Next Article in Journal
Electrochemical Characteristics of Microbial Fuel Cells Operating with Various Food Industry Wastewaters
Previous Article in Journal
Nirmatrelvir: From Discovery to Modern and Alternative Synthetic Approaches
 
 
Font Type:
Arial Georgia Verdana
Font Size:
Aa Aa Aa
Line Spacing:
Column Width:
Background:
Article

Application of Multi-Dimensional Hill Chart in the Condition Monitoring and Cost Estimation of the Francis Turbine Unit

1
Xinhua Hydropower Co., Ltd., Beijing 100704, China
2
PowerChina Renewable Energy Co., Ltd., Beijing 100101, China
3
Department of Energy and Power Engineering, Tsinghua University, Beijing 100084, China
*
Author to whom correspondence should be addressed.
Processes 2024, 12(6), 1243; https://doi.org/10.3390/pr12061243
Submission received: 2 May 2024 / Revised: 2 June 2024 / Accepted: 9 June 2024 / Published: 17 June 2024
(This article belongs to the Section Process Control and Monitoring)

Abstract

With a large-range-operation head, the Francis turbine unit is the most widely used type of hydraulic turbine in the world. The general range of the Francis turbine is 20–700 m. Because of this, the operating stability of the Francis turbine needs to be focused on. In this paper, a multi-dimensional hill chart is applied to a low-head Francis turbine unit to describe its vibration characteristics. Firstly, a field test was conducted on the unit in order to obtain vibration data under different operating conditions. Secondly, the condition indicators were calculated and extracted from the experimental data. Then, the condition indicators under different head values and outputs were fitted to form a multi-dimensional hill chart. In the end, the vibration characteristics of the researched low-head Francis turbine unit were analyzed based on the multi-dimensional hill chart.

1. Introduction

Francis turbine units are able to work under a head range between 20 and 700 m, which makes this type of turbine possible to be used for most middle-head hydraulic power plants, including those for pumped storage hydropower [1,2]. In order to satisfy the requirement of wide operating conditions, Francis turbine units are designed to give relatively high output. However, this kind of design increases the likelihood of occurrence of excessive pressure pulsation and vibration [3]. Excessive vibration decreases the remaining useful life for the turbine unit, which raises the cost of the power station [4]. Serious damage can cause accidents in the unit, threatening the safety of the operators. Because of the design of the Francis turbine runner, the factors causing obvious or strong vibration of the unit may not be easily eliminated [5]. On the other hand, the dispatch of the power grid focuses on the output of the power station rather than the unit. This policy allows the operators to have more flexibility to adjust the combination of multi-units. For example, the operators are allowed to decide to run three units with 80 MW each or two units with 120 MW, if the vibration intensity is allowed within that period. Therefore, keeping track of the vibration condition becomes much more important than before. To achieve this, an area is divided to avoid operating conditions with large vibrations and provide guidance for the safe, economical, and efficient operation of the power station. This is the conceptual significance of establishing a vibration zone [6]. There is no unified regulation on how to partition it. Therefore, it is necessary to study the principles of the vibration zone partition of hydropower units.
Numerous experimental studies have shown that there are three main factors causing unstable operation of large Francis turbines: hydraulic factors, electrical factors and mechanical factors [7,8,9]. Among them, hydraulic instability phenomena widely exist in Francis turbines, and they manifest themselves in various forms, such as draft tube vortex bands, partial load pressure pulsations, and hydraulic self-excited vibrations [10,11,12,13]. Hydraulic instability is an intrinsic factor in turbine stability problems and is also the root cause of other unstable manifestations. Since Francis turbine blades are fixed, they have good performance only near the area of designed conditions. If there is a deviation from the optimal operating conditions, there will be a hydraulic vibration zone. A large number of stability tests on hydroelectric generator units have shown that in this area, the unit operates with greater vibration, large shaft swing, unstable output, and low efficiency [14,15]. Long-term operation in this area may cause safety problems for the unit, so the unit should avoid operation in this area.
The draft tube vortex is an inevitable phenomenon under the partial load condition of the Francis turbine, and it is one of the most important reasons affecting the vibration of the turbine. Draft tube pressure pulsation is caused by draft tube vortices at partial load [16]. The generation of a draft tube vortex is also related to the guide vane opening. It occurs within the range of 40% to 70% or 30% to 80% of the optimal flow rate. Therefore, when the hydraulic turbine is operating at partial load (generally 40% to 75% of the full load), the vortex band will oscillate significantly due to the complex vortex motion in the draft tube. The strong vortex zone will cause the formation and expansion of fatigue damage zones in the metal and welds of the unit parts, causing cracks or even damage, which shortens the maintenance cycle [17]. Loose connecting parts will not only cause the breakage of these fasteners themselves, but also aggravate the vibration of the connected parts, causing them to be damaged quickly; the pulsating pressure of the water flow in the draft tube can cause cracks in the draft tube wall [18,19,20]. The consequences caused by resonance are more serious. The resonance of the unit equipment can destroy the entire unit and factory building.
There are several articles related to the division of operating areas mentioned above that are all improved in terms of the data feature extraction method, but from the perspective of data sources, the main basis is the unit stability test, which belongs to the conventional method of operating area division. Limited by time and space conditions, variable load tests can generally only be carried out with a small number of water heads and load conditions, which inevitably makes it difficult to cover all operating water heads in the final divided operating area, and the division results are relatively rough.
In this article, a multi-layer perceptron (MLP) is used for fitting the vibration feature of a low-head Francis turbine unit to form a multi-dimensional hill chart. The MLP shows good fitting performance, and the generated multi-dimensional hill charts are helpful for the operating regions.

2. Field Test

The field test was conducted on a low-head Francis turbine unit with an output of 46.16 MW in order to obtain vibration data under different operating conditions. The rated head of the unit is 54 m, and the other basic operation parameters are listed in Table 1.

2.1. Operating Condition Setup for Measurement

The researched machine was tested under the output (Pg) range of 0 MW to 48 MW under 5 different heads (H) from 53 m to 59 m. Under each head, 9 outputs were selected as the measurement points. Therefore, the operating conditions marked in Figure 1 were tested. Due to the limit of the head in a certain season, the heads shown in the figure were not all tested.

2.2. Field Test Set Up

The vibration of the bearing housing and displacement of the shaft were measured under different operating conditions. The pressure at different positions was also measured by pressure sensors. The positions and parameters of the sensors are listed in Table 2 and described in Figure 2. In each position, the vibration sensors and proximity probes were installed in 2 horizontal directions at a 90° angle. The data were collected with a sampling frequency of 4096 Hz. The flat frequency response range of the proximity probe was 0 to 1 kHz while the flat frequency response range of the used accelerometer was 0.5 Hz to 8 kHz.

3. Signal Process Methodology

The acceleration signal is integrated to a form velocity signal. The root mean square (RMS) value is calculated from the velocity signal to represent the absolute vibration of the bearing housing. According to the international standard [21], the frequency band of the absolute vibration of this type of machine should be between 1/3 of the rotation frequency (0.93 Hz) and 3 times the blade passing frequency (108.36 Hz), as shown in Figure 3. The figure shows that the rotating frequency (ff), the blade passing frequency, and 3 times the rotating frequency have high amplitude in the spectrum. Furthermore, the electromagnetic frequency of 88.7 Hz can also be seen in the spectrum.
The lower (f1) and upper (f2) limit of the frequency band [22] are defined in accordance with Equation (1):
f 1 = f f 3 = 166.7 60 × 3 = 0.93   Hz f 2 = 3 f b = 3 × 166.7 60 × 13 = 108.33   Hz
where ff is the rotating frequency of the machine, and fb represents the blade passing frequency, which equals ff times the number of blades [23].
The vibration level, Bv, of the selected band is calculated using Equation (2):
B v = X i 2 2
where Xi represents the vibration amplitude in the frequency band selected. The calculated frequency band level equals the power of the signal within the corresponding band range.
The relative displacement of the shaft, Bd, is calculated by the peak–peak value, as shown in Equation (3):
B d = m a x s i m i n s i
where si is the displacement with a 97.5% confidence interval.

4. Test Result Analysis

4.1. Pressure Variation with Head and Output

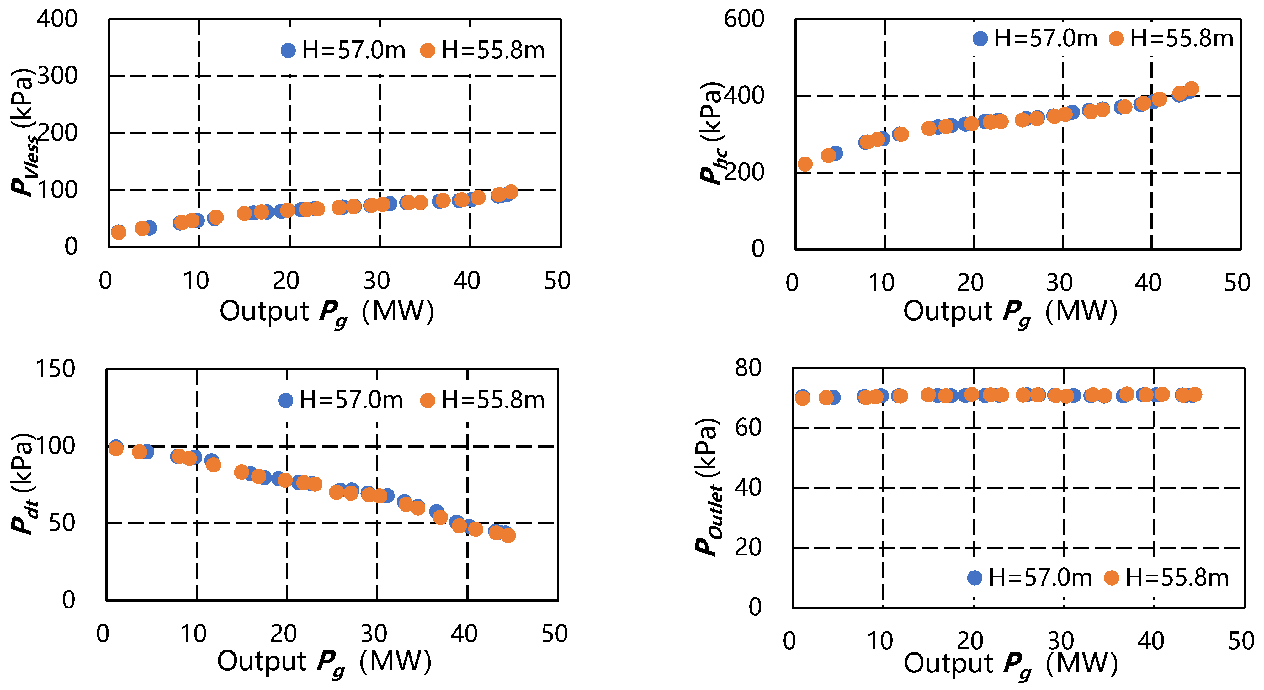
The pressure of each measurement position in the machine was calculated under different operating conditions. The variation in pressure at different pressure measurement points is displayed in Figure 4. Two heads were chosen to compare the variation rule of pressure under different heads. In this test, the level of the lower reservoir was kept constant. Therefore, the influencing factor of this part was the upper reservoir level. The pressure showed a clear change rule with output. The inlet pressure of the spiral casing decreased with the output as the discharge increased with the increase om the guide vane opening. The highest pressure was 634 kPa and the lowest pressure was 600 kPa. There are 2 ways to change the operating head: to change the level of the upper reservoir or the lower reservoir. In our case, the head was changed by changing the upper reservoir level. Therefore, the spiral casing inlet pressure under the head measuring 57 m was higher than the spiral casing inlet pressure under the head measuring 55.8 m. The pressure increased by 12 to 13 kPa, which is the same as the operating head difference. PSC represents the pressure at the end of the spiral casing. The pressure decreases with the increase in the output as the discharge increases. The difference between the two heads was 12 to 13 kPa, too.
The international standard ISO20816-5, “Mechanical vibration—Measurement and evaluation of machine vibration—Part 5: Machine sets in hydraulic power generating and pump-storage plants”, defines three vibration regions: A–B, C, and D, which correspond to different health states of the unit: the safe zone, limited operation zone, and forbidden zone [21]. These three zones are divided by action limits. The action limits are different between the operating areas of different types of units. By investigating the absolute vibration amounts and relative displacement values of the main shafts of 7000 hydroelectric generator sets around the world, the International Standard Organization (ISO) suggested the vibration limit for different types of hydroturbine units. For vertical units whose normal operating speed is 60–1800 r/min, the boundary values shown in Table 3 were formulated:
In this research, the absolute vibration and relative displacement values were measured and the operating area was divided based on the above boundary values. In the measurement result charts, the blue solid line represents limit value 1 of the corresponding measuring point, and the red solid line represents limit value 2 of the corresponding measuring point.
Acceleration sensors were used to measure the absolute vibration of the bearing. The root mean square velocity, vrms, under various operating conditions at different measurement points is shown in Figure 5. When the unit goes from no-load to rated output, the vibration level rises during part load, then falls and rises again under full-load conditions. The maximum vibration occurs at around 12 MW, and the minimum vibration occurs at around 40 MW. When the unit enters overload, the vibration increases slightly. The vibration level of the upper frame is between 0.1 and 0.7 mm/s, with the maximum at around 15 MW. The vibration value exceeds action limit 1 (0.5 mm/s, marked with blue line) and enters Zone C. The vibration level of the lower bracket is the lowest, between 0.1 and 0.3 mm/s, which is below action limit 1 (0.5 mm/s), operating in Zone A–B. The vibration, vrms, value of the headcover is between 0.1 and 1.4 mm/s, and the vibration value exceeds the limit under the working condition of less than a 50% load. The absolute vibration values of the three measuring points are all lower than action limit 2 (0.8 mm/s, marked with red line). All measurement points are not operating in Zone D.
Since the gross head range of the unit is narrow, with a difference of 1.2 m, the vibration levels of the high head and low head are similar. The vibration of the unit under 30 MW at a high head is greater than that at a low head, and the vibration is most obvious in the lower and upper racks.
An eddy current sensor is used to measure the relative swing of the shaft. The swing peak value, Sp-p, under various working conditions at different measuring points is shown in Figure 6. When Unit 1 goes from no-load to rated output, the swing changes gradually decrease. However, the swing of the shaft at the down guide and water guide positions increases under the 50% load condition. The maximum swing appears at around 25 MW load, and the lowest swing is around 40 MW. As the unit enters overload, the swing value increases slightly. The shaft swing level at the lower guide is the lowest, between 100 and 180 μm. Under a 50% load, it exceeds the international-standard-recommended alarm value of 180 μm, but is far lower than the shutdown value of 280 μm; the spindle swing at the upper guide is between 150 and 250 μm. Below a 50% load, it exceeds the international-standard-recommended alarm value of 180 μm, but is far lower than the shutdown value of 280 μm; the water guide position axis swing value is between 90 and 160 μm, and slightly exceeds limit value 1 (180 μm, marked with blue line) under the 25 MW load condition. The relative swing amounts of the three measuring points are all lower than limit value 2 (250 μm, marked with red line), that is, they are not operating in Zone D.
The swing of the unit under a high water head is larger, which is more obvious in the lower and upper guides, but the changes in the swing peak, Sp-p, at the same measuring point at the high and low heads are consistent.
The X-direction pressure pulsation at the end of the volute, draft tube inlet, draft tube outlet, bladeless area, top cover, and draft tube straight cone section of Unit 4 was measured, and the peak value, Pp-p, of the pressure pulsation under each working condition was extracted. The peak-to-peak value of the pressure pulsation, Pp-p, under each working condition at different measuring points is shown in Figure 7.
For ease of comparison, the Y axis range of the pressure pulsation amplitude chart is unified to 0~60 kPa. The pressure pulsation amplitude, Pp-p, is the largest at the end of the volute and in the bladeless area. The random group output variation pattern of the pressure pulsation amplitude shows obvious bimodal characteristics, with its maximum values appearing around 10 MW and 28 MW. The peak-to-peak pressure pulsations in the bladeless area, draft tube inlet, draft tube straight cone section, and draft tube outlet are all lower than 10 kPa.
The water head has little effect on the peak value of pressure pulsation.

4.2. Multi-Dimensional Hill Chart

In Section 4.1, the vibration characteristics are been compared between two different heads. In this section, the vibration indicators under different heads and guide vane openings are mapped via a multi-layer perceptron. As shown in Figure 8, the MLP is formed with one input layer, one output layer, and one hidden layer. In this case, the inputs are the output of the unit, while the output is the vibration indicators of the machine. The extracted vibration indicators under similar heads can be described by one continuous curve, so an MLP with one hidden layer is enough to describe the variation rule of each indicator [24]. The whole data of one indicator are formed by the head, guide vane opening, and vibration indicator. The head and guide vane opening are used as the input data, and the vibration indicator is used as the training target. All the samples are divided into a training set, validation set, and testing set. The training set occupies 70% of the amount of the data, while the validation and testing set each account for 15% of the data. For each indicator, the neural network is trained by the training set data. The validation set decides the time to stop the training, and the testing set is used to evaluate the training quality. The number of neurons in the hidden layer is optimized by comparing the fitting metric of different neural networks with different numbers of neutrons in the hidden layer. Because the curve of each indicator under the same head is relatively simple, the number of neurons used in the hidden layer is between 4 and 10. The fitting metric, R2, of of the indicators are all higher than 0.95. The fitting results of all vibration indicators are displayed in Figure 9. Despite the fitting surface, the alarm action level and trip action level correspond to each indicator, as shown in the figures. The red and blue planes represent the trip level and alarm level, respectively. The operating range division of the upper-bracket X and headcover X are displayed as examples: the region that surpasses the alarm action limit is marked in blue, while the rest is marked in green.

4.3. Application of Multi-Dimensional Hill Chart

In this section, the multi-dimensional hill charts are overlapped, and the superposed data are processed to form the operational region partition. An operational region index is defined, and its value is assigned in accordance with the action limits on all of the operation points: if any of the measurement points is in Zone D, the operational region index equals 2, while if all the measurement points are below Zone D but any of them works in Zone C, the index is assigned 1; if all the measurement points are located in Zone A–B, the index equals 0. From Figure 9, it can be seen that the hill charts of all the measurement points are below Zone D. Thus, the operational region index is equal or less than 1 in any operation point. In Figure 10, the regions with an operational region index equal to 1 are marked with blue while the regions with an index equal to 0 are marked with green. From the figure, it can be seen that the blue region appears between the output of 5 MW and 30 MW as well as the output greater than 43 MW. In these regions, at least one measurement point enters its Zone C, in which the machine can only operate within a period of time. This region can be named the transient region. For the region with an output between 30 and 43 MW, all of the measurement points are within Zone A–B. This region can be named the safe zone. For the green region with an output lower than 5 MW, due to its low efficiency, this region is not suitable for operation.
According to Newton’s second law, the force applied on the structure is in direct proportion to the acceleration of the structure. For a certain frequency band, the vibration velocity level is in direct proportion to the acceleration. Therefore, by connecting the vibration velocity with the force, the force imposed on the structure of the researched machine can be described by the multi-dimensional hill charts. Through previous research [25], the relation between the force and the maximum stress of the bracket has been revealed: the maximum stress is in direct proportion to the force. According to this theory, stress can be regarded as a function of the vibration level. Therefore, the multi-dimensional hill chart can be used as a force hill chart.
The number of stress cycles directly determines the remaining useful life of a machine. By estimating the stress cycle under different operating conditions, the remaining useful life can be obtained. An S–N curve is used for describing the relation between the stress level and number of cycles. A classical S–N curve of structural steel is shown in Figure 11. From the figure, it can be seen that with the increase in amplitude of stress, the number of cycles of the material decreases in the order of magnitudes. The number of cycles of the low-cycle-fatigue domain can be thousands of times the number of cycles of the limited-endurance domain. When the alternating stress decreases to a certain level (unlimited-endurance domain), the material will be able to undertake an unlimited number of stress cycles. By applying Equation (4), the multi-dimensional hill charts can be converted into a hill chart of the remaining life of the machine.
L R = ϕ f H , α
where f(H,α) is the function of the hill chart; ϕ represents the relation between vibration velocity and stress. The remaining useful life hill chart can be used for estimating the cost of different dispatch strategies.
To compare the effect of the operation strategy under the suggested operation region partition and the traditional operation without the guidance of the operation partition, the estimated useful life is compared, assuming the vibration level of the machine is 0.5 mm/s and 0.8 mm/s in Zone A–B and Zone C, respectively. According to the theory in Figure 11, the stress amplitude rate between these two zones is 0.625. The machine operates in the whole range of output and head without any guidance of the operation region partition, while the machine only operates under the safe region with the guidance of the operation region partition. As shown in Figure 12, assuming the alternating stress of the traditional strategy is 50 MPa and 80 MPa, the number of cycles of these two strategies can be 105 and 107, respectively, which means that the estimated useful life between these two strategies is 100-fold different.

5. Conclusions

In this research, the vibration and pressure pulsation of a low-head Francis turbine are tested under different heads and loads. Absolute vibration, shaft displacement, and pressure are measured by sensors on different measurement points in the unit. The variation rule of pressure, pressure pulsation, root mean squared vibration, and peak-to-peak value of shaft vibration are analyzed. The changing rules of each vibration indicator are also compared between different heads. In the end, the head output vibration surfaces are fitted using artificial neural networks. The obtained hill charts show the variation in the vibration behavior of the machine clearly: the machine enters the transient region when the output is between 5 and 30 MW or higher than 44 MW. In this region, at least one measurement point surpassed the alarm threshold. The synthetic vibration hill chart describes the vibration characteristics of the machine under the whole operating range. The vibration hill chart is able to give direct guidance for operators on the dispatching of units and reduce maintenance costs. The relation between the stress and vibration or pressure pulsation can be better analyzed, and a stress hill chart can be built, which will provide a clearer estimation of the remaining useful life.

Author Contributions

Conceptualization, W.Z. and Z.W.; methodology, W.Z.; software, B.J.; validation, R.G., S.C. and M.X.; formal analysis, M.X.; investigation, W.Z.; resources, B.J.; data curation, W.Z.; writing—original draft preparation, W.Z.; writing—review and editing, Z.W.; visualization, M.X.; supervision, Z.W.; project administration, B.J.; funding acquisition, Z.W. All authors have read and agreed to the published version of the manuscript.

Funding

This research was funded by the project Safe operation research of Zangao hydraulic power station based on performance of the hydro turbine of Xinjiang Xinhua Hydropower Develop Co., Ltd.

Data Availability Statement

Data are contained within the article.

Conflicts of Interest

Authors Bin Jian, Rongfu Guo and Shuping Chen were employed by the company Xinhua Hydropower Co., Ltd. Author Weiqiang Zhao was employed by the company PowerChina Renewable Energy Co., Ltd. The remaining authors declare that the research was conducted in the absence of any commercial or financial relationships that could be construed as a potential conflict of interest. The companies Xinhua Hydropower Co., Ltd. and PowerChina Renewable Energy Co., Ltd. had no role in the design of the study; in the collection, analyses, or interpretation of data; in the writing of the manuscript, or in the decision to publish the results.

References

  1. Trivedi, C.; Cervantes, M.J.; Gandhi, B.K.; Dahlhaug, O.G. Experimental and Numerical Studies for a High Head Francis Turbine at Several Operating Points. J. Fluids Eng. 2013, 135, 111102. [Google Scholar] [CrossRef]
  2. Pokharel, N.; Thapa, B.S.; Solemslie, B.W.; Thapa, B. Design and Numerical Study of a Pump-Turbine for Retrofitting of an Existing Francis Turbine. In Proceedings of the Journal of Physics: Conference Series; IOP Publishing: Bristol, UK, 2023; Volume 2629, p. 12011. [Google Scholar]
  3. Valero, C.; Egusquiza, M.; Valentín, D.; Presas, A.; Egusquiza, E. Behavior of Francis Turbines at Part Load. Field Assessment in Prototype: Effects on the Hydraulic System. In Proceedings of the 29th IAHR Symposium on Hydraulic Machinery and Systems, Kyoto, Japan, 17–21 September 2018; IOP Publishing: Kyoto, Japan, 2019; Volume 240, p. 052029. [Google Scholar]
  4. Lei, Y. Intelligent Fault Diagnosis and Remaining Useful Life Prediction of Rotating Machinery; Butterworth-Heinemann: Oxford, UK, 2016; ISBN 0128115351. [Google Scholar]
  5. Valentín, D.; Presas, A.; Valero, C.; Egusquiza, M.; Jou, E.; Egusquiza, E. Influence of the Hydrodynamic Damping on the Dynamic Response of Francis Turbine Runners. J. Fluids Struct. 2019, 90, 71–89. [Google Scholar] [CrossRef]
  6. Goyal, R.; Gandhi, B.K. Review of Hydrodynamics Instabilities in Francis Turbine during Off-Design and Transient Operations. Renew. Energy 2018, 116, 697–709. [Google Scholar] [CrossRef]
  7. Valero, C.; Egusquiza, M.; Egusquiza, E.; Presas, A.; Valentin, D.; Bossio, M. Extension of Operating Range in Pump-Turbines. Influence of Head and Load. Energies 2017, 10, 2178. [Google Scholar] [CrossRef]
  8. Egusquiza Estévez, E. Comportament Dinàmic de Màquines Hidràuliques; Edicions UPC: Barcelona, Spain, 2003; ISBN 8483016826. [Google Scholar]
  9. Kang, W.; Liang, Q.; Zhou, L.; Wang, Z. Numerical Investigation on Torsional Mode Self-Excited Vibration of Guide Vane in a Reversible Pump-Turbine during Pump Mode’s Starting Up. J. Appl. Fluid Mech. 2022, 15, 1789–1799. [Google Scholar]
  10. Alligné, S.; Maruzewski, P.; Dinh, T.; Wang, B.; Fedorov, A.; Iosfin, J.; Avellan, F. Prediction of a Francis Turbine Prototype Full Load Instability from Investigations on the Reduced Scale Model. IOP Conf. Ser. Earth Environ. Sci. 2010, 12, 012025. [Google Scholar] [CrossRef]
  11. Favrel, A.; Müller, A.; Landry, C.; Yamamoto, K.; Avellan, F. Study of the Vortex-Induced Pressure Excitation Source in a Francis Turbine Draft Tube by Particle Image Velocimetry. Exp. Fluids 2015, 56, 215. [Google Scholar] [CrossRef]
  12. Favrel, A.; Müller, A.; Landry, C.; Gomes, J.; Yamamoto, K.; Avellan, F. Dynamics of the Precessing Vortex Rope and Its Interaction with the System at Francis Turbines Part Load Operating Conditions. In Proceedings of the Journal of Physics: Conference Series; IOP Publishing: Bristol, UK, 2017; Volume 813, p. 12023. [Google Scholar]
  13. Müller, A.; Dreyer, M.; Andreini, N.; Avellan, F. Draft Tube Discharge Fluctuation during Self-Sustained Pressure Surge: Fluorescent Particle Image Velocimetry in Two-Phase Flow. Exp. Fluids 2013, 54, 1514. [Google Scholar] [CrossRef]
  14. Trivedi, C.; Cervantes, M.J. Fluid-Structure Interactions in Francis Turbines: A Perspective Review. Renew. Sustain. Energy Rev. 2017, 68, 87–101. [Google Scholar] [CrossRef]
  15. Huang, X.; Chamberland-Lauzon, J.; Oram, C.; Klopfer, A.; Ruchonnet, N. Fatigue Analyses of the Prototype Francis Runners Based on Site Measurements and Simulations. IOP Conf. Ser. Earth Environ. Sci. 2014, 22, 12014. [Google Scholar] [CrossRef]
  16. Müller, A.; Bullani, A.; Dreyer, M.; Roth, S.; Favrel, A.; Landry, C.; Avellan, F. Interaction of a Pulsating Vortex Rope with the Local Velocity Field in a Francis Turbine Draft Tube. In Proceedings of the IOP Conference Series: Earth and Environmental Science; IOP Publishing: Bristol, UK, 2012; Volume 15, p. 32040. [Google Scholar]
  17. Zhao, W.; Huang, X.; Yang, M.; Yang, H.; Bi, H.; He, Q.; Wang, Z. Flow-Induced Dynamic Behavior of Head-Cover Bolts in a Prototype Pump-Turbine during Load Rejection. Machines 2022, 10, 1130. [Google Scholar] [CrossRef]
  18. Egusquiza, M.; Egusquiza, E.; Valentin, D.; Valero, C.; Presas, A. Failure Investigation of a Pelton Turbine Runner. Eng. Fail. Anal. 2017, 81, 234–244. [Google Scholar] [CrossRef]
  19. Egusquiza, E.; Valero, C.; Estévez, A.; Guardo, A.; Coussirat, M. Failures Due to Ingested Bodies in Hydraulic Turbines. Eng. Fail. Anal. 2011, 18, 464–473. [Google Scholar] [CrossRef]
  20. Zhang, M.; Valentín, D.; Valero, C.; Egusquiza, M.; Egusquiza, E. Failure Investigation of a Kaplan Turbine Blade. Eng. Fail. Anal. 2019, 97, 690–700. [Google Scholar] [CrossRef]
  21. ISO 20816-5:2018; Mechanical Vibration—Measurement and Evaluation of Machine Vibration—Part 5: Machine Sets in Hydraulic Power Generating and Pump-Storage Plants. ISO: Geneva, Switzerland, 2018; p. 60.
  22. Zhao, W.; Presas, A.; Egusquiza, M.; Valentín, D.; Egusquiza, E.; Valero, C. On the Use of Vibrational Hill Charts for Improved Condition Monitoring and Diagnosis of Hydraulic Turbines. Struct. Health Monit. 2022, 21, 147592172110724. [Google Scholar] [CrossRef]
  23. Zhao, W.; Egusquiza, M.; Estevez, A.; Presas, A.; Valero, C.; Valentín, D.; Egusquiza, E. Improved Damage Detection in Pelton Turbines Using Optimized Condition Indicators and Data-Driven Techniques. Struct. Health Monit. 2021, 20, 3239–3251. [Google Scholar] [CrossRef]
  24. Rafiq, M.Y.; Bugmann, G.; Easterbrook, D.J. Neural Network Design for Engineering Applications. Comput. Struct. 2001, 79, 1541–1552. [Google Scholar] [CrossRef]
  25. Xu, B.; Zhao, W.; Lin, W.; Mao, Z.; Tao, R.; Wang, Z. The Influence of Different Operating Conditions on the Support Bracket Stress in Pumped Storage Units. Energies 2022, 15, 2195. [Google Scholar] [CrossRef]
Figure 1. Operating condition selection.
Figure 1. Operating condition selection.
Processes 12 01243 g001
Figure 2. Displacement, vibration, and pressure measurement positions on the researched machine during the test.
Figure 2. Displacement, vibration, and pressure measurement positions on the researched machine during the test.
Processes 12 01243 g002
Figure 3. The spectrum and frequency band selected in the research.
Figure 3. The spectrum and frequency band selected in the research.
Processes 12 01243 g003
Figure 4. Variation in pressure in the machine with different operating conditions.
Figure 4. Variation in pressure in the machine with different operating conditions.
Processes 12 01243 g004aProcesses 12 01243 g004b
Figure 5. Changing rules of absolute vibration velocity vrms under various working conditions at different measuring points.
Figure 5. Changing rules of absolute vibration velocity vrms under various working conditions at different measuring points.
Processes 12 01243 g005
Figure 6. Changing rules of relative vibration velocity, Sp-p, under various working conditions at different measuring points.
Figure 6. Changing rules of relative vibration velocity, Sp-p, under various working conditions at different measuring points.
Processes 12 01243 g006aProcesses 12 01243 g006b
Figure 7. Changing rules of pressure pulsation amplitude, Pp-p, under various working conditions at different measuring points.
Figure 7. Changing rules of pressure pulsation amplitude, Pp-p, under various working conditions at different measuring points.
Processes 12 01243 g007aProcesses 12 01243 g007b
Figure 8. Structure of the multi-layer perceptron.
Figure 8. Structure of the multi-layer perceptron.
Processes 12 01243 g008
Figure 9. Hill chart and action limits of the vibration indicator at each measurement point.
Figure 9. Hill chart and action limits of the vibration indicator at each measurement point.
Processes 12 01243 g009
Figure 10. Operating regions divided by the multi-dimensional hill charts.
Figure 10. Operating regions divided by the multi-dimensional hill charts.
Processes 12 01243 g010
Figure 11. The variation in the maximum equivalent stress on the support bracket with different axial forces [25].
Figure 11. The variation in the maximum equivalent stress on the support bracket with different axial forces [25].
Processes 12 01243 g011
Figure 12. Typical S–N curve of structural steel.
Figure 12. Typical S–N curve of structural steel.
Processes 12 01243 g012
Table 1. The basic parameters of the researched unit.
Table 1. The basic parameters of the researched unit.
ParameterValue
Runner diameter, D13.5 m
Number of blades, Zb13
Number of guide vanes, Zg24
Rated speed166.7 rpm
Blade passing frequency, fb36.11 Hz
Best efficiency94.14%
Table 2. Positions and parameters of the sensors.
Table 2. Positions and parameters of the sensors.
SensorPosition
Seismic sensorUpper bracket (A31, A34)
Lower bracket (A21, A24)
Head cover (A11, A14)
Proximity probeUpper generator bearing (D31, D34)
Lower generator bearing (D21, D24)
Turbine bearing (A11, A14)
Pressure sensorSpiral casing inlet (Pinlet), end of spiral casing (Psc), vaneless zone (Pvless), head cover (Phc), draft tube inlet (Pdt), and draft tube outlet (Poutlet)
Table 3. Vertical Francis turbine units with upper generator bearing housings braced against the station foundation and/or concrete pit surrounding the generator.
Table 3. Vertical Francis turbine units with upper generator bearing housings braced against the station foundation and/or concrete pit surrounding the generator.
Action LimitRelative Shaft Vibration Sp-p/μmBearing House Vibration vrms/(mm/s)
PositionTurbine bearingLower generator bearingUpper generator bearingHeadcoverLower bracketUpper bracket
Action limit 1: A–B/C1801801600.90.50.5
Action limit 2: C/D2802802501.40.80.8
Disclaimer/Publisher’s Note: The statements, opinions and data contained in all publications are solely those of the individual author(s) and contributor(s) and not of MDPI and/or the editor(s). MDPI and/or the editor(s) disclaim responsibility for any injury to people or property resulting from any ideas, methods, instructions or products referred to in the content.

Share and Cite

MDPI and ACS Style

Jian, B.; Zhao, W.; Guo, R.; Chen, S.; Xia, M.; Wang, Z. Application of Multi-Dimensional Hill Chart in the Condition Monitoring and Cost Estimation of the Francis Turbine Unit. Processes 2024, 12, 1243. https://doi.org/10.3390/pr12061243

AMA Style

Jian B, Zhao W, Guo R, Chen S, Xia M, Wang Z. Application of Multi-Dimensional Hill Chart in the Condition Monitoring and Cost Estimation of the Francis Turbine Unit. Processes. 2024; 12(6):1243. https://doi.org/10.3390/pr12061243

Chicago/Turabian Style

Jian, Bin, Weiqiang Zhao, Rongfu Guo, Shuping Chen, Ming Xia, and Zhengwei Wang. 2024. "Application of Multi-Dimensional Hill Chart in the Condition Monitoring and Cost Estimation of the Francis Turbine Unit" Processes 12, no. 6: 1243. https://doi.org/10.3390/pr12061243

APA Style

Jian, B., Zhao, W., Guo, R., Chen, S., Xia, M., & Wang, Z. (2024). Application of Multi-Dimensional Hill Chart in the Condition Monitoring and Cost Estimation of the Francis Turbine Unit. Processes, 12(6), 1243. https://doi.org/10.3390/pr12061243

Note that from the first issue of 2016, this journal uses article numbers instead of page numbers. See further details here.

Article Metrics

Back to TopTop