A Flexible Heat Exchanger Network Synthesis Method Adapted to Multi-Operation Conditions
Abstract
:1. Introduction
2. Problem Statement
3. The Proposed Flexible HEN Synthesis Method
3.1. Nominal Multiperiod HEN Topology Generation
3.2. Critical Point Identification
3.3. Multiperiod HEN Flexibility Tests
3.4. Flexibility Improvement
4. Case Study
4.1. Ammonia Synthesis Process
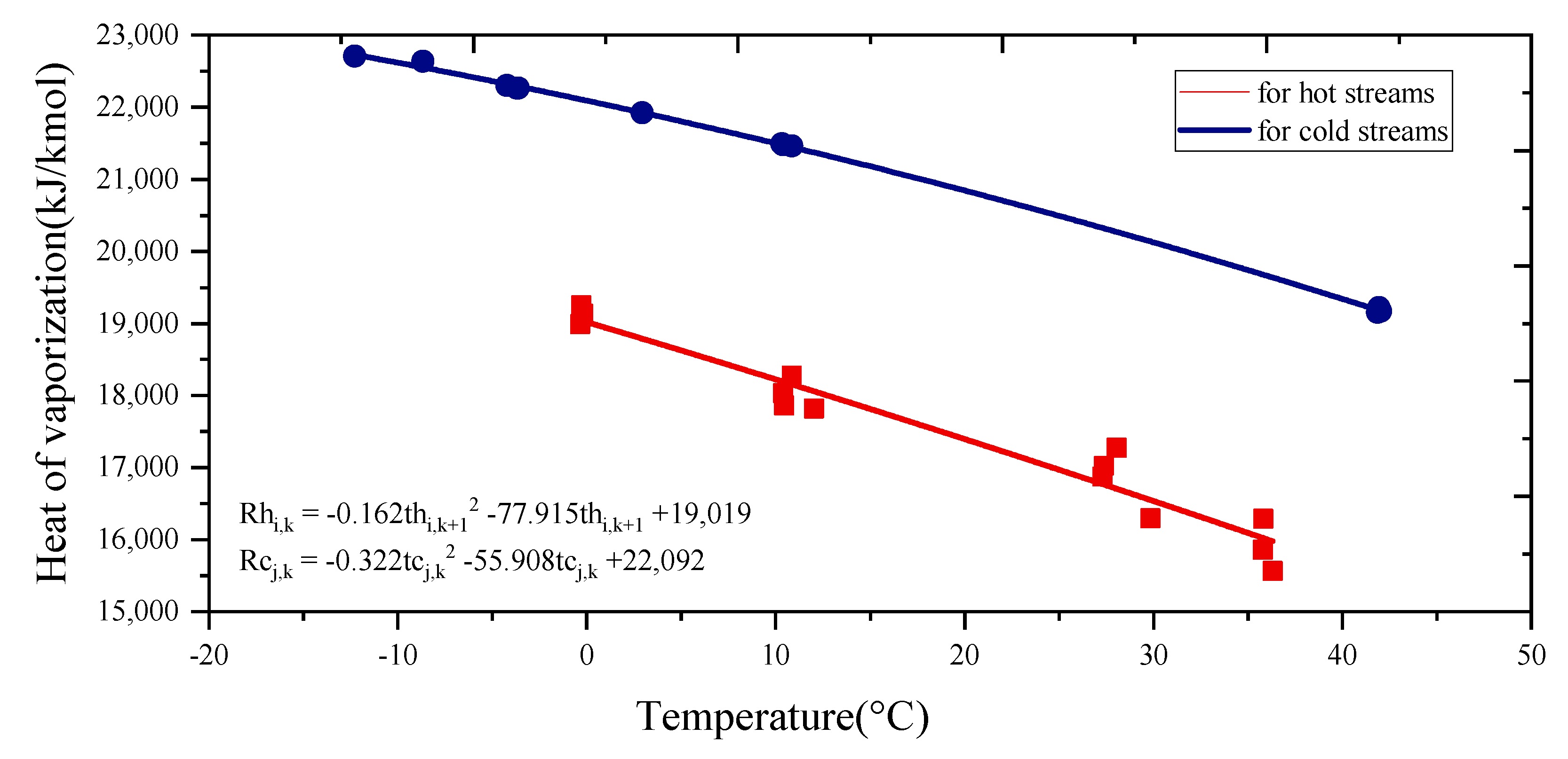
4.2. Basic Data
- Initial temperatures for H1, H2, C1: ±5 K;
- Initial vapor fraction for H2: 0.01;
- Heat capacity flow rates for C4 (for the remaining streams): ±5 (±10) kW·K−1.
4.3. Flexible Multiperiod HEN Synthesis
5. Results and Discussion
- The area of heat exchanger No. 4 was increased because the heat transfer load increased, resulting from the increase in the initial temperature and heat capacity flow rates of H2.
- The area of cooler No. 5 and heater No. 6 increased because heat exchanger No. 1, which completely exchanges heat between the hot and cold streams, is unable to meet the heat exchange demand after fluctuations in the initial temperature and heat capacity flow rates of H1 and C1.
- The area of heater No. 7 increased because of a decrease in initial temperature and flow rates of H2 and an increase in heat transfer load with increased heat capacity flow rates of C2.
6. Conclusions
Author Contributions
Funding
Data Availability Statement
Conflicts of Interest
Nomenclature
| Indices | |
| i | hot stream |
| j | cold stream |
| k | superstructure stage |
| s | critical points |
| Symbols | |
| a,b,c | coefficients for the calculation for the heat of vaporization |
| A,B,C | Antoine coefficients |
| , | coefficients for the Larson-Black empirical formula |
| Area | Heat transfer areas, m2 |
| A | area of the heat exchanger, m2 |
| Ahu | area of the heater, m2 |
| Acu | area of the cooler, m2 |
| the additional heat transfer areas of heat exchangers, m2 | |
| the additional heat transfer areas of heaters, m2 | |
| the additional heat transfer areas of coolers, m2 | |
| ca | cost coefficient of heat transfer area, €·m−2·y−1 |
| ccu | cost coefficient of cooling utility, €·kW−1·y−1 |
| chu | cost coefficient of heating utility, €·kW−1·y−1 |
| cf | cost coefficient of heat exchanger, € |
| Cc | Capital cost, €·y−1 |
| Co | Operating cost, €·y−1 |
| dA | heat transfer area design variables |
| ds | structure design variables |
| dt | temperature difference for heat exchanger, K |
| dthu | temperature difference for the heater, K |
| dtcu | temperature difference for cooler, K |
| Fh | heat capacity flow rates for hot streams, kW·K−1 |
| Fc | heat capacity flow rates for cold streams, kW·K−1 |
| g | inequality constraints |
| gA | heat transfer area constraints |
| h | equality constraints |
| hv | phase changes constraints |
| Lh | molar flow rates for hot streams, kmol·h−1 |
| Lc | molar flow rates for cold streams, kmol·h−1 |
| M | a large number |
| N | No. of subperiods |
| Nk | No. of stages |
| No. | No. of units |
| p | total pressure, kPa |
| Phx | partial pressure of component x for hot streams, kPa |
| Pcx | partial pressure of component x for cold streams, kPa |
| saturated vapor pressure of component for hot streams, kPa | |
| saturated vapor pressure of component for cold streams, kPa | |
| q | heat load, kW |
| qhu | heating utility, kW |
| qcu | cooling utility, kW |
| Rh | the heat of vaporization for hot streams, kJ/kmol |
| Rc | the heat of vaporization for cold streams, kJ/kmol |
| the signum function | |
| TAC | total annual costs, €·y−1 |
| minimum approach temperature, K | |
| th | temperature for hot streams, K |
| thin | initial temperature for hot streams, K |
| thout | targeted temperature for hot streams, K |
| thuin | initial temperature for hot utility, K |
| thuout | targeted temperature for hot utility, K |
| tc | temperature for cold streams, K |
| tcin | initial temperature for cold streams, K |
| tcout | targeted temperature for cold streams, K |
| tcuin | initial temperature for cold utility, K |
| tcuout | targeted temperature for cold utility, K |
| Vh | vapor fraction for hot streams |
| Vc | vapor fraction for cold streams |
| Xx | component content |
| x | state variables |
| y | control variables |
| equilibrium ammonia content in the vapor | |
| z | 1 if the heat exchanger exists, or 0 |
| zhu | 1 if the heater exists, or 0 |
| zcu | 1 if the cooler exists, or 0 |
| zh | 1 if liquefaction exists, or 0 |
| zc | 1 if vaporization exists, or 0 |
| Greek letters | |
| a modified coefficient | |
| flexibility index of each subperiod | |
| flexibility index of each critical point | |
| uncertain variables | |
| nominal uncertain variables | |
| expected variations of uncertain variables | |
| expected variations of uncertain variables in the positive direction | |
| expected variations of uncertain variables in the negative direction | |
| the upper bound of heat flow, kW | |
| the upper bound of temperature difference, K |
Appendix A. More Detailed Model A of the Proposed Flexible HEN Synthesis Method
Appendix A.1. Equality Constraints
Appendix A.2. Inequality Constraints
Appendix A.3. Equality Area Constraints
References
- Floudas, C.A.; Clrlc, A.R.; Grossmann, E. Automatic Synthesis of Optimum Heat Exchanger Network Configurations. Alche J. 1986, 32, 276–290. [Google Scholar] [CrossRef]
- Yee, T.F.; Grossmann, I.E. Simultaneous Optimization Models for Heat Integration—Ii. Heat Exch. Netw. Synth. Comput. Chem. Eng. 1990, 14, 1165–1184. [Google Scholar] [CrossRef]
- Morar, M.; Agachi, P.S. Review: Important Contributions in Development and Improvement of The Heat Integration Techniques. Comput. Chem. Eng. 2010, 34, 1171–1179. [Google Scholar] [CrossRef]
- Yufei, W.; Xiao, F. Progress On Heat Exchanger Network Synthesis and Optimization. Chem. React. Eng. Technol. 2014, 30, 271–280. [Google Scholar]
- Huang, K.F.; Karimi, I.A. Simultaneous Synthesis Approaches for Cost-Effective Heat Exchanger Networks. Chem. Eng. Sci. 2013, 98, 231–245. [Google Scholar] [CrossRef]
- Isafiade, A.; Bogataj, M.; Fraser, D.; Kravanja, Z. Optimal Synthesis of Heat Exchanger Networks for Multi-Period Operations Involving Single and Multiple Utilities. Chem. Eng. Sci. 2015, 127, 175–188. [Google Scholar] [CrossRef]
- Kang, L.; Liu, Y.; Wu, L. Synthesis of Multi-Period Heat Exchanger Networks Based on Features of Sub-Period Durations. Energy 2016, 116, 1302–1311. [Google Scholar] [CrossRef]
- Isafiade, A.J.; Short, M. Simultaneous Synthesis of Flexible Heat Exchanger Networks for Unequal Multi-Period Operations. Process Saf. Environ. Prot. 2016, 103, 377–390. [Google Scholar] [CrossRef]
- Isafiade, A.J.; Short, M.; Bogataj, M.; Kravanja, Z. Integrating Renewables into Multi-Period Heat Exchanger Network Synthesis Considering Economics and Environmental Impact. Comput. Chem. Eng. 2017, 99, 51–65. [Google Scholar] [CrossRef]
- Marselle, D.F.; Morari, M.; Rudd, D.F. Design of Resilient Processing Plants-Ii Design and Control of Energy Management Systems. Chem. Eng. Sci. 1982, 37, 259–270. [Google Scholar] [CrossRef]
- Swaney, R.E.; Grossmann, I.E. An Index For Operational Flexibility in Chemical Process Design. Alche J. 1985, 13, 621–630. [Google Scholar] [CrossRef]
- Konukman, A.E.Ş.; Çamurdan, M.C.; Akman, U. Simultaneous Flexibility Targeting and Synthesis of Minimum-Utility Heat-Exchanger Networks with Superstructure-Based Milp Formulation. Chem. Eng. Process. 2002, 41, 501–518. [Google Scholar] [CrossRef]
- Novak Pintarič, Z.; Kravanja, Z. A Methodology for The Synthesis of Heat Exchanger Networks Having Large Numbers of Uncertain Parameters. Energy 2015, 92, 373–382. [Google Scholar] [CrossRef]
- Pintarič, Z.N.; Kravanja, Z. Identification of Critical Points for The Design and Synthesis of Flexible Processes. Comput. Chem. Eng. 2008, 32, 1603–1624. [Google Scholar] [CrossRef]
- Pintarič, Z.N.; Kasaš, M.; Kravanja, Z. Sensitivity Analyses for Scenario Reduction in Flexible Flow Sheet Design with A Large Number of Uncertain Parameters. Aiche J. 2013, 59, 2862–2871. [Google Scholar] [CrossRef]
- Papalexandri, K.P.; Pistikopoulos, E.N. A Multiperiod Minlp Model for The Synthesis of Flexible Heat and Mass Exchange Networks. Comput. Chem. Eng. 1994, 18, 1125–1139. [Google Scholar] [CrossRef]
- Zhang, W.V.N. Design of Flexible Heat Exchanger Network for Multi-Period Operation. Chem. Eng. Sci. 2006, 61, 7730–7753. [Google Scholar] [CrossRef]
- Aaltola, J. Simultaneous Synthesis of Flexible Heat Exchanger Network. Appl. Therm. Eng. 2002, 22, 907–918. [Google Scholar] [CrossRef]
- Kang, L.; Liu, Y. A Three-Step Method to Improve The Flexibility of Multiperiod Heat Exchanger Networks. Process Integr. Optim. Sustain. 2018, 2, 169–181. [Google Scholar] [CrossRef]
- Ponce-Ortega, J.M.; Jiménez-Gutiérrez, A.; Grossmann, I.E. Optimal Synthesis of Heat Exchanger Networks Involving Isothermal Process Streams. Comput. Chem. Eng. 2008, 32, 1918–1942. [Google Scholar] [CrossRef]
- Luyben, W.L. Heat Exchanger Simulations Involving Phase Changes. Comput. Chem. Eng. 2014, 67, 133–136. [Google Scholar] [CrossRef]
- Yeo, Y.S.; Alwi, S.W.; Ahmad, S.; Manan, Z.A.; Zamzuri, N.H. A New Graphical Method for Heat Exchanger Network Design Involving Phase Changes. Chem. Eng. Trans. 2017, 56, 1249–1254. [Google Scholar]
- Larson, A.T.; Black, C.A. The Concentration Of Ammonia in A Compressed Mixture of Hydrogen And Nitrogen Over Liquid Ammonia. J. Am. Chem. Soc. 1925, 47, 1015–1020. [Google Scholar] [CrossRef]
- Dong, Q.; Jin, Z.; Liu, M. Simulation and Optimization of Heat Exchanger Network for Ammonia Synthesizing Workshop Section. Mod. Chem. Ind. 2006, Z1, 304–306. [Google Scholar]
- Shaoli, Z.; Jianyang, L.; Jie, Q.; Hui, M.; Tongqing, W.; Guodong, Y. Analysis of Heat Exchanger Networks for Ammonia Systems Based on Pinch Point Technology. Henan Chem. Ind. 2018, 6, 41–42. [Google Scholar]







| i/j | thin/tcin | thout/tcout | Fh/Fc | Lh/Lc | Vhin/Vcin | p | PhNH3/PhNH3 | ||
|---|---|---|---|---|---|---|---|---|---|
| 80% | H1 | 485.85 | 351.74 | 37.90 | 3736.0 | 1 | 0.19523 | 14,335 | 2799.68 |
| H2 | 309.46 | 272.8146 | 38.49 | 3736.0 | 0.9537 | 0.19523 | 14,140 | 2760.62 | |
| C1 | 324.09 | 450.95 | 40.07 | 4302.0 | 1 | 555.38 | |||
| C2 | 272.7939 | 309.45 | 27.43 | 3166.0 | 1 | 728.84 | |||
| C3 | 283.48 | 283.5 | 25.85 | 1205.0 | 0 | 616.10 | |||
| C4 | 268.804 | 268.930 | 14.75 | 704.6 | 0 | 361.30 | |||
| 70% | H1 | 484.05 | 349.19 | 32.32 | 3484.0 | 1 | 0.195247 | 13,450 | 2624.12 |
| H2 | 308.94 | 272.9670 | 35.61 | 3484.0 | 0.9604 | 0.195263 | 13,050 | 2548.18 | |
| C1 | 323.31 | 451.55 | 33.99 | 3978.0 | 1 | 556.57 | |||
| C2 | 273.1908 | 308.93 | 25.60 | 2964.0 | 1 | 713.58 | |||
| C3 | 283.51 | 283.54 | 35.05 | 1607.0 | 0 | 616.80 | |||
| C4 | 269.286 | 269.446 | 14.81 | 704.6 | 0 | 368.60 | |||
| 60% | H1 | 481.65 | 342.98 | 29.02 | 3109.0 | 1 | 0.192151 | 11,610 | 2228.95 |
| H2 | 308.98 | 272.8805 | 31.12 | 3109.0 | 0.9814 | 0.192144 | 11,445 | 2199.16 | |
| C1 | 319.84 | 451.55 | 30.55 | 3530.0 | 1 | 516.46 | |||
| C2 | 272.8280 | 308.98 | 22.89 | 2664.0 | 1 | 665.74 | |||
| C3 | 283.95 | 284.05 | 44.00 | 1996.0 | 0 | 627.80 | |||
| C4 | 269.429 | 269.519 | 9.93 | 704.6 | 0 | 369.90 | |||
| Utility | HU | 473.15 | 473.15 | ||||||
| CU | 263.15 | 263.15 |
| Matches (i, j, k) | Heat Transfer Area for Each Load Subperiod/m2 | Nominal Areas/m2 | ||
|---|---|---|---|---|
| 60% | 70% | 80% | ||
| (1, 1, 1) | 1520.26 | 1499.81 | 1632.53 | 1632.53 |
| (2, 2, 1) | 503.14 | 590.17 | 530.13 | 590.17 |
| (2, 3, 2) | 7006.51 | 7682.36 | 5607.26 | 7682.36 |
| (2, 4, 3) | 905.29 | 919.26 | 928.45 | 928.45 |
| (HU, 2, 4) | 3.39 | 7.94 | 11.58 | 11.58 |
| Total area | 9938.59 | 10,699.54 | 8709.94 | 10,845.08 |
| Cc | 6.38 × 106 | 6.91 × 106 | 5.63 × 106 | 7.00 × 106 |
| Co | 6606.60 | 15,323.21 | 22,392.77 | 22,392.77 |
| TAC | 6.38 × 106 | 6.92 × 106 | 5.65 × 106 | 7.02 × 106 |
| No. | thin,1 | thin,2 | tcin,1 | Vin,2 | Fh1 | Fh2 | Fc1 | Fc2 | Fc3 | Fc4 |
|---|---|---|---|---|---|---|---|---|---|---|
| 1 | 2 | 1 | 1 | 1 | 2 | 1 | 2 | 1 | 1 | 1 |
| 2 | 2 | 0 | 2 | 1 | 2 | 1 | 2 | 2 | 1 | 1 |
| 3 | 2 | 3 | 2 | 2 | 2 | 2 | 1 | 1 | 1 | 1 |
| 4 | 2 | 2 | 2 | 2 | 2 | 2 | 1 | 1 | 1 | 1 |
| 5 | 2 | 1 | 2 | 1 | 2 | 1 | 1 | 1 | 1 | 1 |
| 6 | 1 | 1 | 1 | 1 | 1 | 1 | 2 | 1 | 1 | 1 |
| 7 | 2 | 3 | 2 | 1 | 2 | 1 | 1 | 2 | 1 | 1 |
| No. | Matches | Nominal | 60% Improved | 70% Improved | 80% Improved | Final Improved | Final Assigned |
|---|---|---|---|---|---|---|---|
| 1 | (1, 1, 1) | 1632.53 | 1632.53 | ||||
| 2 | (2, 2, 1) | 590.17 | 590.17 | ||||
| 3 | (2, 3, 2) | 7682.36 | 7682.36 | ||||
| 4 | (2, 4, 3) | 928.45 | 50.22 | 60.89 | 63.28 | 63.28 | 991.72 |
| 5 | (1, CU, 4) | 161.49 | 154.30 | 158.19 | 161.49 | 161.49 | |
| 6 | (HU, 1, 0) | 408.61 | 422.39 | 447.15 | 447.15 | 447.15 | |
| 7 | (HU, 2, 0) | 11.58 | 2.04 | 5.51 | 8.12 | 8.12 | 19.70 |
| total | 10,845.08 | 680.04 | 11,525.11 |
| Terms | Original | 70% | Nominal | Improved |
|---|---|---|---|---|
| No. | 4 | 5 | 5 | 7 |
| Total area | 16,841.62 | 10,699.54 | 10,845.08 | 11,525.11 |
| Hot utility | 0.00 | 133.01 | 193.54 | 2027.10 |
| Cold utility | 0.00 | 0.00 | 0.00 | 1649.74 |
| Cc | 1.08 × 107 | 6.91 × 106 | 7.00 × 106 | 7.45 × 106 |
| Co | 0.00 | 1.53 × 104 | 2.24 × 104 | 2.35 × 105 |
| TAC | 1.08 × 107 | 6.92 × 106 | 7.02 × 106 | 7.69 × 106 |
Disclaimer/Publisher’s Note: The statements, opinions and data contained in all publications are solely those of the individual author(s) and contributor(s) and not of MDPI and/or the editor(s). MDPI and/or the editor(s) disclaim responsibility for any injury to people or property resulting from any ideas, methods, instructions or products referred to in the content. |
© 2023 by the authors. Licensee MDPI, Basel, Switzerland. This article is an open access article distributed under the terms and conditions of the Creative Commons Attribution (CC BY) license (https://creativecommons.org/licenses/by/4.0/).
Share and Cite
Ji, S.; Zhou, L.; Dang, B.; Ji, X.; Dang, Y. A Flexible Heat Exchanger Network Synthesis Method Adapted to Multi-Operation Conditions. Processes 2023, 11, 2734. https://doi.org/10.3390/pr11092734
Ji S, Zhou L, Dang B, Ji X, Dang Y. A Flexible Heat Exchanger Network Synthesis Method Adapted to Multi-Operation Conditions. Processes. 2023; 11(9):2734. https://doi.org/10.3390/pr11092734
Chicago/Turabian StyleJi, Sibei, Li Zhou, Bozhou Dang, Xu Ji, and Yagu Dang. 2023. "A Flexible Heat Exchanger Network Synthesis Method Adapted to Multi-Operation Conditions" Processes 11, no. 9: 2734. https://doi.org/10.3390/pr11092734
APA StyleJi, S., Zhou, L., Dang, B., Ji, X., & Dang, Y. (2023). A Flexible Heat Exchanger Network Synthesis Method Adapted to Multi-Operation Conditions. Processes, 11(9), 2734. https://doi.org/10.3390/pr11092734

