Next Article in Journal
A Laborer’s Mask-Wearing Behavior Detection Approach in the Manufacturing Field
Previous Article in Journal
Optimization of Flow and Mixing in a Venturi Tube Mixer with a Two-Step Method Using Numerical Simulation
 
 
Font Type:
Arial Georgia Verdana
Font Size:
Aa Aa Aa
Line Spacing:
Column Width:
Background:
Article

Instant Controlled Pressure Drop (DIC) Processing to Reduce 3-Monochloropropane-1,2-diol Concentration in Palm Oil

by
Saleh A. Alzahrani
1,
Bassem Jamoussi
1,*,
Abdullatif A. Neamatallah
1,
Fahed A. Aloufi
1,
Riyadh F. Halawani
1,
Radhouane Chakroun
1 and
Cherif Jablaoui
2
1
Department of Environmental Sciences, Faculty of Meteorology, Environment and Arid Land Agriculture, King Abdulaziz University, Jeddah 21589, Saudi Arabia
2
LaSIE (Laboratory of Engineering Sciences for Environment), La Rochelle University, 7356 UMR CNRS, Avenue Michel Crépeau, 17042 La Rochelle, France
*
Author to whom correspondence should be addressed.
Processes 2023, 11(4), 1085; https://doi.org/10.3390/pr11041085
Submission received: 13 March 2023 / Revised: 30 March 2023 / Accepted: 1 April 2023 / Published: 3 April 2023
(This article belongs to the Section Food Process Engineering)

Abstract

Deodorization of vegetable oils may introduce potentially carcinogenic, as well as genotoxic contaminants, generating health risks for consumers. However, the deodorization step of the refining process leads to the formation of 3-monochloro-1,2-propanediol (3-MCPD). 3-MCPD has been classified as potentially carcinogenic to humans by the World Health Organization (WHO). The purpose of this study was to optimize recently updated oil treatment techniques using Instant Controlled Pressure Drop (DIC) to improve 3-MCPD elimination in edible palm oil. Based on the central composite (CCD-DoE), response surface methodology (RSM) was developed to find the best combination of two variables at five levels to remove 3-MCPD from the palm oil. Samples of palm oil were split into two groups. The first group was treated only by the traditional method, including refining, degumming, deacidification, decolorization, deodorization, dehydration, filtration, and dewaxing processes. The second group was first treated by the traditional method, followed by the DIC technique during different periods at various temperatures and pressures. In the experiment, the effect of 3-MCPD removal in palm oil was examined by varying the oil inlet pressure and reaction time from 200 to 325 kPa and from 8.66 to 26.34 s/cycle, respectively. The 3D surface graphs showed that the optimum reduction of 3-MCPD occurs with a reaction time of 26.34s and a pressure value of 413 kPa. Samples of palm oil were analyzed using a GC-MS/MS method to determine 3-MCPD concentrations. It was found that the DIC technology reduces oil contamination with 3-MCPD when used after the traditional oil treatment process.

1. Introduction

Edible oils are considered important ingredients in food and food preparation worldwide. About 157 million tons of edible oil are extracted annually worldwide from oil-filled seeds and fruits. Vegetable oils are obtained by mechanical expulsion or solvent extraction of oleaginous seed (sunflower, rapeseed, soybeans, etc.) or oleaginous fruit, such as olive and palm [1]. These seeds give oils in different proportions. Global reported average oil production yields are 40.9% (sunflower); 38.6% (rapeseed); 18.3% (soybean); 40.3% (groundnut), 42.4% (sesame) and 45–50% (palm fruit) [2]. 3-Monochloropropane-1,2-diol (3-MCPD) is an oily, viscous, highly soluble, and hygroscopic type of chloropropanol. The 3-MCPD reacts quickly with alcohols, acids, amino compounds, ammonia, aldehydes, thiols, and ketones. Several studies indicated that different chlorine compounds could react with monostearoyl glycerol at a high-temperature condition to produce various products, including 3-MCPD and distearoylglycerol [3]. The major sources of pollution in refined fats and oils include glycidyl fatty acid esters (GEs). Chloride can produce 3-MCPD by reacting with the glycerol backbone of fats during the hydrolysis of proteins at high temperatures with hydrochloric acid. Additionally, 3-MCPD can also be found in foods that have been exposed to materials containing hydrated epichlorohydrin-based resins in the manufacture of tea bags and sausage casings [4]. Several Toxicological studies have shown that 3-MCPDE is almost completely broken down by lipase in the gastrointestinal tract (GIT) [5,6]. The kidneys and testicles are the most targeted organs for 3-MCPD-induced toxicity in animal models, according to Gao et al. [7]. Moreover, Huang et al. [8] found 3-MCPD to have an oxidative metabolism that generates β-chlorolactaldehyde and β-chlorolactic acid (free radicals), leading to oxidative stress and impaired glycolysis and energy production. Ozcagli et al. also found that Glycidol and GEs caused many tumors in mice [9]. According to Food Standards Australia New Zealand’s guidelines [10], the limit for 3-MCPD in soy sauce is 0.02 mg/kg.
During the production of vegetable oil, refining is an integral part of the process, allowing the removal of non-glyceride impurities accumulated during harvesting, storing, and grain extraction. Indeed, the refining process reduces the concentration of these impurities for better protection of the consumers [11]. The sensory quality of the oil is negatively affected by a variety of factors, notably volatile particles, pigments, and free fatty acids.
The use of vacuum pressure is also being developed for many new or emerging technologies to control vegetable oil refining on an industrial scale. Generally, these technologies involve a series of unitary operations, such as degumming, neutralizing, bleaching, and deodorizing [12]. Several natural antioxidants are significantly reduced during chemical and physical refining, affecting the protective power against oxidation and reducing the nutritional value of oils [13,14]. It is essential to improve or intensify the refinement operation at the critical points of the process. DIC technology is environmentally friendly since it uses water as a solvent and as an energy source at the same time, resulting in high-quality, safe products. The preservation of heat-sensitive compounds is explained by the short extraction and heating times [15].
The value of DIC as an emerging technology can be seen through several applications, including drying, decontaminating microorganisms, texturing, preparing non-volatile molecular extractions and decontaminating pharmaceuticals, and also quality control and improvement [16,17,18,19]. Moreover, DIC has been shown to be an excellent method for antioxidant extraction and deodorization of rosemary leaves [20]. DIC treatment relies on the instant pressure drop toward the vacuum (about 5 kPa), which causes auto polarization and product cooling. Sudden pressure drop can cause product inflammation and possible controlled destruction of cell walls [21]. During oil extraction, DIC technology modifies the cell structure and improves the extraction of oily materials [22]. Several studies showed the significant role of DIC in oil extraction. Allaf et al., (2014) [19] reported that the treatment of rape seeds with DIC resulted in the alteration of grain texture, favoring the release of triglycerides. Bouallegue et al. [23] reported an increase in yield attributed to higher availability and better kinetics for the solubilization of fatty acids in dissolving solvents following the DIC treatment. Moreover, Bouallegue et al. [24] reported better oil yield and extraction time when DIC was used as a texturing pre-treatment for the extraction of Camelina sativa (L.) oil. Destaillats et al. study [25] focused on the variation of 3-MCPD concentration following the heat treatment of palm oils. The results showed that at temperatures above 200 °C, there was contamination with 3-MCPD, which is due to the thermal reaction between triacylglycerol and organochlorine compounds present in palm oil. Additionally, Craft et al. [26] reported the generation of 3-MCPD in palm oil at temperatures between 170–180 °C. Furthermore, the authors suggested that the extraction technique, whether on the crude oil before the deodorization process using a solution (ethanol: water) or after first refining using ethanol and glycerol, plays a vital role in reducing palm oil contamination. Ben Hammouda et al. [27] studied the concentration of 3-MCPD and glycidyl esters forms in olive oil using refined and blended processes. The results showed no endogenous presence of the 3MCPD and glycidyl esters compounds after 16 h of deep-frying. Stauff et al. [28] study aimed to evaluate the concentrations of 3MCPD and bound glycidol in food products in German markets. The authors reported that the 3MCPD was present in refined vegetable oil products. On another side, DIC technology is widely used in the extraction of oil because it offers several advantages. Indeed, the DIC technology has been shown to save the biological matrices of oils, improve the drying process, decrease contamination, and enhance the effectiveness of active ingredient extraction from oils, as well as reduce the cost of oil treatment [29]. It also provides powerful pollution cleansing, eliminates plant microorganisms, and reduces non-food and allergenic ingredients. Several studies suggested modifying or combining the DIC method with other technologies. In this perspective, the study conducted by Jablaoui et al. [22] included the instant controlled pressure drop (DIC) and expander-controlled pressure drop. The authors obtained high-quality soybean oil with fatty acid concentrations comparable to that of the untreated seeds. Additionally, the authors recommended the use of short heat treatment time and the instant cooling process in the soybean treatment process. Additionally, Jablaoui et al. [30] optimized the DIC technology for the processing of vegetable seed oils. The authors relied on pressure and time control to increase the quality of the oils after seed treatment, as well as to reduce the cost of this process. The results showed that decreasing treatment pressure time produced a high-quality oil, and the ultrasonic technology improved oil production compared to using the DIC method alone.
This study aims to optimize the treatment of palm oil using Instant Controlled Pressure Drop (DIC) to reduce the occurrence and content of 3-MCPD, as well as the effects of DIC treatment on the individual and total tocopherol contents.

2. Materials and Methods

2.1. Raw Materials

Raw palm oil samples (oil-1, oil-2) were provided by two refining industries located in the Jeddah region (Saudi Arabia). Thirty-three samples (100 mL each) were taken from the raw product and processed in two ways before performing laboratory analysis to detect the 3-MCPD compounds. The main characteristics of the three raw products are shown in Table 1.

2.2. Technological Alternatives for Vegetable Oil Refining

DIC technology relies on hydrothermal mechanical effects and instantaneous expansion to create a vacuum. Convection and instantaneous condensation of saturated steam allow fluid heating [30]. Steam and samples are immediately connected through a vacuum, which enhances heat transfer. In response to initial heat, a sudden decrease in pressure within several milliseconds results in the self-evaporation of water inside the product, producing steam and causing significant mechanical stress. Overheating and vacuum equilibrium are explained by the pressure gradient and difference in pressures. Moreover, the automatic evaporation of water ensures that the treated products are cooled rapidly, preventing sensitive chemicals from thermally degrading (Figure 1). Cooling rates can reach 1500–2000 kW m−2 [20,31].
As shown in Figure 2, the DIC process of palm oil involves successive compression and decompression of the oil in a vessel (5) under cyclic variations of pressure. The oil is filled via a dispensing nozzle (4). The pressure increase is due to the steam coming from the saturated dry steam generator (1). In the first phase, compressed air of edible grade was injected from an adequate compressor (3). In addition to injecting oils, the compressor controls valve opening and closure. A valve has been installed to regulate the pressure. A second step involves an instant decompression (less than 0.1 s), achieved by the opening of a pneumatic valve (6) between the process vessel and the vacuum tank (7). The closing of this valve indicates that a cycle has ended and that a new one has begun. In this way, the pressure oscillates between two levels: the high-pressure level (P+) and the vacuum level (P). Hence, each cycle starts with an initial vacuum, followed by a high pressure in the treatment vessel, which is maintained for a certain time (t+), and in the last step, there is an instant pressure drop, followed by a certain vacuum tempering time (t-). In this step, a vacuum (8) is used to exhaust the air, the water, and the other evaporated volatile molecules (Equation (1)).
β = P i + P i P i + = P + P P + 325 k P a 4 k P a 325 k P a 98.8 %
where β is the reduction Ratio, P i + is the high-pressure level, and P i is the vacuum level.
At every instant, 98% of the 3-MCPD molecules should be removed from the “atmosphere” by decompression.
In order for auto vaporization to occur, there must be a pressure gradient between overheating and vacuum equilibrium.

2.3. MCPD Determination

2.3.1. GC/MS/MS Instrumentation

A GC/MS analysis of 3-MCPD was carried out using an Agilent 7890 gas chromatograph coupled with an Agilent 7000 Series Triple Quad GC/MS (Agilent, Santa Clara, CA, USA). A 30 m fused-silica capillary column (L 30 m × ID 0.25 mm × FT 0.25 µm) was used for the chromatographic separation. Helium was kept flowing at 1.2 mL/min using an electronic pressure control. A spitless injection mode was used, with the injector temperature set at 250 °C. The initial temperature was 60 °C (held for 1 min), then ramped at a rate of 6 °C/min to 190 °C (held for 1 min) and finally raised to 280 °C at a rate of 30 °C (held for 5 min). Automatic electron ionization (EI+) gain control system was used, with an electron energy of −70 eV. The ion source was heated at 300 °C. A dwell time of 50 msec was used for every MRM transition, with a gain voltage of 30 A. Selected ion monitoring (SIM) was used to detect the target analytes. The extracts were injected into the system in a volume of one microliter. Mass Hunter software was used to control the instruments and analyze the data. A comparison of the mass spectra of the 3-MCPD compounds with the NIST reference compounds from NIST was conducted to confirm their presence.

2.3.2. Sample Preparation

A determination of MCPD was carried out according to AOAC 2007.01 method. A 50 mL centrifuge tube was filled with 5 ± 0.1 g of sample (oil). As an internal standard, 50 μL of 10 μg/mL 3-MCPD-1,2-dipalmitoyl ester-d5 was added, and 10 mL of acetonitrile was subsequently added. The QuEChERS Extraction pouch was added to the sample tube, along with agitation for 2 min, followed by centrifugation at 5000 rpm for 5 min. Afterward, 6 mL of the upper layer was taken from the solution, filtered through a 0.45-micron pore-size membrane, and moved into a 250 µL insert vial for injection into the GC-MS/MS.

2.3.3. Determination of 3-MCPD

Four 3-MCPD concentration levels (3.0, 5.0, 50.0 and 70.0 μg·kg−1) were used for the determination of the method performance. In order to determine the selectivity, blank samples were spiked with the internal standard and subjected to the entire analysis procedure. Each batch of samples was analyzed with at least one blank palm oil (Raw) sample to ensure the stability of the background levels. Interfering peaks were evaluated with recorded single-ion chromatograms. A calibration curve was also performed by spiking a blank sample (in this case, the RPO) with six different concentrations of 3-MCPD. The concentrations were 5, 10, 25, 50, 75 and 100 μg·kg−1 of 3-MCPD in 100 mg of sample. Subsequently, it was spiked with a known amount of deuterated 3-MCPD (100 μg·kg−1 in 100 mg sample) before extraction according to the sample preparation procedure. To estimate the LOD and LOQ, ten low-contaminated oil samples were spiked with a mixture of free 3-MCPD at a level of 5 μg/kg each. The whole analysis procedure was applied to both non-spiked and spiked samples. Signal differences between the spiked and the non-spiked samples can be attributed to the spiked amount of analytes. LOD was estimated using Equation (2), while LOQ was estimated using Equation (3) [32].
x L O D = 3.86   s y , n t b
xLOD: the content level at LOD; sy,nt: standard deviation of the net signal (difference of peak area between spiked and native sample); b: the slope of the calibration curve.
x L O Q = 7.2   s y , n t b
xLOQ: the content level at LOQ; sy,nt: standard deviation of net signal (difference of peak area between spiked and non-spiked sample); b: the slope of the calibration curve.
Factors 3.86 and 7.2 take into account the number of experiments and the chosen error probabilities.

2.4. Tocopherol Determination

2.4.1. HPLC Instrumentation

Tocopherol concentrations were determined using a Shimadzu liquid chromatography system equipped with a fluorescence detector (FR-10AXL) and a reverse phase C-18 column (250 × 4.6 mm, 5 μm, Alltech Associates Inc, 2051 Waukegan Road, Deerfield, IL, USA). The mobile phase was a binary mixture of acetonitrile/methanol (75:25, v/v) at a flow rate of 1 mL/min. The excitation and emission wavelengths were set at 290 nm and 325 nm, respectively. The identification of tocopherols was made by comparison of the retention times with standards of α-, β-, γ- and δ-tocopherols.

2.4.2. Sample Preparation

A 50 mg sample of oil was submitted to a tenfold dilution in hexane. In a screw-capped tube, 50 mL of the above solution was diluted with 1 mL of a mixture of methanol, hexane, and tetrahydrofuran (90:5:5, v/v/v). After stirring for 5 min, the sample was centrifuged at 5000 rpm for 10 min. An aliquot of the clear liquid was then filtered through a 0.45 μm pore size filter and directly injected into the HPLC column.

2.5. Design of Experiments (DoE)

The analysis and statistical optimization of DIC operating parameters were performed using a 2-parameter, 5-level central composite CCD-DoE design. A minimal 3-MCPD was obtained by optimizing parameters with the Response surface methodological (RSM) approach. Response surface methodology, based on the design of experiments, is a set of statistical and mathematical tools for designing experiments and optimizing the effect process variables. RSM reduces the number of trials and recognizes the influence of process parameters on the removal process [33,34].
As independent variables, reaction inlet oil pressure (P) and time per cycle (t) were coded as follows (Equation (4)) [35]:
X = x x m a x + x m i n / 2 x m a x x m i n
Table 2 shows the coding of the variables at the maximum (+1) and minimum (−1) levels. The highest level (+1) is assigned to the variable Xmax, and the lowest level (−1) is assigned to the variable Xmin.
Equation (5) illustrates how 3-MCPD can be reduced using a second-order polynomial equation [35].
Y = β 0 + i = 1 n β i X i + i < j n β i j X i X j + i = 1 n β X i 2
Y refers to the expected yield of 3-MCPD in palm oil. In a coded variable, n represents the number of variables coded, β0 is the constant intercept coefficient, β0 represents the constant linear coefficient, βij is the constant interaction coefficient, and βi is the constant quadratic coefficient.

2.6. Statistical Analysis

The experimental design was carried out with STATGRAPHICS® plus for Windows® (Statgraphics centurion XV, StatPoint Technologies, Inc., Rockville, MD, USA). We performed the analysis of variance (ANOVA) to evaluate the effects of the variables on responses using 5% probability p-Values (p < 0.05) in order to determine significant differences between the measures. A Pareto chart was used to analyze the significance level of the parameter’s impact on the effectiveness of the process. As a function of first and second-order models, the regression coefficient R ensures the validation of the obtained models and represents the variation in response (Y) in relation to the independent variables.

3. Results and Discussion

3.1. Method Performance (3-MCPD)

Table 3 shows the percentage recovery for the studied concentrations. The recovery was 97.8% for the lowest concentration level and 103.9% for the highest level. The repeatability of the test, expressed as the relative standard deviation (RSD), was 8.23, 5.34, 4.15 and 3.22 for 3-MCPD levels of 3, 5, 50 and 75 μkg−1, respectively. The calibration curve was linear with R2 = 0.99947715. The limit of detection (LOD) and the limit of quantification (LOQ) of the method were respectively 2.5 and 4.7 μg/kg.

3.2. Regression Model and Statistical Analysis

The results obtained with the CC-Do’s 5-level composite-centered design are summarized in Table 3. They show the impact of the DIC operating parameters (Pressure and treatment time t) on the formation of 3-MCPD. Experimental designs were based on the coded levels of two variables, pressure (X1) and treatment time t per cycle (X2). As shown in Table 4, thirteen simplified experimental runs were obtained. As shown in Equations (6) and (7), multiple regression analyses were used to calculate predicted yields for 3-MCPDE concentrations in palm oil (oil-1 and oil-2).
Y 3MCPD Oil-1 = 10,4145 − 0.0191748 × X1 + 0.0638606 × X2 + 0.0000264662 × X12 − 0.000335911 × X1 × X2 − 0.000265379 × X22
Y 3MCPD Oil-2 = 46.8284 − 0.188458 × X1 − 0.145631 × X2 + 0.000267374 × X12 − 0.00143002 × X1 × X2 + 0.0125934 × X22
In Table 4, 3-MCPD concentrations predicted by Equations (6) and (7) are presented for palm oil-1 and palm oil-2, respectively. There was high agreement between experimental and predicted values for palm oil’s 3-MCPD concentrations. The different values of pressure and times applied during oil treatment had a significant effect on concentrations of 3MCPD. The results show a statistically significant positive effect of pressure and time on the concentration of 3MCPD (Table 5). From the statistical parameters (ANOVA, p-values) shown in Table 5, it is possible to determine the effectiveness of the 3-MCPD reduction in palm oils.
Table 5 shows the results of the analysis of variance (ANOVA) for the RSM quadratic model for 3-MCPDE concentrations in palm oil (oil-1 and oil-2). A correlation test was performed to determine the goodness of fit of the regression model by assessing R2 and R2 (adj). In palm oil-1, the correlation coefficient and the adjusted correlation coefficient between the variables and the responses (3-MCPDE concentrations) were R2 = 0.760371 and R2(adj) = 0.589207, respectively. In palm oil-2, R2 and R2 (adj) were 0.919635 and 0.862232, respectively. In palm oil-2, the R2 and R2 (adj) values were close to 1. Compared to oil 1, there was a higher correlation between experimental and predicted values.
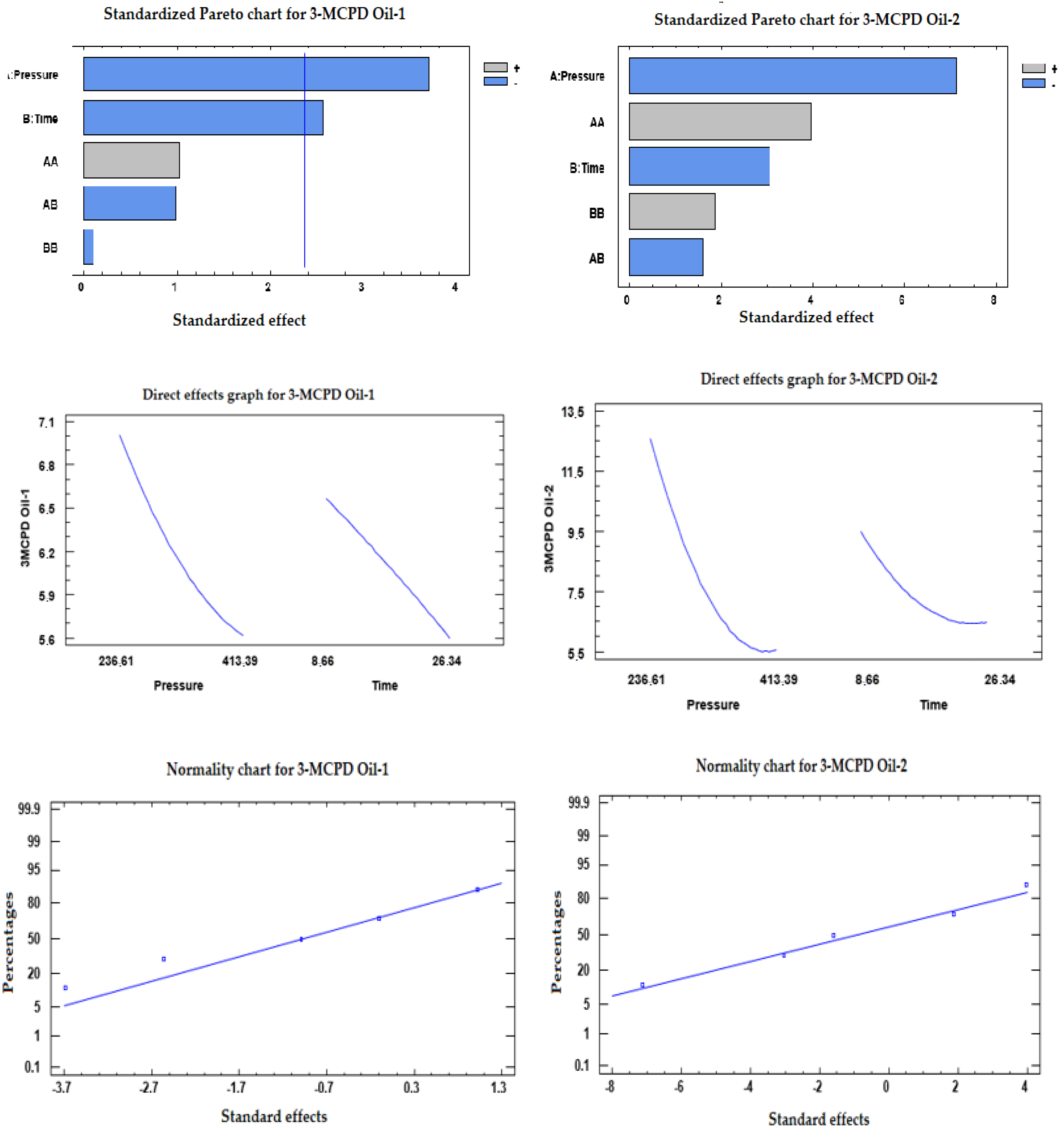
Figure 3 summarizes the main trends of the effects of DIC pressure, time/cycle, and 3-MCPD concentrations (oil1, oil2) on the concentrations of 3-MCPD in the DIC-treated palm oil samples, based on the quadratic effects of P and t.
A least squares method was used to calculate the intercept’s regression coefficient, linear terms, interaction terms, and quadratic terms. The significance of the studied variables, along with their interactions and quadratic effects, were tested using p-values at 95% (α = 0.05) confidence levels. As a result, it was found that the linear terms of pressure and time significantly affected the 3-MCPDE concentration in palm oil-1. In contrast, in linear terms of pressure and time, the quadratic terms of pressure had a significant effect on the 3-MCPDE concentration in palm oil-2.

3.3. Analysis of the Response Surface

Figure 4 shows the interaction effect between the reaction pressure and treatment time per cycle on the formation of 3-MCPD in palm oil-1 and oil-2. It was found that 3-MCPDE formation in palm oil was significantly influenced by the interaction between DIC pressure and cycle time. The response surfaces (RSM) related to the formation of 3-MCPD in palm oil-1 and palm oil-2 were found to be almost identical (Figure 4A,B). Figure 4 shows that 3-MCPD formation is significant at pressures below 300 kPa for both oils. The MCPD concentration decreased with increasing reaction time/cycle from 25 to 30 s and increased when the pressure varied from 350 to 450 kPa.
The optimal values for an effective 3-MCPD reduction, according to the Response Surface Methodology (RSM), are 413 kPa and 26 s/cycle for pressure and cycle time, respectively.

3.4. Impact of DIC Treatments on Palm Oil Quality

3.4.1. DIC’s Effect on 3-MCPD Removal

A chromatographic analysis allowed the identification and quantification of 3-MCPD in raw, traditionally treated palm oil and palm oil samples treated under various DIC operating parameters. Figure 5, Figure 6, Figure 7, Figure 8, Figure 9 and Figure 10 show the variation of 3-MCPD contents (μg/kg) in the studied oils.
Figure 5 shows the results obtained for oils treated with DIC alone (Finished) and using a blending technique (DIC _traditional technic: refined).
Variable levels of 3-MCPD concentrations were observed among the studied oil samples, ranging from 0.0 to 10.2 μg/kg. The maximum registered value was for Palm Oil 1 (finished) (10.18 μg/kg), followed by Palm Oil 2 (finished) (8.64 μg/kg), Palm Oil 2 (Raw) (7.34 μg/kg), Palm Oil 2 (refined) (5.02 μg/kg), Palm Oil 1 (raw) (2.18 μg/kg) and Palm Oil 1 (refined) (0.0 μg/kg) (Table 6). The confidence intervals for 3-MCPD mean concentrations in the studied oils are given in Table 6, in accordance with the conventional acceptance of statistical significance at a p-value of 0.05. According to the present study, the residual concentrations of 3-MCPDE found in palm oil samples are consistent with those reported by Nidzam et al. [36], Zulkurnain et al. [37], and Hew et al. [38]. Nidzam et al. [36] optimized the process parameters of phosphoric acid degumming using RSM based on palm oil’s minimal formation of 3-MCPDE. In the optimal conditions (reaction time 30 min, phosphoric acid 0.06% by weight, and temperature 90C), the residual concentration of 3-MCPDE was 0.59 µg/kg. Under similar conditions, Hew et al. [38] obtained 1.78 µg/kg of residual 3-MCPDE in palm oil, using 0.06 wt% of 85% phosphoric acid during the degumming process. Afterward, the degummed oil was bleached at 250C with 1.0 wt% BE and deodorized at 1.0 wt% BE. Minimal 3-MCPDE formation in the range of 0.46–0.05 µg/kg was reported by Zulkurnain et al. [37]. The researchers used a degumming water process followed by a magnesium silicate bleaching procedure and deodorization at 250C. In local Egyptian markets, edible oils of different vegetable origins have been found to contain quite high levels of 3-MCPD [39]. The authors reported concentrations as high as 5634.1 µg/kg and 5576.8 µg/kg in palm oil and palm olein oil, respectively. The authors suggested that the high residual content of 3-MCPD resulted from the elevated temperatures during the drying and deodorization steps in the refining processes. It is worth noting that although 3-MCPD residual concentrations in palm oils after treatment with the different deodorization techniques are comparable, the DIC technique is the only procedure that does not require the addition of any chemical, making this technique a green and eco-friendly process.
These results show that the DIC, combined with the traditional treatment, reduced the 3MCPD contamination in palm oils. On the contrary, using only DIC-treated oils does not result in a significant reduction in 3-MCPD levels.

3.4.2. DIC’s Effect on Total and Individual Tocopherols

The distribution of total individual tocopherol contents in the studied oils (Crude oil, physical and chemical and DIC treatment) is given in Table 7.
Table 7 shows that the variation of the concentrations of the individual and the total tocopherols are not significantly affected by the changes in the DIC’s operating conditions. These results are in good agreement with the results reported by Mannaï et al. [16], Jamoussi et al. [35], and Melki et al. [40].
As shown in Table 7, with the conventional chemical and physical processes, the total tocopherol content dropped by 23%, and the β and γ tocopherols were completely removed. These results are with those reported by Suliman et al. [41].
In all studied oil samples, 1-Tocopherol was the most dominant and persistent compound compared to the other derivatives.
As shown in Table 6 and Table 7, the three methods of oil treatment resulted in the reduction of 3-MCPD to a different extent. Even though the reduction of 3-MCPD using the DIC method was less efficient than the traditional and combined methods, it remains the technique of choice as it maintains the nutritive value of the oil.

4. Conclusions

An optimized Model of Instant Controlled Pressure Drop (DIC) combined with traditional deodorization techniques was found to be suitable for decomposing 3-MCPD. The level of 3-MCPD in the processed oil can be reduced by adjusting temperature, pressure, processing time, and extraction methods. However, there was no noticeable reduction in 3-MCPD levels when using only DIC treatment. For both treated oils, 3-MCPD formation is considerable at pressures lower than 300 kPa. When the pressure was raised from 350 to 450 kPa and reaction time/cycle was increased from 25 to 30 s, the MCPD concentration declined significantly.
According to the results obtained from the experiments defined by the response surface methodology (RSM), a pressure of 413 kPa combined with a processing duration of 26 sec/cycle corresponds to the ideal values for effectively reducing 3-MCPD. The findings revealed a statistically significant positive relationship between pressure and time and the concentration of 3-MCPD.
As evidenced by this research, the traditional processing method of palm oil may generate esters of 3-monochloropropane-1,2-diol (3-MCPD), which may pose health risks to consumer health. To produce a safe product, we recommend standard processing, followed by the DIC method.
Based on the results of this study, there was a significant improvement in the individual and total tocopherol contents after the DIC processing with optimized time and pressure, thereby preserving the nutritional value and antioxidant properties of palm oil.

Author Contributions

Conceptualization, B.J., S.A.A. and C.J.; methodology, B.J., S.A.A., A.A.N. and F.A.A.; validation, B.J., S.A.A., R.F.H.; formal analysis, B.J., S.A.A. and C.J.; investigation, data analysis, interpretation of experimental results, and original draft writing were carried out according to their specialties by B.J., S.A.A., A.A.N., F.A.A., R.C. and R.F.H.; writing—review and editing, B.J., S.A.A., A.A.N., R.C.; supervision and project administration, B.J.; funding acquisition, B.J. All authors have read and agreed to the published version of the manuscript.

Funding

This research work was funded by the Ministry of Education: Institutional Fund Projects under Grant no. (IFPRC-162-155-2020).

Data Availability Statement

The data presented in this study are available on request from the corresponding author. The data are not publicly available due to [The data in this article is part of a patent project].

Acknowledgments

The authors gratefully acknowledge technical and financial support from the Ministry of Education and King Abdulaziz University, Jeddah, Saudi Arabia.

Conflicts of Interest

The authors declare no conflict of interest.

References

  1. Gharby, S. Refining Vegetable Oils: Chemical and Physical Refining. Sci. World J. 2022, 11, 6627013. [Google Scholar] [CrossRef] [PubMed]
  2. Gunstone, F.D. Composition and Properties of Edible Oils in Edible Oil Processing; Hamm, W., Hamilton, R.J., Eds.; John Wiley & Sons, Ltd.: Hoboken, NJ, USA, 2000. [Google Scholar]
  3. Zhang, Z.; Gao, B.; Zhang, X.; Jiang, Y.; Xu, X.; Yu, L. Formation of 3-monochloro-1,2propanediol (3-MCPD) di- and monoesters from tristearoylglycerol (TSG) and the potential catalytic effect of Fe2+ and Fe3+. J. Agric. Food Chem. 2015, 63, 1839–1848. [Google Scholar] [CrossRef] [PubMed]
  4. Razak, R.A.A.; Kuntom, A.; Siew, W.L.; Ibrahim, N.A.; Ramli, M.R.; Hussein, R.; Nesaretnam, K. Detection and monitoring of 3-monochloropropane-1, 2-diol (3-MCPD) esters in cooking oils. Food Control. 2012, 25, 355–360. [Google Scholar] [CrossRef]
  5. Wei, T.; Liu, W.; Zheng, Z.; Chen, Y.; Shen, M.; Li, C. Bibliometric Analysis of Research Trends on 3-Monochloropropane-1, 2-Diol Esters in Foods. J. Agric. Food Chem. 2022, 70, 15347–15359. [Google Scholar] [CrossRef] [PubMed]
  6. Shimamura, Y.; Inagaki, R.; Oike, M.; Dong, B.; Gong, W.; Masuda, S. Glycidol Fatty Acid Ester and 3-Monochloropropane-1, 2-Diol Fatty Acid Ester in Commercially Prepared Foods. Foods 2021, 10, 2905. [Google Scholar] [CrossRef]
  7. Gao, P.; Zheng, Y.; Liu, H.; Yang, W.; Hu, C.; He, D. Effects of roasting and eodorizationn on 3-monochloropropane-1, 2-diol esters, 3, 4-benzopyrene and trans fatty acids in peanut oil. Food Addit. Contam. Part A 2022, 39, 451–461. [Google Scholar] [CrossRef]
  8. Huang, G.; Xue, J.; Sun, X.; Wang, J.; Yu, L.L. Necroptosis in 3-chloro-1, 2-propanediol (3-MCPD)-dipalmitate-induced acute kidney injury in vivo and its repression by miR-223-3p. Toxicology 2018, 406, 33–43. [Google Scholar] [CrossRef]
  9. Ozcagli, E.; Alpertunga, B.; Fenga, C.; Berktas, M.; Tsitsimpikou, C.; Wilks, M.F.; Tsatsakis, A.M. Effects of 3-monochloropropane-1, 2-diol (3-MCPD) and its metabolites on DNA damage and repair under in vitro conditions. Food Chem. Toxicol. 2016, 89, 1–7. [Google Scholar] [CrossRef]
  10. Food Standards Australia New Zealand (FSANZ). Tests Show More Soy Sauces Are Unsafe; Food Standards Australia New Zealand: Kingston, Australia, 2001.
  11. Pal, U.S.; Patra, R.K.; Sahoo, N.R.; Bakhara, C.K.; Panda, M.K. Effect of refining on quality and composition of sunflower oil. J. Food Sci. Technol. 2015, 52, 4613–4618. [Google Scholar] [CrossRef]
  12. Erickson, D.R. Chapter 5–Overview of Modern Soybean Processing and Links Between Processes. In Practical Handbook of Soybean Processing and Utilization; Erickson, D.R., Ed.; AOCS Press: Urbana, IL, USA, 1995; pp. 56–64. [Google Scholar]
  13. Ergönül, P.G.; Köseoğlu, O. Changes in α-, β-, γ- and δ-tocopherol contents of mostly consumed vegetable oils during refining process. CyTA. J. Food 2013, 12, 199–202. [Google Scholar]
  14. Alpaslan, M.; Tepe, S.; Simsek, O. Effect of refining processes on the total and individual tocopherol content in sunflower oil. Int. J. Food Sci. Technol. 2001, 36, 737–739. [Google Scholar] [CrossRef]
  15. Rane, R.; Marar, T.; Sonawane, S.K.; Dabade, A. A review on Instant Controlled Pressure Drop Technology (DIC) associated with Drying technology and effect on quality characteristics. Food Chem. Adv. 2022, 1, 100114. [Google Scholar] [CrossRef]
  16. Mannaï, A.; Jableoui, C.; Hamrouni, L.; Allaf, K.; Jamoussi, B. DIC as a pretreatment prior to ultrasonic extraction for the improvement of rebaudioside A yield and preservation of vitamin B1 and B6. J. Food Meas. Charact. 2019, 13, 2764–2772. [Google Scholar] [CrossRef]
  17. Allaf, T.; Besombes, C.; Mih, I.; Lefevre, L.; Allaf, K. Decontamination of Solid and Powder Foodstuffs using DIC Technology. In Advances in Computer Science and Engineering; IntechOpen: London, UK, 2011. [Google Scholar] [CrossRef]
  18. Allaf, T.; Mounir, S.H.; Tomao, V.; Chemat, F. Instant Controlled Pressure Drop Combined to Ultrasounds as Innovative Extraction Process Combination: Fundamental Aspects. Procedia Eng. 2012, 42, 1061–1078. [Google Scholar] [CrossRef]
  19. Allaf, T.; Fine, F.; Tomao, V.; Nguyen, C.; Ginies, C.; Chemat, F. Impact of instant controlled pressure drop pre-treatment on solvent extraction of edible oil from rapeseed seeds. OCL Oilseeds Fats Crops Lipids 2014, 21, A301. [Google Scholar] [CrossRef]
  20. Allaf, T.; Tomao, V.; Ruiz, K.; Bachari, K.; Maataoui, M.; Chemat, F. Deodorization by instant controlled pressure drop auto-vaporization of rosemary leaves prior to solvent extraction of antioxidants. LWT Food Sci. Technol. 2013, 55, 111–119. [Google Scholar] [CrossRef]
  21. Chemat, F.; Vorobiev, E. Green Food Processing Techniques: Preservation, Transformation and Extraction; Academic Press: Cambridge, MA, USA; Elsevier Inc.: London, UK, 2019; ISBN 9780128154434. [Google Scholar]
  22. Jablaoui, C.; Besombes, C.; Jamoussi, B.; Rhazi, L.; Allaf, K. Comparison of expander and Instant Controlled Pressure-Drop DIC technologies as thermomechanical pretreatments in enhancing solvent extraction of vegetal soybean oil. Arab. J. Chem. 2020, 13, 7235–7246. [Google Scholar] [CrossRef]
  23. Bouallegue, K.; Allaf, T.; Van, C.N.; Ben, R. Impact of texturing/cooling by Instant controlled pressure drop DIC on pressing and/or solvent extraction of vegetal oil. Int. J. Eng. Res. 2016, 2, 12. [Google Scholar]
  24. Bouallegue, K.; Allaf, T.; Younes, R.B.; Téllez-Pérez, C.; Besombes, C.; Allaf, K. Pressure, temperature and processing time in enhancing Camelina sativa oil extraction by Instant Controlled Pressure-Drop (DIC) texturing pre-treatment. Grasas Y Aceites 2020, 71, e365. [Google Scholar] [CrossRef]
  25. Destaillats, F.; Craft, B.D.; Sandoz, L.; Nagy, K. Formation mechanisms of monochloropropanediol (MCPD) fatty acid diesters in refined palm (Elaeis guineensis) oil and related fractions. Food Addit. Contam. Part A 2012, 29, 29–37. [Google Scholar] [CrossRef]
  26. Craft, B.D.; Nagy, K.; Sandoz, L.; Destaillats, F. Factors impacting the formation of monochloropropanediol (MCPD) fatty acid diesters during palm (Elaeis guineensis) oil production. Food Addit. Contam. Part A 2012, 29, 354–361. [Google Scholar] [CrossRef] [PubMed]
  27. Ben Hammouda, I.; Zribi, A.; Ben Mansour, A.; Matthäus, B.; Bouaziz, M. Effect of deep-frying on 3-MCPD esters and glycidyl esters contents and quality control of refined olive pomace oil blended with refined palm oil. Eur. Food Res. Technol. 2017, 243, 1219–1227. [Google Scholar] [CrossRef]
  28. Stauff, A.; Schneider, E.; Heckel, F. 2-MCPD, 3-MCPD and fatty acid esters of 2-MCPD, 3-MCPD and glycidol in fine bakery wares. Eur. Food Res. Technol. 2020, 246, 1945–1953. [Google Scholar] [CrossRef]
  29. Pech-Almeida, J.L.; Téllez-Pérez, C.; Alonzo-Macías, M.; Teresa-Martínez, G.D.; Allaf, K.; Allaf, T.; Cardador-Martínez, A. An Overview on Food Applications of the Instant Controlled Pressure-Drop Technology, an Innovative High Pressure-Short Time Process. Molecules 2021, 26, 6519. [Google Scholar] [CrossRef] [PubMed]
  30. Jablaoui, C.; Zeaiter, A.; Bouallegue, K.; Jamoussi, B.; Besombes, C.; Allaf, T.; Allaf, K. Instant controlled pressure drop as new intensification ways for vegetal oil extraction. In Green Food Processing Techniques; Academic Press: Cambridge, MA, USA, 2019; pp. 221–244. [Google Scholar]
  31. Jamoussi, B.; Jablaoui, C.; Hajri, A.K.; Chakroun, R.; Al-Mur, B.; Allaf, K. Deodorization process of vegetal soybean oil using Thermomechanical Multi-Flash Autovaporization (MFA). LWT Food Sci. Technol. 2022, 167, 113823. [Google Scholar] [CrossRef]
  32. Wenzyl, T.; Samara, V.; Giri, A.; Butttinger, G.; Karasek, L.; Zelinkova, Z. Development and Validation of Analytical Methods for the Analysis of 3-MCPD (Both in Free and Ester Form) and Glycidyl Esters in Various Food Matrices and Performance of an Ad-Hoc Survey on Specific Food Groups in Support to a Scientific Opinion on Comprehensive Risk Assessment on the Presence of 3-MCPD and Glycidyl Esters in Food; EN-799; EFSA Supporting Publications: Parma, Italy, 2015. [Google Scholar]
  33. Hamzaoui, A.H.; Jamoussi, B.; M’nif, A. Lithium recovery from highly concentrated solutions: Response surface methodology (RSM) process parameters optimization. Hydrometallurgy 2008, 90, 1–7. [Google Scholar] [CrossRef]
  34. Elboughdiri, N.; Ghernaout, D.; Kriaa, K.; Jamoussi, B. Enhancing the Extraction of Phenolic Compounds from Juniper Berries Using the Box-Behnken Design. ACS Omega 2020, 5, 27990–28000. [Google Scholar] [CrossRef]
  35. Jamoussi, B.; Jablaoui, C.; Hajri, A.K.; Chakroun, R.; Al-Mur, B.; Allaf, K. Thermomechanical Autovaporization (MFA) as a Deodorization Process of Palm Oil. Foods 2022, 11, 3952. [Google Scholar] [CrossRef]
  36. Nidzam, M.S.; Hossain, M.S.; Ismail, N.; Abdul Latip, R.; Mohammad Ilias, M.K.; Mobin Siddique, M.B.; Zulkifli, M. Influence of the Degumming Process Parameters on the Formation of Glyceryl Esters and 3-MCPDE in Refined Palm Oil: Optimization and Palm Oil Quality Analyses. Foods 2022, 11, 124. [Google Scholar] [CrossRef]
  37. Zulkurnain, M.; Lai, O.M.; Latip, R.A.; Nehdi, I.A.; Ling, T.C.; Tan, C.P. The effects of physical refining on the formation of 3-monochloropropane-1,2-diol esters in relation to palm oil minor components. Food Chem. 2012, 135, 799–805. [Google Scholar] [CrossRef]
  38. Hew, K.S.; Asis, A.J.; Tan, T.B.; Yusoff, M.M.; Lai, O.M.; Nehdi, I.A.; Tan, C.P. Revising degumming and bleaching processes of palm oil refining for the mitigation of 3-monochloropropane-1,2-diol esters (3-MCPDE) and glycidyl esters (GE) contents in refined palm oil. Food Chem. 2020, 307, 125545. [Google Scholar] [CrossRef]
  39. Almoselhya, R.I.M.; Eida, M.M.; Abd El-Baseta, W.S.; Aboelhassan, A.F.A. Determination of 3-MCPD in Some Edible Oils using GC-MS/MS. Egypt. J. Chem. 2021, 64, 1639–1652. [Google Scholar]
  40. Melki, D.; Hedhili, L.; Hamrouni, L.; Negm, M.; Jamoussi, B.; Allaf, K. Towards Include Preservation of Vitamins in Fenugreek and Carob Seeds by the Instant Controlled Pressure-Drop Process (DIC Process). Food Nutr. Sci. 2018, 9, 3. [Google Scholar] [CrossRef]
  41. Suliman, T.E.M.A.; Jıang, J.; Lıu, Y. Chemical refining of sunflower oil: Effect on oil stability, total tocopherol, free fatty acids, and colour. Int. J. Eng. Sci. Technol. 2013, 5, 449–454. [Google Scholar]
Figure 1. Schematic diagram of DIC industrial unit.
Figure 1. Schematic diagram of DIC industrial unit.
Processes 11 01085 g001
Figure 2. Pressure and temperature evolution during DIC treatment.
Figure 2. Pressure and temperature evolution during DIC treatment.
Processes 11 01085 g002
Figure 3. Effect of DIC on the 3-MCPD concentration in Palm oil: Standardized Pareto Chart.
Figure 3. Effect of DIC on the 3-MCPD concentration in Palm oil: Standardized Pareto Chart.
Processes 11 01085 g003
Figure 4. The effect of reaction time and pressure on the formation of 3-MCPDE in palm oil-1 (A) and palm oil-2 (B).
Figure 4. The effect of reaction time and pressure on the formation of 3-MCPDE in palm oil-1 (A) and palm oil-2 (B).
Processes 11 01085 g004
Figure 5. GC-MS/MS chromatograms of 3-MCPD in Palm Oil 1 (Finished). * Retention time. ** Precursor ion (m/z) and product ion (m/z).
Figure 5. GC-MS/MS chromatograms of 3-MCPD in Palm Oil 1 (Finished). * Retention time. ** Precursor ion (m/z) and product ion (m/z).
Processes 11 01085 g005
Figure 6. GC-MS/MS chromatograms of 3-MCPD in Palm Oil 2 (Finished). * Retention time. ** Precursor ion (m/z) and product ion (m/z).
Figure 6. GC-MS/MS chromatograms of 3-MCPD in Palm Oil 2 (Finished). * Retention time. ** Precursor ion (m/z) and product ion (m/z).
Processes 11 01085 g006
Figure 7. GC-MS/MS chromatograms of 3-MCPD in Palm Oil 1 (Raw). * Retention time. ** Precursor ion (m/z) and product ion (m/z).
Figure 7. GC-MS/MS chromatograms of 3-MCPD in Palm Oil 1 (Raw). * Retention time. ** Precursor ion (m/z) and product ion (m/z).
Processes 11 01085 g007
Figure 8. GC-MS/MS chromatograms of 3-MCPD in Palm Oil 1 (Refined). * Retention time. ** Precursor ion (m/z) and product ion (m/z).
Figure 8. GC-MS/MS chromatograms of 3-MCPD in Palm Oil 1 (Refined). * Retention time. ** Precursor ion (m/z) and product ion (m/z).
Processes 11 01085 g008
Figure 9. GC-MS/MS chromatograms of 3-MCPD in Palm Oil 2 (Refined). * Retention time. ** Precursor ion (m/z) and product ion (m/z).
Figure 9. GC-MS/MS chromatograms of 3-MCPD in Palm Oil 2 (Refined). * Retention time. ** Precursor ion (m/z) and product ion (m/z).
Processes 11 01085 g009
Figure 10. GC-MS/MS chromatograms of 3-MCPD in Palm Oil 2 (Raw). * Retention time. ** Precursor ion (m/z) and product ion (m/z).
Figure 10. GC-MS/MS chromatograms of 3-MCPD in Palm Oil 2 (Raw). * Retention time. ** Precursor ion (m/z) and product ion (m/z).
Processes 11 01085 g010
Table 1. Physical properties of Crude palm oil samples.
Table 1. Physical properties of Crude palm oil samples.
Raw Palm OilDensity (g/cm3)Acid Value
(mg KOH/g)
Viscosity at 40 °C (mm2/s)
Palm oil 10.8642.083.5
Palm oil 20.8591.6343.4
Table 2. DIC treatment parameters for the reduction of 3-MCPD.
Table 2. DIC treatment parameters for the reduction of 3-MCPD.
VariableSymbolLevel
−α−10+1
Pressure (kPa)X1200.00236.61325.00413.39450.00
Time (s/cycle)X25.008.6617.5026.3430.00
Table 3. Recovery for four concentration levels (RPO spiked with 3-MCPD).
Table 3. Recovery for four concentration levels (RPO spiked with 3-MCPD).
Concentration (μg/Kg) n = 6% RecoveryRSD (%)
396.88.23
5105.65.34
50102.54.15
75103.93.22
Table 4. 3-MCPD experiments and yields based on the central composite design.
Table 4. 3-MCPD experiments and yields based on the central composite design.
RunX1X2Yield (ng/mL)
3-MCPD (Oil-1)3-MCPD (Oil-2)
ActualPredictedActualPredicted
1325.017.506.416.106.956.99
2450.017.505.105.535.136.21
3325.030.005.085.385.186.84
4325.017.505.466.105.686.99
5413.426.345.304.855.443.94
6413.48.666.616.349.849.17
7325.017.506.616.108.096.99
8236.68.667.107.2114.6113.95
9236.626.346.846.7614.6813.19
10325.017.506.586.107.186.99
11200.017.507.597.4915.0716.13
12325.05.006.706.7410.6011.08
13325.017.505.466.107.086.99
Table 5. ANOVA of the response surface quadratic model for 3-MCPD concentration in palm oil-1 and oil-2.
Table 5. ANOVA of the response surface quadratic model for 3-MCPD concentration in palm oil-1 and oil-2.
OilSourceSum Squares
(Sum sq)
Degree of Freedom
(Df)
Mean Square
(Mean sq)
F-Valuep-Value
Oil-1X1: Pressure3.8521113.8521113.57*0.0078
X2: Time1.8633911.863396.56*0.0374
X1X10.29745510.2974551.050.3400
X1X20.27562510.2756250.970.3572
X2X20.0029906710.002990670.010.9211
Total error1.986970.283843
Total (corr.)8.2915712
R2 = 0.760371; R2(adj) = 0.589207; Standard error of estimate (SES) = 0.532769; Mean absolute error (MAE) = 0.334355; Durbin-Watson Statistics = 1.54084 (p = 0.4378)
Oil-2X1:Pressure98.4715198.471550.76*0.0002
X2:Time17.9845117.98459.27*0.0187
X1X130.3581130.358115.65*0.0055
X1X24.9952314.995232.570.1526
X2X26.7347316.734733.470.1047
Total error13.579571.93993
Total (corr.)168.97312
R2 = 0.919635; R2(adj) = 0.86 2232; Standard error of estimate (SES) = 1.39282; Mean absolute error (MAE) = 0.870076; Durbin-Watson Statistics = 1.11377 (p = 0.1315)
* Significant effect. R2(adj) = adjusted regression coefficient, R2 = regression coefficient.
Table 6. Contents of 3-MCPD (μg/kg) in the studied oils.
Table 6. Contents of 3-MCPD (μg/kg) in the studied oils.
3-MCPD (μg/kg)3-MCPD Maximum Level (μg/kg) Recommended by Commission Regulation (EU) 2020/1322
Palm Oil 1 (Raw)2.18 ± 0.161250
Palm Oil 1 (Finished)10.18 ± 0.21 1250
Palm Oil 1 (Refined)0.00 ± 0.011250
Palm Oil 2 (Raw)7.34 ± 0.081250
Palm Oil 2 (Finished)8.64 ± 0.111250
Palm Oil 2 (Refined)5.20 ± 0.241250
Table 7. Tocopherol content in raw materials and products treated by traditional methods and DIC methods based on the central composite design.
Table 7. Tocopherol content in raw materials and products treated by traditional methods and DIC methods based on the central composite design.
RunPressure (kPa)Time (s)Amount (mg/Kg)
Oil-1Oil-2
αβγδTotalαβγδTotal
Raw--224.5134.5134.5136.5630.0231.4127.4127.4141.3627.5
Traditional
treatment
--123.5n.d.10.3n.d.133.8132.8n.d.8.9n.d.141.7
DIC-1325.017.50221.0132.8132.8134.6621.2228.5125.5126.0137.0617.0
DIC-2450.017.50217.5129.6129.6133.7610.4223.0123.5123.8135.4605.7
DIC-3325.030.00220.5133.0131.5135.7620.7226.0126.0127.0138.0617.0
DIC-4325.017.50220.8132.5132.5134.7620.5228.0126.0125.5136.5616.0
DIC-5413.426.34219.4133.8133.6132.0620.3227.4125.8125.5135.0613.7
DIC-6413.48.66221.5133.5132.5132.8620.3229.3127.0167.4134.0657.7
DIC-7325.017.50220.8132.0132.4134.0619.2227.5125.0125.5137.5615.5
DIC-8236.68.66222.5133.5133.4135.5624.9228.0126.7126.0140.0620.7
DIC-9236.626.34221.5134.0134.5135.5624.5227.0127.0127.0138.5619.5
Standard deviation1.41.31.41.34.21.81.113.91.914.7
Average220.6132.7132.5134.3620.2227.2125.8130.4136.9620.3
Coefficient of variance0.71.01.11.00.70.80.910.71.42.3
Disclaimer/Publisher’s Note: The statements, opinions and data contained in all publications are solely those of the individual author(s) and contributor(s) and not of MDPI and/or the editor(s). MDPI and/or the editor(s) disclaim responsibility for any injury to people or property resulting from any ideas, methods, instructions or products referred to in the content.

Share and Cite

MDPI and ACS Style

Alzahrani, S.A.; Jamoussi, B.; Neamatallah, A.A.; Aloufi, F.A.; Halawani, R.F.; Chakroun, R.; Jablaoui, C. Instant Controlled Pressure Drop (DIC) Processing to Reduce 3-Monochloropropane-1,2-diol Concentration in Palm Oil. Processes 2023, 11, 1085. https://doi.org/10.3390/pr11041085

AMA Style

Alzahrani SA, Jamoussi B, Neamatallah AA, Aloufi FA, Halawani RF, Chakroun R, Jablaoui C. Instant Controlled Pressure Drop (DIC) Processing to Reduce 3-Monochloropropane-1,2-diol Concentration in Palm Oil. Processes. 2023; 11(4):1085. https://doi.org/10.3390/pr11041085

Chicago/Turabian Style

Alzahrani, Saleh A., Bassem Jamoussi, Abdullatif A. Neamatallah, Fahed A. Aloufi, Riyadh F. Halawani, Radhouane Chakroun, and Cherif Jablaoui. 2023. "Instant Controlled Pressure Drop (DIC) Processing to Reduce 3-Monochloropropane-1,2-diol Concentration in Palm Oil" Processes 11, no. 4: 1085. https://doi.org/10.3390/pr11041085

APA Style

Alzahrani, S. A., Jamoussi, B., Neamatallah, A. A., Aloufi, F. A., Halawani, R. F., Chakroun, R., & Jablaoui, C. (2023). Instant Controlled Pressure Drop (DIC) Processing to Reduce 3-Monochloropropane-1,2-diol Concentration in Palm Oil. Processes, 11(4), 1085. https://doi.org/10.3390/pr11041085

Note that from the first issue of 2016, this journal uses article numbers instead of page numbers. See further details here.

Article Metrics

Back to TopTop