Abstract
Due to growing concern over environmental impacts and the pressure to lower carbon footprints in the metals industry, hydrogen (H2) has gained attention as a promising alternative for the replacement of carbon as a reductant and fuel. This paper evaluates the potential use of hydrogen as an energy source and reducing agent during the processing of waste printed circuit boards (waste PCBs) from e-waste through black copper smelting. The effect of the use of carbon and hydrogen during the reduction–oxidation process was analysed and compared from the perspective of thermodynamics and heat balance. The thermodynamic analyses of waste-PCB processing were carried out using the FactSage thermochemical package for the smelting process at temperatures from 1473 K to 1673 K (1200–1400 °C). The results show that the CO2 emissions can be reduced by 73% when hydrogen is used as the reducing agent. A minimum of 10 wt% of waste PCBs in the feed material can be used to replace the necessary carbon to supply heat for the reduction process. The addition of waste PCBs can increase the volume of slag and affect the composition of the off gas.
1. Introduction
The growing concern over environmental impacts and increasing greenhouse gas emissions has placed pressure on all countries [1]. The goal to limit the rise in global average temperature to less than 2 degrees Celsius, which was mandated in the Paris agreement, initiated the global initiative towards deep decarbonization [2]. The requirement of a 45% reduction in global greenhouse gas emissions by 2030 and reaching net zero by 2050 are needed to keep the global temperature from rising by more than 1.5 degrees Celsius [3]. To avoid the dangerous effect of global climate change, the drastic reduction of CO2 emissions will be crucial to meet the goals for climate change mitigation [4].
Today, the global major metal industrial processes still rely on carbon usage [5]. Due to its low cost and mechanical properties, carbon is still used as the main source of fuel and reductant during the reduction and heating processes. The maturity of the technology makes it difficult to switch to other reducing agents. However, the energy sector contributes up to three-quarters of greenhouse gas emissions, which mainly come from the direct combustion of coal, gas and carbon-related power [6]. Replacing the energy source and reduction agent from coal to a less polluting energy source would significantly reduce the global carbon emissions. There are two major categories of reductants in the pyrometallurgical process, solid carbonaceous material (coal, coke, graphite) and gas reducers (H2, CO, CH4 and natural gas) [7]. As an effort to meet the climate mitigation target and the trend in lowering carbon footprints in the metals industry, the use of an alternative reducing agent can help to reduce the overall greenhouse gas challenges.
Recently, hydrogen (H2) has gained attention as a promising alternative for the replacement of carbon as a reductant and fuel [8]. The high energy content (up to 120 MJ/kg) and high-efficiency energy source gives hydrogen the potential to be used in a wide range of applications. Moreover, renewable hydrogen can often be used as an alternative chemical feedstock for a reducing agent [4]. The use of hydrogen to replace metallurgical coke can potentially reduce up to 47–95% of CO2 emissions during iron- and steelmaking [9]. In practical applications, hydrogen can also be combined with coke, biomass or waste plastic injection to reduce the consumption of coke to reduce CO2 emissions. According to Devasahayam et al. [10], the utilization of waste plastic can reduce CO2 emissions by up to 30%. A number of hydrogen-based processes have been developed in the metal processing industry, such as hydrogen H2FUTURE by Voestalpine (Austria), Hydrogen flash ironmaking technology (US), HYBRIT (Nordics) and SALCOS by Salzgitter AG (Germany) [2].
Although several publications mention the possibility of hydrogen reduction in the metal processing industry, the current use of hydrogen in the metal industry is still less than 10% of the global hydrogen produced [11]. Based on thermodynamic perspectives, a potential application of hydrogen might also be developed in the reduction and production of non-ferrous metals, including W, Mo, Ni, Cu, Pb and others [5]. As a result, the purpose of this study is to investigate the expanded application of hydrogen to the energy-intensive process of black copper smelting, particularly when e-waste (waste printed circuit boards/PCB) is also co-processed. This study also provides the mass and energy balance of the black copper smelting process; there is no previous work focusing on mass and energy balance comparing hydrogen vs. carbon.
The black copper smelting process is one of the pyrometallurgical routes to recycle the secondary source of copper scrap. The black copper smelting process is considered in this study because copper is one of the most widely used metals for various applications, and this process is also commonly used in industry to recycle electronic waste (particularly waste PCB). At least one-third of the source of copper production comes from secondary sources that have been recycled [12]. Therefore, it is essential to shift the process to produce less CO2 emissions. In industrial practice, the input material for the black copper smelting process can be mixed with waste PCB and other scraps of base metal. The added waste PCB during the black copper smelting process can bring additional advantages for the reduction process: the waste PCB has a high carbon concentration that can vary from 10 wt% to 30 wt% [13,14,15,16,17]. Thermochemical treatment such as pyrolysis [18] and gasification [19,20,21] can be used to eliminate the organic components and brominated flame retardant in waste PCB when carried out prior to the smelting process. However, in the smelting process, the use of slag allows for the Br to be absorbed. Furthermore, waste PCB contains high concentrations of copper and valuable elements (such as gold, silver, palladium, etc.) that can be recovered during the smelting process. The additional carbon from waste PCB can help to replace the fossil fuels and decrease the overall consumption of fuel and reducing agent in the reduction process.
The objective of this study is to evaluate the fundamental mass and energy balance during the black copper smelting process. Previous research on hydrogen reduction in copper oxide has mainly focused on the kinetic aspects and reaction mechanism of CuO reduction [22,23,24,25]. However, no studies have been conducted specifically on the mass and energy balance comparing hydrogen and carbon in the black copper smelting process. Therefore, this study provides a significant contribution towards the decarbonization of the copper smelting process. In this study, a thermodynamic assessment was carried out to develop a general understanding of the reduction and oxidation reactions in the black copper smelting process. Specifically, the effects of reductant type (carbon, hydrogen and waste PCB), temperature of reduction, reduction potential (pO2), amount of reductant and ratio of reductant to the input material were investigated. The detailed thermodynamic analysis was carried out using the Gibbs free energy ( minimization approach to determine the phases at equilibrium using the FactSage thermochemical package (Thermfact, Montreal, Canada). Three types of reducing agent were analysed in this study, i.e., C, H2 and C from waste PCB. In this study, the total capacity of a black copper smelting plant of 10,000 tonnes per year of feed materials was chosen based on the minimum capacity for a small-scale waste-PCB recycling process from our previous study [26]. The results will provide information on the limit and general condition of the process, which will be useful in developing the actual process flowsheet. Overall, the findings of this study can provide valuable insights to optimize the waste-PCB recycling process and explore the alternative methods to reduce the overall CO2 emissions.
2. Methodology and Modelling Approach
2.1. Black Copper Smelting Process
The secondary copper/black copper smelting process is one of the common methods of recycling waste PCB and electronic waste. The main input feed material of the process typically comes from a secondary source, such as copper scrap and waste PCB. In industrial practice, waste PCB can be mixed with other base metal scraps such as copper, lead and nickel for the metal recovery process. The primary inputs in this process include copper scrap, waste PCB, flux, metallurgical coke and air. The black copper smelting process for waste PCB recycling involves two stages, i.e., reduction and oxidation (or vice versa depending on the composition of the input), followed by subsequent electrorefining and precious metal refining. The reduction stage involves the addition of input materials to a furnace and their treatment under reducing conditions at 1300 °C to produce black copper. The oxidation stage separates impurities such as Zn, Sn and Pb from liquid copper, which are then removed as gas phases or slag. The order of the reduction and oxidation stages can be switched to oxidation stage followed by reduction stage, depending on the input material condition. The anode liquid copper from the oxidation stage is purified through electrorefining to produce a higher purity of cathode copper, up to 99.9%, while the slime containing precious metals is collected and processed to recover gold and silver. Figure 1 illustrates the process flowsheet of the black copper smelting process adopted from the work of Ghodrat et al. [27].
Figure 1.
Process flowsheet and mass balance of waste PCB recycling via black copper smelting.
2.2. Thermodynamic Modelling
To examine the copper and waste PCB recycling process through the black copper smelting route, equilibrium calculations and analyses were performed using FactSage 8.2. FactSage is a thermochemical package based on integrated databases of compounds and solutions for chemical equilibrium calculations [28]. It is designed to simulate the thermochemistry of pyrometallurgy, hydrometallurgy, electrometallurgy and other industrial applications. It has an optimized database for solutions, including alloy, matte, liquid, slag, oxides, etc. More detailed information about FactSage can be found in [28,29,30].
The simulation used the “Equilib” module for the equilibrium calculations, which incorporates the Gibbs free energy minimization technique to predict the thermodynamically stable phases under specific conditions. The optimized thermodynamic database for Cu-rich multicomponent systems was selected for the modelling process, including FactPS (for pure substances), FTOxid (for oxides and slags) and FSCopp (for copper alloys). The following solutions were used in the calculation: FScopp-LIQUID, FScopp-FCC_A1, FToxid-SLAGA, FToxid-SPINA, FToxid-MeO_A, FToxid-WOLLA, FT oxid-Mel_A, FT oxid-OlivA, FToxid-Mull and FToxid-CORU. A modified quasi-chemical model was used for the assessment of liquid slag during the reaction process. The simulation method was also adopted from the study of Ghodrat et al. [27]. In this study, it was assumed that the processes of reduction and oxidation operate in two different reactors; in industrial practice, the reduction and oxidation processes can be performed in a single reactor.
2.3. Input Data
In this study, a small-scale capacity of the recycling process was selected at a rate of 1000 kg/h or equivalent in a plant of 10,000 tonnes/year. The small-scale capacity was selected because the main input materials are copper scrap and waste PCB, which fluctuate depending on the delivery of materials, which can vary from one day to another. Therefore, a small-scale facility can help to process the scrap and waste PCB in a more continuous rate. The input material was composed of copper scrap and metal oxide, waste PCB, flux, fuel and oxygen-enriched air. The detailed composition of the input and materials are described in the sections below.
2.3.1. Cu Scrap and Oxidic Residue
Copper scrap is the scrap generated from post-consumer products that are a high potential source of recyclable copper. The copper scrap consists of impurities and metal oxides that are required to be separated. Table 1 shows the composition of the copper scrap used in this study, which is a typical composition found in the literature [26].
Table 1.
Composition and concentration of metals and compounds in copper scraps (in wt%) [26].
2.3.2. Waste PCBs
Waste printed circuit boards (PCBs) were selected in this study as part of the input material and reductant for the black copper smelting process. The high content of carbon from plastic in waste PCBs make them suitable for providing additional carbon for heat supply and acting as a reductant during black copper smelting process. Table 2 shows the composition of waste PCBs, which is the typical composition reported by Mairizal et al. [19] and Ghodrat et al. [20].
Table 2.
Composition and concentration of metals and compound in waste PCBs (in wt%) [26,27].
2.3.3. Flux FeOx-CaO-SiO2
Flux is a chemical substance or a mixture of chemical substance which are introduced into the smelting process to promote fluidity and to remove impurities in the form of slag. According to [31], the ferrous calcium silicate slags (FeOx-CaO-SiO2) have a better performance in the copper recycling process compared to the previous slag of calcium ferrite and fayalite slags. FeOx-CaO-SiO2 is an extension of calcium ferrite slag with a high content of silica. Table 3 presents the composition of metals and compound found in flux. In the present study, the chemical composition of flux was used based on the study by Mairizal et al. [19] and Ghodrat et al. [20], which reported the FeO/SiO2 ratio of 1.2.
Table 3.
Composition and concentration of metals and compound in flux (in wt%).
2.3.4. Fuel
Fuel is one of the important aspects of the black copper smelting process, as it is required to provide the heating and melting during the reduction and oxidation processes. It is important to ensure that a proper and constant temperature is maintained for the optimal final slag and matte temperature products and also in the melting of high-grade concentrates. In this study, carbon and hydrogen were considered as the sources of fuel and reductant for the smelting process. The modelling process involves the use of pure carbon and pure hydrogen. It should be mentioned that the carbon and hydrogen used in the modelling process may not reflect the actual composition and amount of fuel used in industrial practice. Rather, the fuel was used in the modelling process to provide a modelling condition with a desirable reducing condition with the targeted oxygen partial pressure (pO2) to investigate the minimum fuel requirement to perform the process. In addition, this study also uses the carbon from waste PCBs as additional reductant. This study employed a simplified composition of waste PCBs and only considered the carbon equivalent as a fuel form for the rest of the organic components. It should also be noted that, in practice, the use of hydrogen in the smelting process typically involves an additional gas or carrier, such as Ar, CH4, CO and CO2.
2.3.5. Oxygen-Enriched Air
Oxygen-enriched air is supplied to the burner for the combustion of the fuel. According to Schlesinger et al. [12], the typical oxygen-enriched air used in the industrial application is in the range of 25% to 60% or higher depending on the specific process and equipment used. On the other hand, the nitrogen in the oxygen-enriched air is typically reduced down to 30–40% to maintain the overall combustion temperature. Based on the above literature, the concentration of oxygen-enriched air was selected at a ratio of 54% O2 and 46% N2.
2.4. Parameters and Modelling Approach
The equilibrium modelling in this study was assumed to be a close system for each reactor. The reduction process was modelled at a temperature range of 1200 °C to 1400 °C, and oxygen partial pressure (pO2) ranged between 10−7 and 10−9 atm. A wide range of oxygen partial pressure (pO2) was selected to reflect the different reducing conditions and their impact on the resulting product of copper, off gas and slag composition. This range is larger than the typical oxygen partial pressure of 10−8 atm used in industrial process, as reported by Schlesinger et al. [12]. In the modelling process, to set up the oxygen partial pressure at different temperatures, preliminary calculations were conducted to achieve a specific pO2 at a certain temperature. The initial equilibrium calculation provided information on the amount of carbon required to reach the target pO2. Subsequently, the required amount of carbon was then added or removed in the calculation so that the target pO2 at that condition is achieved.
The oxidation process was modelled in this study using the output black copper stream from the reduction process with the additional amount of flux and oxygen-enriched air. The thermodynamic modelling of the oxidation stage was conducted using multi-step equilibrium calculations. These calculations involved an incremental addition of oxygen-enriched air at 5 kg of O2(g) per step to simulate the progression of the oxidation. The oxidation process was analysed at 1 atm pressure and temperatures ranging from 1200 °C to 1400 °C. The results after the oxidation process were liquid rough copper, off gas and copper slag. The results of this study also provided the distribution of major elements, such as Cu, Pb, Ni, Sn, Zn, Au and Ag, in liquid copper, slag and off gas, which were also calculated in the equilibrium calculation. However, it should be noted that the results of this study were purely based on the thermodynamic analysis which did not incorporate the kinetics factors in the calculation. Nevertheless, this study will provide baseline information on the black copper smelting process.
The modelling in this study consisted of four scenarios, varying the combination of carbon, hydrogen and waste PCBs as the source of fuel (for heat supply) and reductant, as presented in Table 4. The two main sources of heat supply in this study were selected from carbon and hydrogen combustions, assuming pure carbon and hydrogen. The various scenarios of reductant in the process were selected from pure carbon, hydrogen and the carbon from the waste PCB sources.
Table 4.
Modelling Scenarios.
3. Results
3.1. Carbothermic Reduction
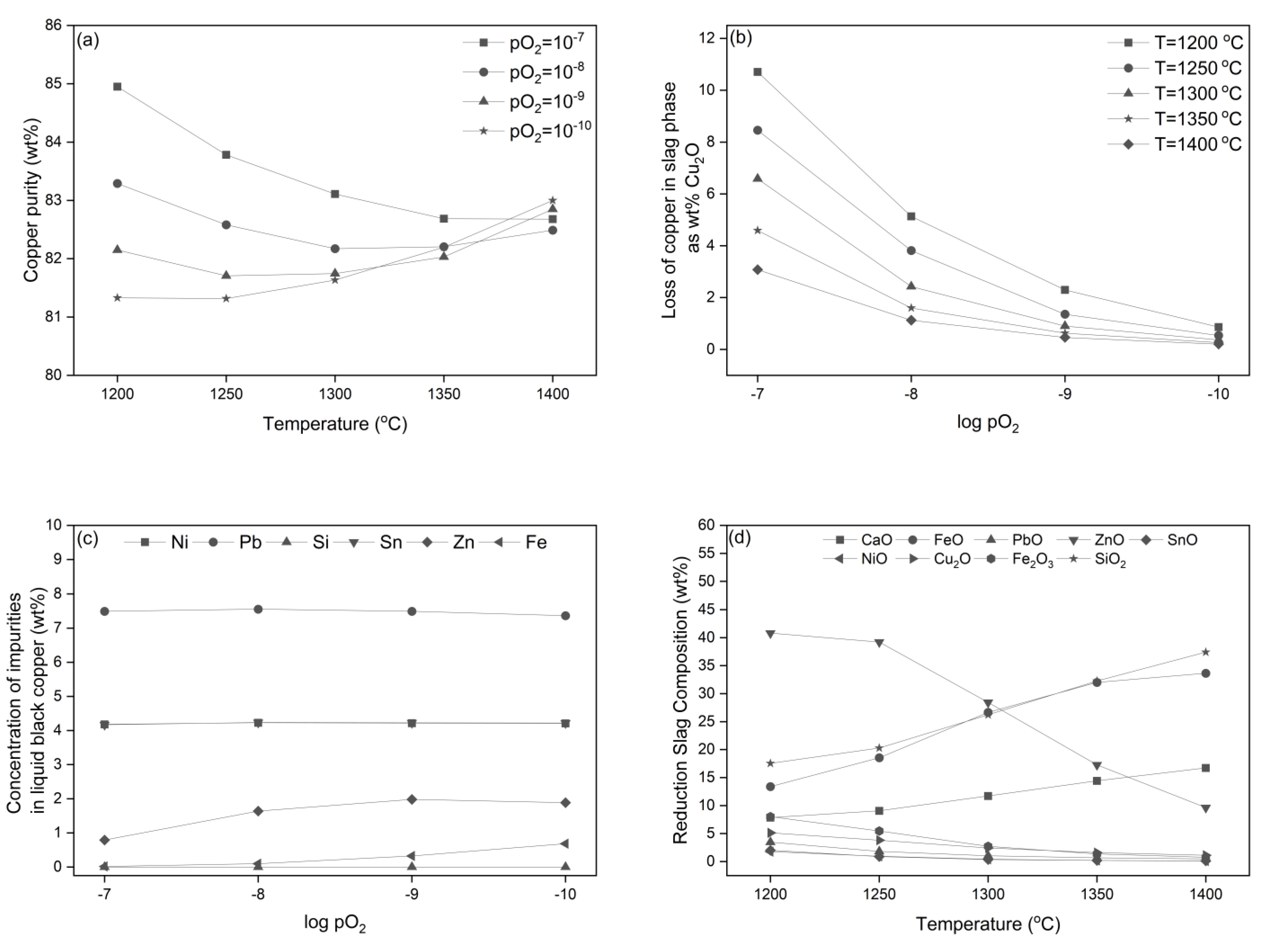
Carbothermic reduction analysis was conducted to evaluate the reduction stage under different temperatures and oxygen partial pressures in equilibrium conditions. Figure 2a presents the predicted equilibrium concentration of copper purity using a carbon reductant for the black copper smelting process at 1200 °C to 1400 °C and an oxygen partial pressure range (pO2) of 10−7 to 10−10 atm. The graph shows that there was a trend of decreasing copper purity towards a more highly reducing condition at all temperatures. It can be seen from the Figure 2a that the purity of liquid black copper at 1200 °C was predicted to decrease from 85 wt% to 81 wt% with decreasing pO2 from 10−7 to 10−10 atm. At 1400 °C, the predicted copper purity in the liquid black copper was 82 wt%, 81.7 wt%, 81.5 wt% and 81.4% at pO2−7 to pO2−10. Similar trends were also predicted in a previous study [27], where the copper purity tended to decrease in a more reduced environment. The purity of copper decreases with a more reducing condition. This was due to a reduction in the presence of impurities in the slag, recycled copper scrap and waste PCBs, which may include tin, lead, zinc, etc. [12], which dissolve in the liquid copper. Therefore, the oxygen partial pressure has an influence on the overall purity of the black copper. The graph also shows that the gap between equilibrium copper purity in different pO2 becomes narrow as the temperature increases. Even though a higher purity could be obtained at lower temperatures (based on thermodynamics), in practice, the copper reduction process is typically carried out at 1300 °C to avoid the formation of spinel and solid phases that can affect the overall operation process. On the other hand, the reduction process at a higher temperature is also undesirable because it can affect the overall distribution of copper into the liquid, gas and slag. The higher temperature process of the black copper smelting process may result in the segregation of valuable volatile elements lost in the gas phases and, therefore, absent in the metal refining process.
Figure 2.
Thermodynamic calculation results for reduction using carbon: (a) copper purity in liquid black copper, (b) loss of copper as Cu2O in the slag phase, (c) concentration of impurities in liquid black copper and (d) the slag composition during the reduction process at different temperatures at pO2 of 10−8 atm.
Figure 2b presents the predicted amount of copper loss as copper oxide (Cu2O) into the slag phase during the black copper smelting reduction process at temperatures ranging from 1200 to 1400 °C and oxygen partial pressures of 10−7 to 10−10 atm. It can be seen from the figure that at 1200 °C, the copper loss into the slag phase was predicted to be 10.5 wt%, 5 wt%, 2.3 wt% and 0.8 wt% as pO2 decreased from 10−7 to 10−10 atm. The copper loss was predicted to be lower under highly reducing conditions, and similar trends were also observed at all temperatures. Additionally, at the same reducing condition of pO2 of 10−8 and a temperature range of 1200 to 1400 °C, the predicted copper loss into the slag phase was 5 wt%, 4 wt%, 2.5 wt%, 1.7 wt% and 1.2 wt%. The results show that the higher temperature process results in lower copper loss into the slag phase. Since the black copper smelting process aims to achieve the highest copper concentrates, a high concentration of copper loss into the slag is undesirable. According to a study by Ghodrat et al. [27], the copper loss in the black copper smelting process should be limited to about 2–3 wt%. Therefore, the process at 1300 °C and oxygen partial pressure of 10−8 is suggested based on the graph.
Figure 2c illustrates the predicted concentration of impurities of (Ni, Pb, Si, Sn, Zn and Fe) in liquid black copper at a temperature of 1300 °C and oxygen partial pressure of 10−7 to 10−10 atm. The graph shows that the predicted concentrations of Ni, Pb and Sn in liquid black copper remain relatively constant at different reducing conditions. On the other hand, there is a noticeable increase in the predicted concentration of Zn from 0.8 wt% to 2.5 wt% at pO2 10−7 to 10−10 atm in liquid black copper. The same trend was also predicted for Fe, with the concentration increased from 0.02 wt% to 0.7 wt% at a pO2 of 10−7 to 10−10 atm. As the concentration of Fe in the black copper smelting process corresponds to the amount of slag generated [12], a high concentration of Fe is undesirable in the overall process. Therefore, the limitation of Fe concentration would be essential to control the level of impurities and minimize the overall loss of copper in the black copper smelting process. According to the graph, the reducing level at a pO2 of 10−8 atm is desirable for the black copper smelting process because it produces a lower concentration of Fe, making it the optimal reducing condition. Figure 2d presents the predicted slag reduction composition during the black copper smelting reduction process at temperatures ranging from 1200 to 1400 °C and an oxygen partial pressure of 10−8 atm. The result shows that the liquid slag from the black copper smelting reduction process comprises various oxides, including CaO, Cu2O, FeO, Fe2O3, NiO, PbO, SiO2, SnO and ZnO. It can be seen from the graph that the concentration of SiO2 increases from 17.5 wt% to 36 wt% at a higher temperature for the same level of reduction condition. Similarly, the concentration of FeO also increases from 13.4 wt% at 1200 °C to 32 wt% at 1400 °C. The higher concentration of CaO was also predicted at higher temperatures, where the concentration of 7.8 wt% at 1200 °C increases to 16 wt% at 1400 °C. On the other hand, the concentration of other oxides, such as Cu2O, Fe2O3, NiO, PbO, SnO and ZnO, was predicted to decrease during the high temperature process. This condition may arise due to the volatility of the elements that report from the slag phase to the gas phases in the high temperature process.
Figure 3 presents the composition of the off gas during the carbothermic reduction process. It can be seen from the graph that the predicted components of the off gas during black copper smelting are N2, O2, CO, CO2, NO, CuO, Zn, Pb and PbO. The figure also shows that there is an increasing trend in the concentration of Pb, Sn and Zn in the off-gas composition as the temperature rises. During the reduction process, some metals can be reduced to their elemental form and dissolved into the liquid copper. With a further increase in temperature, these elements become vapour and report to the off gas. Zinc, which is commonly found in copper scrap and waste PCBs, may form as a zinc oxide or other zinc compounds. Zinc oxides are reduced to metallic zinc vapour during the secondary copper smelting process because they have a lower boiling point than copper. Lead, which is also present in the copper scrap and waste PCBs, may form as a lead oxide or other lead compounds that can be reduced to metallic lead which vaporize during the reduction process. As a result, the metals converted into vapour increase the metal composition of the off gas as the temperature rises. Therefore, it is important to note that a higher temperature can result in an increased concentration of some elements and oxides; it is also undesirable as it may result in the loss of valuable elements into the volatile phase. Hence, a careful selection of the operating conditions and the optimization of temperature and oxygen partial pressure during the black copper smelting process is important to have a desired output product. Based on the predicted results, an operating condition above 1300 °C is undesirable for the operation of the black copper smelting process.
Figure 3.
Composition of off gases during the reduction process at pO2 10−8 atm and various temperatures through the carbothermic reaction.
3.2. Hydrogen Reduction
In this study, further analysis of the black copper smelting process using hydrogen for the reduction step was carried out to predict the equilibrium concentration of copper purity. The analysis was conducted within a temperature range of 1200 to 1400 °C and oxygen partial pressure (pO2) of 10−7 to 10−10 atm. The predicted equilibrium concentration of liquid black copper (copper purity) is illustrated in Figure 4a. It can be seen from the figure that at higher temperatures (1350 to 1400 °C), the predicted copper purity tends to increase in a more reducing environment, while at lower temperatures (1200 to 1300 °C), the predicted copper purity tends to decrease in a more reducing environment. At 1200 °C, the predicted copper purity decreased from 85 wt% to 81.3 wt% as the pO2 level decreased from 10−7 to 10−10 atm. Similarly, at 1250 and 1300 °C, the predicted copper purity decreased from 83.8 wt% to 81.6 wt%, respectively. On the other hand, at higher temperatures (≥1350 °C), the copper purity was predicted to decrease from 82.6 wt% to 82 wt% at pO2 levels of 10−7 to 10−9 atm and increase to 82.2 wt% at a pO2 level of 10−10 atm. A similar trend was also observed at 1400 °C, where the predicted copper purity slightly decreased from 82.6 wt% to 82.5 wt% at pO2 levels of 10−7 to 10−8 atm and increased to 83 wt% towards a more reducing environment at a pO2 level of 10−10 atm. These findings demonstrate that both the effect of temperature and oxygen partial pressure are significant factors that can influence the equilibrium concentration of black copper purity. Based on the findings in the graph, it can be suggested that the desirable condition for achieving high copper purity in liquid black copper are at 1300 °C at a pO2 level of 10−8 atm, which can produce a copper purity of 83 wt%.
Figure 4.
Thermodynamic calculation results for reduction using hydrogen: (a) copper purity in liquid black copper, (b) loss of copper as Cu2O into the slag phase, (c) concentration of impurities in liquid black copper and (d) slag composition the during reduction process at different temperatures at a pO2 of 10−8 atm.
Figure 4b illustrates the predicted amount of copper loss as copper oxide (Cu2O) into the slag phase during the black copper smelting reduction process at temperatures ranging from 1200 to 1400 °C and an oxygen partial pressure of 10−7 to 10−10 atm. The graph shows that the copper loss in the slag is lower under highly reducing conditions at various temperatures. It can be seen from the figure, for instance at a temperature of 1300 °C, that the predicted copper loss into the slag phase was predicted to be 6.8 wt%, 2.4 wt%, 0.9 wt% and 0.3 wt% as pO2 decreased from 10−7 to 10−10 atm, respectively. A similar trend was also observed at other temperatures. It is important to minimize the loss of copper during the reduction stage to increase the yield of high-quality copper purity. Therefore, this study suggests carrying out the black copper smelting process at 1300 °C at a pO2 level of 10−8 atm with copper loss into the slag phase within 2–4 wt%, as suggested in previous work by Ghodrat et al. [27].
Figure 4c illustrates the predicted concentration of impurities of Ni, Pb, Si, Sn, Zn and Fe in liquid black copper under various oxygen partial pressures of 10−7 to 10−10 atm at a constant temperature of 1300 °C. The graph shows that there is no significant effect on the predicted concentration of Ni, Pb and Sn under a higher reducing environment. On the other hand, the concentration of Zn impurities in liquid black copper increased from 0.8 wt% to 2 wt% as the pO2 level decreased from 10−7 to 10−10 atm. Similarly, the concentration of Fe impurities in liquid black copper also showed a gradual increase towards a more reducing environment, ranging from 0.02 wt% to 0.7 wt% at pO2 levels of 10−7 to 10−10 atm. This is due to the fact that under a highly reducing environment, these metals tend to be reduced, thus increasing their concentration in liquid black copper. These findings provide valuable insights into the effects of varying oxygen partial pressures on the concentration of impurities in the black copper smelting process, which could help to optimize the process and improve the overall efficiency.
Figure 4d illustrates the predicted slag composition during the black copper smelting reduction using hydrogen. The process was carried out at temperatures ranging from 1200 °C to 1400 °C and an oxygen partial pressure of 10−8 atm. The results shows that the liquid slag composition from black copper smelting using hydrogen reduction consisted of CaO, Cu2O, FeO, Fe2O3, NiO, PbO, SiO2, SnO and ZnO. Furthermore, it can be seen from the graph that the predicted amount of Cu2O decreased from 5 wt% to 1 wt% at temperatures ranging from 1200 to 1400 °C. The results indicate the loss of copper during the reduction stage at various temperatures. The results also show that the concentration of SiO2, FeO and CaO is predicted to increase at a higher temperature. The concentration of SiO2 increased from 17.5 wt% to 37.4 wt% at a higher temperature. Similarly, the concentration of FeO also increased from 13.4 wt% at 1200 °C to 33.6 wt% at 1400 °C. The higher concentration of CaO was also predicted at higher temperatures, where the concentration of 7.8 wt% at 1200 °C increases to 16 wt% at 1400 °C. In contrast, the concentration of other oxides, such as Cu2O, Fe2O3, NiO, PbO, SnO and ZnO, was predicted to decrease in a higher temperature process. This reduction in slag concentration may have resulted from the volatility of the elements that converted to gas phase at a higher temperature, as illustrated in Figure 5. Figure 5 shows that there is an increasing trend of metal composition in the off gas as the temperature rises. This indicates that a higher temperature process of the black copper smelting process may result in a higher conversion of metals into vapour. As a result, a careful selection of operating conditions and optimization of temperature and oxygen partial pressure are necessary. In summary, the findings demonstrate how the reduction conditions of oxygen partial pressure and temperature affect the composition of the liquid black copper, off gas and slag during the black copper smelting process. Based on the predicted results, the operating condition at 1300 °C is suggested for the operation of the black copper smelting process using the hydrogen reduction process for a more desirable product.
Figure 5.
Composition of off gases during the reduction process at pO2 10−8 atm and various temperatures through hydrogen reduction.
3.3. Oxidation Process
The oxidation stage in the black copper smelting process involves the blowing of air or oxygen-enriched air to remove the impurities from the liquid black copper to produce a high yield of rough copper (~95% Cu). The liquid black copper from the reduction process is subsequently oxidized to remove impurities of oxides. An important process during the oxidation process is the production of a liquid rough copper that contains as high Cu as possible by removing the impurities as the off gas or into the slag phase. The oxidizing blast is started during the oxidation process. The use of oxygen-enriched air can enhance the oxidation process to become more autothermal [12]. This is because less nitrogen is introduced into the furnace, resulting in less heat being removed through the off gas. As a consequence, more heat generated by the reactions is transferred to the liquid copper and slag, requiring less (or no) fuel combustion to achieve the appropriate temperature for the final slag and liquid copper. In industrial practice, the reduction and oxidation can be performed in one single furnace. However, if the oxidation and reduction processes are carried out in two separate reactors, the excess heat generated during the oxidation process may be recycled and utilized to generate heat for the reduction process.
Figure 6 presents the predicted copper purity in liquid rough copper during the oxidation process that previously underwent carbothermic reduction and hydrogen reduction. The oxidation process was carried out under a pressure of 1 atm and at a temperature of 1300 °C. The graph demonstrates a continuous increase in the copper purity as the oxidation progresses. As shown in Figure 6a, the copper concentration rises from 84 wt% to 97 wt% with each subsequent oxidation stage. Similar results also observed in Figure 6b, where the copper purity in the liquid phase increases from 82 wt% to 97.5 wt%. The findings indicate that a high yield of copper product can be obtained from different types of reductants during the previous reduction stage with no significant differences in the yield of copper production. The enrichment of Cu also reflects the removal of other elements and impurities from the liquid copper into the slag.
Figure 6.
Copper concentration in liquid phase during oxidation stages after reduction through (a) carbothermic reduction and (b) hydrogen reduction.
3.4. Flowsheet of Black Copper Smelting Process
In this study, a mass and energy balance analysis of the black copper smelting process was presented to optimize the process and minimize the CO2 emissions. Based on the previous thermodynamic analyses of copper purity and slag composition, a flowsheet for the copper recycling process through the black copper route has been developed for further investigation. Four different scenarios were developed for the black copper smelting process, as previously mentioned in Table 4. In Scenario 1, pure carbon was used as a reducing agent and a source of heat in the black copper smelting process. In Scenario 2, hydrogen was used as the reducing agent and heat source for the smelting process. Scenario 3 and 4 introduced waste PCBs as a reductant in the smelting process, where the heat was supplied using pure carbon (Scenario 3) and hydrogen (Scenario 4), respectively. This study also provides the energy balance of the process of these different scenarios. The elements distribution in the liquid, slag and off gaseous phases of the black copper smelting process was predicted from the previous equilibrium calculations. As discussed in an earlier section, the operating condition for the reduction process was selected at 1300 °C and pO2 = 10−8 for all scenarios.
Figure 7 presents the simplified schematic diagram of the flowsheet for the black copper smelting process using carbon as a fuel and reductant (Scenario 1). The use of carbon as a fuel and as a reductant is the most common approach in industry. Typically, coal serves as the primary source of carbon for the high-temperature process. In Scenario 1, for the purpose of calculating the carbon requirement, it was assumed that the heating was from burning carbon in a separate reactor. The graph shows that a minimum amount of 36 kg/h of carbon is required to heat 1000 kg/h of input materials, which is theoretically equivalent to generating up to −970 MJ as the minimum heat requirement for the reduction process (black copper smelting process). As indicated in the graph, the black copper smelting process involves heating, smelting and oxidizing with oxygen-enriched air and fluxing with the concentration at high temperatures of 1300 °C. In this study, the main input material for black copper smelting is copper scrap that mostly contains a mixture of metal and oxides. Heat and reductant from carbon are supplied to the furnace to reduce the oxides to their lower oxides or metal. Flux is also added to the smelting process to ensure slag fluidity [12].
Figure 7.
Simplified schematic diagram of the flowsheet of the black copper smelting process using carbon as a fuel and reductant (unit kg/h) (Scenario 1).
There are three main products generated during the smelting process, i.e., liquid black copper, off gas and slag. It can be seen from the graph that in Scenario 1, from the 1000 kg/h of input materials, the predicted amount of liquid black copper produced during the reduction process was 891 kg/h, while the oxides, gangue minerals and the impurities formed a slag of about 61.46 kg/h.
Based on Figure 7, Scenario 1 was predicted to produce 656 kg (94.5 wt%) of liquid rough copper. During the smelting process, metal elements such as Zn and Pb were mostly converted to vapour at high temperatures. The process also produced CO2 emissions resulting from the burning of carbon. The predicted CO2 emissions generated during the black copper smelting in Scenario 1 were 132 kg/h from the heating requirement and 51.8 kg/h from the reduction requirement, with a total predicted CO2 emission of up to 183.8 kg/h. Overall, the proposed flowsheet in Scenario 1 provides a viable process for recovering copper using carbon as a fuel and reductant.
Figure 8 illustrates the simplified flowsheet diagram of Scenario 2, where hydrogen is used as a fuel and reductant. It can be seen from Figure 8 that the heat requirement was assumed to be from burning of hydrogen in a separate reactor. The figure shows that a minimum of 2.93 kg/h (32.5 Nm3/h) of hydrogen is required to heat at least 1000 kg/h capacity of the black copper smelting process, which theoretically can generate up to −910 MJ as the minimum heat requirement to provide sufficient heat and reduction. It is clear from Figure 8 that the use of hydrogen to fulfil the heating and reduction requirement eliminates the generation of CO2 emissions.
Figure 8.
Simplified schematic diagram of the flowsheet of the black copper smelting process using hydrogen as a fuel and reductant (Scenario 2).
From Figure 8, the reduction stage was conducted under operating conditions of 1 atm, 1300 °C and oxygen partial pressure of 10−8 atm. It can be seen from the graph that from 1000 kg of input materials, the predicted amount of liquid black copper was 888 kg/h, with the oxides dissolved as a slag of about 58 kg/h. The liquid black copper subsequently continues the oxidation process to remove the impurities with a blast of oxygen-enriched air. A copper purity of 94 wt% at 654 kg/h was predicted for Scenario 2. Scenario 2 was found to have zero emissions in comparison to Scenario 1. In terms of copper yield, the copper purities in Scenarios 1 and 2 were just slightly different, at 81.8% and 82.2%, respectively.
In Scenarios 3 and 4, waste PCB was introduced into the flowsheet for the reduction requirement. Figure 9 and Figure 10 illustrate the schematic diagram of the flowsheet of Scenarios 3 and 4, respectively. Based on Table 2, the waste PCB in this study was assumed to contain a high concentration of carbon (up to 10 wt%). The carbon in the waste PCB can be considered as a reducing agent during the black copper smelting process. It was predicted that a minimum of 10 wt% of waste PCB per tonne input feed material is required to provide a sufficient amount of reducing agent during the reduction process to provide a smooth smelting process. Additional combustion of carbon (and/or hydrogen) to meet the heating requirement of the process is still required. In the case of black copper smelting embedded with waste PCB, due to the presence of carbon in it, the process cannot entirely eliminate the CO2 emissions. It can be seen from Figure 9 (Scenario 3) that the predicted CO2 emissions generated during black copper smelting are 89.4 kg/h from the heating requirement and 33.7 kg/h from the reduction requirement, with a total predicted CO2 emission of 123.14 kg/h. Moreover, in Scenario 4, the predicted CO2 emissions generated were only from the reduction requirement, with a total predicted CO2 emission of up to 33.7 kg/h. The results show that there is a significant decrease in CO2 emissions when incorporating waste PCBs in the process (Scenario 1 vs. Scenario 3). The CO2 emission generation can be reduced from 183.7 kg/h to 123.14 kg/h, a 33% emission reduction. Furthermore, when the black copper smelting process incorporates hydrogen to meet the heating requirement (Scenario 1 vs. Scenario 4), the CO2 emissions can be reduced by 82%.
Figure 9.
Simplified schematic diagram of the flowsheet of the black copper smelting process using carbon as a fuel and waste PCB as a reductant (Scenario 3).
Figure 10.
Simplified schematic diagram of the flowsheet of the black copper smelting process using hydrogen as a fuel and waste PCB as a reductant (Scenario 4).
Table 5 provides a comparison of the key findings from different scenarios in this study. It can be seen from the table that Scenario 1 has the highest carbon input requirement, as the process uses carbon both as a reducing agent and fuel. As a result, Scenario 1 has the highest CO2 emissions. In contrast, Scenario 2 uses hydrogen as the reductant and fuel for combustion, resulting in a more environmentally friendly process as the by-product of the process is H2O as water vapor as the off gas. In addition, according to the scenarios provided in this study, it was demonstrated that the use of waste PCBs can partially replace (hence reduce) the overall carbon requirement. The existing technologies that rely on carbon-based fuels can be optimized to operate more efficiently when incorporating waste PCBs as their material feed and may produce less CO2 emissions. The application of hydrogen in the black copper smelting process can replace the carbon required for heating and reduction. Nonetheless, the use of hydrogen has drawbacks, such as the need for more complex and potentially expensive technologies to adapt the current system as well as the challenge of ensuring a consistent supply of hydrogen during metallurgical operations due to its high flammability. Therefore, technological readiness must be considered when implementing hydrogen in the process.
Table 5.
Scenario comparisons (per tonne of feed materials).
In terms of copper purity (wt%) from different scenarios, Scenario 1 using the carbothermic reduction process was predicted to achieve a purity of 81.8% wt%, whereas for Scenario 2 using hydrogen, the copper purity was predicted to be slightly higher at 82.17%, while for Scenarios 3 and 4, the copper purity was predicted to be 83.74% wt%. Based on these results, it appears that the different types of fuel sources and reducing agents do not affect the purity significantly. Based on the equilibrium calculation in this study, the copper purity was mostly affected by the operating conditions, such as temperature and oxygen partial pressure.
Table 5 also presents the energy requirement during the black copper smelting process of the different scenarios. The minimum heat requirement to provide sufficient heat and reduction was predicted to be 970 MJ, 910 MJ, 665 MJ and 665 MJ per tonne feed material in Scenarios 1, 2, 3 and 4, respectively. It can be seen that the reduction stage requires a substantial amount of energy, which is indicated by a positive value of enthalpy in the process. This necessitates the burning of fuel to provide the energy required for the process, which can vary between burning carbon and hydrogen and other alternative energy sources. On the other hand, the table shows that during the oxidation process in all scenarios, the enthalpy of the process was found to be negative. This indicates that the oxidation process is the exothermic process and releases energy. The energy generated during oxidation process is −10,917 MJ, −16,670 MJ, −13,000 MJ and −13,000 MJ for Scenarios 1, 2, 3 and 4, respectively. Furthermore, the results also show that, overall, the energy balance of carbothermic and hydrogen reduction is relatively similar. However, it is important to note that the equilibrium calculations in this study were subject to some simplifications and limitations. For instance, only pure carbon and hydrogen were used in this study for thermodynamic assessment, and the heat calculation was based on the minimum required for the chemical reaction, whereas in the actual process, the number could be higher due to heat losses.
4. Conclusions
The current study conducted a thermodynamic analysis of the use of hydrogen for black copper smelting with embedded waste PCB processing. The results show that the energy balance of the carbothermic reduction and hydrogen reduction is quite similar. This study also found that the copper yield strongly depends on the copper content in the feed material input of the process. The results also show that the minimum amounts of carbon and hydrogen required to provide sufficient heat and reduction during the reduction stage are 51.45 kg and 8.13 kg, respectively, per tonne of feed material. A minimum of 10 wt% of waste PCB per tonne of feed material is required to provide heat and reduction during the reduction step, along with extra carbon and hydrogen combustion. The excess heat from the oxidation process can potentially be reused to provide heat for the reduction process if different reactors are used for oxidation and reduction. In general, the use of hydrogen in the black copper smelting process may reduce the emissions of CO2. However, in the case of black copper smelting embedded with e-waste processing, CO2 emissions still exist due to the presence of carbon in waste PCBs. However, if hydrogen is used to supply heat, the CO2 emissions can be reduced by up to 73%.
Author Contributions
Conceptualization, M.A.R. and A.Q.M.; methodology, A.Q.M. and M.A.R.; software, A.Q.M. and M.A.R.; formal analysis, A.Q.M., M.A.R., A.Y.S., K.M.T. and N.H.; investigation, A.Q.M.; writing—original draft preparation, A.Q.M.; writing—review and editing, A.Q.M., M.A.R., A.Y.S., K.M.T. and N.H.; visualization, A.Q.M.; supervision, M.A.R., A.Y.S., K.M.T. and N.H.; project administration, M.A.R.; funding acquisition, M.A.R. All authors have read and agreed to the published version of the manuscript.
Funding
This research received no external funding.
Data Availability Statement
Not applicable.
Acknowledgments
The authors gratefully acknowledge the financial support from Swinburne University of Technology through the SUPRA scholarship (ECR Grant scheme) for the first author.
Conflicts of Interest
The authors declare that they have no known competing financial interest or personal relationships that could have appeared to influence the work reported in this paper.
References
- Vogl, V.; Åhman, M.; Nilsson, L.J. Assessment of hydrogen direct reduction for fossil-free steelmaking. J. Clean. Prod. 2018, 203, 736–745. [Google Scholar] [CrossRef]
- Tang, J.; Chu, M.-S.; Li, F.; Feng, C.; Liu, Z.-G.; Zhou, Y.-S. Development and progress on hydrogen metallurgy. Int. J. Miner. Met. Mater. 2020, 27, 713–723. [Google Scholar] [CrossRef]
- United Nations Environment Programme. Emissions Gap Report 2022: The Closing Window—Climate Crisis Calls for Rapid Transformation of Societies. Nairobi. 2022. Available online: https://www.unep.org/emissions-gap-report-2022 (accessed on 30 April 2023).
- Röben, F.T.; Schöne, N.; Bau, U.; Reuter, M.A.; Dahmen, M.; Bardow, A. Decarbonizing copper production by power-to-hydrogen: A techno-economic analysis. J. Clean. Prod. 2021, 306, 127191. [Google Scholar] [CrossRef]
- Rukini, A.; Rhamdhani, M.A.; Brooks, G.A.; Bulck, A.V.D. Metals Production and Metal Oxides Reduction Using Hydrogen: A Review. J. Sustain. Met. 2022, 8, 1–24. [Google Scholar] [CrossRef]
- Ritchie, H.; Roser, M.; Rosado, P. CO2 and Greenhouse Gas Emissions. Our World in Data. 2020. Available online: https://ourworldindata.org/co2-and-greenhouse-gas-emissions (accessed on 30 April 2023).
- Zuo, Z.; Yu, Q.; Xie, H.; Yang, F.; Qin, Q. Thermodynamic analysis of reduction in copper slag by biomass molding compound based on phase equilibrium calculating model. J. Therm. Anal. Calorim. 2018, 132, 1277–1289. [Google Scholar] [CrossRef]
- Friedmann, S.J.; Fan, Z.; Tang, K. Low-Carbon Heat Solutions for Heavy Industry: Sources, Options, and Costs Today. Columbia University. 2019. Available online: https://www.energypolicy.columbia.edu/research/report/low-carbon-heat-solutions-heavy-industry-sources-options-and-costs-today (accessed on 15 November 2022).
- Otto, A.; Robinius, M.; Grube, T.; Schiebahn, S.; Praktiknjo, A.; Stolten, D. Power-to-Steel: Reducing CO2 through the Integration of Renewable Energy and Hydrogen into the German Steel Industry. Energies 2017, 10, 451. [Google Scholar] [CrossRef]
- Devasahayam, S.; Raju, G.B.; Hussain, C.M. Utilization and recycling of end of life plastics for sustainable and clean industrial processes including the iron and steel industry. Mater. Sci. Energy Technol. 2019, 2, 634–646. [Google Scholar] [CrossRef]
- International Energy Agency. The Future of Hydrogen: Seizing Today’s Opportunities. IEA Publisher. 2019. Available online: https://www.iea.org/reports/the-future-of-hydrogen (accessed on 30 April 2023).
- Schlesinger, M.E.; Sole, K.C.; Davenport, W.G.; Alvear, G.R. Extractive Metallurgy of Copper; Elsevier: Amsterdam, The Netherlands, 2021. [Google Scholar]
- Khaliq, A.; Rhamdhani, M.A.; Brooks, G.; Masood, S. Metal Extraction Processes for Electronic Waste and Existing Industrial Routes: A Review and Australian Perspective. Resources 2014, 3, 152–179. [Google Scholar] [CrossRef]
- Duan, H.; Hou, K.; Li, J.; Zhu, X. Examining the technology acceptance for dismantling of waste printed circuit boards in light of recycling and environmental concerns. J. Environ. Manag. 2011, 92, 392–399. [Google Scholar] [CrossRef]
- Zhao, Y.; Wen, X.; Li, B.; Tao, D. Recovery of copper from waste printed circuit boards. Min. Met. Explor. 2004, 21, 99–102. [Google Scholar] [CrossRef]
- Yoo, J.-M.; Jeong, J.; Yoo, K.; Lee, J.-C.; Kim, W. Enrichment of the metallic components from waste printed circuit boards by a mechanical separation process using a stamp mill. Waste Manag. 2009, 29, 1132–1137. [Google Scholar] [CrossRef]
- Hino, T.; Agawa, R.; Moriya, Y.; Nishida, M.; Tsugita, Y.; Araki, T. Techniques to separate metal from waste printed circuit boards from discarded personal computers. J. Mater. Cycles Waste Manag. 2009, 11, 42–54. [Google Scholar] [CrossRef]
- Chen, Z.; Liu, L.; Wang, H.; Liu, L.; Wang, X. Pyrolysis Characteristics and Non-Isothermal Kinetics of Integrated Circuits. Materials 2022, 15, 4460. [Google Scholar] [CrossRef]
- Salbidegoitia, J.; Fuentes-Ordóñez, E.; González-Marcos, M.; González-Velasco, J.; Bhaskar, T.; Kamo, T. Steam gasification of printed circuit board from e-waste: Effect of coexisting nickel to hydrogen production. Fuel Process. Technol. 2015, 133, 69–74. [Google Scholar] [CrossRef]
- Zhang, S.; Yu, Y. Dechlorination Behavior on the Recovery of Useful Resources from WEEE by the Steam Gasification in the Molten Carbonates. Procedia Environ. Sci. 2016, 31, 903–910. [Google Scholar] [CrossRef]
- Zhang, S.; Yoshikawa, K.; Nakagome, H.; Kamo, T. Kinetics of the steam gasification of a phenolic circuit board in the presence of carbonates. Appl. Energy 2013, 101, 815–821. [Google Scholar] [CrossRef]
- Kim, J.Y.; Hanson, J.C.; I Frenkel, A.; Lee, P.L.; Rodríguez, J.A. Reaction of CuO with hydrogen studied by using synchrotron-based x-ray diffraction. J. Phys. Condens. Matter 2004, 16, S3479–S3484. [Google Scholar] [CrossRef]
- Kim, J.Y.; Rodriguez, J.A.; Hanson, J.C.; Frenkel, A.I.; Lee, P.L. Reduction of CuO and Cu2O with H2: H embedding and kinetic effects in the formation of suboxides. J. Am. Chem. Soc. 2003, 125, 10684–10692. [Google Scholar] [CrossRef] [PubMed]
- Rodriguez, J.A.; Kim, J.Y.; Hanson, J.C.; Perez, M.; Frenkel, A.I. Reduction of CuO in H2: In Situ Time-Resolved XRD Studies. Catal. Lett. 2003, 85, 247–254. [Google Scholar] [CrossRef]
- Jelić, D.; Tomić-Tucaković, B.; Mentus, S. A kinetic study of copper (II) oxide powder reduction with hydrogen, based on thermogravimetry. Thermochim. Acta 2011, 521, 211–217. [Google Scholar] [CrossRef]
- Mairizal, A.; Sembada, A.; Tse, K.; Haque, N.; Rhamdhani, M. Techno-economic analysis of waste PCB recycling in Australia. Resour. Conserv. Recycl. 2023, 190, 106784. [Google Scholar] [CrossRef]
- Ghodrat, M.; Rhamdhani, M.A.; Khaliq, A.; Brooks, G.; Samali, B. Thermodynamic analysis of metals recycling out of waste printed circuit board through secondary copper smelting. J. Mater. Cycles Waste Manag. 2017, 20, 386–401. [Google Scholar] [CrossRef]
- Bale, C.W.; Bélisle, E.; Chartrand, P.; Decterov, S.A.; Eriksson, G.; Gheribi, A.E.; Hack, K.; Jung, I.-H.; Kang, Y.-B.; Melançon, J.; et al. Reprint of: FactSage thermochemical software and databases, 2010–2016. Calphad 2016, 55, 1–19. [Google Scholar] [CrossRef]
- Bale, C.; Chartrand, P.; Degterov, S.; Eriksson, G.; Hack, K.; Ben Mahfoud, R.; Melançon, J.; Pelton, A.; Petersen, S. FactSage thermochemical software and databases. Calphad 2002, 26, 189–228. [Google Scholar] [CrossRef]
- Bale, C.; Bélisle, E.; Chartrand, P.; Decterov, S.; Eriksson, G.; Hack, K.; Jung, I.-H.; Kang, Y.-B.; Melançon, J.; Pelton, A.; et al. FactSage thermochemical software and databases—Recent developments. Calphad 2009, 33, 295–311. [Google Scholar] [CrossRef]
- Kongoli, F.; Mcbow, I.; Yazawa, A.; Takeda, Y.; Yamaguchi, K.; Budd, R.; Llubani, S. Liquidus relationships of calcium ferrite and ferrous calcium silicate slag in continuous copper converting. Miner. Process. Extr. Met. 2008, 117, 67–76. [Google Scholar] [CrossRef]
Disclaimer/Publisher’s Note: The statements, opinions and data contained in all publications are solely those of the individual author(s) and contributor(s) and not of MDPI and/or the editor(s). MDPI and/or the editor(s) disclaim responsibility for any injury to people or property resulting from any ideas, methods, instructions or products referred to in the content. |
© 2023 by the authors. Licensee MDPI, Basel, Switzerland. This article is an open access article distributed under the terms and conditions of the Creative Commons Attribution (CC BY) license (https://creativecommons.org/licenses/by/4.0/).









