Abstract
The aim of this study was to evaluate the effects of different drying methods on bioactive compounds and to analyze their composition in Verbascum sinaiticum (V. sinaiticum) leaf extracts using UHPLC-ESI-QTOF-MS/MS. V. sinaiticum is traditionally used as an herbal medicine, yet it has undergone limited scientific investigations regarding its secondary metabolites. V. sinaiticum leaves were dried using oven dryers at 50 °C, 60 °C, and 70 °C, as well as a freeze dryer. The leaves were then extracted using 50% and 70% aqueous ethanol and 100% aqueous solutions. The results showed that the highest contents of TPC and TFC were observed when 70% aqueous ethanol was used during freeze drying, reaching 181.73 mg GAE/g dw and 78.57 mg CE/g dw, respectively. The strongest correlations were observed between the TFC and DPPH radical scavenging activity (0.9082), followed by TPC and ABTS assays (0.8933) and TPC and DPPH (0.8272). In the FTIR analysis, freeze drying exhibited a lower intensity of the phenolic -OH functional groups, contrasting with significant denaturation observed during oven drying at 70 °C. Metabolite analysis identified 29 compounds in V. sinaiticum leaves, further confirming the presence of 14 phenolic and flavonoid compounds, including kaempferol, catechin, gallic acid, and myricetin derivatives, consistent with the experimentally observed antioxidant capacity. This study highlights the impact of drying methods on the bioactive composition of V. sinaiticum and underscores its potential as a source of antioxidants for food, nutraceutical, and pharmaceutical applications.
1. Introduction
Over the past few decades, the interest on bioactive compounds has grown due to their radical scavenging capacities [1]. Bioactive compounds vary in type, quantity, and composition of functional groups. The variability in chemical characteristics influences the efficiency of extraction in different solvents [2,3]. In addition, drying methods influence the structure of bioactive compounds and their antioxidant properties [3,4,5]. Extraction using various solvents has been studied for their antibacterial, antifungal, antiproliferative, cytotoxic, and hepatoprotective properties [6,7,8,9].
On the other hand, research has indicated that the yield, the concentration of bioactive compounds, and antioxidant capacity are affected by the methods of extraction, the solvent type, and solid-to-solvent ratios [6,7]. Drying is a vital preparation step for plant materials aimed at reducing moisture content to minimize spoilage due to microbial activity and undesirable chemical reactions [3,8]. According to Anwar et.al. [8], cauliflower air-dried methanol extraction yielded a reduction of 22% in antioxidant capacity when the temperature was increased from 25 to 40 °C. Similarly, bioactive compounds were extracted from M. stenopetala leaves using 50% and 70% ethanol, and 100% aqueous solvent, with the highest concentration observed in the 70% ethanol extracts of 34.94% using a freeze dryer, with the lowest values of 27.50% shown at aqueous extracts with an oven dryer at 50 °C [3]. According to Sepahpour et.al. [1], the polarity of the extracted solvent causes variations in the extracted profile of bioactive compounds. Therefore, selecting the appropriate extraction solvent is crucial since it significantly affects the quantity and quality of extracted phenolic chemicals, flavonoids, and antioxidant activities.
Verbascum sinaiticum (V. sinaiticum), colloquially known as “Qetetina or Yahya Joro” in Amharic, is a biennial herbaceous species that is among the indigenous Ethiopian plants [9]. It is utilized in Ethiopia due to its biological properties and boasts a versatile application through its herbal tea and has a rich history of traditional medicinal applications [9,10]. Its phytochemical constituents, renowned for their radical scavenging abilities, are integral in the treatment of various human and animal ailments within traditional herbal medicine [11,12,13,14,15,16,17,18]. This versatile plant is utilized for a wide range of therapeutic purposes, including but not limited to addressing abdominal dropsy, anthrax (root and leaves), tumors, rheumatic pain, wound healing, ophthalmic diseases, mental illness, amnesia, tapeworm, syphilis, gonorrhea, relapsing fever, elephantiasis, colds, chest diseases, post-partum hemorrhage (leaves), stomachaches, viral infections, cancer, sunstroke fever, abdominal colic, diarrhea, hemorrhages, and as a hepatoprotective agent. Scientific investigations have validated its pharmacological benefits, such as hepatoprotection and antitrypanosomal properties [9,11,14,15,16,17,19,20,21]. The root is commonly chewed to alleviate toothaches, while it is also pulverized and mixed with butter for topical application on wounds. Additionally, it is ingested with water for managing snake bites, leech infections, and lymphadenitis, and it is administered either orally or nasally. Analysis of the phytochemical composition of V. sinaiticum leaves reveals the presence of compounds like flavonolignans, hydrocarpin, and the novel sinaiticum, as well as flavones such as chrysoeriol and luteolin, showcasing varying levels of cytotoxicity against leukemia cancer cells, depending on the dosage [11,12,13,16]. Moreover, a mixture of powdered V. sinaiticum leaves with water is administered orally, or the filtrate is applied into the left ear and nose for the treatment of animal trypanosomiasis [9]. Both the root and leaf find utility in managing various conditions, with the root being employed for mental illness, amnesia, tapeworm, syphilis, gonorrhea, relapsing fever, rheumatic pain, and elephantiasis, while the leaf is used to treat wounds, measles, and Tinea decalva infections [9,11,15,16,17,20,21]. The species within the Verbascum genus are widely acknowledged for their effectiveness in traditional medicine [10,21,22,23,24]. Various compounds have been identified in some Verbascum species, including phenolic acids, flavonoids, triterpenes, sterols, iridoid glycosides, polysaccharides, saponins, and alkaloids [9,13,14].
Despite the diversity of V. sinaiticum species in Ethiopia, quantitative analysis on different extractions and the impacts of drying methods on antioxidant capacity and phytochemical content remains unexplored. Few studies have been conducted on the qualitative screening and traditional medicine applications [9,10,16,17,24,25]. In addition, the effects of drying methods and different extraction solvents on bioactive compounds and antioxidant activities of the extracts have not been studied. Thus, this study was aimed to investigate the effect of drying methods and extraction solvents on extraction yield, color, and bioactive compound profiles using ultra-high-performance liquid chromatography quadrupole time-of-flight mass spectroscopy (UHPLC-MS-ESI-Q-TOF-MS/MS) and the antioxidant capacity of the Ethiopian V. sinaiticum leaf extracts.
2. Materials and Methods
2.1. Raw Material
Fresh V. sinaiticum leaves were collected from the Bella district, with latitude and longitude coordinates of 9.005401, 38.763611 in Addis Ababa, Ethiopia. The collected plant material was authorized by Botanist Dr. Feleke Woldeyes at the Ethiopian Biodiversity Institute in Addis Ababa, Ethiopia. The leaf samples were cleaned physically and washed with tap water. Then, the samples were prepared in a freeze dryer for three days and in an oven dryer for three different treatment levels. Subsequently, the dried leaves were pulverized using a miller (Dietz-Motoren KG, Dettingen an der Erms, Germany, Retsch Gmbh, Haan, Germany) and sieved through a 20-mesh filter. Then, they were packed in airtight plastic bags and kept away from light until analysis.
2.2. Chemicals and Reagents
All chemicals and reagents were analytical grade 2,2-diphenyl-1-picrylhydrazyl: (DPPH), 2,2′-azinobis-3-ethylbenzothiazoline-6-sulphonic acid diammonium salt: (ABTS), acetonitrile (HPLC grade), aluminum chloride, catechin, ethanol, folin-ciocalteu, formic acid, gallic acid (GA), methanol, sodium carbonate, sodium hydroxide, sodium nitrite and water (HPLC grade) were bought from sigma Aldrich (Soul, Republic of Korea).
2.3. Drying Methods for V. sinaiticum Plant Leaves
To evaluate the effect of different drying techniques, oven drying at 50 °C, 60 °C and 70 °C and freeze drying were employed. In the oven drying, a layer of V. sinaiticum leaves with a thickness of approximately 0.4 cm was arranged on a tray measuring width 500 × diameter 400, with a height of 500 mm. After drying, the material was weighed at a steady rate at 10 hours (h), 16 h, and 21 h under a combination of three different drying temperatures of 50 °C, 60 °C, and 70 °C, respectively, to obtain a uniform moisture content (MC) (5.47–5.38%) of the sample using different temperature levels in the oven dryer (LABEC, Laboratory Equipment Pty Ltd., Sydney, state of New South Wales, Australia). On the other hand, the samples were freeze-dried using a freezer (ilshinBioBase, Dongducheon, Republic of Korea). V. sinaiticum leaves were put in a freeze dryer for two days at a 5 mbar vacuum pressure and stored at −80 °C.
2.4. Fourier Transform Infrared Spectroscopy (FTIR)
The powdered sample of V. sinaiticum was pelleted before it was placed on the diamond crystal surface of the attenuated total reflection (ATR) cell FTIR spectrum of two spectrometers, Perkin-Elmer spectrometer, Liantrisant, South Wales, UK) [26]. The FTIR analysis utilized a spectrum covering wave numbers from 4000 cm−1 to 400 cm−1, with an average scanning rate of 4 cm−1 resolution.
2.5. Extraction of V. sinaiticum Leaves
Extraction was conducted as reported by Legesse et.al. [5]. The dried leaf powder (3 g) of V. sinaiticum was soaked using 100% aqueous (distilled water) and 70% and 50% ethanol in a 1:30 (g/mL) ratio with occasional shaking for 72 h. The extracts of 50% and 70% ethanol were collected every 24 h and then filtered using fresh solvents. Aqueous extraction was performed for 6 h using distilled water. The residue was macerated twice after the extracts were recovered. All filtrates were collected in a vessel using two double-cotton towels, chilled for 12 h, then dried in a freeze drier. The extracts of 50% and 70% ethanol were dried in a rotary evaporator at 40 °C. Then, the concentrated extract was dried using a freeze dryer. The extract yield was computed as
2.6. Determination of Total Polyphenol Content (TPC) and Total Flavonoids Content (TFC)
The TPC was determined calorimetrically using the Folin–Ciocalteu technique [26]. The solution consisted of 0.2 mL of the extract mixed with 2.5 mL of 10% Folin–Ciocalteu reagent. Then, 2 mL of 7.5% mL of sodium carbonate solution with a concentration of 75 g/mL was added. The sample was heated to 50 °C for 10 min and allowed to cool. The spectra i3x plate reader (Molecular Devices, Seoul, Republic of Korea) was employed to measure the absorbance at 750 nm. A calibration curve was established using the Gallic acid standard, and it was used to express the results in mg GAE/g dw.
The TFC was determined according to Adom and Liu [27] with a slight modification. Initially, the extract (0.5 mL) was combined with 0.15 mL of 5% (m/v) sodium nitrite and 2.5 mL of distilled water, and the mixture was allowed to stand for 6 min. Subsequently, 0.3 mL of aluminum chloride (10% m/v) was introduced and thoroughly mixed. Following this, 1 mL of 1.0 M sodium hydroxide was added, followed by 0.55 mL of distilled water. The resulting mixture was vortexed and left to stand for 15 min. Finally, the concentration was measured at 510 nm using a spectra i3x plate reader (Molecular Devices, LLC, Republic of Korea). The same procedure, excluding the extract, was repeated for the blank and catechin standard at various concentrations (0, 50, 100, 150, 200, 250, and 300 µg/mL) to establish the standard curve. The TFC was expressed in mg catechin equivalents (CE) per gram of dry sample.
2.7. Antioxidant Capacity Determination DPPH and ABTS•+ Radical Scavenging
The radical scavenging capacity of the V. sinaiticum leaf extract was measured using 1,1-dipheyl 2-picrylhydrazyl (DPPH) [28], with a slight modification. The DPPH solution (0.004%, 3 mL) was added to the extract, as a standard or blank solution (1 mL). The mixture was incubated at 30 °C temperature in darkness for 30 min. The measurement against the blank was carried out using a spectrophotometer at 517 nm (Molecular Devices LLC, spectra i3x, Republic of Korea) [29]. Then, the data were expressed as IC50.
The ABTS scavenging test was conducted using the previous procedure [30], with slight modifications. The ABTS•+ solution (0.9 mL) was combined with the extract solution (0.1 mL), and the mixture was incubated at 30 °C for 30 min. Then, the absorbance was measured at 734 nm, and the scavenging activity is percentages expressed as the IC50.
2.8. Metabolite Profiling by UHPLC-ESI-QTOF-MS/MS
UHPLC-ESI-QTOF-MS/MS was used for the phytochemical analysis of sample extracts. Liquid chromatography was performed. Liquid chromatography on an Agilent 1290 series LC system using a YMC-Pack Pro C18, 150 × 4.6 mm I.D. S-3 µm, and 12 nm at a temperature of 40 °C was employed. The LC conditions were as follows: flow rate: 0.5 mL/min; solvent A: 0.1% formic acid in DIW B: ACN: gradient was from 10% to 100% B over 35 min and kept at this level for 5 min and then 10% for 10 min. Five microliters of every sample was then analyzed with electrospray ionization in positive and negative modes using an Agilent 6545 Quadrupole (Q)-Time of Flight (TOF) mass spectrometry (MS). Mass spectral data were acquired in the m/z range of 100–1000 amu. The source parameters were adjusted as follows: drying gas temperature 320 °C, drying gas flow rate 8 L/min, and nebulizer pressure 35 psi. The features were compared to report compounds from the study plant and in the Metlin database. Based on spectral similarities with fragments predicted with online databases such as Metlin and the available literature data, putative assignments were acquired, and identifications were adopted when no data base or literature was found [31,32,33].
2.9. Determination of Color Analysis Using Spectroscopy
The color of the dried leaf powder was assessed using a CM 600D spectrophotometer (Minolta, Osaka, Japa) [34]. Fresh V. sinaiticum leaves had values for L* = 55.89, a* = −5.92 and b* = 17.62, respectively, and was comparable with other reports. The CIE L*a*b*color space was used to calculate the leaf color.
where “0” color reading denotes a control (fresh samples), and “L ref”, “a ref”, and “b ref” are the reference/control of fresh values for lightness, redness, and yellowness, respectively, while “E” is the total color difference
2.10. Statistical Analysis
Statistical analysis was conducted using JMP PRO17 (Stat-Ease, Inc., Minneapolis, MN, USA) software. The analysis of variance (ANOVA) with Tukey’s test was used at a significance level of p < 0.05. The results were presented as the mean value ± standard deviation.
3. Results
3.1. Extraction Yield, Total Phenolic, Total Flavonoids, Antioxidant Capacity and Correlation
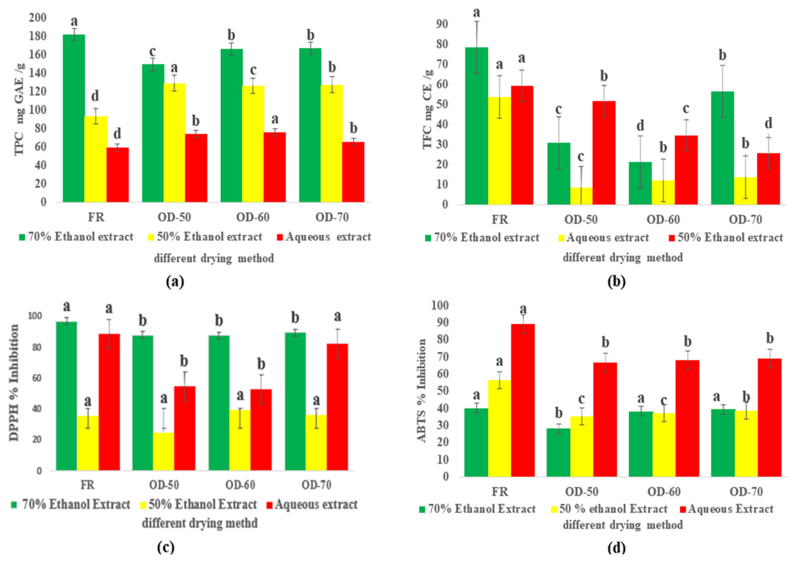
The results showed that extraction solvents significantly affected the extraction yield of V. sinaiticum (p ˂ 0.05) (Table 1). The extract yields ranged from 18.47% to 25.85%. The freeze-dried sample provided the highest yield when extracted using 70% ethanol, while the lowest yield (18.1%) was found with 50% ethanol (Table 1). The highest total phenolic content (TPC) and flavonoid content (TFC) were found in the freeze-dried sample, extracted using 70% ethanol (181.73 mg GAE/g dw and 78.57 mg CE/g dw, respectively) (Figure 1).
Table 1.
Impact of different drying methods and extraction solvent on extract yield (%).
Figure 1.
Impacts of various extraction methods on TPC, TFC, and antioxidant activities. (a) Total phenolic content; (b) total flavonoid content; (c) DPPH radical scavenging capacity; (d) ABTS radical scavenging capacity; OD-50/60/70; oven dryer at 50 °C, 60 °C and 70 °C; FR: freeze dryer; GAE: gallic acid equivalent; CE: catechin equivalent. The triplicate mean values of columns with different superscript letters are significantly different (Tukey test; p ˂ 0.05).
The highest antioxidant capacity was found in the DPPH test with 70% ethanol extraction using a freeze dryer, resulting in a value of 97.05 µg/mL, and an oven dryer at 70 °C, with a value of 89.44 µg/mL. In contrast, the ABTS+ assay showed that the freeze dryer and oven dryer at 70 °C exhibited better antioxidant capacity compared to the other oven drying methods.
The provided data are a correlation matrix that offers information about the relationships between these four variables: TPC (total phenolic content), TFC (total flavonoid content), DPPH (a measure of antioxidant capacity using the DPPH radical scavenging assay), and ABTS (a measure of antioxidant capacity using the ABTS radical scavenging assay). The correlation between TPC and TFC is 0.7512, indicating a moderate positive correlation. This suggests that, as the total phenolic content increases, the total flavonoid content also tends to increase. The correlation between TPC and DPPH is 0.8272, indicating a strong positive correlation. This suggests that higher total phenolic content is associated with higher antioxidant capacity as measured by the DPPH assay. The correlation between TPC and ABTS is 0.8933, also indicating a strong positive correlation. This suggests that higher total phenolic content is associated with higher antioxidant capacity as measured by the ABTS assay.
The correlation between TFC and DPPH is 0.9082, indicating a very strong positive correlation. This suggests that higher total flavonoid content is strongly associated with higher antioxidant capacity as measured by the DPPH assay. The correlation between TFC and ABTS is 0.5327, indicating a moderate positive correlation. This suggests that higher total flavonoid content is associated with higher antioxidant capacity as measured by the ABTS assay, although the relationship is not as strong as that with DPPH.
The correlation between DPPH and ABTS is 0.5061, indicating a moderate positive correlation. This suggests that higher antioxidant capacity as measured by the DPPH assay and tends to be associated with higher antioxidant capacity as measured by the ABTS assay. Overall, all variables are positively correlated with each other to varying degrees, indicating that as one variable increases, the others also tend to increase. The strongest correlations are between TFC and DPPH (0.9082), followed by TPC and ABTS (0.8933) and TPC and DPPH (0.8272). These relationships suggest that phenolic and flavonoid contents are strongly associated with antioxidant capacities as measured by both DPPH and ABTS assays (Table 2).
Table 2.
Correlation of bioactive compounds and antioxidant capacity.
3.2. Color
Color measurements for both dried and fresh V. sinaiticum leaves are shown in Table 3. Fresh V. sinaiticum leaves had L* = 55.89, a* = −5.92, and b* = 17.62, which are comparable with values reported in other studies [34,35,36,37]. All drying methods resulted in an increase in brightness (L*), indicating that dried leaves exhibited a brighter color compared to fresh samples. The freeze-dried leaves showed higher lightness and yellowness, as well as lower a* values compared to leaves dried in an oven at 50 °C and 60 °C.
Table 3.
Effects of drying methods on the color of V. sinaiticum leaves.
3.3. Identification of Functional Groups
The FTIR analysis illustrated the functional groups present and those lost after drying, as shown in Figure 2. Fresh and dried V. sinaiticum leaves analyzed using FTIR revealed wave numbers (cm−1) with absorbance peaks at 3345 (OH or N-H), 2916 (C-H), 2849 (C-H), 1600 (C=C), 1241 (C-O of acid), and 1030 (C-O of alcohol or phenol), with varying concentrations. The variations in the transmittance of the absorption spectra of fresh V. sinaiticum leaves and samples subjected to drying demonstrated the distinct impact of temperature on the accumulation of biochemicals, as shown in Figure 2, particularly in the oven-dried sample at 70 °C where functional groups were detected.
Figure 2.
FTIR analysis of functional groups found in fresh and dried samples of V. sinaiticum leaves. WN cm−1: wave number; TR %: percentage of transmittance; F: fresh leave; OD@ 50/60/70 °C: oven dryer at 50 °C, 60 °C and 70 °C; FR: freeze dryer.
3.4. Phytochemical Profiling of the Bioactive Extract
Phytochemicals present in the 70% ethanolic extract of V. sinaiticum leaves were separated and detected using an Agilent 1290 series UHPLC-ESI-QTOF-MS/MS system (Figure 3). A total of 29 metabolites were tentatively identified from the plant extract in positive ionization mode, as shown in Table 4. These compounds are listed along with their retention time, molecular formula, molecular ion m/z in positive ion mode (M ± H), or others and compound assignment.
Figure 3.
LC-MS chromatograms of the ethanolic extract of V. sinaiticum leaves.
Table 4.
Metabolites identified in the 70% ethanol extract of V. sinaiticum leaves using UHPLC-ESI-QTOF-MS/MS.
4. Discussion
4.1. Effects of Extraction Conditions on the Extract Solvents on Yield, TPC, and TFC
The extract yields varied significantly (p < 0.05) depending on the drying conditions and extracting solvents. The highest yield (24.82%) was obtained from freeze-dried leaves extracted with 70% ethanol, followed by yields of 24.80% and 24.10% from freeze-dried leaves and oven-dried leaves at 60 °C, respectively, using 70% and 50% ethanol. The lowest yield was observed in oven-dried leaves at 50 °C using an aqueous solvent (18.77%) and extraction with 50% ethanol. These results showed higher extract yields compared to two previous studies (18.13% from aqueous and 13.09% from methanol extracts of V. sinaiticum leaves). A similar trend was reported by Yeabyo et al. [20], where V. sinaiticum root ethanol extract yielded the most, followed by acetone, chloroform, and diethyl ether extracts. This suggests that V. sinaiticum leaves yield the most when extracted with slightly polar solvents like ethanol. To enhance extract yield, a combination of alcohol and water may be used [3].
The total phenolic content (TPC) from the freeze-dried sample was higher (181.93 mg GAE/g dw) compared to the oven-dried samples (Figure 1). The lowest TPC was found in the aqueous extract (63.13 mg GAE/g dw), which is higher than previous studies using methanol (167.95 mg GAE/g dw) [9] and water (51.3–71.1 mg GAE/g dw) [24]. The highest total flavonoid content (TFC) was found in the 70% ethanol extract dried using a freeze dryer (78.57 mg CE/g dw), which exceeded previous studies (16.8 mg QE/100 g) [9]. Differences in extracting solvents can account for the variation in the TFC across similar plant species [24]. The use of different solvents can significantly impact TPC and TFC due to variations in solvent polarity, suggesting that 70% ethanol is a more efficient extraction solvent compared to 50% ethanol and aqueous solutions [3,24,27].
4.2. Effects of Drying Methods and Extraction Solvent on Antioxidant Capacity
The DPPH radical scavenging activities of the 70% ethanol extract were observed in the following decreasing order: freeze-dried > oven-dried at 50 °C > oven-dried at 70 °C > oven-dried at 60 °C. This indicates that drying conditions impact antioxidant capacity, consistent with the findings of Dadi et al. and Anwar et al. [3,8], who also reported the highest antioxidant capacity in freeze-dried extracts. The antioxidant capacity was also influenced by extraction solvents. The 70% ethanol extract showed the highest radical scavenging activity (32.4 µg/mL) compared to aqueous and 50% ethanol solvents [3,29]. These findings demonstrate the significant impact of extraction methods on the antioxidant capacities of extracts. The current results align with previous studies by Dadi et al. [3], showing DPPH (32.43 µg/mL) and ABTS (13.11 µg/mL) assays indicate that 70% ethanol is the superior solvent for extracting compounds with high antioxidant capacity. The ABTS antioxidant capacity results followed a similar trend to DPPH (Figure 1), showing significant differences among extracts based on drying methods and solvents (Figure 1). The lowest IC50 value (17.67 µg/mL) was recorded for the 70% ethanol extract dried using a freeze dryer, followed by oven drying at 70 °C and 60 °C (Figure 1). Overall, the aqueous extracts exhibited reduced antioxidant effects compared to other extraction solvents, which is in line with previous studies [3,8].
4.3. Effects of Drying Methods on Color of V. sinaiticum Leaves
Table 2 depicts the color values of fresh and dried V. sinaiticum leaves across freeze drying and oven drying at different temperature levels. The initial color values for fresh leaves were L* 56.20, a* −5.89, and b* 17.79. The lightness varied with drying conditions, which was lower at a high-drying temperature. The color difference (∆E), representing the overall color changes, is an indicator of a well-processed product with a minimal ∆E value [35]. All drying methods resulted an increased brightness (L*) and indicates that the dried leaves exhibited a brighter color compared to fresh samples. The freeze-dried leaves showed a higher lightness and yellowness, along with lower a* values compared to oven-dried leaves. The drying temperature significantly influenced a*, transitioned from −5.36 (at 50 °C) to −4.01 (at 70 °C), attributed to non-enzymatic browning reactions causing the samples to appear less greenish [34,35,37]. The lowering of the biological activity of the leaves may be connected to the degradation of several bioactive chemicals in the leaf tissues [34,35,36]. According to previous studies, the main cause of color degradation during drying is severe browning reactions (Maillard). Additionally, it has been reported that the loss of green color may potentially be a result of chlorophyll breakdown in leaf cells brought by high temperature [38]. Freeze dried leaves showed lower changes in the L* value, resulting in similar ∆E values compared to oven-drying methods. This aligns with a previous study, ref. [35] emphasizing freeze drying’s ability to counter color deterioration and produce superior quality. The chroma of the dried product exhibited minor changes in saturation, with increased brightness after drying. This result was revealed, particularly in freeze drying where drying occurred under countered color deterioration, producing superior quality compared to other drying conditions.
4.4. Effects of Drying Type on Functional Active Compounds
The FTIR spectra were analyzed to identify the chemical structure of active compounds involved in the radical scavenging activities (phenolic and flavonoid) and the effects of different drying conditions (Figure 2). The dried samples showed some intensity differences compared to each other. Theoretically, the intensity of the freeze-dried and oven-dried samples at 50 and 60 °C were better than that of oven drying at 70 °C. The sample treated at 70 °C showed lower intensity of the [-OH] functional group that shows denaturation of the hydroxyl group in the sample. Oven drying of has little effect on the samples’ composition, which showed the same FTIR frequencies and intensities. The overall results showed that freeze-drying methods had no significant effects on the level of the [-OH] functional group containing metabolites such as phenolic compounds.
4.5. Metabolite Profile of V. sinaiticum by UHPLC-ESI-QTOF-MS/MS
The metabolite profiling using UHPLC-MS/ESI/QTOF revealed the detection of hundreds of phytochemicals in the 70% ethanol extract of V. sinaiticum using the MS fragmentations of proposed compounds. The Metlin record and relevant information were previously reported in references [3,12,14]. Figure 3 shows the LC-MS chromatogram profile of the isolated compounds detected in the positive ion mode from V. sinaiticum leaf hydroalcoholic extract, as listed in Table 4. Most of the characterized compounds in this metabolic analysis were categorized as alkaloids, carbohydrates/glycosides, terpenoids/fatty acids/steroids, and phenolic/flavonoids.
Peak 1 appeared at retention time (RT) 2.992 min, with protonated molecular ion [M + H]− at m/z 828.2747 being identified as verbascose (C30H52O26), a carbohydrate. The detected fragment ion, [M + H]+-; m/z 667.21, at RT 3.002 min matches to Peak 2, and it was assigned to an oligosaccharide sesamose (C24H42O21). The third component at RT 3.075 min exhibited a molecular ion ([M + NH4]+- at m/z 522.2, and it was recognized as umbelliferose (C18H32O16), a trisaccharide. The peak at RT 6.558 min with protonated molecular ion ([M + H]+- at m/z 163.039 was identified as the known compound umbelliferone (C9H6O3).
Peak 4 observed at RT 3.945 min, with molecular ion [M + Na]+- at m/z 385.089, was detected as a flavonoid 5,7,3′-trihydroxy-6,4′,5′-trimethoxyflavanone (C18H18O8). The peak at RT 5.482 min in the LC-MS chromatogram with protonated molecular ion [M + H] +- at m/z 625.1 was assigned to kaempferol 3-glucuronide-7-glucoside. Peak 8 attributed by the RT 10.546 min with molecular ion [M + H]+- at m/z 611.2 was identified as myricetin 3-rhamnosyl-(1->2)-rhamnoside (C27H30O16), whereas peak 9 detected at RT 10.645 min ([M + H]+-; m/z 459.2) was assigned as 7-hydroxy-5,4′-dimethoxy-8-methylisoflavone 7-O-rhamnoside (C24H26O9). Peak 10 (RT 11.049 min; [M + H]+- at m/z 625.2) was also assigned to the phenylethanoid glycoside, named as verbascoside (C29H36O15). The chromatographic peak observed at RT 11.694 min, presented a protonated molecular ion [M + H]+- at m/z 493.2, was detected as 4,2′-dihydroxy-3,4′,6′-trimethoxychalcone 4-glucoside (C24H28O11). The peak with RT 12.864 min ([M + NH4]+- at m/z 656.3) was assigned to 4′-hydroxy-5,7,2′-trimethoxyflavanone 4′-rhamnosyl-(1->6)-glucoside (C30H38O15). The two identified flavonoid compounds 7,2′-dihydroxy-4′-methoxy-isoflavanol (C16H16O5) and α-,4,2′-trihydroxy-4-O-geranyldihydrochalcone (C24H28O5) showed a molecular ion [M + H]+- at m/z 289.1 (RT 13.02 min) and [M + NH4]+- at m/z 414.2276 (RT 17.089 min), respectively. Peak 21 attributed to a molecular ion [M + Na]+- at m/z 643.1 (RT 29.568 min) was also identified as apigenin 7-(3″-acetyl-6″-E-p-coumaroylglucoside) (C32H28O13). The signal at RT 34.171 min (peak 26), having molecular ion ([M + H]+-) at m/z 645.2, was detected as 4′-O-methylneobavaisoflavone 7-O-(2″-p-coumaroylglucoside) (C36H36O11).
Peak 17 ([M + NH4]+-; m/z 438.3 at RT 16.905 min) was detected as 6′β-Hydroxylovastatin (C24H36O6). The peak at RT 34.629 min was identified as cucurbitacin S (C30H42O6). It has a molecular ion ([M + NH4]+-) at m/z 516.333. The peak detected at RT 43.325 min (Peak 29), attributed by protonated molecular ion [M + H]+- at m/z 203.0, was detected as 6-hydroxyangelicin (C11H6O4).
The chromatographic signal (Peak 7) at RT 8.294 min, presented as the molecular ion [M + H]+- at m/z 291.0865, was identified as catechin (C15H14O6), flavanol, whereas peak 12 observed at RT 12.391 min with fragment ion [M + NH4]+- with m/z 612.1 was assigned to catechin 7,4′-di-O-gallate (C29H22O14). In the course of this study, a polyphenolic compound was identified as proanthocyanidin A2 (C30H24O12) at peak 23 (RT 30.172 min) with protonated molecular ion [M + H]+- at m/z 577.1.
Peak 24 observed at RT 32.06 min, presented as the molecular ion [M + H]+- at m/z 192.1386, was assigned to the alkaloid 2,3,4-trimethyl-5-phenyloxazolidine (C12H17NO), and the peak found at RT 35.82 min, with protonated molecular ion [M + H]+- at m/z 356.1205, was assigned to chondrosine (C12H21NO11).
Fatty acids and derivatives such as 2-amino-hexadecanoic acid ([M + NH4]+-; m/z 289.3), 15,16-dihydroxy-octadecanoic acid ([M + NH4]+-; m/z 334.3), 13,14-dihydroxy-docosanoic acid ([M + NH4]+-; m/z 390.4), 3,7-octadecadiynoic acid ([M + H]+-; m/z 277.2), pentadecyl oleate ([M + NH4]+-; m/z 482.5), and 8Z,10E-tetradecadienyl acetate ([M + NH4]+-; m/z 270.2432) were detected at RT 15.322 min (peak 15), RT 15.698 min (peak 16), RT 18.994 min (peak 19), RT 27.542 min (peak 20), RT 29.77 min (peak 22), and RT 33.581 min (peak 25), respectively.
The major contributors to the antioxidant capacity of the plant extract are compounds categorized under polar phenolics such as flavonoids, phenolic acids, and tannins. These compounds are isolated using 70% ethanol (Table 4). Among the identified polar metabolites in the crude extract, catechin and coumaric acids have a positive correlation with radical scavenging capacity. The detection of catechin and its derivatives, such as catechin 7,4′-di-O-gallate and proanthocyanidin A2, as well as coumaric acid analogues including apigenin 7-(3″-acetyl-6″-E-p-coumaroylglucoside) and 4′-O-methylneobavaisoflavone 7-O-(2″-p-coumaroylglucoside), confirms the recorded proton scavenging potential of the hydroethanolic (70%) extract of V. sinaiticum leaves dried using a freeze dryer. The presence of flavonoids such as chalcone, flavonols, myricetin, and kaempferol derivatives in the plant extract also contributes to the total phenolic content of the extract and enhances its hydrogen atom-donating ability. This result may explain the widespread use of the plant in pharmaceutical and cosmetic preparations for its antioxidant capacity.
In this metabolic profile, there are numerous phenolic compounds including isoflavanol, isoflavanones, and coumarin, along with fatty acids and alkaloids which are responsible for the observed antioxidant capacity of the plant extract under study. Reports in the literature show that herbal extracts possessing high TPC and TFC exhibited high antioxidant effects [38,39].
5. Conclusions
The results of this study demonstrated that the choice of extraction solvents and drying methods significantly impacted the bioactive content and antioxidant capacity of V. sinaiticum leaf extract. Notably, 70% ethanol was the preferred solvent for improving extraction efficiency in V. sinaiticum leaves. Freeze drying was found to be the best method in terms of enhancing phenolic and flavonoid content, as well as antioxidant capacity. The color difference (∆E) indicated a significant change after drying, with freeze-dried samples producing leaves with promising color properties. The freeze-dried and oven-dried samples at 50 °C and 60 °C exhibited higher intensity than those dried at 70 °C. The strongest correlations observed were between total flavonoid content (TFC) and DPPH radical scavenging activity (0.9082), followed by total phenolic content (TPC) and ABTS assays (0.8933) and TPC and DPPH (0.8272). These relationships suggest that phenolic and flavonoid contents are strongly associated with antioxidant capacities measured by both DPPH and ABTS assays. The freeze-dried samples showed a better metabolite composition, while oven drying negatively impacted the phenolic groups due to thermal degradation. The phenolic compounds (14) detected, along with alkaloids and fatty acids in the ethanol extract, as identified using UHPLC-ESI-QTOF-MS/MS analysis, supported its observed antioxidant capacity. Overall, V. sinaiticum leaves demonstrated significant phenolic and flavonoid content and antioxidant capacity, suggesting potential applications in the pharmaceutical and nutraceutical industries.
Author Contributions
A.B.L.: worked on the entire study; S.A.E.: review and editing, supervision; W.B.Y.: review and editing, resources, supervision; D.W.D.: review and editing; M.G.T.: review and editing; T.M.O.: review and editing. All authors have read and agreed to the published version of the manuscript.
Funding
This research was supported by the Basic Science Research Program through the National Research Foundation of Korea (NRF), which is funded by the Ministry of Education (2018R1D1A3B06042501) (grant number NRF-2020-D-G035-010104). This study was supported by the research grant of Kangwon National University in 2023.
Data Availability Statement
Data are available on request from the corresponding author.
Acknowledgments
The authors express gratitude to Debre Berhan University and Addis Ababa University for their financial support. Special thanks are extended to the Global Korean Scholarship 2023 for providing their support.
Conflicts of Interest
The authors declare no conflicts of interest.
Abbreviations
| ABTS | 2-azino-bis 3-ethylbenzeothiazoline-6-sulfonic acid diammonium salt |
| ACN | Acetonitrile |
| CE | Catechin Equivalent |
| DPPH | 2,2,-diphenyl-1-picrylhydrazyl |
| EtOH | Ethanol |
| F | Fresh leaves |
| FBD | Fluidized bed dryer |
| FR | freeze dryer |
| GAE | Gallic acid Equivalent |
| MC | moisture content |
| Mg CE/g D | Milligram Cathechin Equivalent Per gram Dry Extract |
| Mg GE/g D | Milligram Gallic Acid Equivalent Per gram Dry Extract |
| OD | Oven dryer: OD 50/60/70- at 50 °C, 60 °C and 70 °C |
| TFC | Total Flavonoid Content |
| TPC | Total Phenolic Content |
| UPHLC-QTOF MS/MS | ultra-high-performance liquid chromatography quadrupole time of flight mass spectroscopy |
| V. sinaiticum | Verbascum sinaiticum |
References
- Sepahpour, S.; Selamat, J.; Abdul Manap, M.Y.; Khatib, A.; Abdull Razis, A.F. Comparative analysis of chemical composition, antioxidant activity and quantitative characterization of some phenolic compounds in selected herbs and spices in different solvent extraction systems. Molecules 2018, 23, 402. [Google Scholar] [CrossRef] [PubMed]
- Shahbaz, F.; Akhter, N.; Shahid, M.; Riaz, M.; Anjum, F.; Hussain, F. Ultrasound assisted extraction and characterization of bioactives from Verbascum thapsus roots to evaluate their antioxidant and medicinal potential. Dose-Response 2022, 20, 15593258221097665. [Google Scholar] [CrossRef] [PubMed]
- Dadi, D.W.; Emire, S.A.; Hagos, A.D.; Assamo, F.T. Influences of different drying methods and extraction solvents on total phenolic and flavonoids, and antioxidant capacity of Moringa stenopetala leaves. J. Pharmacogn. Phytochem. 2018, 7, 962–967. [Google Scholar]
- Nguyen, V.T.; Van Vuong, Q.; Bowyer, M.C.; Van Altena, I.A.; Scarlett, C.J. Effects of different drying methods on bioactive compound yield and antioxidant capacity of Phyllanthus amarus. Dry. Technol. 2015, 33, 1006–1017. [Google Scholar] [CrossRef]
- Legesse, A.B.; Emire, S.A.; Tadesse, M.G.; Dadi, D.W.; Kassa, S.K.; Oyinloye, T.M.; Yoon, W.B. Optimization of Ultrasound-Assisted Extraction of Verbascum sinaiticum Leaves: Maximal Phenolic Yield and Antioxidant Capacity. Foods 2024, 13, 1255. [Google Scholar] [CrossRef] [PubMed]
- Azmir, J.; Zaidul, I.S.M.; Rahman, M.M.; Sharif, K.M.; Mohamed, A.; Sahena, F.; Jahurul, M.H.A.; Ghafoor, K.; Norulaini, N.A.N.; Omar, A.K.M. Techniques for extraction of bioactive compounds from plant materials: A review. J. Food Eng. 2013, 117, 426–436. [Google Scholar] [CrossRef]
- Rabeta, M.S.; Vithyia, M. Effect of different drying methods on the antioxidant properties of Vitex negundo Linn. tea. Int. Food Res. J. 2013, 20, 3171. [Google Scholar]
- Anwar, F.; Kalsoom, U.; Sultana, B.; Mushtaq, M.; Mehmood, T.; Arshad, H.A. Effect of drying method and extraction solvent on the total phenolics and antioxidant activity of cauliflower (Brassica oleracea L.) extracts. Int. Food Res. J. 2013, 20, 653. [Google Scholar]
- Lulseged, K.; Akele, M.Z.; Abiye, A.A.; Abebe, B.; Assefa Huluka, S. Wound healing and antioxidant properties of 80% methanol leaf extract of Verbascum sinaiticum (scrophulariaceae): An Ethiopian medicinal plant. Evid.-Based Complement. Altern. Med. 2022, 2022, 9836773. [Google Scholar] [CrossRef] [PubMed]
- Lulekal, E.; Asfaw, Z.; Kelbessa, E.; Van Damme, P. Ethnomedicinal study of plants used for human ailments in Ankober District, North Shewa Zone, Amhara region, Ethiopia. J. Ethnobiol. Ethnomed. 2013, 9, 63. [Google Scholar] [CrossRef]
- Mergia, E.; Shibeshi, W.; Terefe, G.; Teklehaymanot, T. Phytochemical screening and in vitro antitrypanosomal activity of aqueous and methanol leaf extract of Verbascum sinaiticum (scrophulariaceae) against trypanosoma congolense field isolate. Lab. Anim. 2014, 45, 46. [Google Scholar]
- Afifi, M.S.; Ahmed, M.M.; Pezzuto, J.M.; Kinghornt, A.D. Cytotoxic flavonolignans and flavones from Verbascum sinaiticum leaves. Phytochemistry 1993, 34, 839–841. [Google Scholar] [CrossRef]
- Bileflimi, V.T.K. Chemical constituents of Verbascum L. species. Fabad. J. Pharm. Sci. 2004, 29, 93–107. [Google Scholar]
- Gondal, H.Y.; Zamir, R.; Nisar, M.; Choudhary, M.I. Verbascum sinaiticum: A rich source of antioxidant phenylethanoid glycosides. Nat. Prod. J. 2020, 10, 158–162. [Google Scholar] [CrossRef]
- Mergia, E.; Shibeshi, W.; Terefe, G.; Teklehaymanot, T. Antitrypanosomal activity of Verbascum sinaiticum Benth. (Scrophulariaceae) against Trypanosoma congolense isolates. BMC Complement. Altern. Med. 2016, 16, 362. [Google Scholar] [CrossRef] [PubMed]
- Asefa, M.; Teshome, N.; Degu, A. Anti-inflammatory and analgesic activity of methanolic root extract of Verbascum sinaiticum benth. J. Inflamm. Res. 2022, 15, 6381–6392. [Google Scholar] [CrossRef] [PubMed]
- Geyesa, J.M.; Esho, T.B.; Legesse, B.A.; Wotango, A.S. Antibacterial and antioxidant potential analysis of Verbascum sinaiticum leaf extract and its synthesized silver nanoparticles. Heliyon 2024, 10, e24215. [Google Scholar] [CrossRef] [PubMed]
- Mihailović, V.; Kreft, S.; Benković, E.T.; Ivanović, N.; Stanković, M.S. Chemical profile, antioxidant activity and stability in stimulated gastrointestinal tract model system of three Verbascum species. Ind. Crops Prod. 2016, 89, 141–151. [Google Scholar] [CrossRef]
- Dereje, B.; Nardos, A.; Abdela, J.; Terefe, L.; Arega, M.; Yilma, T.M.; Tesfaye, T. Antidiabetic Activities of 80% Methanol Extract and Solvent Fractions of Verbascum sinaiticum Benth (Scrophulariaceae) Leaves in Mice. J. Exp. Pharmacol. 2023, 15, 423–436. [Google Scholar] [CrossRef] [PubMed]
- Yeabyo, S.; Zenebe Teka, M.; Gopalakrishnan, V.K.; Hagos, Z.; Krishna Chaithanya, K. Antibacterial activity of root extracts of Verbascum sinaiticum against multidrug-resistant Enterobacteriaceae family Gram-negative and two Gram-positive bacteria. Drug Invent. Today 2018, 10, 8. [Google Scholar]
- Kefalew, A.; Asfaw, Z.; Kelbessa, E. Ethnobotany of medicinal plants in Ada’a District, East Shewa Zone of Oromia regional state, Ethiopia. J. Ethnobiol. Ethnomed. 2015, 11, 25. [Google Scholar] [CrossRef] [PubMed]
- Teklehaymanot, T. Ethnobotanical study of knowledge and medicinal plants use by the people in Dek Island in Ethiopia. J. Ethnopharmacol. 2009, 124, 69–78. [Google Scholar] [CrossRef]
- Nigussie, D.; Davey, G.; Tufa, T.B.; Brewster, M.; Legesse, B.A.; Fekadu, A.; Makonnen, E. Antibacterial and antifungal activities of Ethiopian medicinal plants: A systematic review. Front. Pharmacol. 2021, 12, 633921. [Google Scholar] [CrossRef] [PubMed]
- Yagi, S.; Nilofar, N.; Uba, A.I.; Caprioli, G.; Mustafa, A.M.; Angeloni, S.; Koyuncu, I.; Seker, F.; Polat, R.; Supti, S.J.; et al. Elucidating the chemical profile and biological studies of Verbascum diversifolium Hochst. extracts. Front. Pharmacol. 2024, 15, 1333865. [Google Scholar] [CrossRef]
- Tegegn, G.; Melaku, Y.; Aliye, M.; Abebe, A.; Abdissa, N.; Meresa, A.; Degu, S.; Hunsen, M.; Hussein, A.A.; Endale, M. In vitro antimicrobial and antioxidant activities, essential oil composition, and in silico molecular modeling analysis of secondary metabolites from roots of Verbascum sinaiticum. Z. Naturforsch. C 2024, 79. [Google Scholar] [CrossRef] [PubMed]
- Singleton, V.L.; Orthofer, R.; Lamuela-Raventós, R.M. Analysis of total phenols and other oxidation substrates and antioxidants by means of folin-ciocalteu reagent. Methods Enzymol. 1999, 299, 152–178. [Google Scholar]
- Wen, Y.; Liu, M.; Mai, X. Optimisation of ultrasonic-assisted extraction and biological activity of total flavonoids from leaves of using response surface methodology. Folia Hortic. 2023, 35, 135–148. [Google Scholar] [CrossRef]
- Brand-Williams, W. Use of a free radical method to evaluate antioxidant activity. Food Sci. Technol 1999, 28, 1231–1237. [Google Scholar] [CrossRef]
- Floegel, A.; Kim, D.O.; Chung, S.J.; Koo, S.I.; Chun, O.K. Comparison of ABTS/DPPH assays to measure antioxidant capacity in popular antioxidant-rich US foods. J. Food Compos. Anal. 2011, 24, 1043–1048. [Google Scholar] [CrossRef]
- Dudonne, S.; Vitrac, X.; Coutiere, P.; Woillez, M.; Mérillon, J.M. Comparative study of antioxidant properties and total phenolic content of 30 plant extracts of industrial interest using DPPH, ABTS, FRAP, SOD, and ORAC assays. J. Agric. Food Chem. 2009, 57, 1768–1774. [Google Scholar] [CrossRef] [PubMed]
- Elshamy, S.; Handoussa, H.; El-Shazly, M.; Mohammed, E.D.; Kuhnert, N. Metabolomic profiling and quantification of polyphenols from leaves of seven Acacia species by UHPLC-QTOF-ESI-MS. Fitoterapia 2024, 172, 105741. [Google Scholar] [CrossRef] [PubMed]
- Kolniak-Ostek, J. Identification and quantification of polyphenolic compounds in ten pear cultivars by UPLC-PDA-Q/TOF-MS. J. Food Compos. Anal. 2016, 49, 65–77. [Google Scholar] [CrossRef]
- Idris, O.A.; Kerebba, N.; Horn, S.; Maboeta, M.S.; Pieters, R. Comparative phytochemistry using UPLC-ESI-QTOF-MS phenolic compounds profile of the water and aqueous ethanol extracts of Tagetes minuta and their cytotoxicity. S. Afr. J. Bot. 2024, 164, 50–65. [Google Scholar] [CrossRef]
- Wulf, D.M.; Wise, J.W. Measuring muscle color on beef carcasses using the L* a* b* color space. J. Anim. Sci. 1999, 77, 2418–2427. [Google Scholar] [CrossRef] [PubMed]
- Youssef, K.M.; Mokhtar, S.M. Effect of drying methods on the antioxidant capacity, color and phytochemicals of Portulaca oleracea L. leaves. J. Nutr. Food Sci. 2014, 4, 1. [Google Scholar] [CrossRef]
- Sarkhel, S.; Manvi, D.; Ct, R. Comparison of drying characteristics and quality of tender mulberry leaves (Morus alba) using five different drying methods. J. Med. Plants Stud. 2022, 10, 30–35. [Google Scholar] [CrossRef]
- Mohapatra, P.; Ray, A.; Jena, S.; Nayak, S.; Mohanty, S. Influence of various drying methods on physicochemical characteristics, antioxidant activity, and bioactive compounds in Centella asiatica L. leaves: A comparative study. Biotechnologia 2022, 103, 235. [Google Scholar] [CrossRef] [PubMed]
- Rengasamy, K.R.; Khan, H.; Gowrishankar, S.; Lagoa, R.J.; Mahomoodally, F.M.; Khan, Z.; Suroowan, S.; Tewari, D.; Zengin, G.; Hassan, S.T.; et al. The role of flavonoids in autoimmune diseases: Therapeutic updates. Pharmacol. Ther. 2019, 194, 107–131. [Google Scholar] [CrossRef]
- Sut, S.; Zengin, G.; Maggi, F.; Malagoli, M.; Dall’Acqua, S. Triterpene acid and phenolics from ancient apples of Friuli Venezia Giulia as nutraceutical ingredients: LC-MS study and in vitro activities. Molecules 2019, 24, 1109. [Google Scholar] [CrossRef] [PubMed]
Disclaimer/Publisher’s Note: The statements, opinions and data contained in all publications are solely those of the individual author(s) and contributor(s) and not of MDPI and/or the editor(s). MDPI and/or the editor(s) disclaim responsibility for any injury to people or property resulting from any ideas, methods, instructions or products referred to in the content. |
© 2024 by the authors. Licensee MDPI, Basel, Switzerland. This article is an open access article distributed under the terms and conditions of the Creative Commons Attribution (CC BY) license (https://creativecommons.org/licenses/by/4.0/).


