Cenozoic Subsidence History of the Northern South China Sea: Examples from the Qiongdongnan and Yinggehai Basins
Abstract
1. Introduction
2. Geological Setting

3. Data and Methods
3.1. Data
3.2. Method and Parameters
3.2.1. Methods
3.2.2. Parameters
- Dates of strata boundaries: First, we identified the different degrees of the chronostratigraphic units and rock stratigraphic units in the seismic and well profiles [19]. Then, we determined the age of every chronostratigraphic unit’s boundary after chronostratigraphic correlation and constructed a chronostratigraphic framework [20,21]. We also determined the ages of each rock stratigraphic unit’s boundaries after the rock stratigraphic correlation and analysis of the biological fossils [22,23]. Finally, the stratigraphic columns of the basins were constructed to study the sedimentology and tectonics of the basin (Figure 2).
- Porosity, density, and compaction coefficient: According to the basin’s stratigraphy, we analyzed the lithology and proportions of each component of each formation. Based on the results, the density of each formation was calculated by averaging their weighted components, which ensured the credibility of the results [17]. The densities of the mantle and water were 3330 kg/m3 and 1000 kg/m3, respectively [28]. For the surface porosity and compaction coefficient, previously published results on the subsidence in the QDNB and the YGHB were directly adopted, and these only considered the sandstone and mudstone while ignoring the other components of the strata in the North Sea Basins [29]. Furthermore, the sedimentary and diagenetic environments of the QDNB and the YGHB are also different from their counterparts in the North Sea Basins. The differences between the two study areas inevitably induced errors. To reduce these errors as much as possible, we acquired the surface porosity and compaction coefficient in the same way as the density. The surface porosity and compaction coefficient of each lithology are listed in Table 1.
- Paleo-water depth and eustatic sea-level change: There are many ways to estimate the paleo-water depth, including paleontology, sedimentary facies analysis, geochemical indexes, and geomorphology back-stripping [30]. We obtained the paleo-water depth using the following steps: Firstly, we studied the types of sedimentary facies developed during each period in the basin, which were then analyzed based on updated data, including cuttings, cores, seismic data, and well logs [16,17,19]. Then, we obtained the paleo-water depth during each period according to the relationship between the water depth and sedimentary facies. Finally, to increase the accuracy, we also compared the results of the relative sea levels in the two basins, which were obtained from previous studies (Figure 2).
4. Results
4.1. Subsidence Characteristics of Single Wells (1D)
4.1.1. 1D Subsidence Characteristics in the QDNB
4.1.2. 1D Subsidence Characteristics in the YGHB
4.2. Subsidence Characteristics of Profiles (2D)
4.2.1. 2D Subsidence Characteristics in the QDNB
4.2.2. 2D Subsidence Characteristics in the YGHB
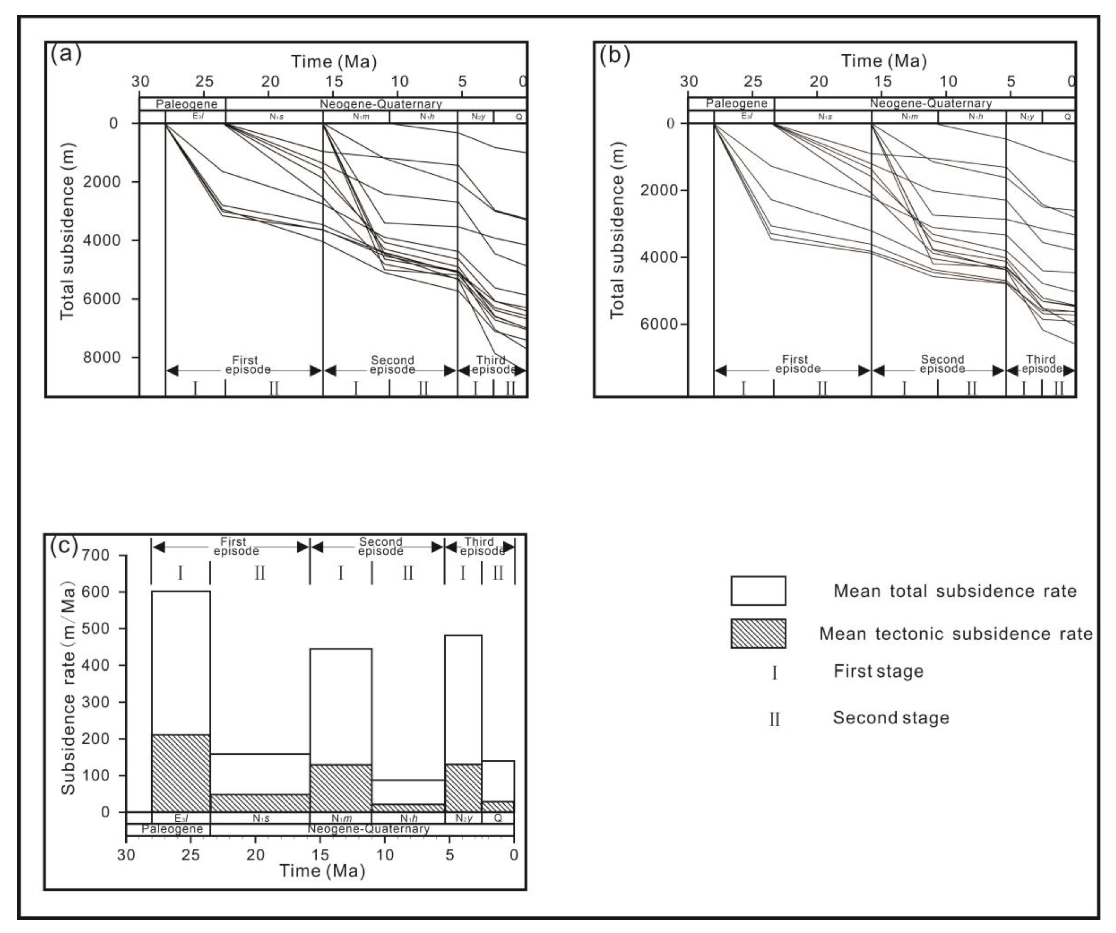
4.3. Holistic Subsidence of the Entire Basin
4.3.1. Holistic Subsidence of the QDNB
4.3.2. Holistic Subsidence of the YGHB
5. Discussion
5.1. Relationship between the Basin Subsidence and Tectonics
5.2. Effect of the Faults on the Basin Subsidence
6. Conclusions
Author Contributions
Funding
Data Availability Statement
Acknowledgments
Conflicts of Interest
References
- Hall, R.; Blundell, D.J. Tectonic evolution of SE Asia: Introduction. In Tectonic Evolution of Southeast Asia; Hall, R., Blundell, D.J., Eds.; Geological Society Special Publication: London, UK, 1996; Volume 106, pp. 353–431. [Google Scholar] [CrossRef]
- Karig, D.E. Origin and Development of Marginal Basins in the Western Pacific. J. Geophys. Res. 1971, 76, 2542–2561. [Google Scholar] [CrossRef]
- Tapponnier, P.; Molnar, P. Slip-line field theory and large-scale continental tectonics. Nature 1976, 264, 319–324. [Google Scholar] [CrossRef]
- Leloup, P.H.; Amaud, N.; Lacassin, R.; Kienast, J.R.; Harrison, T.M.; Phan Trong, T.T.; Replumaz, A.; Tapponnier, P. New constraints on the structure, thermochronology, and timing of the Ailao Shan-Red River shear zone, SE Asia. J. Geophys. Res. 2001, 106, 6683–6732. [Google Scholar] [CrossRef]
- Xie, X.; Müller, R.D.; Li, S.; Gong, Z.; Steinberger, B. Origin of anomalous subsidence along the Northern South China Sea margin and its relationship to dynamic topography. Mar. Pet. Geol. 2006, 23, 745–765. [Google Scholar] [CrossRef]
- Hall, R.; Hattum, M.W.A.V.; Spakman, W. Impact of India–Asia collision on SE Asia. the record in Borneo. Tectonophysics 2008, 451, 366–389. [Google Scholar] [CrossRef]
- Chen, G. The marginal extensional belt of East Asia Continent-investigating the origin of a discrete continental margin. Geotecton. Metallog. 1997, 21, 285–293, (In Chinese with English Abstract). [Google Scholar] [CrossRef]
- Xia, B.; Zhang, Y.; Cui, X.J.; Liu, B.M.; Xie, J.H.; Zhang, S.L.; Lin, G. Understanding of the geological and geodynamic controls on the formation of the South China Sea. A numerical modelling approach. J. Geodyn. 2006, 42, 63–84. [Google Scholar] [CrossRef]
- Xia, B.; Cui, X.; Xie, J.; Wang, R. Thinking about the dynamics mechanism study on formation and evolution of the South China Sea. Geotecton. Metallog. 2004, 28, 221–227, (In Chinese with English Abstract). [Google Scholar] [CrossRef]
- Ma, M.; Liu, C.; Qi, J.; Zhang, D.; Zhang, S.; Wang, J.; Miao, Q. Cenozoic subsidence history of the Pearl River Mouth Basin, northern South China Sea. Geol. J. 2020, 55, 750–770. [Google Scholar] [CrossRef]
- Liao, F.; Wu, X.; Huang, S. Geochemical Characteristics of Natural Gas in the Yinggehai-Qiongdongnan Basin, South China Sea. Energy Explor. Exploit. 2010, 28, 1–12. [Google Scholar] [CrossRef]
- Zhang, Y.; Zhang, L.; Mi, L.; Lu, X.; Wu, S.; Tang, L.; Zhou, J.; Xiong, X.; Zhu, J. Quantitative Analysis of Cenozoic Extension in the Qiongdongnan Basin, South China Sea: Insight on Tectonic Control for Hydrocarbon Reservoir Accumulation and Formation. Energies 2022, 15, 4011. [Google Scholar] [CrossRef]
- China Institute of International Studies. Available online: https://www.ciis.org.cn/english/COMMENTARIES/202007/t20200715_2762.html (accessed on 11 May 2015).
- Huang, B.; Xiao, X.; Li, X. Geochemistry and origins of natural gases in the Yinggehai and Qiongdongnan basins, offshore South China Sea. Org. Geochem. 2003, 34, 1009–1025. [Google Scholar] [CrossRef]
- Zhao, Z.; Sun, Z.; Sun, L.; Wang, Z.; Sun, Z. Cenozoic tectonic subsidence in the Qiongdongnan Basin, northern South China Sea. Basin Res. 2016, 30, 269–288. [Google Scholar] [CrossRef]
- Li, X.; Fairweather, L.; Wu, S.; Ren, J.; Zhang, H.; Quan, X.; Jiang, T.; Zhang, C.; Su, M.; He, Y.; et al. Morphology, sedimentary features and evolution of a large palaeo submarine canyon in Qiongdongnan basin, Northern South China Sea. J. Asian Earth Sci. 2013, 62, 685–696. [Google Scholar] [CrossRef]
- Cao, L.; Jiang, T.; Wang, Z.; Zhang, Y.; Sun, H. Provenance of Upper Miocene sediments in the Yinggehai and Qiongdongnan basins, northwestern South China Sea. Evidence from REE, heavy minerals and zircon U–Pb ages. Mar. Geol. 2015, 361, 136–146. [Google Scholar] [CrossRef]
- Shi, X.; Burov, E.; Leroy, S.; Qiu, X.; Xia, B. Intrusion and its implication for subsidence. A case from the Baiyun Sag, on the northern margin of the South China Sea. Tectonophysics 2005, 407, 117–134. [Google Scholar] [CrossRef]
- Zhu, W.; Mi, L. Atlas of Oil and Gas Basins, China Sea; Petroleum Industry Press: Beijing, China, 2010; pp. 478–480. (In Chinese) [Google Scholar]
- All China Commission of Stratigraphy. The Instruction of China Regional Stratigraphy (Geological Time Scale) Chart; Geological Publishing House: Beijing, China, 2002; pp. 235–237. (In Chinese) [Google Scholar]
- Wang, X.; Chen, X. Stratigraphy Division and Correlation of Each Geological Period in China; Geological Publishing House: Beijing, China, 2005; pp. 278–283. (In Chinese) [Google Scholar]
- Chen, Y.; Wang, Z.; Huang, Z. The Pandect of Stratigraphical of China; Geological Publishing House: Beijing, China, 2009; p. 557. (In Chinese) [Google Scholar]
- Liu, X.; Xie, J.; Zhang, H.; He, W. Chronostratigraphy of planktonic foraminifera in the Yinggehai-Qiongdongnan Basin. Acta Micropalaeontoligical Sin. 2009, 26, 181–192, (In Chinese with English Abstract). [Google Scholar]
- Gao, H.; Du, D.; Zhong, G. Quantitative simulation of subsidence history and analysis of Pearl River Mouth Basin in South China Sea. Res. Geol. South China Sea 2006, 13, 11–20, (In Chinese with English Abstract). [Google Scholar]
- Athy, L.F. Density, Porosity, and Compaction of Sedimentary Rocks. AAPG Bull. 1930, 14, 1–24. [Google Scholar] [CrossRef]
- Airy, G.B. On the Computation of the Effect of the Attraction of Mountain-Masses, as Disturbing the Apparent Astronomical Latitude of Stations in Geodetic Surveys. Philos. Trans. R. Soc. Lond. 1855, 145, 101–104. [Google Scholar] [CrossRef]
- Steckler, M.S.; Watts, A.B. Subsidence of the Atlantic-type continental margin off New York. Earth Planet. Sci. Lett. 1978, 41, 1–13. [Google Scholar] [CrossRef]
- Mckenzie, D.P. Some remarks on the development of sedimentary basins. Earth Planet. Sci. Lett. 1978, 40, 25–32. [Google Scholar] [CrossRef]
- Sclater, J.G.; Christie, P.A.F. Continental stretching. An explanation of the Post-Mid-Cretaceous subsidence of the central North Sea Basin. J. Geophys. Res. Solid Earth 1980, 85, 3711–3739. [Google Scholar] [CrossRef]
- Allen, P.A.; Allen, J.R. Basin Analysis. Principles and Applications to Petroleum Play Assessment, 3rd ed.; John Wiley & Sons Ltd.: Chichester, UK, 2013; p. 523. [Google Scholar]
- Madon, M.B.; Watts, A.B. Gravity anomalies, subsidence history and the tectonic evolution of the Malay and Penyu Basins (offshore Peninsular Malaysia). Basin Res. 1998, 10, 375–392. [Google Scholar] [CrossRef]
- Watts, A.B.; Steckler, M.S. Subsidence and eustasy at the continental margin of eastern North America. In Deep Drilling Results in the Atlantic Ocean. Continental Margings and Paleoenviroment; Maurice Ewing Symposium Series; Talwani, M., Hay, W., Ryan, W.B.F., Eds.; American Geophysical Union: Washington, DC, USA, 1979; Volume 3, pp. 218–234. [Google Scholar]
- Haq, B.U.; Hardenbol, J.; Vail, P.R. Chronology of fluctuating sea levels since the Triassic. Science 1987, 235, 1156–1167. [Google Scholar] [CrossRef] [PubMed]
- Kominz, M.A.; Browning, J.V.; Miller, K.G.; Sugarman, P.J.; Mizintseva, S.; Scotese, C.R. Late Cretaceous to Miocene sea-level estimates from the New Jersey and Delaware coastal plain coreholes. An error analysis. Basin Res. 2008, 20, 211–226. [Google Scholar] [CrossRef]
- Yin, A.; Harrison, T.M. Geologic Evolution of the Himalayan-Tibetan Orogen. Annu. Rev. Earth Planet. Sci. 2000, 28, 211–280. [Google Scholar] [CrossRef]
- Northrup, C.J.; Royden, L.H.; Burchfiel, B.C. Motion of the Pacific plate relative to Eurasia and its potential relation to Cenozoic extension along the eastern margin of Eurasia. Geology 1995, 23, 719–722. [Google Scholar] [CrossRef]
- Yao, B. The Tectonic evolution and sedimentary basins of South China Sea in Cenozoic. Geol. Res. South China Sea 1998, 10, 1–17, (In Chinese with English Abstract). [Google Scholar]
- Briais, A.; Patriat, P.; Tapponnier, P. Updated interpretation of magnetic anomalies and seafloor spreading stages in the south China Sea. Implications for the Tertiary tectonics of Southeast Asia. J. Geophys. Res. Solid Earth 1993, 98, 6299–6328. [Google Scholar] [CrossRef]
- Clift, P.D.; Sun, Z. The sedimentary and tectonic evolution of the Yinggehai-Song Hong basin and the southern Hainan margin, South China Sea. Implications for Tibetan uplift and monsoon intensification. J. Geophys. Res. Solid Earth 2006, 111, 1–28. [Google Scholar] [CrossRef]
- Dupré, S.; Bertotti, G.; Cloetingh, S. Tectonic history along the South Gabon Basin. Anomalous early post-rift subsidence. Mar. Pet. Geol. 2007, 24, 151–172. [Google Scholar] [CrossRef]
- Yin, X.; Ren, J.; Lei, C.; Wang, S.; Zhang, J. Post rift rapid subsidence characters in Qiongdongnan Basin, South China Sea. J. Earth Sci. 2011, 22, 273–279. [Google Scholar] [CrossRef]
- Zhong, D.; Ding, L. The discussion of the uplift process of the Tibetan Plateau and its mechanism. Sci. China (Ser. D) 1996, 26, 289–295. (In Chinese) [Google Scholar]
- Sun, Z.; Zhou, D.; Zhong, Z.; Zeng, Z.; Wu, S. Experimental evidence for the dynamics of the formation of the Yinggehai basin, NW South China Sea. Tectonophysics 2003, 372, 41–58. [Google Scholar] [CrossRef]
- Lee, T.Y.; Lawver, L.A. Cenozoic plate reconstruction of Southeast Asia. Tectonophysics 1995, 251, 85–138. [Google Scholar] [CrossRef]
- Coleman, M.; Hodges, K. Evidence for Tibetan plateau uplift before 14 Myr ago from a new minimum age for east-west extension. Nature 1995, 374, 49–52. [Google Scholar] [CrossRef]
- Krishnappan, B.G. Reviewof a Semi-Empirical Modelling Approach for Cohesive Sediment Transport in River Systems. Water 2022, 14, 256. [Google Scholar] [CrossRef]
- Lu, B.; Wang, P.; Zhang, G.; Wang, W. Characteristic of regional fractures in South China Sea and its basement tectonic framework. Prog. Geophys. 2015, 30, 1544–1553, (In Chinese with English Abstract). [Google Scholar] [CrossRef]








| Lithology | Surface Coefficient of Compaction (km−1) | Surface Porosity (%) | Density (kg/m3) | 
|---|---|---|---|
| Mudstone | 0.51 | 0.63 | 2720 | 
| Sandy mudstone | 0.39 | 0.56 | 2680 | 
| Sandstone | 0.27 | 0.49 | 2650 | 
| Conglomerate | 0.22 | 0.46 | 2640 | 
| Disclaimer/Publisher’s Note: The statements, opinions and data contained in all publications are solely those of the individual author(s) and contributor(s) and not of MDPI and/or the editor(s). MDPI and/or the editor(s) disclaim responsibility for any injury to people or property resulting from any ideas, methods, instructions or products referred to in the content. | 
© 2023 by the authors. Licensee MDPI, Basel, Switzerland. This article is an open access article distributed under the terms and conditions of the Creative Commons Attribution (CC BY) license (https://creativecommons.org/licenses/by/4.0/).
Share and Cite
Ma, M.; Qi, J.; Ma, J.; Peng, H.; Lei, L.; Song, Q.; Zhang, Q.; Bai, M. Cenozoic Subsidence History of the Northern South China Sea: Examples from the Qiongdongnan and Yinggehai Basins. Processes 2023, 11, 956. https://doi.org/10.3390/pr11030956
Ma M, Qi J, Ma J, Peng H, Lei L, Song Q, Zhang Q, Bai M. Cenozoic Subsidence History of the Northern South China Sea: Examples from the Qiongdongnan and Yinggehai Basins. Processes. 2023; 11(3):956. https://doi.org/10.3390/pr11030956
Chicago/Turabian StyleMa, Ming, Jiafu Qi, Jinshan Ma, Heng Peng, Linlin Lei, Qian Song, Qing Zhang, and Mengen Bai. 2023. "Cenozoic Subsidence History of the Northern South China Sea: Examples from the Qiongdongnan and Yinggehai Basins" Processes 11, no. 3: 956. https://doi.org/10.3390/pr11030956
APA StyleMa, M., Qi, J., Ma, J., Peng, H., Lei, L., Song, Q., Zhang, Q., & Bai, M. (2023). Cenozoic Subsidence History of the Northern South China Sea: Examples from the Qiongdongnan and Yinggehai Basins. Processes, 11(3), 956. https://doi.org/10.3390/pr11030956
 
         
                                                





 
       
       