Flow Performance Analysis of Double-Chamber Gas–Liquid Transferring Device
Abstract
:1. Introduction
2. Working Principle and On-Site Performance Measurement
3. Numerical Method
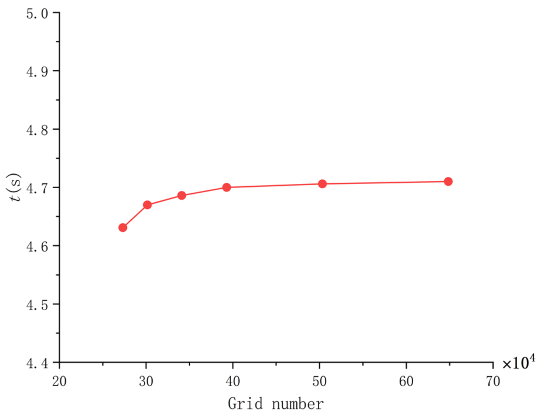
4. Result Analysis
4.1. Liquid Level and Gas–Liquid Two-Phase Distribution
4.2. Pressure, Temperature, and Flow Rate
5. Conclusions
- During the operation of the device, the gas–liquid medium forms phase separation in the circulating tanks due to gravity, and the inflow of the liquid pump is not entrained with the gas phase content. The liquid levels in the two tanks rise and drop periodically and alternately. The period of liquid level drop or rise is related to the inlet gas content , liquid pump flow and the volume of the circulating tank, which can be calculated by Equations (2) and (3), respectively.
- The operating cycle of the device can be divided into three processes, ‘suction-compression-discharge’, and the cycle period can be calculated according to Equation (4). The pressure in the tank in the suction chamber is basically consistent with the inlet pressure of the device, and the pressure in the tank in the discharge chamber is basically consistent with the outlet of the device. In the compression process, there is no outlet flow because the outlet valve of the device is temporarily closed, and the circulating tank as the discharge chamber is in a compressed state.
- In the suction and discharge processes, the temperatures of both phases in the device are basically the same, but there are significant differences in the compression process. Due to the absorption and the removal of the heat by liquid, the relationship between gas pressure and gas density is close to the isothermal compression process for an ideal gas, so the compression process of the gas phase in the tanks can be approximately treated as an isothermal process in engineering design.
- The double-chamber gas–liquid transferring devices are expected to become an effective gas–liquid two-phase transferring tool with wide application prospects, due to their simple structure and adaptability to various inflow conditions. For the next study, the influence of various factors on the flow performance will be analyzed, including operating conditions (inlet gas content, liquid pump flow, etc.) and structural parameters (pipeline, circulation tank, etc.).
Author Contributions
Funding
Data Availability Statement
Conflicts of Interest
References
- Mobbs, A. Subsea Multiphase Pumps in the Zafiro/Topacio Project. In Proceedings of the 4th Annual Texas A&M Multiphase Pump User Roundtable (MPUR), Houston, TX, USA, 9 May 2002. [Google Scholar]
- Saadawi, H.; Al Olama, S. Application of Multiphase Pumps in a Remote Oil Field Onshore Abu Dhabi. In Proceedings of the Middle East Oil Show Conference, Sakhir, Bahrain, 9–12 June 2003. [Google Scholar]
- Martin, A.M. Multiphase Twin-Screw Pump Modeling for the Oil and Gas Industry. Ph.D. Thesis, Texas A&M University, College Station, TX, USA, 2003. [Google Scholar]
- Vetter, G.; Wincek, M. Performance prediction of twin-screw pumps for two-phase gas/liquid flow. ASME 1993, 154, 331–340. [Google Scholar]
- Egashira, K.; Shoda, S.; Tochikawa, T.; Furukawa, A. Backflow in twin-screw-type multiphase pump. SPE Prod. Facil. 1998, 13, 64–69. [Google Scholar] [CrossRef]
- Muhammed, A.R.A.H. Rotordynamics of Twin-Screw Pumps. Ph.D. Thesis, Texas A&M University, College Station, TX, USA, 2013. [Google Scholar]
- Sun, S.H.; Wu, P.B.; Guo, P.C.; Yi, G.Z.; Kovacevic, A.; Zhang, H.; Wu, G.K. Numerical investigation on a double suction twin-screw multiphase pump. IOP Conf. Series Earth Environ. Sci. 2021, 774, 12048. [Google Scholar] [CrossRef]
- Skiftesvik, P.K.; Svaeren, J.A. Muliphase Pumps and Flow Meters-Status of Field Testing. In Proceedings of the Offshore Technology Conference, Houston, TX, USA, 1–4 May 1995. [Google Scholar]
- Engelam, E.; Torp, A.T. The Poseidon project and the future of multiphase production. In Proceedings of the Offshore Northern Seas Conference, Stavanger, Norway, 28–31 August 1990. [Google Scholar]
- Tosta Da Silva, L.; Carbone, L.C.; Coelho, E.J.D.J.; Cerqueira, M.B.; Kuchpil, C.; Maia De Souza, C.E. Barracuda Subsea Helico-Axial Multiphase Pump Project. In Proceedings of the MSOTC Conference, Houston, TX, USA, 6–9 May 2013. [Google Scholar]
- Anwar, Z.; Electric, G. Subsea Technology Multiphase Pumping. In Proceedings of the SPE/IATMI Asia Pacific Oil & Gas Conference and Exhibition, Jakarta, Indonesia, 17 October 2017. [Google Scholar]
- Huang, S.; Xue, D. Calculation of the internal flow in helico-axial type gas-liquid two-phase pump. In Proceedings of the International Conference on Pumps and Fans, Beijing, China, 1 January 1998. [Google Scholar]
- Huang, S.; Xue, D. Three-dimensional calculation of gas-oil two-phase flow in helico-axial booster-pump impeller. In Proceedings of the 1st International Conference on Engineering Thermophysics, Beijing, China, 1 January 1999. [Google Scholar]
- Ma, X.; Li, X.; Yang, D. Multi-objective Optimization design of the multiphase pump boosting cell. In Proceedings of the 2011 Second International Conference on Mechanic Automation and Control Engineering, Inner Mongolia, China, 15 July 2011. [Google Scholar]
- Suh, J.; Kim, J.; Choi, Y.; Joo, W.; Lee, K. A study on numerical optimization and performance verification of multiphase pump for offshore plant. Proc. Inst. Mech. Eng. Part A J. Power Energy 2017, 231, 382–397. [Google Scholar] [CrossRef]
- Liu, M.; Tan, L.; Xu, Y.; Cao, S. Optimization design method of multi-stage multiphase pump based on Oseen vortex. J. Pet. Sci. Eng. 2020, 184, 106532. [Google Scholar] [CrossRef]
- Guan, T. Dual-Chamber Liquid Reciprocating Multiphase Flow Mixing Method and Device. U.S. Patent CN201811286148.0, 1 January 2019. [Google Scholar]
- GuanFu Science and Technology Energy Co., Ltd. Application Case of GuanFu Mixed Transport Device. 2022. Available online: http://www.guanfukeji.com/PicList.aspx?ClassID=27 (accessed on 30 June 2022).
- Hirt, C.W.; Nichols, B.D. Volume of fluid (VOF) method for the dynamics of free boundaries. J. Comput. Phys. 1981, 39, 201–225. [Google Scholar] [CrossRef]
- Yakhot, V.; Orszag, S.A. Renormalization group analysis of turbulence. I. Basic theory. J. Sci. Comput. 1986, 1, 3–51. [Google Scholar] [CrossRef]
- Ansys Inc. ANSYS Fluent Users Guide; Release 2021 R1; Ansys Inc.: Canonsburg, MI, USA, 2021. [Google Scholar]
- Yunus, A.C.; Michael, A.B. Thermodynamics: An Engineering Approach, 8th ed.; McGraw-Hill: New York, NY, USA, 2015. [Google Scholar]
- Faragallah, W.H. Liquid Ring Vacuum Pumps and Compressors; Gulf: Houston, TX, USA, 1988. [Google Scholar]
- Bannwarth, H. Liquid Ring Vacuum Pumps, Compressors and Systems: Conventional and Hermetic Design; John Wiley & Sons: Hoboken, TX, USA, 2006. [Google Scholar]












| Component | Specification (mm) |
|---|---|
| Circulation tank | DN = 800, S = 8, H = 1950 |
| Suction and discharge pipe | Φ159 × 6 |
| Inlet pipe for liquid pump | Φ159 × 6 |
| Outlet pipe for liquid pump | Φ133 × 6 |
| Switching Time (s) | Gas (m3/h) | Liquid (m3/h) | Pressure Difference between Inlet and Outlet (MPa) | |
|---|---|---|---|---|
| On-site measurement | 177 | 38.53 | 57.38 | 0.54 |
| Simulation | 172.53 | 37.23 | 57.6 | 0.55 |
| Relative error | 2.53% | 3.37% | 3.83% | 1.85% |
Disclaimer/Publisher’s Note: The statements, opinions and data contained in all publications are solely those of the individual author(s) and contributor(s) and not of MDPI and/or the editor(s). MDPI and/or the editor(s) disclaim responsibility for any injury to people or property resulting from any ideas, methods, instructions or products referred to in the content. |
© 2023 by the authors. Licensee MDPI, Basel, Switzerland. This article is an open access article distributed under the terms and conditions of the Creative Commons Attribution (CC BY) license (https://creativecommons.org/licenses/by/4.0/).
Share and Cite
Huang, S.; Hu, Y.; Guan, T.; Fu, H.; Pan, Z. Flow Performance Analysis of Double-Chamber Gas–Liquid Transferring Device. Processes 2023, 11, 1311. https://doi.org/10.3390/pr11051311
Huang S, Hu Y, Guan T, Fu H, Pan Z. Flow Performance Analysis of Double-Chamber Gas–Liquid Transferring Device. Processes. 2023; 11(5):1311. https://doi.org/10.3390/pr11051311
Chicago/Turabian StyleHuang, Si, Yantao Hu, Tianri Guan, Hao Fu, and Ziqiang Pan. 2023. "Flow Performance Analysis of Double-Chamber Gas–Liquid Transferring Device" Processes 11, no. 5: 1311. https://doi.org/10.3390/pr11051311
APA StyleHuang, S., Hu, Y., Guan, T., Fu, H., & Pan, Z. (2023). Flow Performance Analysis of Double-Chamber Gas–Liquid Transferring Device. Processes, 11(5), 1311. https://doi.org/10.3390/pr11051311

