Characteristics and Paleoenvironment of the Niutitang Shale Reservoir in the Zhenba Area
Abstract
1. Introduction
2. Geological Settings
3. Samples and Experiments
- (1)
- TOC Analysis
- (2)
- Porosity and Permeability
- (3)
- X-ray Diffraction (XRD)
- (4)
- Field Emission Scanning Electron Microscopy (SEM)
- (5)
- Major, Trace, and Rare-Earth Elements
4. Reservoir Characteristics of the Niutitang Formation
4.1. Lithological Characteristics
4.1.1. Classification of Shale
4.1.2. Mineralogical Characteristics
4.2. Reservoir Pores
4.3. Physical Property
5. Elemental Geochemistry
5.1. Major Element
- (1)
- Major Element and Variation Patterns
- (2)
- Major Element Geochemical Analysis
5.2. Trace Elements
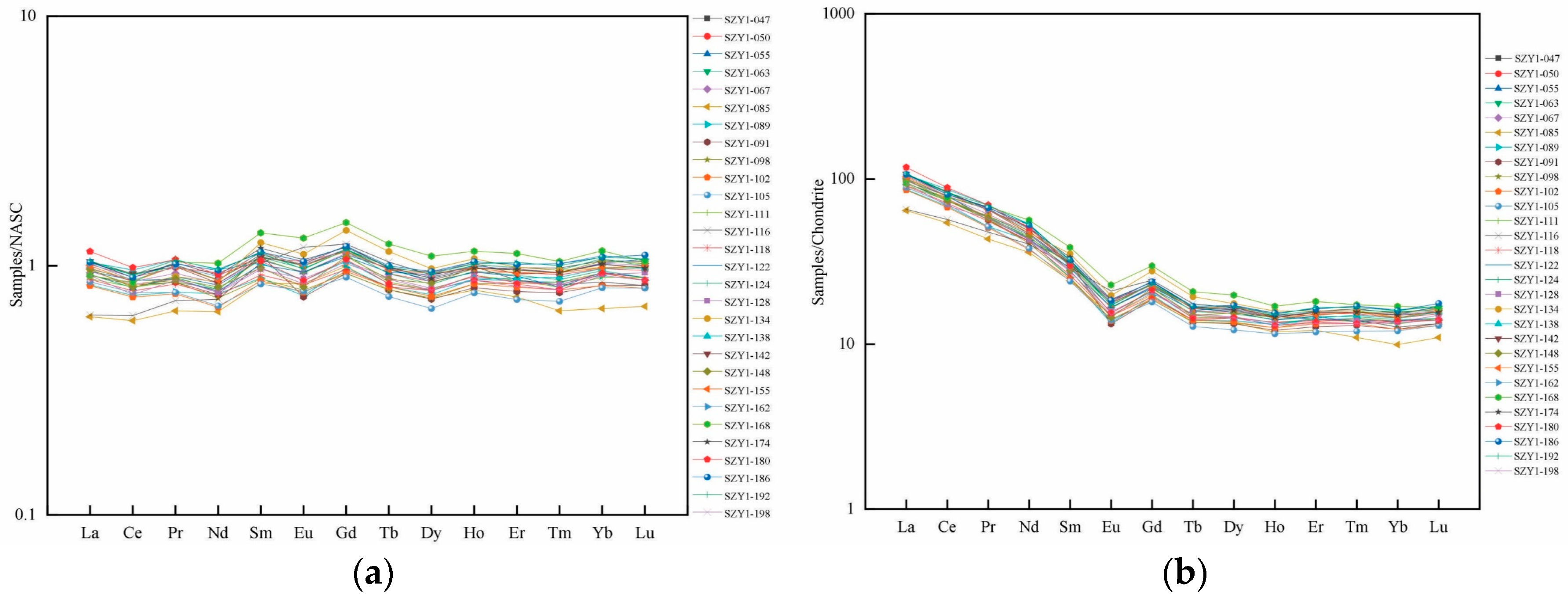
5.3. Rare-Earth Elements
6. Discussion
6.1. Tectonic Setting and Parent Rocks
6.2. Provenance Identification of Shale
6.3. Paleoclimate
6.4. Hydrothermal Fluid Sedimentation
6.5. Sedimentation Rate, Paleosol Environment, and Paleoproductivity
6.6. Comparison with Similar Basins
7. Conclusions
- (1)
- Organic Matter and Lithofacies:
- (2)
- Pore and Fracture Characteristics:
- (3)
- Tectonic Setting and Depositional Environment:
- (4)
- Comparison with Changning Area:
- (5)
- Depositional Environment and Reservoir Evaluation:
8. Statement on Translating Laboratory Research to Industrial Application Within the Niutitang Formation Shales
Author Contributions
Funding
Data Availability Statement
Conflicts of Interest
Appendix A
| Samples ID | SiO2 | Al2O3 | CaO | TFe2O3 | K2O | MgO | MnO | Na2O | P2O5 | TiO2 |
|---|---|---|---|---|---|---|---|---|---|---|
| SZY1-047 | 56.09 | 15.12 | 4.04 | 5.99 | 3.63 | 3.04 | 0.07 | 1.25 | 0.21 | 0.67 |
| SZY1-050 | 56.12 | 14.47 | 3.47 | 6.70 | 3.41 | 2.79 | 0.06 | 1.38 | 0.20 | 0.67 |
| SZY1-055 | 55.25 | 15.35 | 3.62 | 6.81 | 3.70 | 2.95 | 0.06 | 1.27 | 0.20 | 0.70 |
| SZY1-063 | 55.69 | 15.19 | 3.98 | 5.94 | 3.73 | 3.02 | 0.06 | 1.25 | 0.23 | 0.70 |
| SZY1-067 | 57.28 | 15.30 | 3.39 | 5.50 | 3.68 | 2.73 | 0.05 | 1.43 | 0.24 | 0.70 |
| SZY1-076 | 41.74 | 9.60 | 9.69 | 11.10 | 1.91 | 1.23 | 0.06 | 2.34 | 1.71 | 0.38 |
| SZY1-085 | 37.14 | 6.50 | 15.81 | 5.30 | 1.62 | 6.50 | 0.21 | 0.88 | 0.40 | 0.36 |
| SZY1-089 | 62.17 | 11.41 | 2.35 | 4.53 | 2.88 | 1.45 | 0.03 | 1.74 | 0.20 | 0.68 |
| SZY1-091 | 63.36 | 11.26 | 2.40 | 4.26 | 2.88 | 1.57 | 0.03 | 1.54 | 0.19 | 0.63 |
| SZY1-098 | 60.60 | 13.75 | 1.65 | 4.75 | 3.46 | 1.89 | 0.03 | 1.74 | 0.20 | 0.71 |
| SZY1-102 | 66.09 | 10.96 | 1.84 | 4.29 | 2.79 | 1.36 | 0.03 | 1.79 | 0.21 | 0.68 |
| SZY1-105 | 63.95 | 12.40 | 1.35 | 4.59 | 3.18 | 1.70 | 0.03 | 1.79 | 0.21 | 0.70 |
| SZY1-111 | 61.42 | 11.97 | 1.98 | 6.64 | 3.05 | 1.67 | 0.04 | 1.70 | 0.24 | 0.68 |
| SZY1-116 | 37.37 | 7.71 | 16.44 | 7.07 | 1.64 | 6.48 | 0.29 | 0.26 | 0.15 | 0.41 |
| SZY1-118 | 64.76 | 12.54 | 1.70 | 4.54 | 3.17 | 1.84 | 0.04 | 1.85 | 0.20 | 0.73 |
| SZY1-122 | 63.31 | 12.79 | 2.28 | 5.02 | 3.25 | 2.06 | 0.05 | 1.70 | 0.20 | 0.73 |
| SZY1-124 | 61.64 | 13.72 | 2.44 | 5.10 | 3.59 | 2.42 | 0.05 | 1.44 | 0.19 | 0.73 |
| SZY1-128 | 63.05 | 13.56 | 1.85 | 5.12 | 3.49 | 2.30 | 0.04 | 1.61 | 0.19 | 0.74 |
| SZY1-134 | 65.12 | 14.11 | 0.93 | 4.43 | 3.80 | 1.94 | 0.03 | 1.71 | 0.28 | 0.82 |
| SZY1-138 | 65.22 | 14.10 | 0.76 | 4.76 | 3.81 | 1.92 | 0.03 | 1.66 | 0.20 | 0.78 |
| SZY1-142 | 64.42 | 12.80 | 0.87 | 5.76 | 3.39 | 1.67 | 0.03 | 1.88 | 0.28 | 0.79 |
| SZY1-148 | 60.68 | 12.82 | 2.20 | 5.40 | 3.38 | 2.37 | 0.05 | 2.21 | 0.23 | 0.81 |
| SZY1-155 | 61.88 | 13.77 | 1.53 | 5.25 | 3.74 | 2.00 | 0.04 | 2.21 | 0.24 | 0.88 |
| SZY1-162 | 62.95 | 13.25 | 1.82 | 4.67 | 3.55 | 2.12 | 0.04 | 2.15 | 0.21 | 0.80 |
| SZY1-168 | 54.72 | 11.56 | 5.96 | 5.43 | 3.13 | 3.56 | 0.12 | 1.74 | 0.19 | 0.69 |
| SZY1-174 | 60.83 | 13.47 | 1.93 | 5.08 | 3.87 | 2.06 | 0.04 | 2.09 | 0.22 | 0.83 |
| SZY1-180 | 53.32 | 12.91 | 1.65 | 12.61 | 3.91 | 1.76 | 0.03 | 1.76 | 0.20 | 0.81 |
| SZY1-186 | 59.28 | 14.29 | 2.74 | 4.81 | 4.38 | 2.20 | 0.05 | 1.80 | 0.21 | 0.85 |
| SZY1-192 | 59.26 | 14.49 | 2.40 | 5.20 | 4.51 | 1.87 | 0.04 | 1.75 | 0.21 | 0.81 |
| SZY1-198 | 56.89 | 13.20 | 3.92 | 6.15 | 4.52 | 3.12 | 0.05 | 1.20 | 0.21 | 0.72 |
| Average | 58.39 | 12.81 | 3.57 | 5.76 | 3.37 | 2.45 | 0.058 | 1.64 | 0.268 | 0.706 |
| Samples ID | Al/Si | Si/(Si + Al + Fe) | ICV | CIA | Ceanom | (Fe + Mn)/Ti | L/H | (La/Yb)N | (La/Sm)N | (Gd/Yb)N | (La/Yb)n | (Dy/Sm)N | Sr/Cu |
|---|---|---|---|---|---|---|---|---|---|---|---|---|---|
| SZY1-047 | 0.31 | 0.68 | 1.19 | 64.78 | −0.0254 | 10.57 | 7.045 | 6.86 | 3.36 | 1.50 | 0.98 | 0.50 | 3.47 |
| SZY1-050 | 0.29 | 0.68 | 1.23 | 65.58 | −0.0401 | 11.79 | 7.257 | 7.27 | 3.41 | 1.59 | 1.04 | 0.51 | 2.66 |
| SZY1-055 | 0.31 | 0.67 | 1.20 | 65.96 | −0.0391 | 11.46 | 6.471 | 6.30 | 3.17 | 1.44 | 0.90 | 0.56 | 4.24 |
| SZY1-063 | 0.31 | 0.68 | 1.18 | 64.96 | −0.0337 | 10.01 | 6.286 | 6.04 | 3.09 | 1.47 | 0.86 | 0.53 | 4.10 |
| SZY1-067 | 0.30 | 0.69 | 1.09 | 66.52 | −0.0355 | 9.26 | 6.734 | 6.69 | 3.35 | 1.48 | 0.96 | 0.54 | 4.19 |
| SZY1-085 | 0.20 | 0.71 | 4.51 | 27.69 | −0.0225 | 17.93 | 5.937 | 6.48 | 2.66 | 2.00 | 0.93 | 0.55 | 13.37 |
| SZY1-089 | 0.21 | 0.76 | 1.14 | 64.41 | −0.0307 | 7.83 | 6.746 | 6.42 | 3.40 | 1.46 | 0.92 | 0.55 | 3.14 |
| SZY1-091 | 0.20 | 0.77 | 1.13 | 64.54 | −0.0165 | 7.95 | 7.768 | 7.69 | 3.01 | 1.51 | 1.10 | 0.42 | 5.19 |
| SZY1-098 | 0.26 | 0.73 | 0.99 | 68.98 | −0.0061 | 7.86 | 7.644 | 7.24 | 3.96 | 1.35 | 1.04 | 0.53 | 3.25 |
| SZY1-102 | 0.19 | 0.78 | 1.10 | 65.71 | −0.0182 | 7.42 | 6.798 | 6.98 | 3.45 | 1.54 | 1.00 | 0.55 | 3.82 |
| SZY1-105 | 0.22 | 0.75 | 1.02 | 68.81 | −0.0126 | 7.71 | 7.557 | 7.39 | 3.69 | 1.49 | 1.06 | 0.51 | 3.22 |
| SZY1-111 | 0.22 | 0.72 | 1.25 | 66.87 | −0.0193 | 11.47 | 6.892 | 6.90 | 3.01 | 1.67 | 0.99 | 0.48 | 2.58 |
| SZY1-116 | 0.23 | 0.66 | 4.16 | 30.18 | −0.0240 | 21.04 | 5.17 | 5.15 | 2.24 | 1.92 | 0.74 | 0.57 | 63.54 |
| SZY1-118 | 0.22 | 0.76 | 1.05 | 67.44 | −0.0255 | 7.33 | 6.916 | 6.59 | 3.47 | 1.40 | 0.94 | 0.55 | 4.49 |
| SZY1-122 | 0.23 | 0.74 | 1.13 | 66.09 | −0.0113 | 8.11 | 6.914 | 7.05 | 3.41 | 1.59 | 1.01 | 0.54 | 4.44 |
| SZY1-124 | 0.25 | 0.73 | 1.10 | 66.74 | −0.0291 | 8.24 | 7.382 | 7.55 | 3.43 | 1.62 | 1.08 | 0.49 | 4.72 |
| SZY1-128 | 0.24 | 0.73 | 1.07 | 68.22 | −0.0253 | 8.14 | 7.093 | 7.20 | 3.56 | 1.53 | 1.03 | 0.53 | 4.17 |
| SZY1-134 | 0.25 | 0.74 | 0.90 | 71.93 | −0.0503 | 6.35 | 6.077 | 6.86 | 2.82 | 1.91 | 0.98 | 0.50 | 2.62 |
| SZY1-138 | 0.24 | 0.74 | 0.93 | 71.71 | −0.0208 | 7.17 | 8.059 | 7.40 | 3.63 | 1.45 | 1.06 | 0.49 | 2.11 |
| SZY1-142 | 0.22 | 0.74 | 1.05 | 71.08 | −0.0216 | 8.56 | 6.933 | 7.18 | 3.49 | 1.61 | 1.03 | 0.55 | 2.18 |
| SZY1-148 | 0.24 | 0.73 | 1.22 | 64.61 | −0.0495 | 7.86 | 6.637 | 6.48 | 3.58 | 1.41 | 0.93 | 0.55 | 3.52 |
| SZY1-155 | 0.25 | 0.73 | 1.08 | 67.33 | −0.0442 | 7.02 | 6.865 | 7.13 | 3.18 | 1.58 | 1.02 | 0.52 | 3.45 |
| SZY1-162 | 0.24 | 0.74 | 1.09 | 66.02 | −0.0512 | 6.88 | 6.677 | 6.52 | 3.28 | 1.44 | 0.93 | 0.52 | 3.81 |
| SZY1-168 | 0.24 | 0.72 | 1.73 | 53.13 | −0.0444 | 9.41 | 5.791 | 5.56 | 2.44 | 1.76 | 0.79 | 0.51 | 6.50 |
| SZY1-174 | 0.25 | 0.73 | 1.13 | 65.30 | −0.0481 | 7.20 | 7.063 | 7.18 | 3.21 | 1.58 | 1.03 | 0.48 | 3.50 |
| SZY1-180 | 0.27 | 0.61 | 1.69 | 65.99 | −0.0356 | 18.22 | 8.397 | 8.56 | 3.95 | 1.54 | 1.22 | 0.49 | 2.27 |
| SZY1-186 | 0.27 | 0.72 | 1.13 | 63.48 | −0.0502 | 6.68 | 6.803 | 6.69 | 3.30 | 1.50 | 0.96 | 0.53 | 4.05 |
| SZY1-192 | 0.28 | 0.71 | 1.10 | 64.54 | −0.0450 | 7.56 | 7.011 | 6.75 | 3.37 | 1.45 | 0.97 | 0.52 | 3.15 |
| SZY1-198 | 0.26 | 0.70 | 1.44 | 59.62 | −0.0569 | 10.06 | 6.908 | 7.01 | 3.38 | 1.52 | 1.00 | 0.52 | 8.73 |
| Samples ID | Cr | Sr | Zr | Ba | Sc | V | Cu | Zn | Ga | As | Pb | Rb | Cs |
|---|---|---|---|---|---|---|---|---|---|---|---|---|---|
| SZY1-047 | 112 | 215 | 128 | 968 | 17.8 | 348 | 62 | 181 | 21.1 | 14.7 | 19.9 | 128 | 6.58 |
| SZY1-050 | 103 | 203 | 141 | 924 | 16.9 | 237 | 76.3 | 73.9 | 20.8 | 35.4 | 45.9 | 122 | 6.01 |
| SZY1-055 | 111 | 205 | 137 | 1008 | 18.2 | 232 | 48.3 | 72.8 | 21.2 | 24.8 | 38.4 | 128 | 6.76 |
| SZY1-063 | 112 | 221 | 132 | 977 | 17.2 | 490 | 53.9 | 158 | 21.3 | 24.6 | 22.7 | 132 | 6.58 |
| SZY1-067 | 104 | 212 | 134 | 992 | 17.1 | 234 | 50.6 | 59.3 | 21.1 | 24.7 | 27.2 | 126 | 6.62 |
| SZY1-076 | 46.7 | 510 | 101 | 1364 | 11.4 | 133 | 152 | 8000 | 14.1 | 73 | 38.2 | 61.1 | 2.66 |
| SZY1-085 | 40.3 | 381 | 89.8 | 582 | 6.81 | 63.9 | 28.5 | 29.3 | 8.21 | 22.7 | 18.5 | 50.1 | 2.32 |
| SZY1-089 | 77.3 | 148 | 186 | 901 | 11.7 | 123 | 47.1 | 31.3 | 15.5 | 24.8 | 26.1 | 93 | 4.29 |
| SZY1-091 | 76.7 | 221 | 150 | 4651 | 12.4 | 121 | 42.6 | 49 | 15.4 | 20.9 | 16.6 | 98.8 | 4.49 |
| SZY1-098 | 83.4 | 149 | 194 | 1147 | 14.1 | 207 | 45.8 | 34.6 | 18.4 | 19 | 15 | 111 | 5.46 |
| SZY1-102 | 71.5 | 157 | 182 | 897 | 11.3 | 109 | 41.1 | 31.1 | 14.2 | 30 | 18.5 | 89.7 | 3.95 |
| SZY1-105 | 78.4 | 123 | 178 | 954 | 12.2 | 126 | 38.2 | 28.9 | 15.5 | 23.5 | 15.6 | 97.1 | 4.71 |
| SZY1-111 | 80.4 | 160 | 169 | 943 | 12.7 | 130 | 62.1 | 34.6 | 15.1 | 46.7 | 26.7 | 94.3 | 4.47 |
| SZY1-116 | 54.4 | 1023 | 95.8 | 583 | 9.38 | 97.5 | 16.1 | 69.5 | 11.3 | 7.77 | 7.02 | 55.4 | 2.45 |
| SZY1-118 | 84.7 | 168 | 209 | 1037 | 12.7 | 131 | 37.4 | 39.5 | 16.3 | 15.1 | 16.9 | 102 | 5.01 |
| SZY1-122 | 90.9 | 206 | 195 | 953 | 13.8 | 142 | 46.4 | 48.4 | 17.4 | 20.3 | 20.9 | 107 | 5.12 |
| SZY1-124 | 98.4 | 199 | 164 | 1021 | 15.5 | 168 | 42.2 | 53.8 | 18.2 | 19 | 19.3 | 122 | 6 |
| SZY1-128 | 98.1 | 185 | 183 | 1056 | 15.8 | 160 | 44.4 | 51.2 | 19.1 | 20.4 | 20.1 | 122 | 5.87 |
| SZY1-134 | 110 | 122 | 203 | 1187 | 15.7 | 472 | 46.6 | 46.1 | 19 | 24.3 | 17.5 | 120 | 5.99 |
| SZY1-138 | 106 | 112 | 199 | 1165 | 15.9 | 191 | 53 | 40.8 | 20.1 | 22.4 | 24.1 | 122 | 6.07 |
| SZY1-142 | 95.8 | 116 | 237 | 1040 | 13.7 | 152 | 53.2 | 223 | 17.1 | 47.4 | 22.6 | 108 | 4.9 |
| SZY1-148 | 92.6 | 155 | 261 | 1064 | 14.9 | 136 | 44 | 35.3 | 17.4 | 26.5 | 24.6 | 96.7 | 4.2 |
| SZY1-155 | 105 | 161 | 284 | 1105 | 14.8 | 404 | 46.6 | 72.6 | 19.5 | 28.7 | 22.3 | 107 | 4.87 |
| SZY1-162 | 94.2 | 171 | 243 | 1106 | 16.9 | 149 | 44.9 | 47.9 | 18 | 17.5 | 18 | 102 | 4.89 |
| SZY1-168 | 81.9 | 306 | 199 | 946 | 13.1 | 125 | 47.1 | 36.2 | 16.1 | 19.7 | 16.8 | 90.9 | 4.17 |
| SZY1-174 | 96.8 | 166 | 222 | 1394 | 15.4 | 146 | 47.4 | 41.8 | 18.4 | 17.9 | 20.1 | 104 | 5.2 |
| SZY1-180 | 96.3 | 143 | 233 | 1135 | 15.6 | 127 | 63 | 50.1 | 18.4 | 25.5 | 25.9 | 106 | 4.92 |
| SZY1-186 | 101 | 165 | 236 | 1256 | 17 | 174 | 40.7 | 31.3 | 19.4 | 31.5 | 21 | 114 | 5.51 |
| SZY1-192 | 108 | 167 | 210 | 1337 | 17.9 | 327 | 53.1 | 58.9 | 19.6 | 32.6 | 22.4 | 116 | 5.98 |
| SZY1-198 | 96.6 | 219 | 187 | 1179 | 15.7 | 119 | 25.1 | 97.4 | 19.3 | 11.3 | 15.8 | 119 | 6.5 |
| Average | 90.25 | 222.97 | 182.75 | 1162.40 | 14.45 | 192.48 | 49.99 | 327.59 | 17.55 | 25.76 | 22.15 | 104.84 | 5.09 |
| UCC | 35 | 350 | 190 | 550 | 13.6 | 60 | 25 | 71 | 17 | 1.5 | 20 | 112 | 3.7 |
| Samples ID | Th | U | Co | Ni | Nb | Cd | Hf | Ta | Li | Be | In | Bi | Mo |
| SZY1-047 | 10.7 | 10.2 | 19.4 | 89.6 | 11.6 | 1.29 | 4.03 | 0.8 | 40.1 | 2.41 | 0.1 | 0.28 | 21.1 |
| SZY1-050 | 10.7 | 17.1 | 22.8 | 99.3 | 11.1 | 0.46 | 4.16 | 0.75 | 39.8 | 2.46 | 0.06 | 0.37 | 41.3 |
| SZY1-055 | 11 | 13 | 20.3 | 77.7 | 11.5 | 0.51 | 4.34 | 0.82 | 39.5 | 2.47 | 0.05 | 0.34 | 24.5 |
| SZY1-063 | 11.2 | 12.6 | 18.9 | 114 | 11.4 | 1.27 | 4.09 | 0.84 | 40.2 | 2.55 | 0.07 | 0.31 | 25.1 |
| SZY1-067 | 10.8 | 18.3 | 18.2 | 84.7 | 11.2 | 0.37 | 4.24 | 0.81 | 38.2 | 2.53 | 0.05 | 0.3 | 31.3 |
| SZY1-076 | 8.68 | 166 | 27 | 221 | 6.58 | 86 | 2.98 | 0.43 | 22.7 | 1.64 | 0.23 | 1.1 | 428 |
| SZY1-085 | 4.98 | 41.1 | 12.9 | 55.2 | 6.01 | 0.49 | 2.65 | 0.45 | 15.4 | 1.34 | <0.05 | 0.35 | 80.6 |
| SZY1-089 | 9.97 | 30.2 | 15.9 | 46.3 | 11.2 | 0.33 | 5.33 | 0.81 | 23.8 | 2.29 | <0.05 | 0.24 | 34.3 |
| SZY1-091 | 9.42 | 35.9 | 15 | 45.1 | 10.7 | 0.36 | 4.42 | 0.74 | 25.1 | 2.31 | 0.05 | 0.23 | 44.6 |
| SZY1-098 | 13.5 | 38.6 | 15.6 | 81.2 | 11.9 | 0.22 | 6.02 | 0.88 | 33.2 | 2.91 | 0.06 | 0.29 | 48.3 |
| SZY1-102 | 9.35 | 32.5 | 14.7 | 46.3 | 10.9 | 0.25 | 5.38 | 0.8 | 22.6 | 2.13 | <0.05 | 0.22 | 48.7 |
| SZY1-105 | 9.62 | 28.9 | 16.2 | 49.3 | 10.9 | 0.23 | 4.99 | 0.73 | 25.1 | 2.27 | 0.05 | 0.29 | 44.4 |
| SZY1-111 | 9.72 | 23.1 | 17.6 | 53 | 10.8 | 0.31 | 5.11 | 0.75 | 25.9 | 2.31 | 0.06 | 0.28 | 40.3 |
| SZY1-116 | 5.96 | 15.6 | 10.2 | 40.9 | 7.17 | 0.36 | 2.88 | 0.51 | 33.3 | 1.39 | <0.05 | 0.15 | 16.8 |
| SZY1-118 | 10.6 | 24.5 | 15.7 | 45.6 | 12 | 0.24 | 6.25 | 0.88 | 30.1 | 2.11 | 0.05 | 0.26 | 41.7 |
| SZY1-122 | 10.1 | 20.8 | 17.1 | 55.9 | 12.4 | 0.31 | 5.44 | 0.8 | 33 | 2.29 | 0.06 | 0.24 | 32.1 |
| SZY1-124 | 11.2 | 15.1 | 17.9 | 67.5 | 12 | 0.36 | 4.79 | 0.85 | 34.1 | 2.47 | 0.06 | 0.28 | 21.9 |
| SZY1-128 | 10.3 | 21.5 | 18.7 | 76.3 | 12.7 | 0.32 | 5.2 | 0.84 | 35.1 | 2.41 | 0.06 | 0.26 | 31.4 |
| SZY1-134 | 11.5 | 19.4 | 19.7 | 119 | 13 | 0.26 | 5.95 | 0.89 | 34.3 | 2.7 | 0.06 | 0.29 | 39.4 |
| SZY1-138 | 11.5 | 22.9 | 17.5 | 91.4 | 12.9 | 0.34 | 5.62 | 0.88 | 32.8 | 2.67 | <0.05 | 0.3 | 33 |
| SZY1-142 | 11.3 | 38.8 | 19.7 | 239 | 12.8 | 3.19 | 6.75 | 0.84 | 28 | 2.33 | 0.05 | 0.39 | 64.6 |
| SZY1-148 | 12 | 26.4 | 15.8 | 46 | 12.8 | 0.24 | 7.49 | 0.88 | 24.4 | 2.09 | <0.05 | 0.23 | 36.1 |
| SZY1-155 | 12.2 | 24.1 | 24.1 | 108 | 13.1 | 0.6 | 7.9 | 0.9 | 28.4 | 2.61 | 0.05 | 0.32 | 35.5 |
| SZY1-162 | 12.1 | 22.4 | 17.4 | 65.2 | 12.5 | 0.28 | 7.08 | 0.89 | 26.8 | 2.4 | 0.05 | 0.22 | 29.5 |
| SZY1-168 | 9.71 | 14 | 15.5 | 46.2 | 10.9 | 0.22 | 5.6 | 0.73 | 24 | 2.12 | 0.06 | 0.18 | 17.2 |
| SZY1-174 | 11.8 | 24.4 | 16.9 | 46.2 | 12.5 | 0.24 | 6.64 | 0.89 | 26 | 2.38 | 0.07 | 0.23 | 36.4 |
| SZY1-180 | 11.7 | 14.3 | 20.7 | 68.3 | 12.4 | 0.32 | 6.4 | 0.84 | 23.3 | 2.37 | 0.06 | 0.23 | 24.7 |
| SZY1-186 | 11.7 | 21.8 | 19.6 | 75.9 | 12.9 | 0.28 | 6.57 | 0.86 | 22.5 | 2.25 | <0.05 | 0.25 | 25.8 |
| SZY1-192 | 11 | 21.2 | 19.8 | 93.9 | 12.6 | 0.61 | 5.93 | 0.91 | 23.6 | 2.37 | <0.05 | 0.26 | 19 |
| SZY1-198 | 10.3 | 4.73 | 13 | 36.9 | 12.5 | 0.72 | 5.23 | 0.84 | 37.4 | 2.52 | 0.07 | 0.1 | 0.88 |
| Average | 10.49 | 27.31 | 17.79 | 79.50 | 11.43 | 3.37 | 5.32 | 0.79 | 29.62 | 2.30 | 0.07 | 0.29 | 47.28 |
| UCC | 10.7 | 2.8 | 10 | 20 | 25 | 0.098 | 5.8 | 2.2 | 20 | 3 | 0.05 | 0.127 | 1.5 |
| Samples ID | Cr | Sr | Zr | Ba | Sc | V | Cu | Zn | Ga | As | Pb | Rb | Cs | Th | U | Co | Ni | Nb | Cd | Hf | Ta | Li | Be | Bi | Mo |
|---|---|---|---|---|---|---|---|---|---|---|---|---|---|---|---|---|---|---|---|---|---|---|---|---|---|
| SZY1-047 | 3.32 | 0.64 | 0.7 | 1.83 | 1.36 | 6.02 | 2.57 | 2.64 | 1.29 | 10.17 | 1.03 | 1.19 | 1.84 | 1.04 | 3.78 | 2.01 | 4.65 | 0.48 | 13.65 | 0.72 | 0.38 | 2.08 | 0.83 | 2.29 | 14.59 |
| SZY1-050 | 3.19 | 0.63 | 0.8 | 1.82 | 1.35 | 4.28 | 3.31 | 1.13 | 1.33 | 25.58 | 2.49 | 1.18 | 1.76 | 1.08 | 6.62 | 2.47 | 5.38 | 0.48 | 5.09 | 0.78 | 0.37 | 2.16 | 0.89 | 3.16 | 29.84 |
| SZY1-055 | 3.24 | 0.6 | 0.74 | 1.87 | 1.37 | 3.95 | 1.97 | 1.05 | 1.27 | 16.89 | 1.96 | 1.17 | 1.87 | 1.05 | 4.74 | 2.07 | 3.97 | 0.47 | 5.32 | 0.76 | 0.38 | 2.02 | 0.84 | 2.74 | 16.69 |
| SZY1-063 | 3.3 | 0.65 | 0.72 | 1.83 | 1.31 | 8.43 | 2.23 | 2.3 | 1.29 | 16.93 | 1.17 | 1.22 | 1.84 | 1.08 | 4.65 | 1.95 | 5.89 | 0.47 | 13.38 | 0.73 | 0.39 | 2.08 | 0.88 | 2.52 | 17.28 |
| SZY1-067 | 3.05 | 0.62 | 0.72 | 1.85 | 1.29 | 4 | 2.07 | 0.86 | 1.27 | 16.88 | 1.39 | 1.15 | 1.83 | 1.03 | 6.7 | 1.87 | 4.34 | 0.46 | 3.87 | 0.75 | 0.38 | 1.96 | 0.86 | 2.42 | 21.39 |
| SZY1-085 | 2.78 | 2.63 | 1.14 | 2.55 | 1.21 | 2.57 | 2.75 | 1 | 1.17 | 36.51 | 2.23 | 1.08 | 1.51 | 1.12 | 35.42 | 3.11 | 6.66 | 0.58 | 12.06 | 1.1 | 0.49 | 1.86 | 1.08 | 6.65 | 129.65 |
| SZY1-089 | 3.04 | 0.58 | 1.35 | 2.25 | 1.18 | 2.82 | 2.59 | 0.61 | 1.25 | 22.73 | 1.79 | 1.14 | 1.59 | 1.28 | 14.83 | 2.19 | 3.18 | 0.62 | 4.63 | 1.26 | 0.51 | 1.64 | 1.05 | 2.6 | 31.43 |
| SZY1-091 | 3.05 | 0.88 | 1.1 | 11.78 | 1.27 | 2.81 | 2.37 | 0.96 | 1.26 | 19.41 | 1.16 | 1.23 | 1.69 | 1.23 | 17.86 | 2.09 | 3.14 | 0.6 | 5.12 | 1.06 | 0.47 | 1.75 | 1.07 | 2.52 | 41.41 |
| SZY1-098 | 2.72 | 0.49 | 1.16 | 2.38 | 1.18 | 3.94 | 2.09 | 0.56 | 1.23 | 14.45 | 0.86 | 1.13 | 1.68 | 1.44 | 15.72 | 1.78 | 4.63 | 0.54 | 2.56 | 1.18 | 0.46 | 1.89 | 1.11 | 2.6 | 36.73 |
| SZY1-102 | 2.92 | 0.64 | 1.37 | 2.33 | 1.19 | 2.6 | 2.35 | 0.63 | 1.2 | 28.62 | 1.32 | 1.15 | 1.53 | 1.25 | 16.61 | 2.1 | 3.31 | 0.62 | 3.65 | 1.33 | 0.52 | 1.62 | 1.02 | 2.48 | 46.46 |
| SZY1-105 | 2.83 | 0.44 | 1.18 | 2.19 | 1.13 | 2.66 | 1.93 | 0.51 | 1.15 | 19.81 | 0.99 | 1.1 | 1.61 | 1.14 | 13.05 | 2.05 | 3.12 | 0.55 | 2.97 | 1.09 | 0.42 | 1.59 | 0.96 | 2.89 | 37.44 |
| SZY1-111 | 3.01 | 0.6 | 1.17 | 2.25 | 1.22 | 2.84 | 3.25 | 0.64 | 1.16 | 40.79 | 1.75 | 1.1 | 1.58 | 1.19 | 10.81 | 2.31 | 3.47 | 0.57 | 4.14 | 1.15 | 0.45 | 1.7 | 1.01 | 2.89 | 35.2 |
| SZY1-116 | 3.16 | 5.95 | 1.03 | 2.16 | 1.4 | 3.31 | 1.31 | 1.99 | 1.35 | 10.54 | 0.71 | 1.01 | 1.35 | 1.13 | 11.33 | 2.07 | 4.16 | 0.58 | 7.47 | 1.01 | 0.47 | 3.39 | 0.94 | 2.4 | 22.78 |
| SZY1-118 | 3.03 | 0.6 | 1.38 | 2.36 | 1.17 | 2.73 | 1.87 | 0.7 | 1.2 | 12.59 | 1.06 | 1.14 | 1.69 | 1.24 | 10.94 | 1.96 | 2.85 | 0.6 | 3.06 | 1.35 | 0.5 | 1.88 | 0.88 | 2.56 | 34.77 |
| SZY1-122 | 3.18 | 0.72 | 1.26 | 2.12 | 1.24 | 2.9 | 2.28 | 0.84 | 1.26 | 16.59 | 1.28 | 1.17 | 1.7 | 1.16 | 9.11 | 2.1 | 3.43 | 0.61 | 3.88 | 1.15 | 0.45 | 2.02 | 0.94 | 2.32 | 26.24 |
| SZY1-124 | 3.21 | 0.65 | 0.99 | 2.12 | 1.3 | 3.2 | 1.93 | 0.87 | 1.22 | 14.48 | 1.1 | 1.25 | 1.85 | 1.2 | 6.16 | 2.05 | 3.86 | 0.55 | 4.2 | 0.94 | 0.44 | 1.95 | 0.94 | 2.52 | 16.69 |
| SZY1-128 | 3.24 | 0.61 | 1.11 | 2.22 | 1.34 | 3.08 | 2.05 | 0.83 | 1.3 | 15.73 | 1.16 | 1.26 | 1.83 | 1.11 | 8.88 | 2.16 | 4.41 | 0.59 | 3.78 | 1.04 | 0.44 | 2.03 | 0.93 | 2.37 | 24.21 |
| SZY1-134 | 3.49 | 0.39 | 1.19 | 2.4 | 1.28 | 8.74 | 2.07 | 0.72 | 1.24 | 18.01 | 0.97 | 1.19 | 1.8 | 1.19 | 7.7 | 2.19 | 6.61 | 0.58 | 2.95 | 1.14 | 0.45 | 1.91 | 1 | 2.54 | 29.2 |
| SZY1-138 | 3.37 | 0.36 | 1.16 | 2.36 | 1.3 | 3.54 | 2.36 | 0.64 | 1.32 | 16.61 | 1.34 | 1.21 | 1.82 | 1.2 | 9.1 | 1.95 | 5.08 | 0.57 | 3.86 | 1.08 | 0.44 | 1.82 | 0.99 | 2.63 | 24.47 |
| SZY1-142 | 3.35 | 0.41 | 1.53 | 2.32 | 1.23 | 3.1 | 2.61 | 3.85 | 1.23 | 38.72 | 1.38 | 1.18 | 1.62 | 1.29 | 16.98 | 2.41 | 14.64 | 0.63 | 39.88 | 1.43 | 0.47 | 1.72 | 0.95 | 3.76 | 52.77 |
| SZY1-148 | 3.24 | 0.54 | 1.68 | 2.37 | 1.34 | 2.77 | 2.15 | 0.61 | 1.25 | 21.61 | 1.5 | 1.06 | 1.39 | 1.37 | 11.53 | 1.93 | 2.81 | 0.63 | 3 | 1.58 | 0.49 | 1.49 | 0.85 | 2.22 | 29.44 |
| SZY1-155 | 3.42 | 0.52 | 1.7 | 2.29 | 1.24 | 7.67 | 2.12 | 1.16 | 1.31 | 21.79 | 1.27 | 1.09 | 1.5 | 1.3 | 9.8 | 2.74 | 6.15 | 0.6 | 6.97 | 1.55 | 0.47 | 1.62 | 0.99 | 2.87 | 26.95 |
| SZY1-162 | 3.19 | 0.58 | 1.51 | 2.38 | 1.47 | 2.94 | 2.13 | 0.8 | 1.25 | 13.81 | 1.07 | 1.08 | 1.56 | 1.34 | 9.47 | 2.06 | 3.86 | 0.59 | 3.38 | 1.44 | 0.48 | 1.59 | 0.95 | 2.05 | 23.28 |
| SZY1-168 | 3.17 | 1.19 | 1.42 | 2.33 | 1.31 | 2.83 | 2.56 | 0.69 | 1.28 | 17.82 | 1.14 | 1.1 | 1.53 | 1.23 | 6.78 | 2.1 | 3.13 | 0.59 | 3.05 | 1.31 | 0.45 | 1.63 | 0.96 | 1.92 | 15.56 |
| SZY1-174 | 3.22 | 0.55 | 1.36 | 2.95 | 1.32 | 2.83 | 2.21 | 0.69 | 1.26 | 13.89 | 1.17 | 1.08 | 1.64 | 1.28 | 10.15 | 1.97 | 2.69 | 0.58 | 2.85 | 1.33 | 0.47 | 1.51 | 0.92 | 2.11 | 28.25 |
| SZY1-180 | 3.34 | 0.5 | 1.49 | 2.51 | 1.39 | 2.57 | 3.06 | 0.86 | 1.31 | 20.65 | 1.57 | 1.15 | 1.62 | 1.33 | 6.2 | 2.51 | 4.15 | 0.6 | 3.97 | 1.34 | 0.46 | 1.42 | 0.96 | 2.2 | 20 |
| SZY1-186 | 3.17 | 0.52 | 1.36 | 2.51 | 1.37 | 3.18 | 1.79 | 0.48 | 1.25 | 23.05 | 1.15 | 1.12 | 1.63 | 1.2 | 8.54 | 2.15 | 4.17 | 0.57 | 3.14 | 1.24 | 0.43 | 1.23 | 0.82 | 2.16 | 18.88 |
| SZY1-192 | 3.34 | 0.52 | 1.2 | 2.63 | 1.42 | 5.9 | 2.3 | 0.9 | 1.25 | 23.52 | 1.21 | 1.12 | 1.75 | 1.11 | 8.19 | 2.14 | 5.08 | 0.55 | 6.74 | 1.11 | 0.45 | 1.28 | 0.86 | 2.22 | 13.71 |
| SZY1-198 | 3.28 | 0.74 | 1.17 | 2.55 | 1.37 | 2.36 | 1.19 | 1.63 | 1.35 | 8.95 | 0.94 | 1.26 | 2.09 | 1.14 | 2.01 | 1.54 | 2.19 | 0.59 | 8.73 | 1.07 | 0.45 | 2.22 | 1 | 0.94 | 0.7 |
| average | 3.17 | 0.85 | 1.2 | 2.6 | 1.3 | 3.81 | 2.26 | 1.07 | 1.26 | 19.9 | 1.32 | 1.15 | 1.68 | 1.2 | 10.47 | 2.14 | 4.52 | 0.57 | 6.46 | 1.14 | 0.45 | 1.83 | 0.95 | 2.6 | 29.86 |
| Samples ID | La | Ce | Pr | Nd | Sm | Eu | Gd | Tb | Dy | Ho | Er | Tm | Yb | Lu | ∑LREE | ∑HREE | ∑REE |
|---|---|---|---|---|---|---|---|---|---|---|---|---|---|---|---|---|---|
| SZY1-047 | 32.9 | 67.3 | 7.98 | 28.9 | 6.32 | 1.24 | 6.04 | 0.82 | 5.08 | 1.01 | 3.34 | 0.49 | 3.25 | 0.5 | 144.64 | 20.53 | 165.17 |
| SZY1-050 | 32.4 | 65.7 | 7.77 | 30.9 | 6.13 | 1.29 | 5.94 | 0.79 | 5.01 | 0.98 | 3.21 | 0.46 | 3.02 | 0.46 | 144.19 | 19.87 | 164.06 |
| SZY1-055 | 29.5 | 59.6 | 7.16 | 27.6 | 6.01 | 1.17 | 5.66 | 0.8 | 5.34 | 1.04 | 3.26 | 0.47 | 3.17 | 0.51 | 131.04 | 20.25 | 151.29 |
| SZY1-063 | 29.5 | 59.6 | 7.09 | 26.5 | 6.16 | 1.21 | 6.01 | 0.82 | 5.19 | 1.05 | 3.35 | 0.48 | 3.31 | 0.48 | 130.06 | 20.69 | 150.75 |
| SZY1-067 | 31.4 | 63.1 | 7.36 | 28.1 | 6.04 | 1.17 | 5.83 | 0.83 | 5.25 | 1.02 | 3.31 | 0.47 | 3.18 | 0.48 | 137.17 | 20.37 | 157.54 |
| SZY1-085 | 20 | 44 | 5.21 | 21.6 | 4.85 | 1.05 | 5.18 | 0.68 | 4.3 | 0.83 | 2.55 | 0.33 | 2.09 | 0.33 | 96.71 | 16.29 | 113 |
| SZY1-089 | 26.8 | 55.5 | 6.19 | 25.5 | 5.08 | 0.94 | 5.1 | 0.7 | 4.44 | 0.92 | 2.95 | 0.43 | 2.83 | 0.42 | 120.01 | 17.79 | 137.8 |
| SZY1-091 | 29.4 | 61 | 6.78 | 25.3 | 6.31 | 0.93 | 4.85 | 0.68 | 4.26 | 0.85 | 2.68 | 0.39 | 2.59 | 0.4 | 129.72 | 16.7 | 146.42 |
| SZY1-098 | 31 | 64.3 | 6.78 | 24.5 | 5.05 | 0.99 | 4.84 | 0.68 | 4.31 | 0.88 | 2.89 | 0.43 | 2.9 | 0.42 | 132.62 | 17.35 | 149.97 |
| SZY1-102 | 26.6 | 54.7 | 6.1 | 22.5 | 4.97 | 0.97 | 4.93 | 0.7 | 4.37 | 0.88 | 2.79 | 0.4 | 2.58 | 0.39 | 115.84 | 17.04 | 132.88 |
| SZY1-105 | 27.6 | 57.1 | 6.18 | 22.8 | 4.82 | 0.98 | 4.68 | 0.64 | 3.91 | 0.81 | 2.49 | 0.36 | 2.53 | 0.39 | 119.48 | 15.81 | 135.29 |
| SZY1-111 | 28.4 | 60 | 6.8 | 26.5 | 6.09 | 1.16 | 5.77 | 0.73 | 4.66 | 0.95 | 2.97 | 0.41 | 2.79 | 0.43 | 128.95 | 18.71 | 147.66 |
| SZY1-116 | 20.3 | 46.1 | 5.73 | 24.2 | 5.85 | 1.47 | 6.35 | 0.88 | 5.32 | 1.03 | 2.98 | 0.42 | 2.67 | 0.4 | 103.65 | 20.05 | 123.7 |
| SZY1-118 | 28.2 | 57.9 | 6.67 | 25.1 | 5.24 | 1.04 | 5.03 | 0.7 | 4.61 | 0.95 | 2.91 | 0.42 | 2.9 | 0.43 | 124.15 | 17.95 | 142.1 |
| SZY1-122 | 30.4 | 63.8 | 6.98 | 26.1 | 5.76 | 1.17 | 5.76 | 0.83 | 4.99 | 0.98 | 3.09 | 0.41 | 2.92 | 0.43 | 134.21 | 19.41 | 153.62 |
| SZY1-124 | 33 | 67 | 7.85 | 29.1 | 6.21 | 1.24 | 5.95 | 0.79 | 4.89 | 0.99 | 3.11 | 0.44 | 2.96 | 0.43 | 144.4 | 19.56 | 163.96 |
| SZY1-128 | 30.4 | 61.5 | 7.01 | 25.7 | 5.51 | 1.1 | 5.42 | 0.76 | 4.7 | 0.94 | 2.95 | 0.42 | 2.86 | 0.45 | 131.22 | 18.5 | 149.72 |
| SZY1-134 | 30.9 | 60.5 | 7.16 | 28.4 | 7.06 | 1.38 | 7.21 | 0.97 | 5.64 | 1.11 | 3.35 | 0.48 | 3.05 | 0.47 | 135.4 | 22.28 | 157.68 |
| SZY1-138 | 33 | 70.2 | 8.36 | 31.8 | 5.86 | 1.08 | 5.43 | 0.72 | 4.61 | 0.92 | 3.03 | 0.45 | 3.02 | 0.47 | 150.3 | 18.65 | 168.95 |
| SZY1-142 | 33.3 | 67.9 | 7.83 | 28.1 | 6.16 | 1.26 | 6.26 | 0.83 | 5.47 | 1.06 | 3.15 | 0.47 | 3.14 | 0.47 | 144.55 | 20.85 | 165.4 |
| SZY1-148 | 31 | 59.9 | 7 | 27.1 | 5.59 | 1.02 | 5.66 | 0.75 | 4.94 | 1.02 | 3.26 | 0.47 | 3.24 | 0.49 | 131.61 | 19.83 | 151.44 |
| SZY1-155 | 32 | 63.2 | 7.87 | 28.9 | 6.5 | 1.24 | 5.95 | 0.82 | 5.4 | 1.02 | 3.17 | 0.47 | 3.04 | 0.48 | 139.71 | 20.35 | 160.06 |
| SZY1-162 | 32.7 | 63.8 | 7.87 | 29.9 | 6.43 | 1.25 | 6.06 | 0.84 | 5.4 | 1.08 | 3.46 | 0.51 | 3.4 | 0.51 | 141.95 | 21.26 | 163.21 |
| SZY1-168 | 29.2 | 62.6 | 8.17 | 33.8 | 7.72 | 1.6 | 7.75 | 1.04 | 6.34 | 1.19 | 3.81 | 0.52 | 3.56 | 0.5 | 143.09 | 24.71 | 167.8 |
| SZY1-174 | 33.4 | 65.4 | 8.13 | 30.2 | 6.71 | 1.31 | 6.17 | 0.84 | 5.15 | 1.02 | 3.28 | 0.47 | 3.15 | 0.47 | 145.15 | 20.55 | 165.7 |
| SZY1-180 | 36.5 | 71.8 | 8.35 | 30.4 | 5.96 | 1.08 | 5.51 | 0.72 | 4.63 | 0.91 | 2.87 | 0.4 | 2.89 | 0.42 | 154.09 | 18.35 | 172.44 |
| SZY1-186 | 33.1 | 65.6 | 8.05 | 31.6 | 6.48 | 1.29 | 6.22 | 0.85 | 5.5 | 1.08 | 3.44 | 0.51 | 3.35 | 0.53 | 146.12 | 21.48 | 167.6 |
| SZY1-192 | 33.5 | 67.2 | 8.32 | 32 | 6.42 | 1.2 | 6.03 | 0.84 | 5.39 | 1.06 | 3.51 | 0.5 | 3.36 | 0.51 | 148.64 | 21.2 | 169.84 |
| SZY1-198 | 29.3 | 55.9 | 6.92 | 26 | 5.59 | 1.05 | 5.31 | 0.75 | 4.63 | 0.91 | 2.81 | 0.4 | 2.83 | 0.42 | 124.76 | 18.06 | 142.82 |
| Chondrite | 0.31 | 0.81 | 0.12 | 0.6 | 0.2 | 0.07 | 0.26 | 0.05 | 0.32 | 0.07 | 0.21 | 0.03 | 0.21 | 0.03 | 2.11 | 1.18 | 3.29 |
| NASC | 32 | 73 | 7.9 | 33 | 5.7 | 1.24 | 5.2 | 0.85 | 5.8 | 1.04 | 3.4 | 0.5 | 3.1 | 0.48 | 152.84 | 20.37 | 173.21 |
| Average | 30.20 | 61.46 | 7.23 | 27.56 | 5.96 | 1.17 | 5.76 | 0.79 | 4.96 | 0.98 | 3.10 | 0.44 | 2.99 | 0.45 | 133.57 | 19.46 | 153.03 |
References
- Bentley, R.W. Global oil & gas depletion: An overview. Energy Policy 2002, 30, 189–205. [Google Scholar]
- Chengzao, J.; Zheng, M.; Zhang, Y. Unconventional hydrocarbon resources in China and the prospect of exploration and development. Pet. Explor. Dev. 2012, 39, 139–146. [Google Scholar]
- Zou, C.; Zhao, Z.; Pan, S.; Yin, J.; Lu, G.; Fu, F.; Yuan, M.; Liu, H.; Zhang, G.; Luo, C.; et al. Unveiling the Oldest Industrial Shale Gas Reservoir: Insights for the Enrichment Pattern and Exploration Direction of Lower Cambrian Shale Gas in the Sichuan Basin. Engineering 2024, in press. [CrossRef]
- Li, D.; Li, R.; Xue, T.; Wang, B.; Liu, F.; Zhao, B.; Zhao, D. Characteristic and geological implications of major elements and rare earth elements of Triassic Chang 7 oil shale in Tongchuan city, Southern Ordos Basin (China). Minerals 2018, 8, 157. [Google Scholar] [CrossRef]
- Xiao, B.; Guo, D.; Zhao, Z.; Xiong, S.; Feng, M.; Zhao, Z.; Li, S. Elemental Geochemical Characteristics of Shales from Wufeng–Longmaxi Formations in the Southern Margin of the Qinling Orogenic Belt, China: Implications for Depositional Controls on Organic Matter. ACS Omega 2024, 9, 31488–31507. [Google Scholar] [CrossRef]
- Zou, C.; Dong, D.; Wang, Y.; Li, X.; Huang, J.; Wang, S.; Guan, Q.; Zhang, C.; Wang, H.; Liu, H.; et al. Shale gas in China: Characteristics, challenges and prospects (II). Pet. Explor. Dev. 2016, 43, 182–196. [Google Scholar] [CrossRef]
- Li, J.; Wang, X.; Hou, L.; Chen, C.; Guo, J.; Yang, C.; Wang, Y.; Li, Z.; Cui, H.; Hao, A.; et al. Geochemical characteristics and resource potential of shale gas in Sichuan Basin, China. J. Nat. Gas Geosci. 2021, 6, 313–327. [Google Scholar] [CrossRef]
- He, X.; Chen, G.; Wu, J.; Liu, Y.; Wu, S.; Zhang, J.; Zhang, X. Dep shale gas exploration and development in the southern Sichuan Basin: New progress and challenges. Nat. Gas Ind. B 2023, 10, 32–43. [Google Scholar] [CrossRef]
- Yang, F.; Zhou, X.; Peng, Y.; Song, B.; Kou, X. Evolution of Neoproterozoic basins within the Yangtze Craton and its significance for oil and gas exploration in South China: An overview. Precambrian Res. 2020, 337, 105563. [Google Scholar] [CrossRef]
- Chen, Y.L.; Chu, X.L.; Zhang, X.L. Carbon and sulfur isotopes and trace elements of the Dengying Formation dolomite in the Zhenba area of Southern Shaanxi: Implications for the redox environment of the Ediacaran shallow sea at the end of the Ediacaran Period. Sci. China Earth Sci. 2015, 45, 963–981. [Google Scholar]
- Peng, L.Y. Deep Structural Characteristics and Evolution Mechanism of the Micangshan-Zhenba Area. Ph.D. Thesis, China University of Geosciences (Beijing), Beijing, China, 2013. [Google Scholar]
- Tian, T.; Yang, P.; Yao, J.; Duan, Z.; Ren, Z.; Fu, D.; Yang, F. New detrital apatite fission track thermochronological constraints on the Meso-Cenozoic tectono-thermal evolution of the Micangshan-Dabashan tectonic belt, Central China. Front. Earth Sci. 2021, 9, 754137. [Google Scholar] [CrossRef]
- Chen, X.L.; Zhai, G.Y.; Bao, S.J. Geological conditions and gas content characteristics of shale gas in the Niutitang Formation of the Zhenba area, southern Shaanxi: A case study of the Zhenba No.1 well. China Min. Mag. 2018, 27 (Suppl. S1), 101–106. [Google Scholar]
- Wei, Y.; Hu, Z.W.; Li, Y. Characteristics of diagenesis of Cambrian Longwangmiao Formation carbonates in the Zhenba area of northeastern Sichuan. J. Northeast. Pet. Univ. 2020, 44, 56–68+9. [Google Scholar]
- Sun, X.Y.; Mou, C.L.; Ge, X.Y.; Wang, Y.C.; Men, X. Geochemical characteristics and sedimentary environment significance of the Upper Ordovician Wufeng Formation in the Guangyuan-Zhenba area, Sichuan and Shaanxi, China. J. Sediment. Geol. Tethyan Geol. 2016, 36, 46–54. [Google Scholar]
- Li, H.; Li, D.; He, Q.; Sun, Q.; Zhao, X. Controlling mechanism of shale palaeoenvironment on its tensile strength: A case study of Banjiuguan Formation in Micangshan Mountain. Fuel 2024, 355, 129505. [Google Scholar] [CrossRef]
- Tao, T.; Deliang, F.; Shixin, Z.; Fu, Y.; Jing, L. Paleo-oxygen phases of Niutitang Formation shale in the Mican Mountain-Hannan uplift area and their relationship with organic matter enrichment. J. Lanzhou Univ. 2020, 56, 37–47+55. [Google Scholar] [CrossRef]
- Li, D.; Li, R.; Zhu, Z.; Wu, X.; Cheng, J.; Liu, F.; Zhao, B. Origin of organic matter and paleo-sedimentary environment reconstruction of the Triassic oil shale in Tongchuan City, southern Ordos Basin (China). Fuel 2017, 208, 223–235. [Google Scholar] [CrossRef]
- Zou, C.; Dong, D.; Wang, S.; Li, J.; Li, X.; Wang, Y.; Li, D.; Cheng, K. Formation mechanism, geological characteristics and resource potential of shale gas in China. Pet. Explor. Dev. 2010, 37, 641–653. [Google Scholar] [CrossRef]
- Shao, D. Experimental Simulation of the Impact of Rock Framework on the Formation, Expulsion, Retention, and Pore Evolution of Marine Shale Oil and Gas and Its Geological Significance. Ph.D. Thesis, Lanzhou University, Lanzhou, China, 2018. [Google Scholar] [CrossRef]
- Li, J.; Dong, S.; Yin, A.; Zhang, Y.; Shi, W. Mesozoic tectonic evolution of the Daba Shan Thrust Belt in the southern Qinling orogen, central China: Constraints from surface geology and reflection seismology. Tectonics 2015, 34, 1545–1575. [Google Scholar] [CrossRef]
- Liu, S.; Yang, Y.; Deng, B.; Zhong, Y.; Wen, L.; Sun, W.; Li, Z.; Jansa, L.; Li, J.; Song, J.; et al. Tectonic evolution of the Sichuan basin, southwest China. Earth-Sci. Rev. 2021, 213, 103470. [Google Scholar] [CrossRef]
- Zhang, J.; Gao, R.; LI, Q.; Guan, Y.; Wang, H.; LI, W. Characteristic of gravity and magnetic anomalies in the Daba Shan and the Sichuan basin, China: Implication for architecture of the Daba Shan. Acta Geol. Sin. Engl. Ed. 2013, 87, 1154–1161. [Google Scholar]
- Li, J.; Zhang, Y.; Dong, S.; Shi, W. Structural and geochronological constraints on the Mesozoic tectonic evolution of the North Dabashan zone, South Qinling, central China. J. Asian Earth Sci. 2013, 64, 99–114. [Google Scholar] [CrossRef]
- Xiao, B.; Xiong, L.; Zhao, Z.; Fu, X. Sedimentary tectonic pattern of Wufeng and Longmaxi Formations in the northern margin of Sichuan Basin, South China. Int. Geol. Rev. 2022, 64, 2166–2185. [Google Scholar] [CrossRef]
- Lu, F.; Tan, X.; Ma, T.; Li, L.; Zhao, A.; Su, C.; Wu, J.; Hong, H. The sedimentary facies characteristics and lithofacies palaeogeography during Middle-Late Cambrian, Sichuan Basin and adjacent area. Petroleum 2017, 3, 212–231. [Google Scholar] [CrossRef]
- Hou, M.C.; He, L.; Xu, S.L. Lithofacies and depositional environment analysis of the Dengying Formation in the Zhenba area. J. Southwest Pet. Univ. 2020, 42, 31–42. [Google Scholar]
- Xie, Q.; Xu, F.; Wang, N.; Yang, Z. Geological conditions and gas-bearing evaluation of the Niutitang Formation shale in the Xixiang–Zhenba area, China. Geol. Croat. 2020, 73, 49–58. [Google Scholar] [CrossRef]
- Hou, Q.Q. Geological Conditions for Shale Gas Accumulation in the Lower Paleozoic Black Rock Series of the Zhenba-Xixiang Area, Western Daba Mountains. Ph.D. Thesis, Chang’an University, Xi’an, China, 2023. [Google Scholar]
- Ji, Y.T.; Kang, S.W. Reservoir characteristics of black shale in the Wufeng Formation and Longmaxi Formation of the Han 1 well in the Ningqiang area, southern Shaanxi. China Coalbed Methane 2018, 15, 8–12. [Google Scholar]
- Wang, G.; Carr, T.R. Methodology of organic-rich shale lithofacies identification and prediction: A case study from Marcellus Shale in the Appalachian basin. Comput. Geosci. 2012, 49, 151–163. [Google Scholar] [CrossRef]
- Feng, Z.Z. A review on the definitions of terms of sedimentary facies. J. Palaeogeogr. 2019, 8, 32. [Google Scholar] [CrossRef]
- Wang, Y.M.; Dong, D.Z.; Li, J.Z. Reservoir characteristics of shale gas in the Lower Silurian Longmaxi Formation in southern Sichuan. Acta Pet. Sin. 2012, 33, 551–561. [Google Scholar]
- Wang, Y.M.; Wang, S.F.; Dong, D.Z.; Li, X.J.; Huang, J.L.; Zhang, C.C.; Guan, Q.Z. Lithofacies characterization of the Lower Silurian Longmaxi Formation shale in southern Sichuan. Earth Sci. Front. 2016, 23, 119–133. [Google Scholar] [CrossRef]
- Yu-Jiang, J.; Yi-Tao, S.; Lin, Q.I. Fine lithofacies of China’s marine shale and its logging prediction: A case study of the Lower Silurian Longmaxi marine shale in Weiyuan area, southern Sichuan Basin, China. Earth Sci. Front. 2016, 23, 107. [Google Scholar]
- Chen, S.; Han, Y.; Fu, C.; Zhu, Y.; Zuo, Z. Micro and nano-size pores of clay minerals in shale reservoirs: Implication for the accumulation of shale gas. Sediment. Geol. 2016, 342, 180–190. [Google Scholar] [CrossRef]
- Zhang, J.; Li, X.; Wei, Q.; Gao, W.; Liang, W.; Wang, Z.; Wang, F. Quantitative characterization of pore-fracture system of organic-rich marine-continental shale reservoirs: A case study of the Upper Permian Longtan Formation, Southern Sichuan Basin, China. Fuel 2017, 200, 272–281. [Google Scholar] [CrossRef]
- Wei, J.; Zhang, A.; Li, J.; Shang, D.; Zhou, X. Study on microscale pore structure and bedding fracture characteristics of shale oil reservoir. Energy 2023, 278, 127829. [Google Scholar] [CrossRef]
- Zhang, P.; Lu, S.; Li, J.; Xue, H.; Li, W.; Zhang, P. Characterization of shale pore system: A case study of Paleogene Xin’gouzui Formation in the Jianghan basin, China. Mar. Pet. Geol. 2017, 79, 321–334. [Google Scholar] [CrossRef]
- Yao, J.; Sun, H.; Fan, D.; Wang, C.-C.; Sun, Z.-X. Numerical simulation of gas transport mechanisms in tight shale gas reservoirs. Pet. Sci. 2013, 10, 528–537. [Google Scholar] [CrossRef]
- Yu, H.; Zhu, Y.; Jin, X.; Liu, H.; Wu, H. Multiscale simulations of shale gas transport in micro/nano-porous shale matrix considering pore structure influence. J. Nat. Gas Sci. Eng. 2019, 64, 28–40. [Google Scholar] [CrossRef]
- Yang, F.; Ning, Z.; Wang, Q.; Liu, H. Pore structure of Cambrian shales from the Sichuan Basin in China and implications for gas storage. Mar. Pet. Geol. 2016, 70, 14–26. [Google Scholar] [CrossRef]
- Shan, C.C. Study on the Shale Gas Accumulation Conditions of the Lower Cambrian Niutitang Formation in the Micangshan Area. Ph.D. Thesis, Chang’an University, Xi’an, China, 2020. [Google Scholar] [CrossRef]
- He, C.; Ji, L.; Wu, Y.; Su, A.; Zhang, M. Characteristics of hydrothermal sedimentation process in the Yanchang Formation, south Ordos Basin, China: Evidence from element geochemistry. Sediment. Geol. 2016, 345, 33–41. [Google Scholar] [CrossRef]
- Herron, M.M. Geochemical classification of terrigenous sands and shales from core or log data. J. Sediment. Res. 1988, 58, 820–829. [Google Scholar]
- Shaw, D.M.; Cramer, J.J.; Higgins, M.D.; Truscott, M.G. Composition of the Canadian Precambrian shield and the continental crust of the Earth. Geol. Soc. Lond. Spec. Publ. 1986, 24, 275–282. [Google Scholar] [CrossRef]
- McLennan, S.M. Relationships between the trace element composition of sedimentary rocks and upper continental crust. Geochem. Geophys. Geosystems 2001, 2. [Google Scholar] [CrossRef]
- Huang, Z.S.; Wang, X.Z.; Yang, X.Y.; Zhu, R.K.; Cui, J.W.; Lu, Y.Z.; Li, Y. Constraints of sedimentary environment on organic matter accumulation in shale: A case study of the Wufeng-Longmaxi Formations in the southern Sichuan Basin. Acta Sedimentol. Sin. 2021, 39, 631–644. [Google Scholar]
- Chang, X.; Liu, X.; Li, T.; Xiong, Z.; Duan, B.; Huang, J.; Liu, J.P.; Zhang, M.; Wang, A.; Wang, H. Late Quaternary marine transgressions off the Shandong Peninsula inferred from paleosalinity indicators: Implications for Holocene mud wedge formation. Chem. Geol. 2024, 658, 122117. [Google Scholar] [CrossRef]
- Goudie, A.S.; Viles, H.A. Weathering and the global carbon cycle: Geomorphological perspectives. Earth-Sci. Rev. 2012, 113, 59–71. [Google Scholar] [CrossRef]
- Peterman, Z.E.; Hedge, C.E.; Tourtelot, H.A. Isotopic composition of strontium in sea water throughout Phanerozoic time. Geochim. Cosmochim. Acta 1970, 34, 105–120. [Google Scholar] [CrossRef]
- Nothdurft, L.D.; Webb, G.E.; Kamber, B.S. Rare earth element geochemistry of Late Devonian reefal carbonates, Canning Basin, Western Australia: Confirmation of a seawater REE proxy in ancient limestones. Geochim. Et Cosmochim. Acta 2004, 68, 263–283. [Google Scholar] [CrossRef]
- Cheng, J.X.; Deng, M.; Yang, G.L. Geochemical characteristics and provenance tectonic background analysis of the Silurian Longmaxi Formation black mudstone in the Mingsheng section, Yanyuan area, Sichuan. Sediment. Geol. Tethyan Geol. 2023, 1–22. [Google Scholar] [CrossRef]
- Liu, J.; Yao, Y.; Elsworth, D.; Pan, Z.; Sun, X.; Ao, W. Sedimentary characteristics of the Lower Cambrian Niutitang shale in the southeast margin of Sichuan Basin, China. J. Nat. Gas Sci. Eng. 2016, 36, 1140–1150. [Google Scholar] [CrossRef]
- Zhou, L.; Wang, Z.; Gao, W.; Zhang, K.; Li, H.; Zhang, L. Provenance and tectonic setting of the Lower Cambrian Niutitang formation shales in the Yangtze platform, South China: Implications for depositional setting of shales. Geochemistry 2019, 79, 384–398. [Google Scholar] [CrossRef]
- Yin, J.T.; Yu, Y.X.; Jiang, C.F.; Liu, J.; Zhao, Q.P.; Shi, P. Elemental geochemical characteristics and relationship with organic matter enrichment of Zhang Jia Tan shale in the Ordos Basin. J. China Coal Soc. 2017, 42, 1544–1556. [Google Scholar] [CrossRef]
- Liu, S.G.; Deng, B.; Li, Z.W. Basin-mountain structure and oil-gas distribution: A case study of the Sichuan Basin. Acta Petrol. Sin. 2011, 27, 621–635. [Google Scholar]
- Bhatia, M.R. Rare earth element geochemistry of Australian Paleozoic graywackes and mudrocks: Provenance and tectonic control. Sediment. Geol. 1985, 45, 97–113. [Google Scholar] [CrossRef]
- Liu, C.L.; Xiong, G.Q.; Dong, G.M.; Cui, W. Geochemical characteristics of mudstones across the Ordovician-Silurian boundary in the northern margin of the Yangtze Block and their provenance and tectonic background. Geol. Rev. 2021, 67, 1263–1279. [Google Scholar] [CrossRef]
- Roser, B.P.; Korsch, R.J. Provenance signatures of sandstone-mudstone suites determined using discriminant function analysis of major-element data. Chem. Geol. 1988, 67, 119–139. [Google Scholar] [CrossRef]
- Bhatia, M.R.; Crook, K.A.W. Trace element characteristics of graywackes and tectonic setting discrimination of sedimentary basins. Contrib. Mineral. Petrol. 1986, 92, 181–193. [Google Scholar] [CrossRef]
- Li, B.; Sun, G.H.; Zhong, H.X.; Li, S.; Wang, Y.; Zhao, L.; Li, L.J. Geochemical characteristics of rare earth elements in surface sediments of the coastal area of Fujian and their implications for provenance. Mar. Geol. Quat. Geol. 2017, 33, 47–56. [Google Scholar] [CrossRef]
- Su, N.; Bi, L.; Guo, Y.L.; Yang, S.Y. Composition and provenance discrimination of rare earth elements in surface sediments from the Mulan Stream estuary and adjacent sea areas. Mar. Geol. Quat. Geol. 2018, 38, 150–159. [Google Scholar] [CrossRef]
- Floyd, P.A.; Leveridge, B.E. Tectonic environment of the Devonian Gramscatho basin, south Cornwall: Framework mode and geochemical evidence from turbiditic sandstones. J. Geol. Soc. 1987, 144, 531–542. [Google Scholar] [CrossRef]
- Allègre, C.J.; Minster, J.F. Quantitative models of trace element behavior in magmatic processes. Earth Planet. Sci. Lett. 1978, 38, 1–25. [Google Scholar] [CrossRef]
- Madhavaraju, J. Geochemistry of late Cretaceous sedimentary rocks of the Cauvery Basin, south India: Constraints on paleoweathering, provenance, and end Cretaceous environments. In Chemostratigraphy; Elsevier: Amsterdam, The Netherlands, 2015; pp. 185–214. [Google Scholar]
- Madhavaraju, J.; Tom, M.; Lee, Y.I.; Balaram, V.; Ramasamy, S.; Carranza-Edwards, A.; Ramachandran, A. Provenance and tectonic settings of sands from Puerto Peñasco, Desemboque and Bahia Kino beaches, gulf of California, Sonora, México. J. South Am. Earth Sci. 2016, 71, 262–275. [Google Scholar] [CrossRef]
- Alexander, B.W.; Bau, M.; Andersson, P.; Dulski, P. Continentally-derived solutes in shallow Archean seawater: Rare earth element and Nd isotope evidence in iron formation from the 2.9 Ga Pongola Supergroup, South Africa. Geochim. Cosmochim. Acta 2008, 72, 378–394. [Google Scholar] [CrossRef]
- Florian, M.L.E. The underwater environment. In Conservation of Marine Archaeological Objects; Butterworth-Heinemann: Oxford, UK, 1987; pp. 1–20. [Google Scholar]
- Fan, Y.H.; Wang, H.; Zhang, S.P. Application of trace element analysis in identifying sedimentary medium environments: A case study of the Late Triassic in the western central part of the Ordos Basin. Geol. Rev. 2015, 61 (Suppl. S1), 632–634. [Google Scholar]
- Feng, L.; Chu, X.; Zhang, Q.; Zhang, T.; Li, H.; Jiang, N. New evidence of deposition under cold climate for the Xieshuihe Formation of the Nanhua System in northwestern Hunan, China. Chin. Sci. Bull. 2004, 49, 1420–1427. [Google Scholar] [CrossRef]
- Cullers, R.L.; Podkovyrov, V.N. Geochemistry of the Mesoproterozoic Lakhanda shales in southeastern Yakutia, Russia: Implications for mineralogical and provenance control, and recycling. Precambrian Res. 2000, 104, 77–93. [Google Scholar] [CrossRef]
- Liu, H.L.; Zou, C.N.; Qiu, Z.; Yi, S.; Yang, Z.; Wu, S.T.; Chen, Y.T.; Ma, F.; Li, S.X.; Zhang, Y. Depositional environment and organic matter enrichment mechanisms of lacustrine black shales: A case study of the Chang 7 Member in the Ordos Basin. Acta Sedimentol. Sin. 2023, 41, 1810–1829. [Google Scholar] [CrossRef]
- Chen, Y.J.; Li, P.; Xu, Y.Q. Geochemical characteristics of sediments in the Longqi hydrothermal area of the Southwest Indian Ocean and their implications. Adv. Mar. Sci. 2024, 42, 532–544. [Google Scholar]
- Zhang, X.Y.; Tao, C.H.; Liao, S.L.; Zhou, J.P.; Li, M.H.; Teng, G.C.; Huang, D.S. Geochemical characteristics of surface sediments from the Southwest Indian Ridge and their implications for hydrothermal activity. Acta Sedimentol. Sin. 2020, 38, 727–736. [Google Scholar] [CrossRef]
- Zhao, C.J.; Kang, Z.H.; Hou, Y.H. Geochemical characteristics of rare earth elements in Permian mudshales of the Lower Yangtze Region and their geological significance. Earth Sci. 2020, 45, 4118–4127. [Google Scholar]
- Wang, Y.; Zhu, Y.; Huang, J.; Song, H.; Du, Y.; Li, Z. Application of rare earth elements of the marine carbonate rocks in paleoenvironmental researches. Adv. Earth Sci. 2018, 33, 922. [Google Scholar]
- Wang, Z.; Wang, J.; Fu, X.; Zhan, W.; Yu, F.; Feng, X.; Song, C.; Chen, W.; Zeng, S. Organic material accumulation of Carnian mudstones in the North Qiangtang Depression, eastern Tethys: Controlled by the paleoclimate, paleoenvironment, and provenance. Mar. Pet. Geol. 2017, 88, 440–457. [Google Scholar] [CrossRef]
- Xiong, M.; Zou, G.J.; Zhang, X.Y.; Li, G. Geochemical characteristics of rare earth elements in Silurian sandstones from the Yongshun area, northwest Hunan and their geological significance. Chin. Geol. Surv. 2023, 10, 67–74. [Google Scholar] [CrossRef]
- Fan, Q.S.; Xia, G.Q.; Li, G.J.; Yi, H.S. Methods and research progress in analyzing paleo-ocean redox conditions. Acta Sedimentol. Sin. 2022, 40, 1151–1171. [Google Scholar] [CrossRef]
- Fu, X.; Jian, W.; Chen, W.; Feng, X.; Wang, D.; Song, C.; Zeng, S. Organic accumulation in lacustrine rift basin: Constraints from mineralogical and multiple geochemical proxies. Int. J. Earth Sci. 2015, 104, 495–511. [Google Scholar] [CrossRef]
- Chen, H.; Shen, J.J.; Tan, G.C. Depositional paleoenvironment and its control on organic matter enrichment in shale of passive continental margins: A case study of the Lower Silurian Longmaxi Formation in the northern Chongqing region of the Upper Yangtze. J. Palaeogeogr. 2024, 26, 1072–1089. [Google Scholar]
- Lei, M.Y.; Liu, C.; Sun, B.L.; Li, P.P.; Wang, X.; Xie, P.H. Geochemical characteristics and formation environment of Upper Paleozoic source rocks in the Shixi block, eastern margin of the Ordos Basin. Geol. Rev. 2024, 70, 499–511. [Google Scholar] [CrossRef]
- Tribovillard, N.; Algeo, T.J.; Lyons, T.; Riboulleau, A. Trace metals as paleoredox and paleoproductivity proxies: An update. Chem. Geol. 2006, 232, 12–32. [Google Scholar] [CrossRef]



















Disclaimer/Publisher’s Note: The statements, opinions and data contained in all publications are solely those of the individual author(s) and contributor(s) and not of MDPI and/or the editor(s). MDPI and/or the editor(s) disclaim responsibility for any injury to people or property resulting from any ideas, methods, instructions or products referred to in the content. |
© 2024 by the authors. Licensee MDPI, Basel, Switzerland. This article is an open access article distributed under the terms and conditions of the Creative Commons Attribution (CC BY) license (https://creativecommons.org/licenses/by/4.0/).
Share and Cite
Tian, T.; Chang, W.; Zhang, P.; Yang, J.; Zhang, L.; Wang, T. Characteristics and Paleoenvironment of the Niutitang Shale Reservoir in the Zhenba Area. Processes 2024, 12, 2595. https://doi.org/10.3390/pr12112595
Tian T, Chang W, Zhang P, Yang J, Zhang L, Wang T. Characteristics and Paleoenvironment of the Niutitang Shale Reservoir in the Zhenba Area. Processes. 2024; 12(11):2595. https://doi.org/10.3390/pr12112595
Chicago/Turabian StyleTian, Tao, Wei Chang, Pei Zhang, Jiahui Yang, Li Zhang, and Tianzi Wang. 2024. "Characteristics and Paleoenvironment of the Niutitang Shale Reservoir in the Zhenba Area" Processes 12, no. 11: 2595. https://doi.org/10.3390/pr12112595
APA StyleTian, T., Chang, W., Zhang, P., Yang, J., Zhang, L., & Wang, T. (2024). Characteristics and Paleoenvironment of the Niutitang Shale Reservoir in the Zhenba Area. Processes, 12(11), 2595. https://doi.org/10.3390/pr12112595

