Technoeconomic Analysis for Green Hydrogen in Terms of Production, Compression, Transportation and Storage Considering the Australian Perspective
Abstract
1. Introduction
2. Methodology
2.1. Fundamental Equations in Producing Hydrogen Using Alkaline Electrolysis
2.2. Technoeconomic Analysis for Hydrogen Generation, Compression and Storage
- The levelised cost of hydrogen (LCH2) production was evaluated/predicted for 2023, 2030, 2040 and 2050.
- The LCH2 was predicted considering different electricity sources such as grid, standalone solar photovoltaic (PV), standalone wind, and a mix of solar PV and wind. The capacity factors for solar PV and wind were based on the AEMO estimates/projections [28].
- Tube trailer/truck was considered to be the mode of compressed hydrogen delivery.
- For technoeconomic modelling, a 10 MW AEL electrolyser was chosen for hydrogen production. Analysis was carried out under different electricity prices, capacity factors and efficiencies to assess the economics of hydrogen production.
- Unless otherwise stated, all costs reported in the report are in 2023 US dollars (2023 USD).
| Input | Units/Note | 2023 | 2030 | 2040 | 2050 | 
|---|---|---|---|---|---|
| Electrolyser Parameters | |||||
| Efficiency | % | 61.73% | 70% | 73% | 76% | 
| Electricity Consumption (kWh) | kWh/kg | 54.00 | 52.00 | 50.00 | 48.00 | 
| Water Consumption | L/kgH2 | 10 | 9 | 9 | 9 | 
| Capacity Factor | % | 0–100 | 0–100 | 0–100 | 0–100 | 
| Lifetime Stack High | hours | 80,000 | 80,000 | 100,000 | 120,000 | 
| Degradation rate | % | 1.0 | 1.0 | 1.0 | 1.0 | 
| Electrolyser CAPEX | |||||
| Capacity | MW | 10 | 10 | 10 | 10 | 
| Equipment cost | USD/kW | 1400 | 850 [33] | 700 [33] | 300 [29] | 
| Total Direct Cost | 18,000,000 | 7,000,000 | 5,130,000 | 4,410,000 | |
| Construction and Site | 19% of direct cost | 3,410,000 | 1,330,000 | 975,000 | 838,000 | 
| Engineering Service | 1% | 180,000 | 70,000 | 51,300 | 44,100 | 
| Project Contingency | 10–15% | 1,800,000 | 700,000 | 513,000 | 441,000 | 
| Total Indirect Cost | 5,390,000 | 2,100,000 | 1,540,000 | 1,320,000 | |
| Total CAPEX | 23,300,000 | 9,100,000 | 6,670,000 | 5,730,000 | |
| Electrolyser OPEX | |||||
| Electricity Source | Optional list | Wind power | Wind power | Wind power | Wind power | 
| Electricity price | |||||
| Water Type | Optional list | Desalinated water | Desalinated water | Desalinated water | Desalinated water | 
| Water Cost | USD/L | 0.0050 | 0.0050 | 0.0050 | 0.0050 | 
| O&M Cost | (%) of CAPEX | 2.5 | 2.5 | 2.5 | 2.5 | 
| Stack Substitution | (%) of CAPEX | 20 | 20 | 20 | 20 | 
2.2.1. Evaluation of Levelised Cost of Hydrogen under Different Scenarios
2.2.2. Technoeconomic Analysis for the Compression of Hydrogen
| Factor | Value | Comment and Ref. | 
|---|---|---|
| Inflation rate | 2–4% | [36,37] | 
| Discount rate | 8% | Discount rate = weighted average cost of capital (WACC) | 
| Project lifetime | 25 years | Assumed [35] | 
| Electricity cost | 0.8 USD/kWh | [34,38] | 
| Capacity factor | 95% | Assumed [35] | 
| Scaling factor | 0.83 | Assumed [35] | 
| Installation factor | 2 | Assumed [35] | 
| Compressor cost | CC [2022 USD] = 3083.3 × (Prated)SF, where scale factor (SF) = 0.8335 | The data were retrieved from [35] and converted into 2023 USD using the inflation rate provided in Ref. [36] | 
| Labour rate | 75.5 USD/h | Ref. [39] | 
| Indirect labour factor | 50% | Ref. [35] | 
3. Results and Discussion
3.1. Mathematical Modelling of AEL
3.2. Technoeconomic Analysis Results
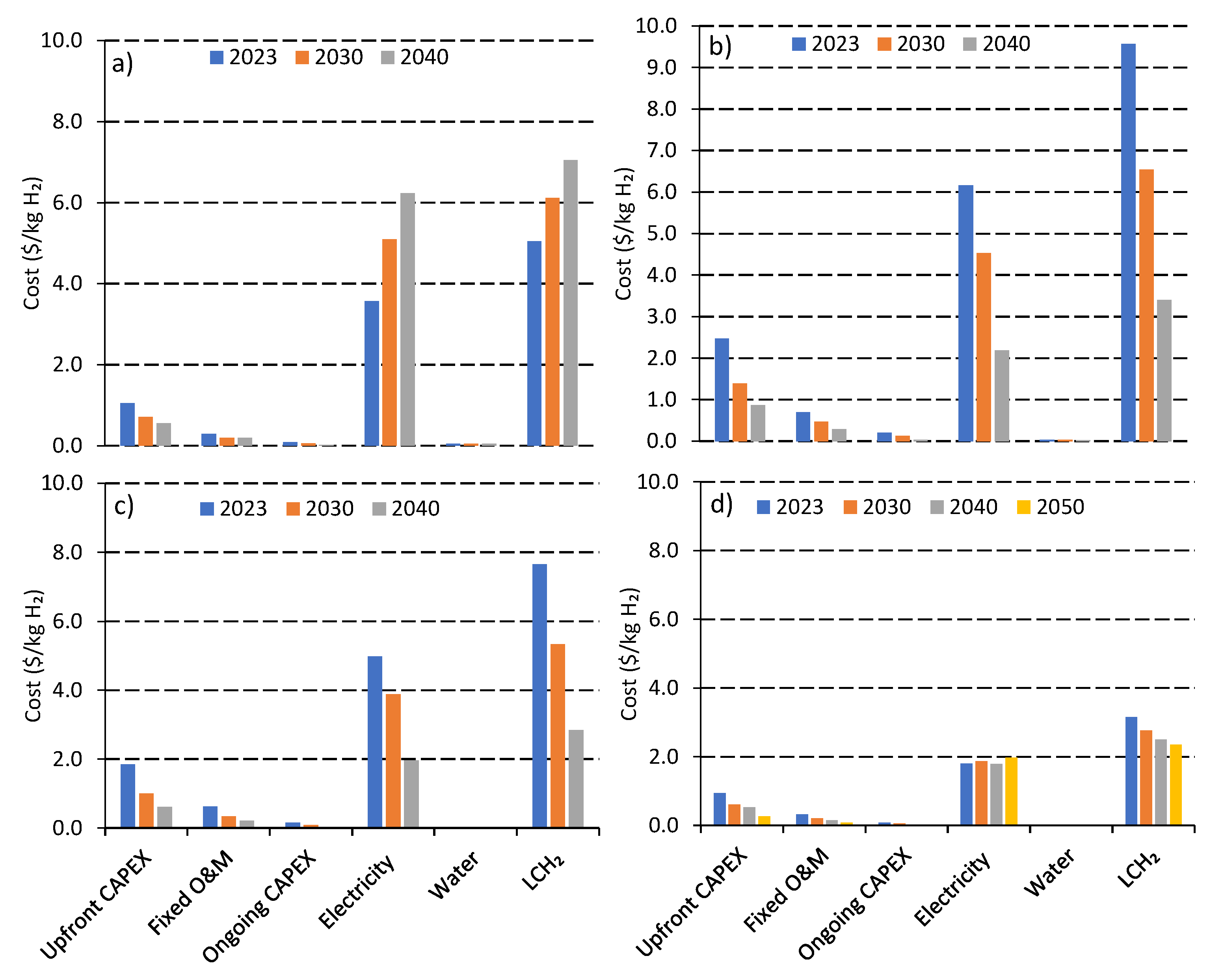
Levelised Cost of Hydrogen
3.3. Compressor Power Calculation
3.4. Technoeconomic Analysis for the Compression of Hydrogen
3.5. Technoeconomic Analysis for the Transportation of Hydrogen
3.6. Technoeconomic Modelling for the Storage of Hydrogen
4. Conclusions
Author Contributions
Funding
Data Availability Statement
Conflicts of Interest
References
- IEA. International Energy Agency Global Hydrogen Review 2021; OECD Publishing: Paris, France, 2021. [Google Scholar]
- Khojasteh Salkuyeh, Y.; Saville, B.A.; MacLean, H.L. Techno-economic analysis and life cycle assessment of hydrogen production from natural gas using current and emerging technologies. Int. J. Hydrogen Energy 2017, 42, 18894–18909. [Google Scholar] [CrossRef]
- Shahabuddin, M.; Brooks, G.; Rhamdhani, M.A. Decarbonisation and hydrogen integration of steel industries: Recent development, challenges and technoeconomic analysis. J. Clean. Prod. 2023, 395, 136391. [Google Scholar] [CrossRef]
- Salkuyeh, Y.K.; Saville, B.A.; MacLean, H.L. Techno-economic analysis and life cycle assessment of hydrogen production from different biomass gasification processes. Int. J. Hydrogen Energy 2018, 43, 9514–9528. [Google Scholar] [CrossRef]
- Ali Khan, M.H.; Daiyan, R.; Neal, P.; Haque, N.; MacGill, I.; Amal, R. A framework for assessing economics of blue hydrogen production from steam methane reforming using carbon capture storage & utilisation. Int. J. Hydrogen Energy 2021, 46, 22685–22706. [Google Scholar]
- Turner, J.; Sverdrup, G.; Mann, M.K.; Maness, P.C.; Kroposki, B.; Ghirardi, M.; Evans, R.J.; Blake, D. Renewable hydrogen production. Int. J. Energy Res. 2008, 32, 379–407. [Google Scholar] [CrossRef]
- Kotowicz, J.; Jurczyk, M.; Węcel, D.; Ogulewicz, W. Analysis of hydrogen production in alkaline electrolyzers. J. Power Technol. 2016, 96, 149. [Google Scholar]
- Lehner, M.; Tichler, R.; Steinmüller, H.; Koppe, M. Power-to-Gas: Technology and Business Models; Springer: Berlin/Heidelberg, Germany, 2014. [Google Scholar]
- Shiva Kumar, S.; Lim, H. An overview of water electrolysis technologies for green hydrogen production. Energy Rep. 2022, 8, 13793–13813. [Google Scholar] [CrossRef]
- Sanchez, M.; Amores, E.; Abad, D.; Rodriguez, L.; Clemente-Jul, C. Aspen Plus model of an alkaline electrolysis system for hydrogen production. Int. J. Hydrogen Energy 2020, 45, 3916–3929. [Google Scholar] [CrossRef]
- Sánchez, M.; Amores, E.; Rodríguez, L.; Clemente-Jul, C. Semi-empirical model and experimental validation for the performance evaluation of a 15 kW alkaline water electrolyzer. Int. J. Hydrogen Energy 2018, 43, 20332–20345. [Google Scholar] [CrossRef]
- Buttler, A.; Spliethoff, H. Current status of water electrolysis for energy storage, grid balancing and sector coupling via power-to-gas and power-to-liquids: A review. Renew. Sustain. Energy Rev. 2018, 82, 2440–2454. [Google Scholar] [CrossRef]
- Ursua, A.; Gandia, L.M.; Sanchis, P. Hydrogen production from water electrolysis: Current status and future trends. Proceedings IEEE 2011, 100, 410–426. [Google Scholar] [CrossRef]
- Zeng, K.; Zhang, D. Recent progress in alkaline water electrolysis for hydrogen production and applications. Prog. Energy Combust. Sci. 2010, 36, 307–326. [Google Scholar] [CrossRef]
- Li, X.; Walsh, F.C.; Pletcher, D. Nickel based electrocatalysts for oxygen evolution in high current density, alkaline water electrolysers. Phys. Chem. Chem. Phys. 2011, 13, 1162–1167. [Google Scholar] [CrossRef]
- Pletcher, D.; Li, X. Prospects for alkaline zero gap water electrolysers for hydrogen production. Int. J. Hydrogen Energy 2011, 36, 15089–15104. [Google Scholar] [CrossRef]
- Leng, Y.; Chen, G.; Mendoza, A.J.; Tighe, T.B.; Hickner, M.A.; Wang, C.-Y. Solid-state water electrolysis with an alkaline membrane. J. Am. Chem. Soc. 2012, 134, 9054–9057. [Google Scholar] [CrossRef]
- Zghaibeh, M.; Barhoumi, E.M.; Okonkwo, P.C.; Ben Belgacem, I.; Beitelmal, W.H.; Mansir, I.B. Analytical model for a techno-economic assessment of green hydrogen production in photovoltaic power station case study Salalah city—Oman. Int. J. Hydrogen Energy 2022, 47, 14171–14179. [Google Scholar] [CrossRef]
- Benalcazar, P.; Komorowska, A. Prospects of green hydrogen in Poland: A techno-economic analysis using a Monte Carlo approach. Int. J. Hydrogen Energy 2022, 47, 5779–5796. [Google Scholar] [CrossRef]
- Minutillo, M.; Perna, A.; Forcina, A.; Di Micco, S.; Jannelli, E. Analyzing the levelized cost of hydrogen in refueling stations with on-site hydrogen production via water electrolysis in the Italian scenario. Int. J. Hydrogen Energy 2021, 46, 13667–13677. [Google Scholar] [CrossRef]
- Fragiacomo, P.; Genovese, M. Technical-economic analysis of a hydrogen production facility for power-to-gas and hydrogen mobility under different renewable sources in Southern Italy. Energy Convers. Manag. 2020, 223, 113332. [Google Scholar] [CrossRef]
- Lee, S.; Na, U.J.; Jo, H. Techno-economic assessment of green hydrogen production via two-step thermochemical water splitting using microwave. Int. J. Hydrogen Energy 2023, 48, 10706–10723. [Google Scholar] [CrossRef]
- Babarit, A.; Gilloteaux, J.-C.; Clodic, G.; Duchet, M.; Simoneau, A.; Platzer, M.F. Techno-economic feasibility of fleets of far offshore hydrogen-producing wind energy converters. Int. J. Hydrogen Energy 2018, 43, 7266–7289. [Google Scholar] [CrossRef]
- Ibagon, N.; Muñoz, P.; Díaz, V.; Teliz, E.; Correa, G. Techno-economic analysis for off-grid green hydrogen production in Uruguay. J. Energy Storage 2023, 67, 107604. [Google Scholar] [CrossRef]
- Jang, D.; Kim, J.; Kim, D.; Han, W.-B.; Kang, S. Techno-economic analysis and Monte Carlo simulation of green hydrogen production technology through various water electrolysis technologies. Energy Convers. Manag. 2022, 258, 115499. [Google Scholar] [CrossRef]
- Ulleberg, Ø. Modeling of advanced alkaline electrolyzers: A system simulation approach. Int. J. Hydrogen Energy 2003, 28, 21–33. [Google Scholar] [CrossRef]
- AEMO. Assumptions and Scenarios Report. 2021. Available online: https://aemo.com.au/-/media/files/major-publications/isp/2021/2021-inputs-assumptions-and-scenarios-report.pdf?la=en (accessed on 25 April 2023).
- AEMO. Costs and Technical Parameter Review Consultation Report. Available online: https://www.aemo.com.au/-/media/files/electricity/nem/planning_and_forecasting/isp/2021/aurecon---cost-and-technical-parameters-review-2020.pdf?la=en (accessed on 27 May 2023).
- Graham, P.; Hayward, J.; Foster, J.; Havas, L. GenCost 2021–2022: Consultation Draft; Commonwealth Scientific and Industrial Research Organisation (CSIRO): Canberra, Australia, 2021.
- Bruce, S.; Temminghoff, M.; Hayward, J.; Schmidt, E.; Munnings, C.; Palfreyman, D.; Hartley, P. National Hydrogen Roadmap; CSIRO: Canberra, Australia, 2018.
- Khan, M.H.A.; Daiyan, R.; Han, Z.; Hablutzel, M.; Haque, N.; Amal, R.; MacGill, I. Designing optimal integrated electricity supply configurations for renewable hydrogen generation in Australia. IScience 2021, 24, 102539. [Google Scholar] [CrossRef]
- Balasubramanian, V.; Haque, N.; Bhargava, S.; Madapusi, S.; Parthasarathy, R. Techno-Economic Evaluation Methodology for Hydrogen Energy Systems. In Bioenergy Resources and Technologies; Elsevier: Amsterdam, The Netherlands, 2021; pp. 237–260. [Google Scholar]
- IEA (International Energy Agency). The Future of Hydrogen: Seizing Today’s Opportunities. 2019. Available online: https://iea.blob.core.windows.net/assets/9e3a3493-b9a6-4b7d-b499-7ca48e357561/The_Future_of_Hydrogen.pdf (accessed on 24 April 2023).
- Brinsmead, T.S.; Hayward, J.; Graham, P. Australian Electricity Market Analysis Report to 2020 and 2030; CSIRO Technical Report No. EP141067; CSIRO: Canberra, Australia, 2014.
- Khan, M.A.; Young, C.; Mackinnon, C.; Layzell, D. The Techno-Economics of Hydrogen Compression. Tech. Briefs Can. Transit. Accel. 2021, 1, 1e36. [Google Scholar]
- CPI. CPI Inflation Calculation. 2019. Available online: https://www.officialdata.org/us/inflation/2013?endYear=2019&amount=567 (accessed on 18 March 2023).
- Inflation Calculator. Inflation Calculator for Canadian Dollar. 2023. Available online: https://www.bankofcanada.ca/rates/related/inflation-calculator/#:~:text=The%20Inflation%20Calculator%20uses%20monthly,this%20cost%20is%20called%20inflation (accessed on 22 March 2023).
- ROAM Consulting. Projections of Electricity Generation in Australia to 2050. 2011. Available online: https://treasury.gov.au/sites/default/files/2019-03/c2011-sglp-supplementary-ROAM.pdf (accessed on 26 March 2023).
- Build Australia. Australia Becomes the Fourth Most Expensive Region for Construction Labour: Global Report. 2022. Available online: https://www.buildaustralia.com.au/news_article/australia-becomes-the-fourth-most-expensive-region-for-construction-labour-global-report/ (accessed on 17 March 2023).
- Haug, P.; Koj, M.; Turek, T. Influence of process conditions on gas purity in alkaline water electrolysis. Int. J. Hydrogen Energy 2017, 42, 9406–9418. [Google Scholar] [CrossRef]
- De Atholia, T.; Flannigan, G.; Lai, S. Renewable Energy Investment in Australia|Bulletin—March 2020; Reserve Bank of Australia: Sydney, Australia, 2020.
- Parks, G. Hydrogen Station Compression, Storage, and Dispensing Technical Status and Costs; National Renewable Energy Laboratory: Golden, CO, USA, 2014.
- Barthélémy, H.; Weber, M.; Barbier, F. Hydrogen storage: Recent improvements and industrial perspectives. Int. J. Hydrogen Energy 2017, 42, 7254–7262. [Google Scholar] [CrossRef]
- Tarhan, C.; Çil, M.A. A study on hydrogen, the clean energy of the future: Hydrogen storage methods. J. Energy Storage 2021, 40, 102676. [Google Scholar] [CrossRef]










| References | Methods | Key Findings | 
|---|---|---|
| Salkuyeh et al., 2018 [4] | Biomass gasification-based H2 production | LCH2: 3–3.5 USD/kgH2 | 
| Zghaibeh et al., 2022 [18] | PV solar-based H2 production | LCH2: ~7 USD/kgH2 | 
| Benalcazar et al., 2022 [19] | PEM water electrolysis H2 production | LCH2: ~7–15 USD/kgH2 | 
| Minutillo et al., 2021 [20] | Water electrolysis-based H2 production | LCH2: ~10–14 USD/kgH2 | 
| Fragiacomo and Genovese, 2020 [21] | PEM water electrolysis H2 production | LCH2: ~7.75–11 USD/kgH2 | 
| Lee et al., 2023 [22] | CSP-based solar H2 production | LCH2: ~14.4 USD/kgH2 | 
| Babarit et al., 2018 [23] | Offshore wind-based H2 production | LCH2: ~8–10.5 USD/kgH2 | 
| Ibagon et al., 2023 [24] | Off-grid green H2 production | LCH2: ~3.5 USD/kgH2 | 
| Jang et al., 2022 [25] | Different electrolysis-based H2 production | LCH2: ~7.0–10 USD/kgH2 | 
| Decomposition of water | (1) | |
| Cell voltage | (2) | |
| Faradic efficiency | (3) | |
| Faraday’s efficiency | (4) | |
| Hydrogen to oxygen | (5) | |
| Mass balance | ||
| H2 production rate | (6) | |
| (7) | ||
| (8) | ||
| (9) | ||
| Energy balance | ||
| (10) | ||
| Thermoneutral cell voltage | (11) | |
| Heat generation in cell | (12) | |
| (13) | ||
| (14) | ||
| (15) | ||
| (16) | ||
| Stack power | (17) | |
| (18) | ||
| Fractional conversion of H2O | (19) | |
| Disclaimer/Publisher’s Note: The statements, opinions and data contained in all publications are solely those of the individual author(s) and contributor(s) and not of MDPI and/or the editor(s). MDPI and/or the editor(s) disclaim responsibility for any injury to people or property resulting from any ideas, methods, instructions or products referred to in the content. | 
© 2023 by the authors. Licensee MDPI, Basel, Switzerland. This article is an open access article distributed under the terms and conditions of the Creative Commons Attribution (CC BY) license (https://creativecommons.org/licenses/by/4.0/).
Share and Cite
Shahabuddin, M.; Rhamdhani, M.A.; Brooks, G.A. Technoeconomic Analysis for Green Hydrogen in Terms of Production, Compression, Transportation and Storage Considering the Australian Perspective. Processes 2023, 11, 2196. https://doi.org/10.3390/pr11072196
Shahabuddin M, Rhamdhani MA, Brooks GA. Technoeconomic Analysis for Green Hydrogen in Terms of Production, Compression, Transportation and Storage Considering the Australian Perspective. Processes. 2023; 11(7):2196. https://doi.org/10.3390/pr11072196
Chicago/Turabian StyleShahabuddin, M., M. A. Rhamdhani, and G. A. Brooks. 2023. "Technoeconomic Analysis for Green Hydrogen in Terms of Production, Compression, Transportation and Storage Considering the Australian Perspective" Processes 11, no. 7: 2196. https://doi.org/10.3390/pr11072196
APA StyleShahabuddin, M., Rhamdhani, M. A., & Brooks, G. A. (2023). Technoeconomic Analysis for Green Hydrogen in Terms of Production, Compression, Transportation and Storage Considering the Australian Perspective. Processes, 11(7), 2196. https://doi.org/10.3390/pr11072196
 
        




 
       