Abstract
Octagon (HMX) is a typical organic pollutant of explosives in the surrounding environments of military factories, and it is widely regarded as a carcinogen which may enter the human body through wastewater and atmospheric exposure, resulting in potential health risks. Therefore, this paper studies the degradation of HMX by electrochemical oxidation. In this study, an electrochemical system was built using a copper plate as the cathode and a Ti/PbO2 electrode as the anode. The effects of various process variables, such as the initial pH value, the current density, and the distance between the electrodes, were investigated in relation to HMX degradation. Following this, performance optimization and intermediate analysis were carried out, along with an estimation of the energy consumption of HMX deterioration in various operating situations. The experimental results in this paper show that when the electrolyte concentration is 0.25 mol/L, the current density is 70 mA/cm2, the electrode spacing is 1.0 cm, and the initial pH is 5.0. Electrochemical oxidation has a better treatment efficiency for pollutants, and the removal rate reaches 81.2%. The findings of kinetic research reveal that the electrochemical oxidation degradation process of HMX follows quasi-first-order kinetics, and protein stress and Deoxyribo Nucleic Acid (DNA) loss stress are significantly different from other stress types throughout the whole degradation process. HMX degradation solution causes damage to protein transcription or expression. However, some genes of oxidative stress are continuously up-regulated, because H2O2 and OH produced by electrochemical oxidation cause a strong response to oxidative stress in cells. The research findings in this report offer crucial guidance and suggestions for the industrialization of HMX wastewater treatment.
1. Introduction
The common cyclonitramine substances are cyclotrimethylene trinitramine (RDX), HMX, and hexanitrohexaazaisowurtzitane (HNIW), which are widely used in the chemical industry and printing and dyeing industry. HMX is the explosive with the highest energy level and the best comprehensive performance, and it is widely used in the warhead charges of missiles, nuclear weapons, and anti-tank missiles because of its good explosive performance [1]. Moreover, HMX is used to implant fissile materials into nuclear devices in order to reach the critical mass, as well as components of solid fuel rocket propellants. One of the main ways for ammunition compounds to enter the environment is to discharge the wastewater generated during manufacturing and processing. The wastewater discharged during the production and use of HMX contains a variety of toxic substances. Although the number of pollutants is small, if proper treatment measures are not taken, they will be likely to cause serious environmental pollution. Improper operation during the production and use of HMX will seriously pollute the environment around the factory. HMX has clear toxicity, and the US Environmental Protection Agency has listed it as a priority pollutant [2,3,4,5]. The toxicity of HMX is highly important for its biodegradation and transformation in the environment. If the HMX content in the environment exceeds the tolerance concentration of microorganisms, it will affect the activity of microbial communities, and then it will also affect the key ecosystem functions dominated by microbial communities. To be used in weapon models, energetic materials need to pass various performance tests. In addition to energy and sensitivity, HMX’s toxicity has attracted increasing attention. HMX is more stable and capable of detonating than other types of conventional explosives. However, the related toxic mechanism is still unclear. At present, the degree of automation in the field of energetic materials production in China is not high, the limitation of material toxicity on industrial production has not been fundamentally alleviated, and its prevalence rate among employees after exposure has not substantially decreased. One of the main reasons for this is that the poisoning mechanism of energetic materials is still unclear. In addition, the toxicity of HMX is highly important for its biodegradation and transformation in the environment. If the HMX content in the environment exceeds the tolerance concentration of microorganisms, it will affect the activity of microbial communities, and then it will also affect the key ecosystem functions dominated by microbial communities [6]. The HMX concentrations in groundwater, wastewater, and soil samples are shown in Table 1.
Table 1.
HMX concentration in groundwater, wastewater, and soil samples.
Modern oxidation techniques can simultaneously remove contaminants and increase the biodegradability of wastewater. A common method for treating difficult-to-biodegrade organic wastewater is the electrochemical oxidation process, which employs an anode and a cathode to convert electric energy into chemical energy in the presence of an external electric field. Direct oxidation and indirect oxidation are two categories of electrochemical oxidation processes. Pollutants are adsorbed on the anode surface during the direct oxidation process, where they are converted into tiny molecules of organic matter [7,8]. Direct oxidation comprises the oxidation of organic contaminants through the electrochemical reaction that produces powerfully oxidizing intermediates such hydroxyl radicals, chlorate, ozone, and hydrogen peroxide. Electrochemical oxidation has great potential for the treatment of explosive wastewater because it can completely oxidize organic contaminants in wastewater and result in a low chemical oxygen demand and toxicity. Many studies have been conducted in fields that are relevant to this one. Researchers have developed a number of techniques to degrade and detoxify textile wastewater in recent years. Among them, Jadhav et al. (2022) [9] explored the advanced oxidation approach, which was demonstrated to be an effective technique for breaking down dirty organic water into beneficial forms. The authors developed a synchronous X-ray-irradiation-assisted advanced oxidation process to degrade single- and mixed-color industrial wastewater solutions. Khue et al. (2021) [10] proposed that explosive compounds are harmful to the environment and pose a serious threat to human and animal health and ecosystems. The paper’s main goal was to assess the efficiency of ammonium nitrate explosives’ UV/H2O2 degradation and photo-Fenton and electrochemical/UV/H2O2 processes at a near-neutral pH. At present, there are few studies on the effects of HMX on human health. It has been reported that in HMX exposure experiments on rats, HMX may affect the liver and central nervous system if it is consumed or comes into contact with the skin, according to research on mice and rabbits. However, the mechanism of these adverse effects of HMX on the liver and nervous system is not clear. Through research records on various animals, it was found that the chronic effects of HMX include a decrease in hemoglobin, increase in serum alkaline phosphatase, and decrease in albumin [11]. The effects of HMX on reproduction and development have not been fully studied in humans or animals. However, studies have recorded the toxicity of HMX to most organisms, including soil microorganisms, plants, earthworms, invertebrates, and vertebrates. To sum up, the toxic changes in HMX and its degradation by-products can be studied in-depth using toxicological genomics technology, and the dose–effect relationship and mechanisms of different cell stress genes or pathways during HMX degradation can be revealed, thus providing a scientific basis for health risk assessment and the construction of prevention and control measures for HMX wastewater [12].
The electro-chemical oxidation system reported in this paper was built using a copper plate as the cathode and a Ti/PbO2 electrode as the anode based on the aforementioned research advances and inadequacies. In regard to HMX degradation, the impacts of several process variables, such as the initial pH value, current density, and electrode distance, are investigated. Several operating conditions are used to assess how much energy HMX deterioration consumes. The electro-chemical oxidation reaction mechanism is revealed as a result of performance improvement and intermediate analysis, which offers crucial information and direction for the industrialization of HMX wastewater treatment.
2. Materials and Methods
2.1. Preparation of Experimental Materials and Culture Medium
The main reagents used in this paper are shown in Table 2.
Table 2.
List of experimental chemical reagents.
The main instruments and equipment used in this paper are shown in Table 3.
Table 3.
Experimental instruments and equipment.
2.2. Experimental Design
The electrochemical reactor (8.7 × 9.2 × 12 cm, 500 mL) used in this experiment can be seen in Figure 1 [13]. The dimensions of the Ti/PbO2 anode and Cu cathode are 5.0 cm × 10.0 cm and 5.0 cm × 6.0 cm, respectively. The process is as follows: Dissolve 10 mg HMX in 500 mL deionized water, stir and dissolve at 45 °C, and finally, obtain HMX wastewater with a concentration of 20 mg/L. Use diluted H2SO4 (1 mol/L) and NaOH (1 mol/L) to adjust the pH value of the HMX wastewater. Establish different electrochemical oxidation systems with HMX as the target pollutant and carry out batch experiments.
Figure 1.
HMX wastewater treatment electro-oxidation system [14] (1. DC power supply, 2. copper wire, 3. anode, 4. cathode, 5. electrolyte, 6. rotor, 7. magnetic stirrer).
During the experiment, samples are taken at different time intervals (0 min, 15 min, 30 min, 45 min, 60 min, 90 min, 120 min, 150 min, and 180 min) assessing the influencing experimental factors, such as different Na2SO4 electrolyte concentrations (0.05 mol/L, 0.1 mol/L, 0.15 mol/L, 0.2 mol/L, 0.25 mol/L) and different current densities (10 mA/cm2, 20 mA/cm2, 30 mA/cm2, 40 mA/cm2, 50 mA/cm2). Finally, the best removal conditions for HMX wastewater are determined based on different electrolyte concentrations, current densities, and pH values. All the test solutions are taken from the supernatant, filtered using a 0.45 μm organic filter, and stored in high-pressure liquid chromatography (HPLC) vials for testing. The best experimental conditions are chosen, and samples of HMX wastewater are then collected in various time periods for further toxicological analysis.
2.3. Analytical Method
This method employs HPLC, or high-performance liquid chromatography, to measure the quantity of the HMX solution [15,16,17,18,19]. The mobile phase is composed of 40% acetonitrile and 60% water, and a C18 column is employed. The measurement wavelength of the HMX solution is 236 nm. The flow rate is 0.7 mL/min, the injection volume is 20 L, and the column temperature is fixed at 35 °C.
The mathematical calculation method of the HMX degradation efficiency can be written as shown in Equation (1):
In Equation (1), and are the initial concentration of HMX and the residual concentration at different treatment times, respectively.
2.4. Data Processing
In this paper, a histogram and scatter plot drawn using ORIGIN 2021 are provided [20,21,22,23]. In order to evaluate the stress category or gene activity, according to the previous research, the gene list is sorted by the TELI value for Gene Set Enrichment Analysis (GSEA). The enrichment score is determined for each stress reaction category by comparing the genes in order of high to low ranking. High scores are given if the genes are part of significantly altered pathways; otherwise, low scores are provided [24,25]. Each pathway’s relevance (p < 0.05) is determined by comparing its ranking score to the corresponding empirical distribution.
3. Result and Discussion
3.1. Influence of Electrolyte Concentration on Degradation of HMX by Electrochemical Oxidation
Na2SO4 was studied when the current density was 35 mA/cm2, the HMX concentration was 22 mg/L, the distance between the electrodes was 2 cm, and the pH value was 7.0. Figure 2 shows the influences of different electrolyte concentrations on HMX removal efficiency and energy consumption.
Figure 2.
Effects of different electrolyte concentrations on HMX removal efficiency and energy consumption ((a) concentration; (b) energy consumption).
As shown in Figure 2a, when the concentration of Na2SO4 is 0.05 mol/L, 0.1 mol/L, 0.15 mol/L, 0.20 mol/L, or 0.25 mol/L, the removal efficiency of HMX is 21%, 22%, 24%, 26%, or 27%, respectively, after 10 min of experimentation. After 30 min, the removal efficiency of HMX is 30.2%, 31%, 33%, 34%, or 38%, respectively. This shows that as the concentration of Na2SO4 rises, the removal efficiency of HMX does as well. The removal efficacy of HMX is the highest in Figure 2b, where the concentration of Na2SO4 is 0.25 mol/L, and there are no negative effects. In conclusion, the best electrolyte concentration obtained in this study is 0.25 mol/L Na2SO4.
3.2. Effect of Current Density on Degradation of HMX by Electrochemical Oxidation
In this paper, the influence of current density on HMX elimination is investigated at pH 7.0, a 0.25 mol/L electrolyte concentration, a 22 mg/L HMX concentration, and a 2 cm distance between the electrodes. Figure 3 displays the experimental findings for energy consumption and the impacts of various current densities on the effectiveness of HMX elimination.
Figure 3.
Effects of different current densities on HMX removal efficiency and energy consumption ((a) concentration; (b) energy consumption).
In Figure 3a, the clearance rate of HMX increases with the increase in the applied current density. In total, 180 min is needed to reach the greatest clearance rate of 76.6% at a current density of 70 mA/cm2. Figure 3b shows that as the applied current density increases, so does the energy dissipation required to remove the HMX. At a current density of 70 mA/cm2, the energy consumption is 3.4 kwh/g. Since the initial HMX concentration was fixed throughout this study at 22 mg/L, the mass transfer rate was constant and somewhat sluggish in all the tests. The electrochemical oxidation rate of HMX cannot be considerably improved by increasing current density; hence, other degradation pathways should contribute more to HMX degradation, leading to a higher degradation rate. Yet, the current density of 70 mA/cm2 was considered to be the best circumstance for the ensuing studies due to the thorough analysis of several elements.
3.3. Effect of Electrode Spacing on Degradation of HMX by Electrochemical Oxidation
When the current density was 70 mA/cm2, the electrolyte concentration was 0.25 mol/L, the HMX concentration was 20 mg/L, and the pH value was 7.0, the effect of the distance between the electrodes on HMX removal was investigated. Figure 4 shows the effects of different electrode distances on HMX removal efficiency and energy consumption.
Figure 4.
Effects of different electrode spacing on HMX removal efficiency and energy consumption ((a) concentration; (b) energy consumption).
In Figure 4, the removal efficiency of HMX is 72% when the distance between the electrodes is 0.5 cm after 200 min, 75% when the distance between the electrodes is 1 cm after 200 min, and 73% when the distance between the electrodes is 1.5 cm after 200 min. When the distance between the electrodes is 2 cm, the removal efficiency of HMX is 74%, and when the distance between the electrodes is 2.5 cm, the removal efficiency of HMX is 73%. This shows that the distance between the electrodes has no clear effect on the removal efficiency of HMX, and it is stable at approximately 75%. The electrode plate spacing of 1.0 cm is depicted in Figure 4a,b as the best.
3.4. Effect of pH on Degradation of HMX by Electrochemical Oxidation
The pH value of the solution affects the removal performance of organic pollutants in electrochemical oxidation systems. The conditions of strong acidity (pH = 3.5), acidity (pH = 5.5), neutrality (pH = 7.5), and alkalinity (pH = 9.5) were selected to evaluate the effect of pH value on HMX removal. Figure 5 shows the effects of different pH conditions on HMX removal efficiency and energy consumption.
Figure 5.
Effects of different pH conditions on HMX removal efficiency and energy consumption ((a) concentration; (b) energy consumption).
The clearance rate of HMX after 180 min of ethylene oxide treatment was 76.2% in an acidic environment (pH = 5.5); however it was only 48.4% in an alkaline environment (pH = 9.5). The results show that the electrochemical system operates more effectively in an acidic environment because an increase in the pH value of the solution decreases its oxidation potential and promotes its oxidation reaction, which decreases the effectiveness of pollutant removal. In summary, acidic environments (pH = 5.5) have the highest clearance rate for HMX.
3.5. Reaction Kinetics Analysis
In this paper, the degradation kinetics of industrial wastewater containing HMX is analyzed. According to the optimized experimental conditions obtained with a single factor, the micro-electrolysis degradation kinetics experiment was carried out: water samples were taken every 60 min, and the HMX concentration was measured for 200 min at the last time point, and the HMX values of the wastewater were determined at different time points. According to the change in the HMX concentration in the wastewater over time, the HMX concentration was linearly fitted according to the zero-order, first-order, second-order, and third-order reaction kinetic equations. The electrochemical oxidation time t was linearly fitted with Ct, Ln(C0/Ct), (1/Ct − 1/C0), and (1/Ct2 − 1/C02)/2, respectively. The calculation results are shown in Table 4 and the fitting results are shown in Table 5.
Table 4.
Calculation table of reaction time and reaction order (pH = 5.5).
Table 5.
Linear fitting table of reaction kinetics at all levels (pH = 5.5).
In Table 5, the fitting correlation coefficients R2 of the zero-order, first-order, and second-order reactions are all greater than 0.90, indicating that the correlation is good. The linear kinetic equations of electrochemical oxidation degradation of some organic compounds are mostly low-order reactions; thus, it can be considered that the degradation of HMX in refractory organic wastewater by electrochemical oxidation conforms to the first-order kinetic law.
3.6. Electrochemical Degradation Mechanism of HMX
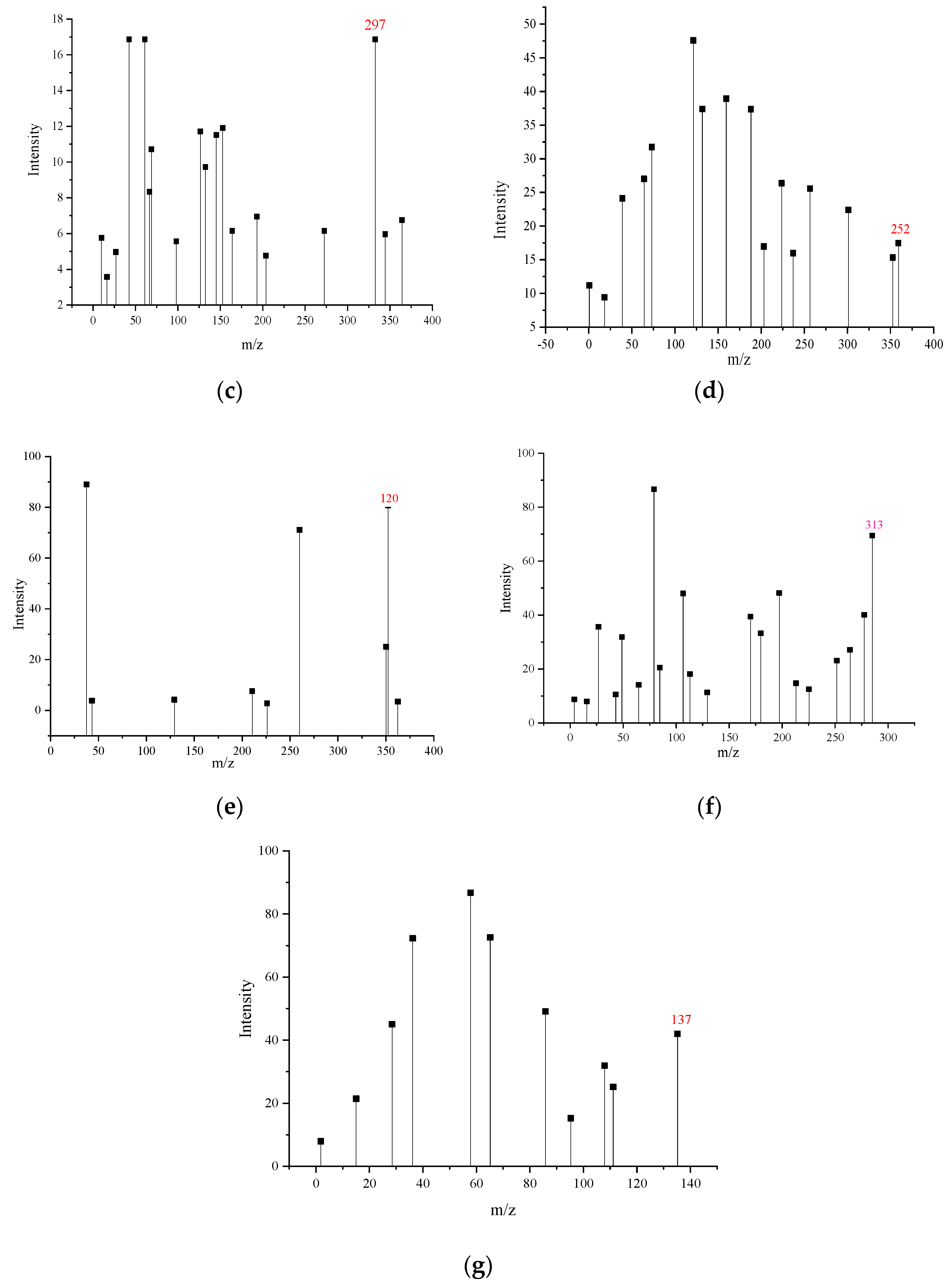
LC-MS/MS was used to analyze the intermediates of the electrochemical oxidative degradation of HMX. Table 6 and Figure 6 show the MS results of the treatment of the HMX intermediate using the electrochemical oxidation system over 180 min.

Figure 6.
Ion spectra of HMX degradation intermediates in the positive ion mode ((a) Intermediate 1; (b) Intermediate 2; (c) Intermediate 3; (d) Intermediate 4; (e) Intermediate 5; (f) Intermediate 6; (g) Intermediate 7).
The HMX degradation intermediates in the positive ion mode are C4H8N8O8, C4H8N8O7, C4H7N7O5, C4H9N7O6, C2H5N3O3, C4H8N8O9, and CH4N4O4.
Table 6.
Main degradation intermediates of HMX.
Table 6.
Main degradation intermediates of HMX.
| Mid Product | M+[H] | Possible Molecular Formula | Molecular Structure | CAS (Chemical Abstracts Service) |
|---|---|---|---|---|
| Original sample | 297 | C4H8N8O8 | ![]() | 2691-41-0 |
| I | 281 | C4H8N8O7 | ![]() | 5755-28-2 |
| II | 234 | C4H7N7O5 | ![]() | — |
| III | 252 | C4H9N7O6 | ![]() | — |
| IV | 120 | C2H5N3O3 | ![]() | 479422-92-9 |
| V | 313 | C4H8N8O9 | ![]() | — |
| VI | 137 | CH4N4O4 | ![]() | 14168-44-6 |
These findings led to the identification of two potential HMX degradation routes. In route A, the copper cathode of the electrochemical device reduces the nitro group on HMX to produce the mononitrate derivative 1NO-HMX (intermediate I, m/z = 281). In route B, the carbon group of HMX interacts with electrochemically produced OH to produce the hydroxyl-containing intermediate V (m/z = 313). Figure 7 shows the possible methods of electrochemical degradation of HMX.
Figure 7.
Possible methods of electrochemical degradation of HMX.
3.7. Changes in Toxic Effects during Electrochemical Oxidation Degradation of HMX
In this study, based on the method of E. coli toxicology genomics, the toxic effects of electrochemical oxidation of HMX products were analyzed, and the stress effects of 114 marker genes were detected. Because the gene changes are extremely complicated, the results are summarized according to five types of stress reactions, and the results obtained at different reaction times are analyzed. Figure 8 shows the toxicity profile based on TELI at different treatment times.
Figure 8.
Toxicity profile based on TELI at different treatment times ((a) 0 min; (b) 60 min; (c) 120 min; (d) 180 min).
Figure 8a–d shows that the initial HMX sample caused the tested E. coli cells to produce higher oxidative stress and protein stress reactions. With Fenton oxidation of HMX, the TELI value of protein stress continued to increase up to the 30th minute. Up to the 120th minute, the TELI value of protein stress continued to be greater than 1.1, with no apparent decrease. The results showed that the electrochemical degradation of HMX continued to affect the process of protein synthesis in E. coli. By 180 min, although the TELI of protein stress was decreased, it was still greater than 1.1.
4. Discussion
The metabolites of HMX degradation explored in this paper are compared with those of Yang et al. (2021) [26]. It is not difficult to find that there are two ways to degrade HMX in this paper. In route A, the nitro group on HMX is reduced on the copper cathode of the EO system and produces the mononitro derivative 1NO-HMX, and intermediate II contains an active imine bond, formed by N-denitration. This intermediate reacts with water, unstable α-hydroxy-alkyl nitroaniline is formed, and then 4-nitro-2,4-diazo butyraldehyde, N2O, and formaldehyde are produced by ring cracking. In route B, OH produced in the EO process reacts with HMX on a carbon basis, and an intermediate containing a hydroxyl group is generated. Subsequently, the intermediate undergoes cyclic cracking to produce other intermediates, such as methylene dinitramine and urea, findings which are similar to the research results in [27,28].
5. Conclusions
HMX is among the explosives with the highest energy levels and has the best comprehensive performance, and it is widely used in the warhead charges of weapon systems because of its good explosive performance. However, HMX is a toxic energetic compound. HMX wastewater contains various toxic substances, which can harm human health if not directly discharged. Therefore, an electrochemical oxidation system is used to treat the degradation of HMX in wastewater. It was found that when the electrolyte concentration is 0.25 mol/L, the current density is 70 mA/cm2, the electrode spacing is 1.0 cm, and the initial pH is 5.0, electrochemical oxidation has a better treatment efficiency for pollutants. The results of our kinetics study show that the electrochemical oxidation degradation process of HMX follows quasi-first-order kinetics, and protein stress and DNA loss stress are significantly different from other stress types throughout the whole degradation process. HMX degradation solution causes damage to protein transcription or expression. However, some genes of oxidative stress are continuously up-regulated, because H2O2 and OH produced by electrochemical oxidation cause a strong response to oxidative stress in cells. However, there are some shortcomings of this paper. In the future, we will study the toxic mechanisms and sizes of different degradation products of HMX and provide a scientific basis for its health risk assessment and prevention and control measures.
Author Contributions
Conceptualization, W.Y.; methodology, W.Y. and Y.Q.; software, X.J.; validation, Y.Q. and X.J.; formal analysis, X.J. and P.X.; investigation, Y.Q. and X.J.; resources, P.X.; data curation, P.X.; writing—original draft preparation, Y.Q.; writing—review and editing, W.Y.; visualization, X.J. and P.X.; supervision, W.Y. and X.J.; project administration, W.Y.; funding acquisition, P.X. All authors have read and agreed to the published version of the manuscript.
Funding
This research received no external funding.
Institutional Review Board Statement
Not applicable.
Informed Consent Statement
Not applicable.
Data Availability Statement
The data source of this paper is based on the analysis of different process parameters including initial pH value, current density and electrode distance based on the electrochemical oxidation system.
Conflicts of Interest
The authors declare no conflict of interest.
References
- Zhai, J.; Ma, H.; Liao, J.; Rahaman, M.H.; Yang, Z.; Chen, Z. Comparison of Fenton, ultraviolet–Fenton and ultrasonic–Fenton processes on organics and color removal from pre-treated natural gas produced water. Int. J. Environ. Sci. Technol. 2018, 15, 2411–2422. [Google Scholar] [CrossRef]
- Zhang, M.-H.; Dong, H.; Zhao, L.; Wang, D.-X.; Meng, D. A review on Fenton process for organic wastewater treatment based on optimization perspective. Sci. Total. Environ. 2019, 670, 110–121. [Google Scholar] [CrossRef]
- Li, X.; Chen, S.; Angelidaki, I.; Zhang, Y. Bio-electro-Fenton processes for wastewater treatment: Advances and prospects. Chem. Eng. J. 2018, 354, 492–506. [Google Scholar] [CrossRef]
- Hu, C.; Huang, D.; Zeng, G.; Cheng, M.; Gong, X.; Wang, R.; Xue, W.; Hu, Z.; Liu, Y. The combination of Fenton process and Phanerochaete chrysosporium for the removal of bisphenol A in river sediments: Mechanism related to extracellular enzyme, organic acid and iron. Chem. Eng. J. 2018, 338, 432–439. [Google Scholar] [CrossRef]
- Malakootian, M.; Kannan, K.; Gharaghani, M.A.; Dehdarirad, A.; Nasiri, A.; Shahamat, Y.D.; Mahdizadeh, H. Removal of metronidazole from wastewater by Fe/charcoal micro electrolysis fluidized bed reactor. J. Environ. Chem. Eng. 2019, 7, 103457. [Google Scholar] [CrossRef]
- Du, L.X.; Jin, S.H.; Shu, Q.H.; Li, L.J.; Chen, K.; Chen, M.L.; Wang, J.F. The investigation of NTO/HMX-based plastic-bonded explosives and its safety performance. Def. Technol. 2022, 18, 9. [Google Scholar] [CrossRef]
- Cao, W.; Ran, J.; Wang, H.; Guo, W.; Lu, X.; Wang, J. Energy Performance of HMX-Based Aluminized Explosives Containing Polytetrafluoroethylene (PTFE). Propellants, Explos. Pyrotech. 2022, 1, 47. [Google Scholar] [CrossRef]
- Chen, J.Y.; Feng, D.L.; Wang, G.Y.; Gao, F.; Peng, C. Numerical Simulation of Detonation and Brisance Performance of Aluminized HMX Using Density-Adaptive SPH. Propellants Explos. Pyrotech. 2021, 46, 23. [Google Scholar] [CrossRef]
- Jadhav, A.P.; Phatangare, A.B.; Ganesapandy, T.S.; Bholane, G.T.; Sonawane, A.M.; Khantwal, N.; Kamble, P.N.; Mondal, P.; Dhamgaye, V.P.; Dahiwale, S.S.; et al. Synchrotron X-ray assisted degradation of industrial wastewater by advanced oxidation process. Radiat. Phys. Chem. 2022, 197, 21. [Google Scholar] [CrossRef]
- Khue, D.N.; Bach, V.Q.; Binh, N.T.; Minh, D.B.; Nam, P.T.; Loi, V.D.; Nguyen, H.T. Removal of Nitramine Explosives in Aqueous Solution by UV-Mediated Advanced Oxidation Process in Near-Neutral Conditions. J. Ecol. Eng. 2021, 22, 232–243. [Google Scholar] [CrossRef]
- Roy, K.; Moholkar, V.S. Mechanistic analysis of carbamazepine degradation in hybrid advanced oxidation process of hydrodynamic cavitation/UV/persulfate in the presence of ZnO/ZnFe2O4. Sep. Purif. Technol. 2021, 270, 57. [Google Scholar] [CrossRef]
- Li, W.; Li, T.; Guo, J.; Gu, X. Effects of synergistic treatment of microorganism and enzyme improving composting quailty of maize stovers. Nongye Gongcheng Xuebao/Trans. Chin. Soc. Agric. Eng. 2020, 36, 192–199. [Google Scholar]
- Zhi, D.; Zhang, J.; Wang, J.; Luo, L.; Zhou, Y.; Zhou, Y. Electrochemical treatments of coking wastewater and coal gasification wastewater with Ti/Ti4O7 and Ti/RuO2–IrO2 anodes. J. Environ. Manag. 2020, 265, 110571. [Google Scholar] [CrossRef] [PubMed]
- Qian, Y.; Chen, K.; Chai, G.; Xi, P.; Yang, H.; Xie, L.; Qin, L.; Lin, Y.; Li, X.; Yan, W.; et al. Performance Optimization and Toxicity Effects of the Electrochemical Oxidation of Octogen. Catalysts 2022, 2, 815. [Google Scholar] [CrossRef]
- Zhi, D.; Wang, J.; Zhou, Y.; Luo, Z.; Sun, Y.; Wan, Z.; Luo, L.; Tsang, D.C.; Dionysiou, D.D. Development of ozonation and reactive electrochemical membrane coupled process: Enhanced tetracycline mineralization and toxicity reduction. Chem. Eng. J. 2019, 383, 123149. [Google Scholar] [CrossRef]
- Zambrano, J.; Park, H.; Min, B. Enhancing electrochemical degradation of phenol at optimum pH condition with a Pt/Ti anode electrode. Environ. Technol. 2019, 41, 3248–3259. [Google Scholar] [CrossRef]
- Shi, H.; Wang, Q.; Ni, J.; Xu, Y.; Song, N.; Gao, M. Highly efficient removal of amoxicillin from water by three-dimensional electrode system within granular activated carbon as particle electrode. J. Water Process. Eng. 2020, 38, 101656. [Google Scholar] [CrossRef]
- Rahmani, A.; Seid-Mohammadi, A.; Leili, M.; Shabanloo, A.; Ansari, A.; Alizadeh, S.; Nematollahi, D. Electrocatalytic degradation of diuron herbicide using three-dimensional carbon felt/β-PbO2 anode as a highly porous electrode: Influencing factors and degradation mechanisms. Chemosphere 2021, 276, 130141. [Google Scholar] [CrossRef]
- Wang, Y.; Shen, C.; Zhang, M.; Zhang, B.-T.; Yu, Y.-G. The electrochemical degradation of ciprofloxacin using a SnO2-Sb/Ti anode: Influencing factors, reaction pathways and energy demand. Chem. Eng. J. 2016, 296, 79–89. [Google Scholar] [CrossRef]
- Park, I.; Tabelin, C.B.; Jeon, S.; Li, X.; Seno, K.; Ito, M.; Hiroyoshi, N. A review of recent strategies for acid mine drainage prevention and mine tailings recycling. Chemosphere 2019, 219, 588–606. [Google Scholar] [CrossRef]
- Zhang, L.; Yue, Q.; Yang, K.; Zhao, P.; Gao, B. Enhanced phosphorus and ciprofloxacin removal in a modified BAF system by configuring Fe-C micro electrolysis: Investigation on pollutants removal and degradation mechanisms. J. Hazard. Mater. 2018, 342, 705–714. [Google Scholar] [CrossRef] [PubMed]
- Yang, Z.; Ma, Y.; Liu, Y.; Li, Q.; Zhou, Z.; Ren, Z. Degradation of organic pollutants in near-neutral pH solution by Fe-C micro-electrolysis system. Chem. Eng. J. 2017, 315, 403–4144. [Google Scholar] [CrossRef]
- Xie, R.; Wu, M.; Qu, G.; Ning, P.; Cai, Y.; Lv, P. Treatment of coking wastewater by a novel electric assisted micro-electrolysis filter. J. Environ. Sci. 2018, 66, 165–172. [Google Scholar] [CrossRef]
- Sun, Z.; Xu, Z.; Zhou, Y.; Zhang, D.; Chen, W. Effects of different scrap iron as anode in Fe-C micro-electrolysis system for textile wastewater degradation. Environ. Sci. Pollut. Res. 2019, 26, 26869–26882. [Google Scholar] [CrossRef] [PubMed]
- Mahdizadeh, H.; Malakootian, M. Optimization of ciprofloxacin removal from aqueous solutions by a novel semi-fluid Fe/charcoal micro-electrolysis reactor using response surface methodology. Process. Saf. Environ. Prot. 2019, 123, 299–308. [Google Scholar] [CrossRef]
- Yang, X.; Zhang, Y.; Lai, J.-L.; Luo, X.-G.; Han, M.-W.; Zhao, S.-P.; Zhu, Y.-B. Analysis of the biodegradation and phytotoxicity mechanism of TNT, RDX, HMX in alfalfa (Medicago sativa). Chemosphere 2021, 281 (Suppl. S1), 130842. [Google Scholar] [CrossRef]
- Fournier, D.; Halasz, A.; Thiboutot, S.; Ampleman, G.; Manno, D.; Hawari, J. Biodegradation of octahydro-1, 3, 5, 7-tetranitro-1, 3, 5, 7-tetrazocine (HMX) by Phanerochaete chrysosporium: New insight into the degradation pathway. Environ. Sci. Technol. 2004, 38, 4130–4133. [Google Scholar] [CrossRef] [PubMed]
- Hawari, J.; Halasz, A.; Beaudet, S.; Paquet, L.; Ampleman, G.; Thiboutot, S. Biotransformation routes of octahydro-1, 3, 5, 7-tetranitro-1, 3, 5, 7-tetrazocine by municipal anaerobic sludge. Environ. Sci. Technol. 2001, 35, 70. [Google Scholar] [CrossRef]
Disclaimer/Publisher’s Note: The statements, opinions and data contained in all publications are solely those of the individual author(s) and contributor(s) and not of MDPI and/or the editor(s). MDPI and/or the editor(s) disclaim responsibility for any injury to people or property resulting from any ideas, methods, instructions or products referred to in the content. |
© 2023 by the authors. Licensee MDPI, Basel, Switzerland. This article is an open access article distributed under the terms and conditions of the Creative Commons Attribution (CC BY) license (https://creativecommons.org/licenses/by/4.0/).















