Interest
References
- BPS. Statistical Yearbook of Indonesia 2021; BPS-Statistics Indonesia, BPS: Jakarta, Indonesia, 2021.
- The World Bank. Available online: https://databank.worldbank.org/reports.aspx?source=2&series=SP.POP.TOTL&country= (accessed on 18 August 2022).
- BPS. Paddy Yield Area and Production in Indonesia 2021 (Results of Food Crop Agricultural Statistics Data Collection Activities Integrated with Area Sample Framework Method); BPS-Statistics Indonesia, BPS: Jakarta, Indonesia, 2022.
- BPS. Papua Province in Figures 2022; BPS-Statistics Papua Province, BPS: Papua, Indonesia, 2022.
- Letsoin, S.M.A.; Herak, D.; Rahmawan, F.; Purwestri, R.C. Land Cover Changes from 1990 to 2019 in Papua, Indonesia: Results of the Remote Sensing Imagery. Sustainability 2020, 12, 6623. [Google Scholar] [CrossRef]
- He, L.; Luo, H.; Duan, M.; Kong, L.; Tang, X. Mechanized Hybrid Rice Seed Production: Planting Density, the Flight Height of an Unmanned Aerial Vehicle, Fertilizer Application, and the Row-Ratio of Parents. Agronomy 2022, 12, 1572. [Google Scholar] [CrossRef]
- Oehme, L.H.; Reineke, A.-J.; Weiß, T.M.; Würschum, T.; He, X.; Müller, J. Remote Sensing of Maize Plant Height at Different Growth Stages Using UAV-Based Digital Surface Models (DSM). Agronomy 2022, 12, 958. [Google Scholar] [CrossRef]
- Wang, K.; Chen, H.; Cheng, L.; Xiao, J. Variational-Scale Segmentation for Multispectral Remote-Sensing Images Using Spectral Indices. Remote Sens. 2022, 14, 326. [Google Scholar] [CrossRef]
- Meivel, S.; Maheswari, S. Monitoring of Potato Crops Based on Multispectral Image Feature Extraction with Vegetation Indices. Multidimens. Syst. Signal Process. 2022, 33, 683–709. [Google Scholar] [CrossRef]
- Shanahan, J.F.; Schepers, J.S.; Francis, D.D.; Varvel, G.E.; Wilhelm, W.W.; Tringe, J.M.; Schlemmer, M.R.; Major, D.J. Use of Remote-Sensing Imagery to Estimate Corn Grain Yield. Agron. J. 2001, 93, 583–589. [Google Scholar] [CrossRef]
- Panov, D.Y.; Sakharova, E.Y. Using Radar Data for Grain Crops Yield Forecasting in the Novosibirsk Region. Russ. Meteorol. Hydrol. 2022, 47, 473–478. [Google Scholar] [CrossRef]
- Tůma, L.; Kumhálová, J.; Kumhála, F.; Krepl, V. The Noise-Reduction Potential of Radar Vegetation Index for Crop Management in the Czech Republic. Precis. Agric. 2022, 23, 450–469. [Google Scholar] [CrossRef]
- Oyoshi, K.; Tomiyama, N.; Okumura, T.; Sobue, S.; Sato, J. Mapping Rice-Planted Areas Using Time-Series Synthetic Aperture Radar Data for the Asia-RiCE Activity. Paddy Water Environ. 2016, 14, 463–472. [Google Scholar] [CrossRef]
- Khabbazan, S.; Vermunt, P.; Steele-Dunne, S.; Ratering Arntz, L.; Marinetti, C.; van der Valk, D.; Iannini, L.; Molijn, R.; Westerdijk, K.; van der Sande, C. Crop Monitoring Using Sentinel-1 Data: A Case Study from The Netherlands. Remote Sens. 2019, 11, 1887. [Google Scholar] [CrossRef]
- Vreugdenhil, M.; Wagner, W.; Bauer-Marschallinger, B.; Pfeil, I.; Teubner, I.; Rüdiger, C.; Strauss, P. Sensitivity of Sentinel-1 Backscatter to Vegetation Dynamics: An Austrian Case Study. Remote Sens. 2018, 10, 1396. [Google Scholar] [CrossRef]
- BPS. Paddy Yield Area and Production in Papua Province 2021 (Results of Food Crop Agricultural Statistics Data Collection Activities Integrated with Area Sample Framework Method); Publication number: 94530.2201; BPS-Statistics Indonesia, BPS: Papua, Indonesia, 2022.
- Fernandez-Figueroa, E.G.; Wilson, A.E.; Rogers, S.R. Commercially available unoccupied aerial systems for monitoring harmful algal blooms: A comparative study. Limnol. Oceanogr. Methods 2022, 20, 146–158. [Google Scholar] [CrossRef]
- Kumar, S.D.; Rao, S.S.; Sharma, J.R. Radar Vegetation Index as an Alternative to NDVI for Monitoring of Soyabean and Cotton. In Proceedings of the XXXIII INCA International Congress (Indian Cartographer), Jodhpur, India, 19–21 September 2013; Volume 7. [Google Scholar]
- Nelson, A.; Setiyono, T.; Rala, A.; Quicho, E.; Raviz, J.; Abonete, P.; Maunahan, A.; Garcia, C.; Bhatti, H.; Villano, L.; et al. Towards an Operational SAR-Based Rice Monitoring System in Asia: Examples from 13 Demonstration Sites across Asia in the RIICE Project. Remote Sens. 2014, 6, 10773–10812. [Google Scholar] [CrossRef]
- Ramadhani, F.; Pullanagari, R.; Kereszturi, G.; Procter, J. Mapping a Cloud-Free Rice Growth Stages Using the Integration of PROBA-V and Sentinel-1 and Its Temporal Correlation with Sub-District Statistics. Remote Sens. 2021, 13, 1498. [Google Scholar] [CrossRef]
- Counce, P.A.; Keisling, T.C.; Mitchell, A.J. A Uniform, Objective, and Adaptive System for Expressing Rice Development. Crop Sci. 2000, 40, 436–443. [Google Scholar] [CrossRef]
- Zheng, H.; Cheng, T.; Li, D.; Zhou, X.; Yao, X.; Tian, Y.; Cao, W.; Zhu, Y. Evaluation of RGB, Color-Infrared and Multispectral Images Acquired from Unmanned Aerial Systems for the Estimation of Nitrogen Accumulation in Rice. Remote Sens. 2018, 10, 824. [Google Scholar] [CrossRef]
- Szabó, A.; Mousavi, S.M.N.; Bojtor, C.; Ragán, P.; Nagy, J.; Vad, A.; Illés, Á. Analysis of Nutrient-Specific Response of Maize Hybrids in Relation to Leaf Area Index (LAI) and Remote Sensing. Plants 2022, 11, 1197. [Google Scholar] [CrossRef]
- Selvaraj, S.; Haldar, D.; Srivastava, H.S. Condition Assessment of Pearl Millet/ Bajra Crop in Different Vigour Zones Using Radar Vegetation Index. Spat. Inf. Res. 2021, 29, 631–643. [Google Scholar] [CrossRef]
- Haldar, D.; Dave, V.; Misra, A.; Bhattacharya, B. Radar Vegetation Index for Assessing Cotton Crop Condition Using RISAT-1 Data. Geocarto Int. 2020, 35, 364–375. [Google Scholar] [CrossRef]
- Garcia-Ruiz, F.; Sankaran, S.; Maja, J.M.; Lee, W.S.; Rasmussen, J.; Ehsani, R. Comparison of Two Aerial Imaging Platforms for Identification of Huanglongbing-Infected Citrus Trees. Comput. Electron. Agric. 2013, 91, 106–115. [Google Scholar] [CrossRef]
- Erena, M.; Montesinos, S.; Portillo, D.; Alvarez, J.; Marin, C.; Fernandez, L.; Henarejos, J.M.; Ruiz, L.A. Configuration and specifications of an unmanned aerial vehicle for precision agriculture. Int. Arch. Photogramm. Remote Sens. Spat. Inf. Sci. 2016, XLI–B1, 809–816. [Google Scholar] [CrossRef]
- Danilevicz, M.F.; Bayer, P.E.; Boussaid, F.; Bennamoun, M.; Edwards, D. Maize Yield Prediction at an Early Developmental Stage Using Multispectral Images and Genotype Data for Preliminary Hybrid Selection. Remote Sens. 2021, 13, 3976. [Google Scholar] [CrossRef]
- Nandan, R.; Bandaru, V.; He, J.; Daughtry, C.; Gowda, P.; Suyker, A.E. Evaluating Optical Remote Sensing Methods for Estimating Leaf Area Index for Corn and Soybean. Remote Sens. 2022, 14, 5301. [Google Scholar] [CrossRef]
- Abdikan, S.; Sekertekin, A.; Ustunern, M.; Balik Sanli, F.; Nasirzadehdizaji, R. Backscatter analysis using multi-temporal sentinel-1 sar data for crop growth of maize in konya basin, turkey. Int. Arch. Photogramm. Remote Sens. Spat. Inf. Sci. 2018, XLII–3, 9–13. [Google Scholar] [CrossRef]
- Han, D.; Yang, H.; Yang, G.; Qiu, C. Monitoring Model of Corn Lodging Based on Sentinel-1 Radar Image. In Proceedings of the 2017 SAR in Big Data Era: Models, Methods and Applications (BIGSARDATA), Beijing, China, 13–14 November 2017; pp. 1–5. [Google Scholar]
- Ali, A.M.; Abouelghar, M.; Belal, A.A.; Saleh, N.; Yones, M.; Selim, A.I.; Amin, M.E.S.; Elwesemy, A.; Kucher, D.E.; Maginan, S.; et al. Crop Yield Prediction Using Multi Sensors Remote Sensing (Review Article). Egypt. J. Remote Sens. Space Sci. 2022, 25, 711–716. [Google Scholar] [CrossRef]
- Mandal, D.; Kumar, V.; Bhattacharya, A.; Rao, Y.S.; Siqueira, P.; Bera, S. Sen4Rice: A Processing Chain for Differentiating Early and Late Transplanted Rice Using Time-Series Sentinel-1 SAR Data with Google Earth Engine. IEEE Geosci. Remote Sens. Lett. 2018, 15, 1947–1951. [Google Scholar] [CrossRef]
- Phung, H.-P.; Nguyen, L.-D.; Thong, N.-H.; Thuy, L.-T.; Apan, A.A. Monitoring Rice Growth Status in the Mekong Delta, Vietnam Using Multitemporal Sentinel-1 Data. J. Appl. Rem. Sens. 2020, 14, 014518. [Google Scholar] [CrossRef]
- Shu, M.; Zhou, L.; Gu, X.; Ma, Y.; Sun, Q.; Yang, G.; Zhou, C. Monitoring of Maize Lodging Using Multi-Temporal Sentinel-1 SAR Data. Adv. Space Res. 2020, 65, 470–480. [Google Scholar] [CrossRef]
- Veloso, A.; Mermoz, S.; Bouvet, A.; Le Toan, T.; Planells, M.; Dejoux, J.-F.; Ceschia, E. Understanding the Temporal Behavior of Crops Using Sentinel-1 and Sentinel-2-like Data for Agricultural Applications. Remote Sens. Environ. 2017, 199, 415–426. [Google Scholar] [CrossRef]











| Site | Coordinate | Area Covered * (ha) | Average GSD * (cm) | 
|---|---|---|---|
| Paddy field site (PF) | 8°22′39.216″ S, 140°30′59.472″ E | 1.4047 | 2.26 | 
| Maize field site (MF) | 8°25′11.6652″ S, 140°26′42.2406″ E | 2.4898 | 2.45 | 
| Acquisition Time | Ascending Rel_orbit155, Swath IW, GRD Incidence Angle 30.55°–45.88° | Descending Rel_orbit31, Swath IW, GRD Incidence Angle 30.59°–46.16° | 
|---|---|---|
| May, 2022 | 7 May 2022 | 22 May 2022 | 
| 19 May 2022 31 May 2022 | ||
| June, 2022 | 16 June 2022 | 4 June 2022 24 June 2022 27 June 2022 | 
| July, 2022 | 6 July 2022 18 July 2022 30 July 2022 | 22 July 2022 | 
| August, 2022 | 11 August 2022 23 August 2022 | 3 August 2022 14 August 2022 26 August 2022 | 
| May, 2021 | 12 May 2021 24 May 2021 | 3 May 2021 27 May 2021 | 
| July, 2021 | 11 July 2021 23 July 2021 | 2 July 2021 14 July 2021 26 July 2021 | 
| August 2021 | 4 August 2021 16 August 2021 28 August 2021 | 7 August 2021 19 August 2021 31 August 2021 | 
| Name | Equation | Ref | 
|---|---|---|
| Green Normalized Difference Vegetation Index (GNDVI) | (NIR − G)/(NIR + G) | [23] * | 
| Enhanced Normalized Difference Vegetation Index (ENDVI) | (NIR + G − 2∗B)/NIR + G + 2∗B) | [22] * | 
| Disclaimer/Publisher’s Note: The statements, opinions and data contained in all publications are solely those of the individual author(s) and contributor(s) and not of MDPI and/or the editor(s). MDPI and/or the editor(s) disclaim responsibility for any injury to people or property resulting from any ideas, methods, instructions or products referred to in the content. | 
© 2023 by the authors. Licensee MDPI, Basel, Switzerland. This article is an open access article distributed under the terms and conditions of the Creative Commons Attribution (CC BY) license (https://creativecommons.org/licenses/by/4.0/).
Share and Cite
Letsoin, S.M.A.; Purwestri, R.C.; Perdana, M.C.; Hnizdil, P.; Herak, D. Monitoring of Paddy and Maize Fields Using Sentinel-1 SAR Data and NGB Images: A Case Study in Papua, Indonesia. Processes 2023, 11, 647. https://doi.org/10.3390/pr11030647
Letsoin SMA, Purwestri RC, Perdana MC, Hnizdil P, Herak D. Monitoring of Paddy and Maize Fields Using Sentinel-1 SAR Data and NGB Images: A Case Study in Papua, Indonesia. Processes. 2023; 11(3):647. https://doi.org/10.3390/pr11030647
Chicago/Turabian StyleLetsoin, Sri Murniani Angelina, Ratna Chrismiari Purwestri, Mayang Christy Perdana, Petr Hnizdil, and David Herak. 2023. "Monitoring of Paddy and Maize Fields Using Sentinel-1 SAR Data and NGB Images: A Case Study in Papua, Indonesia" Processes 11, no. 3: 647. https://doi.org/10.3390/pr11030647
APA StyleLetsoin, S. M. A., Purwestri, R. C., Perdana, M. C., Hnizdil, P., & Herak, D. (2023). Monitoring of Paddy and Maize Fields Using Sentinel-1 SAR Data and NGB Images: A Case Study in Papua, Indonesia. Processes, 11(3), 647. https://doi.org/10.3390/pr11030647
 
        





 
       