Enzymic Deactivation in Tender Coconut Water by Supercritical Carbon Dioxide
Abstract
1. Introduction
2. Material and Methods
2.1. Processing
2.1.1. Extraction of Tender Coconut Water
2.1.2. Treatment with SC-CO2
2.1.3. Factorial Design
2.2. Physicochemical, Enzymic, and Color Tests
2.2.1. Determination of pH and Soluble Solids
2.2.2. Enzymic Tests
2.2.3. Instrumental Color Analysis
- L*—lightness (0 to 100);
- a*— red (+60)/green (−60) coordinate;
- b*—yellow (+60)/blue (−60) coordinate;
- ΔL*—lightness variation;
- Δa*—red/green variation;
- Δb*—yellow/blue variation.
2.2.4. Statistical Analysis of Data
3. Results and Discussion
3.1. pH and Soluble Solids
3.2. Enzymic Assays
3.3. Instrumental Color Analysis
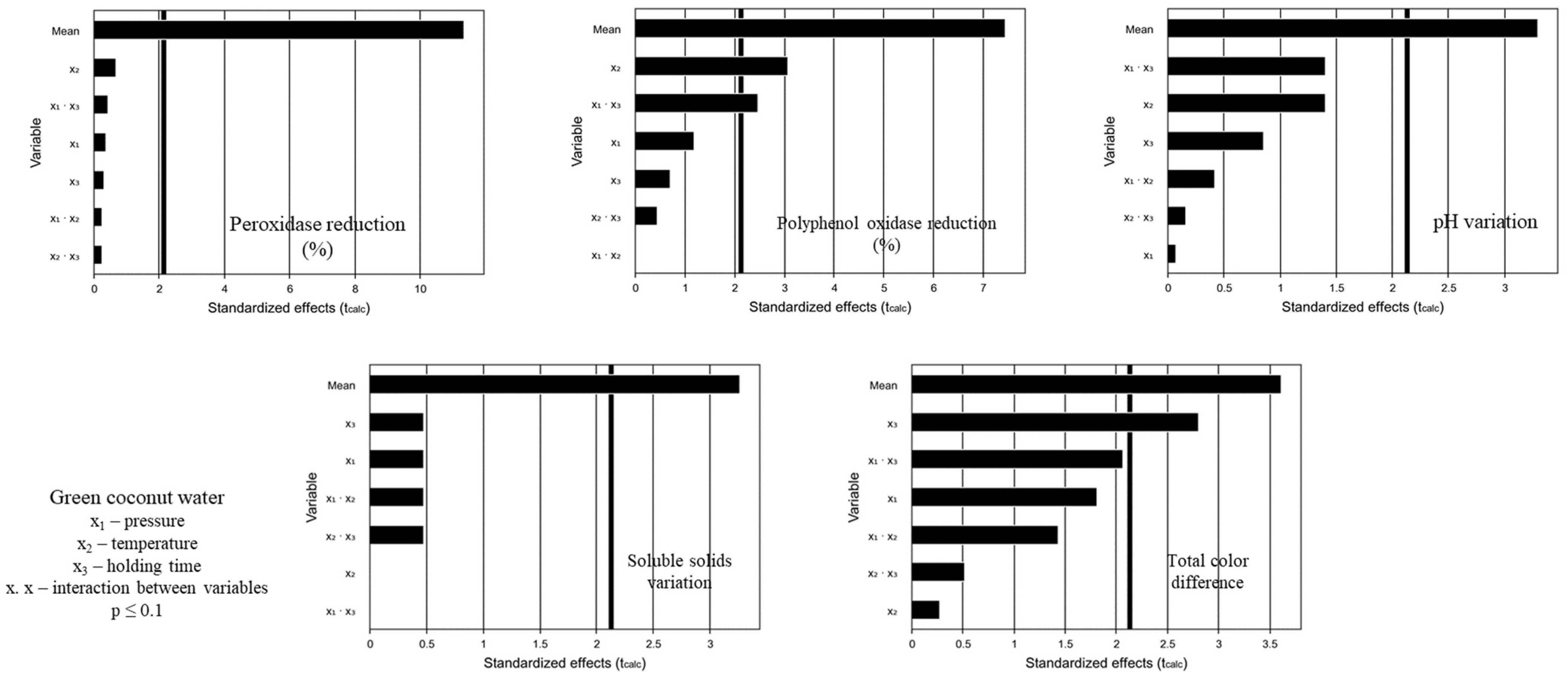
3.4. Statistical Analysis
4. Discussion
Author Contributions
Funding
Data Availability Statement
Conflicts of Interest
References
- Liu, S.; Yin, C.S. Coconut Handbook; Tetra Pak South East Asia Pte Ltd. Coconut Knowledge Centre: Singapore, 2016. [Google Scholar]
- Tan, T.C.; Easa, A.M. The evolution of physicochemical and microbiological properties of green and mature coconut water (Cocos nucifera) under different storage conditions. J. Food Meas. Charact. 2021, 15, 3523–3530. [Google Scholar] [CrossRef]
- Prithviraj, V.; Pandiselvam, R.; Babu, A.C.; Kothakota, A.; Manikantan, M.R.; Ramesh, S.V.; Beegum, P.S.; Mathew, A.C.; Hebbar, K.B. Emerging non-thermal processing techniques for preservation of tender coconut water. LWT 2021, 149, 111850. [Google Scholar] [CrossRef]
- Yu, T.; Niu, L.; Iwahashi, H. High-Pressure Carbon Dioxide Used for Pasteurization in Food Industry. Food Eng. Rev. 2020, 12, 364–380. [Google Scholar] [CrossRef]
- Murasaki-Aliberti, N.D.C.; Da Silva, R.M.; Gut, J.A.; Tadini, C.C. Thermal inactivation of polyphenoloxidase and peroxidase in green coconut (Cocos nucifera) water. Int. J. Food Sci. Technol. 2009, 44, 2662–2668. [Google Scholar] [CrossRef]
- De Marchi, F.; Aprea, E.; Endrizzi, I.; Charles, M.; Betta, E.; Corollaro, M.L.; Cappelletti, M.; Ferrentino, G.; Spilimbergo, S.; Gasperi, F. Effects of Pasteurization on Volatile Compounds and Sensory Properties of Coconut (Cocos nucifera L.) Water: Thermal vs. high-pressure carbon dioxide pasteurization. Food Bioprocess Technol. 2015, 8, 1393–1404. [Google Scholar] [CrossRef]
- Damar, S. Processing of Coconut Water with High Pressure Carbon Dioxide Technology. Ph.D. Thesis, University of Florida, Gainesville, FL, USA, 2006. [Google Scholar]
- Cappelletti, M.; Ferrentino, G.; Spilimbergo, S. Supercritical carbon dioxide combined with high power ultrasound: An effective method for the pasteurization of coconut water. J. Supercrit. Fluids 2014, 92, 257–263. [Google Scholar] [CrossRef]
- Cappelletti, M.; Ferrentino, G.; Endrizzi, I.; Aprea, E.; Betta, E.; Corollaro, M.L.; Charles, M.; Gasperi, F.; Spilimbergo, S. High Pressure Carbon Dioxide pasteurization of coconut water: A sport drink with high nutritional and sensory quality. J. Food Eng. 2015, 145, 73–81. [Google Scholar] [CrossRef]
- Chourio, A.M.; Salais-Fierro, F.; Mehmood, Z.; Martinez-Monteagudo, S.I.; Saldaña, M.D. Inactivation of peroxidase and polyphenoloxidase in coconut water using pressure-assisted thermal processing. Innov. Food Sci. Emerg. Technol. 2018, 49, 41–50. [Google Scholar] [CrossRef]
- Rajashri, K.; Rastogi, N.K.; Negi, P.S. Non-thermal Processing of Tender Coconut Water—A Review. Food Rev. Int. 2020, 38, 34–55. [Google Scholar] [CrossRef]
- Wimmer, Z.; Zarevúcka, M. A review on the effects of supercritical carbon dioxide on enzyme activity. Int. J. Mol. Sci. 2010, 11, 233–253. [Google Scholar] [CrossRef]
- Naik, M.; Sunil, C.K.; Rawson, A.; Venkatachalapathy, N. Tender Coconut Water: A review on recent advances in processing and preservation. Food Rev. Int. 2020, 38, 1215–1236. [Google Scholar] [CrossRef]
- Ma, Y.; Xu, L.; Wang, S.; Xu, Z.; Liao, X.; Cheng, Y. Comparison of the quality attributes of coconut waters by high—Pressure processing and high—Temperature short time during the refrigerated storage. Food Sci. Nutr. 2019, 7, 1512–1519. [Google Scholar] [CrossRef] [PubMed]
- Sapkale, G.N.; Patil, S.M.; Surwase, U.S.; Bhatbhage, P.K. Supercritical Fluid Extraction: A review. Int. J. Chem. Sci. 2010, 2, 729–743. [Google Scholar]
- Bertolini, F.M.; Morbiato, G.; Facco, P.; Marszałek, K.; Pérez-Esteve, É; Benedito, J.; Zambon, A.; Spilimbergo, S. Optimization of the supercritical CO2 pasteurization process for the preservation of high nutritional value of pomegranate juice. J. Supercrit. Fluids 2020, 164. [Google Scholar] [CrossRef]
- Machado, N.D.; Mosquera, J.E.; Martini, R.E.; Goñi, M.L.; Gañán, N.A. Supercritical CO2-assisted impregnation/deposition of polymeric materials with pharmaceutical, nutraceutical, and biomedical applications: A review (2015–2021). J. Supercrit. Fluids 2022, 191, 105763. [Google Scholar] [CrossRef]
- Pravallika, K.; Chakraborty, S.; Singhal, R.S. Supercritical drying of food products: An insightful review. J. Food Eng. 2023, 343, 111375. [Google Scholar] [CrossRef]
- Zorić, M.; Banožić, M.; Aladić, K.; Vladimir-Knežević, S.; Jokić, S. Supercritical CO2 extracts in cosmetic industry: Current status and future perspectives. Sustain. Chem. Pharm. 2022, 27, 100688. [Google Scholar] [CrossRef]
- Monhemi, H. Protein simulation in supercritical CO2: The challenge of force field. J. Mol. Liq. 2021, 343, 117662. [Google Scholar] [CrossRef]
- Sheikh, M.A.; Saini, C.S.; Sharma, H.K. Structural modification of plum (Prunus domestica L.) kernel protein isolate by supercritical carbon-dioxide treatment: Functional properties and in-vitro protein digestibility. Int. J. Biol. Macromol. 2023, 230, 123128. [Google Scholar] [CrossRef]
- Silva, E.K.; Meireles, M.A.A.; Saldaña, M.D. Supercritical carbon dioxide technology: A promising technique for the non-thermal processing of freshly fruit and vegetable juices. Trends Food Sci. Technol. 2020, 97, 381–390. [Google Scholar] [CrossRef]
- Jiménez-Sánchez, C.; Lozano-Sánchez, J.; Segura-Carretero, A.; Fernández-Gutiérrez, A. Alternatives to conventional thermal treatments in fruit-juice processing. Part 2: Effect on composition, phytochemical content, and physicochemical, rheological, and organoleptic properties of fruit juices. Crit. Rev. Food Sci. Nutr. 2017, 57, 637–652. [Google Scholar] [CrossRef] [PubMed]
- Rodrigues, M.I.; Iemma, A.F. Planejamento de Experimentos e Otimização de Processos: Uma Estratégia Sequencial de Planejamentos; Ilustrada; Casa do Pão: Campinas, Brazil, 2005; 326p. [Google Scholar]
- Rodrigues, M.I.; Iemma, A.F. Experimental Design and Process Optimization; Taylor and Francis Group: Boca Raton, FL, USA, 2015. [Google Scholar]
- Campos, C.F.; Souza, P.E.A.; Coelho, J.V.; Glória, M.B.A. Chemical composition, enzyme activity and effect of enzyme inactivation on flavor quality of green coconut water. J. Food Process. Preserv. 1996, 20, 487–500. [Google Scholar] [CrossRef]
- Konica Minolta. Precise Color Communication: Color Control from Perception to Instrumentation; Konica Minolta Sensing Inc.: Tokyo, Japan, 2007. [Google Scholar]
- Arruda, H.S.; Silva, E.K.; Pastore, G.M.; Marostica Junior, M.R. Non-Thermal Supercritical Carbon Dioxide Processing Retains the Quality Parameters and Improves the Kinetic Stability of an Araticum Beverage Enriched with Inulin-Type Dietary Fibers. Foods 2023, 12, 2595. [Google Scholar] [CrossRef]
- Tan, T.C.; Cheng, L.H.; Bhat, R.; Rusul, G.; Easa, A.M. Composition, physicochemical properties and thermal inactivation kinetics of polyphenol oxidase and peroxidase from coconut (Cocos nucifera) water obtained from immature, mature and overly-mature coconut. Food Chem. 2014, 142, 121–128. [Google Scholar] [CrossRef] [PubMed]
- Kuehni, R.G.; Marcus, R.T. An experiment in visual scaling of small color differences. Color Res. Appl. 1979, 4, 83–91. [Google Scholar] [CrossRef]
- Ruyter, I.E.; Nilner, K.; Moller, B. Color stability of veneers. Dent. Mater. 1987, 3, 246–251. [Google Scholar] [CrossRef]



| Variable | Code | −1.68 (−α) | −1 | 0 | +1 | +1.68 (+α) |
|---|---|---|---|---|---|---|
| P (bar) | x1 | 75 | 135 | 223 | 310 | 370 |
| T (°C) | x2 | 35 | 45 | 60 | 75 | 85 |
| t (min) | x3 | 13 | 20 | 30 | 40 | 47 |
| Test | Treatment | pH | Soluble Solids (°Brix) |
|---|---|---|---|
| 1 | Raw | 5.20 ± 0.03 | 5.7 ± 0.1 |
| 135 bar/45 °C/20 min | 4.96 ± 0.02 | 5.5 ± 0.1 | |
| ∆ | −0.23 | −0.2 | |
| 2 | Raw | 5.47 ± 0.01 | 6.6 ± 0.1 |
| 310 bar/45 °C/20 min | 5.17 ± 0.01 | 6.4 ± 0.1 | |
| ∆ | −0.31 | −0.2 | |
| 3 | Raw | 5.26 ± 0.02 | 5.1 ± 0.0 |
| 135 bar/75 °C/20 min | 4.99 ± 0.01 | 5.4 ± 0.1 | |
| ∆ | −0.27 | +0.3 | |
| 4 | Raw | 6.11 ± 0.01 | 5.9 ± 0.0 |
| 310 bar/75 °C/20 min | 5.41 ± 0.01 | 5.8 ± 0.00 | |
| ∆ | −0.70 | −0.1 | |
| 5 | Raw | 4.54 ± 0.01 | 5.3 ± 0.1 |
| 135 bar/45 °C/40 min | 4.49 ± 0.01 | 5.0 ± 0.1 | |
| ∆ | −0.05 | −0.3 | |
| 6 | Raw | 4.96 ± 0.01 | 5.7 ± 0.0 |
| 310 bar/45 °C/40 min | 4.82 ± 0.00 | 5.7 ± 0.0 | |
| ∆ | −0.14 | 0.0 | |
| 7 | Raw | 6.30 ± 0.01 | 4.0 ± 0.0 |
| 135 bar/75 °C/40 min | 5.66 ± 0.01 | 4.0 ± 0.1 | |
| ∆ | −0.64 | 0.0 | |
| 8 | Raw | 4.68 ± 0.01 | 6.0 ± 0.0 |
| 310 bar/75 °C/40 min | 4.60 ± 0.01 | 5.8 ± 0.1 | |
| ∆ | −0.09 | −0.2 | |
| 9 | Raw | 4.89 ± 0.01 | 5.0 ± 0.0 |
| 75 bar/60 °C/30 min | 4.84 ± 0.02 | 4.9 ± 0.1 | |
| ∆ | −0.06 | −0.1 | |
| 10 | Raw | 4.69 ± 0.01 | 6.1 ± 0.1 |
| 370 bar/60 °C/30 min | 4.64 ± 0.01 | 5.8 ± 0.0 | |
| ∆ | −0.04 | −0.3 | |
| 11 | Raw | 4.46 ± 0.01 | 5.1 ± 0.1 |
| 223 bar/35 °C/30 min | 4.40 ± 0.01 | 4.9 ± 0.1 | |
| ∆ | −0.06 | −0.2 | |
| 12 | Raw | 4.49 ± 0.01 | 5.3 ± 0.1 |
| 223 bar/ 85 °C/ 30 min | 4.46 ± 0.01 | 5.3 ± 0.1 | |
| ∆ | −0.02 | 0.0 | |
| 13 | Raw | 4.68 ± 0.02 | 5.3 ± 0.0 |
| 223 bar/60 °C/13 min | 4.63 ± 0.01 | 5.3 ± 0.1 | |
| ∆ | −0.05 | 0.0 | |
| 14 | Raw | 5.62 ± 0.02 | 6.1 ± 0.1 |
| 223 bar/60 °C/47 min | 5.25 ± 0.02 | 6.0 ± 0.0 | |
| ∆ | −0.36 | −0.1 | |
| 15 | Raw | 5.41 ± 0.01 | 6.2 ± 0.1 |
| 223 bar/60 °C/30 min | 5.24 ± 0.01 | 6.2 ± 0.1 | |
| ∆ | −0.17 | 0.0 | |
| 16 | Raw | 5.24 ± 0.01 | 5.6 ± 0.1 |
| 223 bar/60 °C/30 min | 5.19 ± 0.01 | 5.5 ± 0.1 | |
| ∆ | −0.05 | −0.1 | |
| 17 | Raw | 4.56 ± 0.02 | 4.8 ± 0.1 |
| 223 bar/60 °C/30 min | 4.53 ± 0.02 | 4.6 ± 0.1 | |
| ∆ | −0.03 | −0.2 |
| Trial | Treatment | PPO | POD |
|---|---|---|---|
| 1 | raw | 2.9 ± 0.1 | 65 ± 4 |
| 135 bar/45 °C/20 min | 1.7 ± 0.1 | 4 ± 1 | |
| red (%) | 41.8 | 93.5 | |
| 2 | raw | 2.3 ± 0.2 | 79 ± 3 |
| 310 bar/45 °C/20 min | 1.7 ± 0.2 | 8 ± 2 | |
| red (%) | 25.8 | 89.7 | |
| 3 | raw | 4.0 ± 0.3 | 59 ± 1 |
| 135 bar/75 °C/20 min | 0.02 ± 0.04 | 0.8 ± 0.1 | |
| red (%) | 99.4 | 98.7 | |
| 4 | raw | 2.20 ± 0.00 | 91 ± 3 |
| 310 bar/75 °C/20 min | 0.54 ± 0.02 | 0.90 ± 0.04 | |
| red (%) | 75.6 | 99.0 | |
| 5 | raw | 2.7 ± 0.4 | 45 ± 1 |
| 135 bar/45 °C/40 min | 2.6 ± 0.5 | 13.5 ± 0.7 | |
| red (%) | 3.7 | 69.8 | |
| 6 | raw | 2.7 ± 0.5 | 50 ± 3 |
| 310 bar/45 °C/40 min | 1.2 ± 0.5 | 3.1 ± 0.6 | |
| red (%) | 55.6 | 93.9 | |
| 7 | raw | 3.2 ± 0.7 | 99 ± 4 |
| 135 bar/75 °C/40 min | 1.9 ± 0.1 | 4 ± 1 | |
| red (%) | 40.1 | 96.3 | |
| 8 | raw | 2.4 ± 0.2 | 33 ± 4 |
| 310 bar/75 °C/40 min | 0.0 ± 0.0 | 0.3 ± 0.2 | |
| red (%) | 100 | 99.2 | |
| 9 | raw | 2.5 ± 0.2 | 58 ± 1 |
| 75 bar/60 °C/30 min | 1.3 ± 0.1 | 33 ± 5 | |
| red (%) | 46.2 | 43.4 | |
| 10 | raw | 1.7 ± 0.2 | 61.0 ± 0.5 |
| 370 bar/60 °C/30 min | 0.0 ± 0.0 | 0.0 ± 0.0 | |
| red (%) | 100 | 100 | |
| 11 | raw | 2.6 ± 0.2 | 41 ± 2 |
| 223 bar/35 °C/30 min | 0.40 ± 0.06 | 3.58 ± 0.04 | |
| red (%) | 84.5 | 91.2 | |
| 12 | raw | 2.0 ± 0.5 | 51 ± 3 |
| 223 bar/ 85 °C/ 30 min | 0.0 ± 0.0 | 0.0 ± 0.0 | |
| red (%) | 100 | 100 | |
| 13 | raw | 1.3 ± 0.2 | 23 ± 34 |
| 223 bar/60 °C/13 min | 0.0 ± 0.0 | 1.0 ± 0.7 | |
| red (%) | 100 | 95.7 | |
| 14 | raw | 6.6 ± 0.3 | 81.1 ± 0.7 |
| 223 bar/60 °C/47 min | 1.56 ± 0.08 | 14.5 ± 1.0 | |
| red (%) | 76.3 | 82.2 | |
| 15 | raw | 1.7 ± 0.2 | 52 ± 2 |
| 223 bar/60 °C/30 min | 1.3 ± 0.1 | 13 ± 1 | |
| red (%) | 20.8 | 75.1 | |
| 16 | raw | 0.8 ± 0.2 | 28 ± 3 |
| 223 bar/60 °C/30 min | 0.4 ± 0.2 | 12 ± 1 | |
| red (%) | 50.0 | 56.2 | |
| 17 | raw | 3.2 ± 0.5 | 43 ± 1 |
| 223 bar/60 °C/30 min | 2.5 ± 0.3 | 20 ± 2 | |
| red (%) | 21.9 | 53.6 |
| Trial | Treatment | L* | a* | b* | Chroma | °hue | Color |
|---|---|---|---|---|---|---|---|
| 1 | raw | 92.41 ± 0.02 | −0.08 ± 0.00 | −3.87 ± 0.02 | 3.87 | 268.82 | ![]() |
| 135 bar/45 °C/20 min | 91.12 ± 0.01 | −0.02 ± 0.00 | 0.25 ± 0.01 | 0.25 | 274.51 | ![]() | |
| 2 | raw | 93.16 ± 0.02 | 0.06 ± 0.00 | −5.18 ± 0.01 | 5.18 | 270.66 | ![]() |
| 310 bar/45 °C/20 min | 93.03 ± 0.01 | 0.03 ± 0.00 | −4.97 ± 0.01 | 4.97 | 270.35 | ![]() | |
| 3 | raw | 93.34 ± 0.03 | 0.26 ± 0.01 | −5.36 ± 0.02 | 5.37 | 272.74 | ![]() |
| 135 bar/75 °C/20 min | 91.8 ± 0.6 | 0.79 ± 0.01 | −4.01 ± 0.03 | 4.09 | 281.19 | ![]() | |
| 4 | raw | 93.62 ± 0.03 | 0.03 ± 0.01 | −5.55 ± 0.01 | 5.55 | 270.28 | ![]() |
| 310 bar/75 °C/20 min | 92.86 ± 0.01 | 0.03 ± 0.00 | −4.31 ± 0.01 | 4.31 | 270.40 | ![]() | |
| 5 | raw | 93.59 ± 0.01 | 0.17 ± 0.01 | −5.60 ± 0.01 | 5.60 | 271.77 | ![]() |
| 135 bar/45 °C/40 min | 93.49 ± 0.01 | 0.17 ± 0.00 | −5.43 ± 0.00 | 5.43 | 271.79 | ![]() | |
| 6 | raw | 93.5 ± 0.1 | 0.02 ± 0.00 | −5.79 ± 0.01 | 5.79 | 270.20 | ![]() |
| 310 bar/45 °C/40 min | 93.43 ± 0.01 | 0.05 ± 0.00 | −5.53 ± 0.01 | 5.53 | 270.52 | ![]() | |
| Trial | Treatment | L* | a* | b* | Chroma | °hue | Color |
| 7 | raw | 91.62 ± 0.05 | 0.00 ± 0.01 | −3.84 ± 0.02 | 3.84 | 269.95 | ![]() |
| 135 bar/75 °C/40 min | 91.57 ± 0.01 | −0.04 ± 0.00 | −3.55 ± 0.01 | 3.55 | 269.41 | ![]() | |
| 8 | raw | 93.56 ± 0.00 | 0.04 ± 0.01 | −5.61 ± 0.00 | 5.61 | 270.44 | ![]() |
| 310 bar/75 °C/40 min | 93.30 ± 0.01 | −0.04 ± 0.01 | −5.19 ± 0.00 | 5.19 | 269.56 | ![]() | |
| 9 | raw | 93.31 ± 0.01 | 0.02 ± 0.00 | −5.51 ± 0.01 | 5.51 | 270.21 | ![]() |
| 75 bar/60 °C/30 min | 93.22 ± 0.00 | −0.01 ± 0.00 | −5.37 ± 0.00 | 5.37 | 269.89 | ![]() | |
| 10 | raw | 93.07 ± 0.01 | 0.06 ± 0.00 | −5.43 ± 0.00 | 5.43 | 270.63 | ![]() |
| 370 bar/60 °C/30 min | 93.17 ± 0.00 | 0.02 ± 0.00 | −5.28 ± 0.00 | 5.28 | 270.22 | ![]() | |
| 11 | raw | 93.07 ± 0.01 | 0.02 ± 0.00 | −5.47 ± 0.00 | 5.47 | 270.21 | ![]() |
| 223 bar/35 °C/30 min | 92.91 ± 0.01 | 0.06 ± 0.01 | −5.23 ± 0.00 | 5.23 | 270.69 | ![]() | |
| 12 | raw | 93.32 ± 0.01 | −0.01 ± 0.00 | −5.58 ± 0.00 | 5.58 | 269.90 | ![]() |
| 223 bar/85 °C/30 min | 93.33 ± 0.01 | −0.14 ± 0.01 | −5.21 ± 0.00 | 5.21 | 268.50 | ![]() | |
| Trial | Treatment | L* | a* | b* | Chroma | °hue | Color |
| 13 | raw | 93.19 ± 0.01 | −0.01 ± 0.00 | −5.35 ± 0.00 | 5.35 | 269.89 | ![]() |
| 223 bar/60 °C/13 min | 93.00 ± 0.01 | −0.01 ± 0.01 | −5.56 ± 0.00 | 5.56 | 269.90 | ![]() | |
| 14 | raw | 91.93 ± 0.01 | 0.27 ± 0.00 | −1.95 ± 0.00 | 1.97 | 277.98 | ![]() |
| 223 bar/60 °C/47 min | 92.50 ± 0.01 | 0.03 ± 0.01 | −4.06 ± 0.00 | 4.06 | 270.42 | ![]() | |
| 15 | raw | 93.32 ± 0.01 | −0.15 ± 0.00 | −5.04 ± 0.00 | 5.05 | 268.30 | ![]() |
| 223 bar/60 °C/30 min | 92.84 ± 0.01 | −0.16 ± 0.01 | −4.95 ± 0.00 | 4.95 | 268.11 | ![]() | |
| 16 | raw | 92.52 ± 0.01 | 0.11 ± 0.00 | −6.40 ± 0.00 | 6.40 | 270.96 | ![]() |
| 223 bar/60 °C/30 min | 92.55 ± 0.01 | 0.00 ± 0.01 | −6.17 ± 0.00 | 6.17 | 270.03 | ![]() | |
| 17 | raw | 92.84 ± 0.01 | 0.09 ± 0.00 | −5.77 ± 0.00 | 5.77 | 270.89 | ![]() |
| 223 bar/60 °C/30 min | 92.75 ± 0.01 | 0.03 ± 0.01 | −5.57 ± 0.00 | 5.57 | 270.27 | ![]() |
Disclaimer/Publisher’s Note: The statements, opinions and data contained in all publications are solely those of the individual author(s) and contributor(s) and not of MDPI and/or the editor(s). MDPI and/or the editor(s) disclaim responsibility for any injury to people or property resulting from any ideas, methods, instructions or products referred to in the content. |
© 2024 by the authors. Licensee MDPI, Basel, Switzerland. This article is an open access article distributed under the terms and conditions of the Creative Commons Attribution (CC BY) license (https://creativecommons.org/licenses/by/4.0/).
Share and Cite
Poça D’Água, A.Z.; Silva, P.A.d.; Oliveira, A.L.d.; Petrus, R.R. Enzymic Deactivation in Tender Coconut Water by Supercritical Carbon Dioxide. Processes 2024, 12, 1071. https://doi.org/10.3390/pr12061071
Poça D’Água AZ, Silva PAd, Oliveira ALd, Petrus RR. Enzymic Deactivation in Tender Coconut Water by Supercritical Carbon Dioxide. Processes. 2024; 12(6):1071. https://doi.org/10.3390/pr12061071
Chicago/Turabian StylePoça D’Água, Alice Zinneck, Priscila Alves da Silva, Alessandra Lopes de Oliveira, and Rodrigo Rodrigues Petrus. 2024. "Enzymic Deactivation in Tender Coconut Water by Supercritical Carbon Dioxide" Processes 12, no. 6: 1071. https://doi.org/10.3390/pr12061071
APA StylePoça D’Água, A. Z., Silva, P. A. d., Oliveira, A. L. d., & Petrus, R. R. (2024). Enzymic Deactivation in Tender Coconut Water by Supercritical Carbon Dioxide. Processes, 12(6), 1071. https://doi.org/10.3390/pr12061071



































