Influence of Impeller and Mixing Tank Shapes on the Solid–Liquid Mixing Characteristics of Vanadium-Bearing Shale Based on the DEM-VOF Method
Abstract
:1. Introduction
2. Mathematical Models
2.1. Coupling Scheme
2.2. Liquid-Phase VOF Model
2.3. DEM Model Particle Motion Equation
2.4. Quantitative Standards for Particle Mixing Homogeneity
3. Model Validation and Parameters
3.1. Single Particle Falls Free into the Water
3.2. Model Volume Conservation Verification
3.3. Grid Independence Verification
3.4. Geometric Model and Simulation Parameters
4. Results and Discussion
4.1. Influence of Stirred Tank Shape on Particle Suspension and Free Surface
4.2. The Influence of the Shape of the Stirring Tank on the Flow Field Type
4.3. Improvements to the Round Bottom Mixing Tank
4.3.1. Influence of Impeller on Particle Suspension Effect
4.3.2. Effect of Mixing Tank Shape on Solid–Liquid Suspension
4.4. Validation of the Optimization of the Structure of the Mixing Tank
5. Conclusions
- The uniformity of particle suspension was related to the height of the structure at the bottom of the mixing tank. The sudden change in velocity of the flow field at the bottom of a flat-bottomed stirring tank led to the stratification of the particles when the particle density was low, while the flow field at the bottom of the round-bottomed stirring tank formed a circular flow, which alleviated the sudden change in velocity at the bottom and suppressed the stratification of the particles.
- The inclination of the paddle had a great influence on particle suspension and homogeneity, and PBA45 had the best mixing effect as the inclined blade paddle. At the same time, it was found that the mixing effect of the Rushton was better than that of the inclined blade paddle, but the power of the Rushton was greater, about two times higher than that of the PBA45, and its economic applicability should be considered in industrial production.
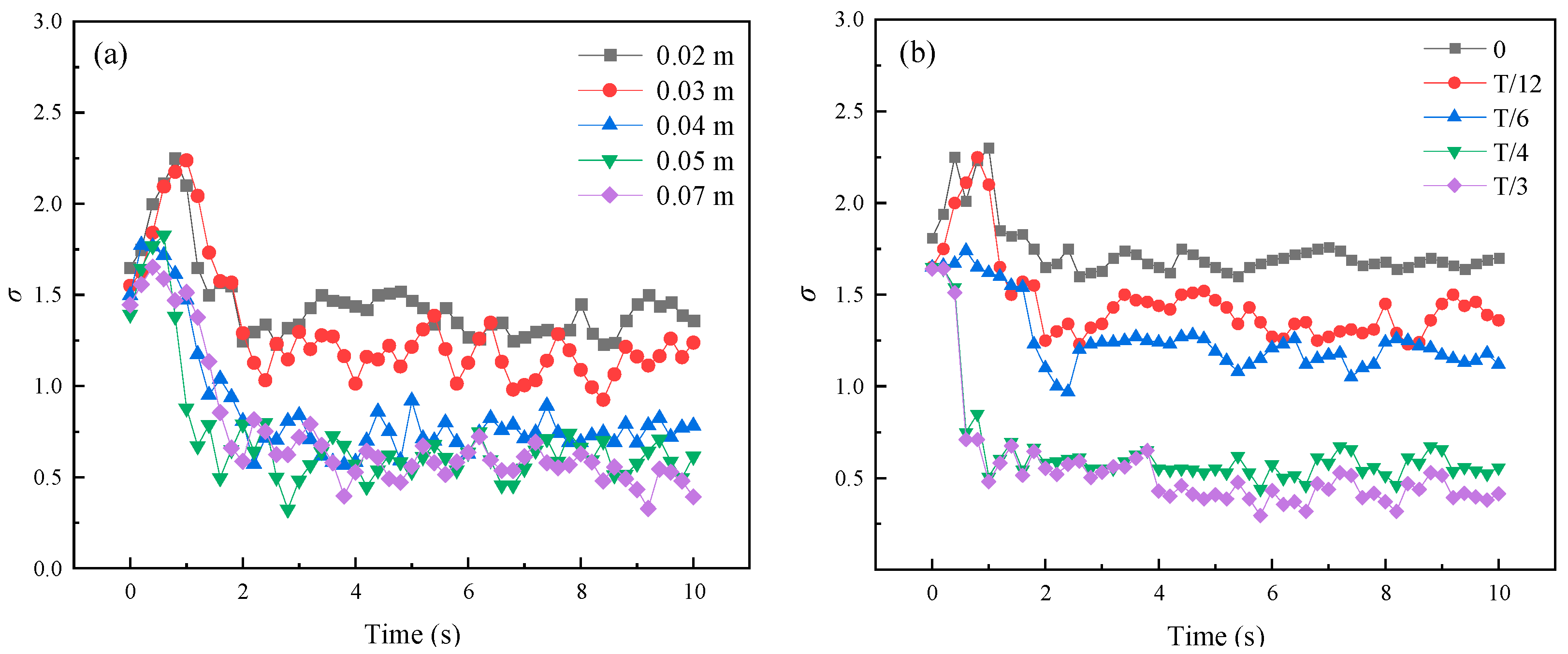
- The suspension of the particles was closely related to the shape of the mixing tank. In this study, the structure of the stirring tank was optimized for particles with a density of 2400 kg/m3 at different bulge widths and heights. The number of particle collisions should be considered to obtain the highest leaching rate when the difference in suspension uniformity is not too great. The optimum structure parameters were finally determined to be 0.05 m in width and T/4 in height, providing a good guide for industrial production and the optimization of the stirred tank structure.
Author Contributions
Funding
Data Availability Statement
Acknowledgments
Conflicts of Interest
References
- Paul, E.L.; Atiemo-Obeng, V.A.; Kresta, S.M. Handbook of Industrial Mixing: Science and Practice; John Wiley & Sons: Hoboken, NJ, USA, 2004. [Google Scholar]
- Kresta, S.M.; Etchells, A.W., III; Dickey, D.S.; Atiemo-Obeng, V.A. Advances in Industrial Mixing: A Companion to the Handbook of Industrial Mixing; John Wiley & Sons: Hoboken, NJ, USA, 2015. [Google Scholar]
- Nienow, A.W.; Edwards, M.F.; Harnby, N. Mixing in the Process Industries; Butterworth-Heinemann: Oxford, UK, 1997. [Google Scholar]
- Visscher, F.; Van der Schaaf, J.; Nijhuis, T.; Schouten, J. Rotating Reactors-a Review. Chem. Eng. Res. Des. 2013, 91, 1923–1940. [Google Scholar] [CrossRef]
- Tamburini, A.; Cipollina, A.; Micale, G.; Brucato, A.; Ciofalo, M. CFD Simulations of Dense Solid-Liquid Suspensions in Baffled Stirred Tanks: Prediction of Suspension Curves. Chem. Eng. J. 2011, 178, 324–341. [Google Scholar] [CrossRef]
- Blais, B.; Bertrand, O.; Fradette, L.; Bertrand, F. CFD-DEM Simulations of Early Turbulent Solid-Liquid Mixing: Prediction of Sus-pension Curve and Just-Suspended Speed. Chem. Eng. Res. Des. 2017, 123, 388–406. [Google Scholar] [CrossRef]
- Tamburini, A.; Cipollina, A.; Micale, G.; Brucato, A.; Ciofalo, M. CFD simulations of dense solid-liquid suspensions in baffled stirred tanks: Prediction of solid particle distribution. Chem. Eng. J. 2013, 223, 875–890. [Google Scholar] [CrossRef]
- Scully, J.; Frawley, P. Computational Fluid Dynamics Analysis of the Suspension of Nonspherical Particles in a Stirred Tank. Ind. Eng. Chem. Res. 2011, 50, 2331–2342. [Google Scholar] [CrossRef]
- Fan, Y.; Sun, J.; Jin, J.; Zhang, H.; Chen, W. The Effect of Baffle on Flow Structures and Dynamics Stirred by Pitch Blade Turbine. Chem. Eng. Res. Des. 2021, 168, 227–238. [Google Scholar] [CrossRef]
- Shao, T.; Hu, Y.; Wang, W.; Jin, Y.; Cheng, Y. Simulation of Solid Suspension in a Stirred Tank Using CFD-DEM Coupled Approach. Chin. J. Chem. Eng. 2013, 21, 1069–1081. [Google Scholar] [CrossRef]
- Hoseini, S.S.; Najafi, G.; Ghobadian, B.; Akbarzadeh, A.H. Impeller Shape-Optimization of Stirred-Tank Reactor: CFD and Fluid Structure Interaction Analyses. Chem. Eng. J. 2021, 413, 1–18. [Google Scholar] [CrossRef]
- Tamburini, A.; Gagliano, G.; Micale, G.; Brucato, A.; Scargiali, F.; Ciofalo, M. Direct Numerical Simulations of Creeping to Early Turbulent Flow in Unbaffled and Baffled Stirred Tanks. Chem. Eng. Sci. 2018, 192, 161–175. [Google Scholar] [CrossRef]
- Gonzalez-Neria, I.; Alonzo-Garcia, A.; Martínez-Delgadillo, S.A.; Mendoza-Escamilla, V.X.; Yanez-Varela, J.A.; Verdin, P.G.; Rivadeneyra-Romero, G. PIV and Dynamic LES of the Turbulent Stream and Mixing Induced by a V-Grooved Blade Axial Agitator. Chem Eng. J. 2019, 374, 1138–1152. [Google Scholar] [CrossRef]
- Saikali, E.; Rodil, M.G.; Bois, G.; Bieder, U.; Leterrier, N.; Bertrand, M.; Dolias, Y. Validation of the Hydrodynamics in a Turbulent Un-Baffled Stirred Tank: A Necessity for Vortex-Reactor Precipitation Studies. Chem. Eng. Sci. 2020, 214, 1–19. [Google Scholar]
- Zhang, W.; Chen, X.; Pan, W.; Xu, J. Numerical Simulation of Wake Structure and Particle Entrainment Behavior during a Single Bubble Ascent in Liquid-Solid System. Chem. Eng. Sci. 2022, 253, 117573. [Google Scholar] [CrossRef]
- Zhang, L.; Feng, Z.; Sun, M.; Guan, H.; Jin, H.; Shi, H. Modeling of Long-Term Shock Interaction with a Movable Particle Curtain in a Rectangular Tube Based on a Dense Discrete Phase Model. Powder Technol. 2023, 415, 118116. [Google Scholar] [CrossRef]
- Xu, L.; Wu, F.; Wang, J. DDPM Simulation of the Erosion of Immersed Tubes in a Pulsating Fluidized Bed. Chem. Eng. Sci. 2023, 269, 118475. [Google Scholar] [CrossRef]
- Derksen, J.J. Numerical Simulation of Solids Suspension in a Stirred Tank. Am. Inst. Chem. Eng. 2003, 49, 2700–2714. [Google Scholar] [CrossRef]
- Grenville, R.; Mak, A.; Brown, D. Suspension of Solid Particles in Vessels Agitated by Axial Flow Impellers. Chem. Eng. Res. Des. 2015, 100, 282–291. [Google Scholar] [CrossRef]
- Blais, B.; Lassaigne, M.; Goniva, C.; Fradette, L.; Bertrand, F. Development of an Unresolved CFD-DEM Model for the Flow of Viscous Suspensions and its Application to Solid–Liquid Mixing. J. Comput. Phys. 2016, 318, 201–221. [Google Scholar] [CrossRef]
- Satjaritanun, P.; Regalbuto, J.R.; Regalbuto, J.A. Mixing Optimization with Inward Flow Configuration Contra-Rotating Impeller, Baffle-Free Tank. Alex. Eng. J. 2021, 60, 3759–3779. [Google Scholar] [CrossRef]
- Woziwodzki, S.; Broniarz-Press, L.; Ochowiak, M. Effect of Eccentricity on Transitional Mixing in Vessel Equipped with Turbine Impellers. Chem. Eng. Res. Des. 2010, 88, 1607–1614. [Google Scholar] [CrossRef]
- Ameur, H. Effect of the Shaft Eccentricity and Rotational Direction on the Mixing Characteristics in Cylindrical Tank Reactors. Chin. J. Chem. Eng. 2016, 24, 1647–1654. [Google Scholar] [CrossRef]
- Wu, L.; Gong, M.; Wang, J. Development of a DEM-VOF Model for the Turbulent Freesurface Flows with Particles and its Application to Stirred Mixing System. Ind. Eng. Chem. Res. 2018, 57, 1714–1725. [Google Scholar] [CrossRef]
- Kang, Q.; He, D.; Zhao, N.; Feng, X.; Wang, J. Hydrodynamics in Unbaffled Liquid-Solid Stirred Tanks with Free Surface Studied by DEM-VOF Method. Chem. Eng. J. 2020, 386, 122846. [Google Scholar] [CrossRef]
- Jia, H.; Wang, F.; Wu, J.; Tan, X.; Li, M. CFD Research on the Influence of 45° Disk Turbine Agitator Blade Diameter on the Solid–Liquid Mixing Characteristics of the Cone-Bottom Stirred Tank. Arab. J. Sci. Eng. 2020, 45, 5741–5749. [Google Scholar] [CrossRef]
- Wu, T.R.; Chu, C.R.; Huang, C.J.; Wang, C.Y.; Chien, S.Y.; Chen, M.Z. A Two-Way Coupled Simulation of Moving Solids in Free-Surface Flows. Comput. Fluids 2014, 100, 347–355. [Google Scholar] [CrossRef]
- ANSYS, Inc. ANSYS FLUENT Theory Guide, Release 15; ANYSYS: Canonsburg, PA, USA, 2013. [Google Scholar]
- Ferziger, J.H.; Peric, M. Computational Methods for Fluid Dynamics, 3rd ed.; Springer: Berlin/Heidelberg, Germany, 2002. [Google Scholar]
- Derakhshani, S.M.; Schott, D.L.; Lodewijks, G. Micro–Macro Properties of Quartz Sand: Experimental Investigation and DEM Simulation. Powder Technol. 2015, 296, 127–138. [Google Scholar] [CrossRef]
- Bohnet, M.; Niesmak, G. Distribution of Solids in Stirred Suspensions. Ger. Chem. Eng. 1980, 3, 57–65. [Google Scholar]
- Xie, L.; Luo, Z.H. Modeling and Simulation of the Influences of Particle-Particle Interactions on Dense Solid-Liquid Suspensions in Stirred Vessels. Chem. Eng. Sci. 2018, 176, 439–453. [Google Scholar] [CrossRef]















| Group No. | dp (m) | ρp (kg/m3) | ρf (kg/m3) | μf (Pa s) | ut (m/s) | Ret27 |
|---|---|---|---|---|---|---|
| (1) | 0.002 | 2400 | 1078 | 0.0005 | 0.2697 | 1163.21 |
| (2) | 0.003 | 2400 | 1078 | 0.001 | 0.3303 | 1068.48 |
| (3) | 0.004 | 2400 | 1078 | 0.001 | 0.3815 | 1645.04 |
| Symbol | Items | Geometric Sizes |
|---|---|---|
| T | Diameter | 0.19 m |
| H | Liquid level | T |
| P | Distance between impeller and round bottom | T/8 |
| C | Height | 4T/3 |
| L | Diameter of impeller | T/2 |
| E | Ellipsoidal head height | T/6 |
| M | Impeller width | L/5 |
| D | Bump height | T/12, T/6, T/5, T/4, T/3 |
| W | Bump width | 0.02 m, 0.03 m, 0.04 m,0.05 m, 0.06 m, 0.07 m |
Disclaimer/Publisher’s Note: The statements, opinions and data contained in all publications are solely those of the individual author(s) and contributor(s) and not of MDPI and/or the editor(s). MDPI and/or the editor(s) disclaim responsibility for any injury to people or property resulting from any ideas, methods, instructions or products referred to in the content. |
© 2023 by the authors. Licensee MDPI, Basel, Switzerland. This article is an open access article distributed under the terms and conditions of the Creative Commons Attribution (CC BY) license (https://creativecommons.org/licenses/by/4.0/).
Share and Cite
Hu, Y.; Zhang, Y.; Xue, N.; Zheng, Q. Influence of Impeller and Mixing Tank Shapes on the Solid–Liquid Mixing Characteristics of Vanadium-Bearing Shale Based on the DEM-VOF Method. Processes 2023, 11, 1207. https://doi.org/10.3390/pr11041207
Hu Y, Zhang Y, Xue N, Zheng Q. Influence of Impeller and Mixing Tank Shapes on the Solid–Liquid Mixing Characteristics of Vanadium-Bearing Shale Based on the DEM-VOF Method. Processes. 2023; 11(4):1207. https://doi.org/10.3390/pr11041207
Chicago/Turabian StyleHu, Yue, Yimin Zhang, Nannan Xue, and Qiushi Zheng. 2023. "Influence of Impeller and Mixing Tank Shapes on the Solid–Liquid Mixing Characteristics of Vanadium-Bearing Shale Based on the DEM-VOF Method" Processes 11, no. 4: 1207. https://doi.org/10.3390/pr11041207
APA StyleHu, Y., Zhang, Y., Xue, N., & Zheng, Q. (2023). Influence of Impeller and Mixing Tank Shapes on the Solid–Liquid Mixing Characteristics of Vanadium-Bearing Shale Based on the DEM-VOF Method. Processes, 11(4), 1207. https://doi.org/10.3390/pr11041207
