Effect of Pipe Diameter and Inlet Parameters on Liquid CO2 Flow in Transportation by Pipeline with Large Height Difference
Abstract
1. Introduction
2. Methods
2.1. The Liquid CO2 Pipeline Transportation System from Coal Mine Ground to Underground
2.2. Method of Studying the Variation of Temperature and Pressure along Pipeline
- (1)
- Setting the pipe diameter, and sequentially setting the predetermined flow rate (i.e., 500, 1000, 2000, 5000, 10,000, 20,000, 50,000, 100,000 kg/h) to obtain phase state data at different positions of the transporting process.
- (2)
- If there is no phase change within the flow range, expand the range of the preset flow rate (such as 150,000 kg/h) and repeat step (1); if two-phase flow does not occur during the transporting process when the flow rate is f1, but it occurs when the flow rate is f2, then the maximum limit flow rate is between f1 and f2.
- (3)
- f3 = (f1 + f2)/2, and determine whether two-phase flow occurs when the flow rate is f3; if it occurs, f4 = (f1 + f3)/2; if it does not occur, then f4 = (f2 + f3)/2. Then determine whether two-phase flow occurs when the flow rate is f4.
- (4)
- Repeat step (3) until fn is taken between two adjacent integers m1 and m2, and two-phase flow does not occur when the flow rate is m1, but occurs when the flow rate is m2, then take m1 for maximum limit flow.
3. Results and Discussion
3.1. Safe Flow Interval
3.1.1. Maximum Limit Transporting Flow of Pipelines with Different Diameters
3.1.2. Minimum Limit Transporting Flow of Pipelines with Different Diameters
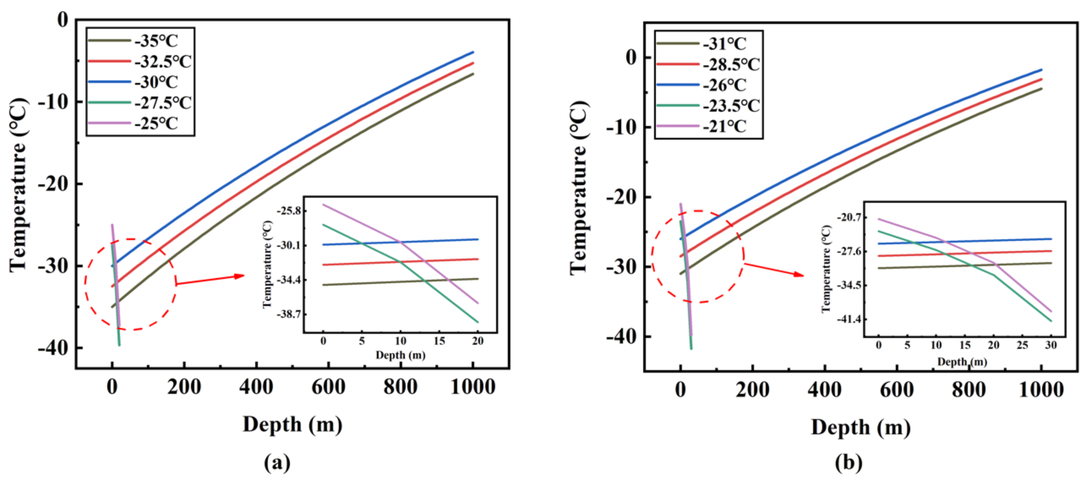
3.2. Optimum Inlet Temperature and Pressure
3.3. Discussion on Safe Pipeline Transportation of Liquid CO2
4. Conclusions
Author Contributions
Funding
Conflicts of Interest
References
- Ren, X.; Hu, X.; Xue, D.; Li, Y.; Shao, Z.; Dong, H.; Cheng, W.; Zhao, Y.; Xin, L.; Lu, W. Novel sodium silicate/polymer composite gels for the prevention of spontaneous combustion of coal. J. Hazard. Mater. 2019, 371, 643–654. [Google Scholar] [CrossRef] [PubMed]
- Cheng, W.; Hu, X.; Xie, J.; Zhao, Y. An intelligent gel designed to control the spontaneous combustion of coal: Fire prevention and extinguishing properties. Fuel 2017, 210, 826–835. [Google Scholar] [CrossRef]
- Zhang, Y.; Liu, Y.; Shi, X.; Yang, C.; Wang, W.; Li, Y. Risk evaluation of coal spontaneous combustion on the basis of auto-Ignition temperature. Fuel 2018, 233, 68–76. [Google Scholar] [CrossRef]
- Li, S.; Zhou, G.; Wang, Y.; Jing, B.; Qu, Y. Synthesis and characteristics of fire extinguishing gel with high water absorption for coal mines. Process Saf. Environ. Prot. 2019, 125, 207–218. [Google Scholar] [CrossRef]
- Wang, J.; Zhou, G.; Wei, X.; Wang, S. Experimental characterization of multi-Nozzle atomization interference for dust reduction between hydraulic supports at a fully mechanized coal mining face. Environ. Sci. Pollut. Res. 2019, 26, 10023–10036. [Google Scholar] [CrossRef] [PubMed]
- Zhang, G.C.; Wen, Z.J.; Liang, S.J.; Tan, Y.L.; Tian, L.; Zhao, Y.Q.; Zhao, D.S. Ground response of a gob-Side entry in a longwall panel extracting 17 m-Thick coal seam: A case study. Rock Mech. Rock Eng. 2019. [Google Scholar] [CrossRef]
- Gao, F.; Deng, C.B.; Wang, X.F.; Li, X.M.; Dai, F.W. Experimental study on adsorbing of flue gas and its application in preventing spontaneous combustion of coal. Adsorpt. Sci. Technol. 2018, 36, 1744–1754. [Google Scholar] [CrossRef]
- Liu, Z.; Wen, H.; Yu, Z.; Wang, C.; Ma, L. Control of spontaneous combustion of coal in goaf at high geotemperatureby injecting liquid carbon dioxide: Inertand cooling characteristics of coal. In IOP Conference Series: Earth and Environmental Science; IOP Publishing: Bristol, UK, 2018; Volume 121, p. 22013. [Google Scholar]
- Dai, J.J. Experimental Study on Prevention and Control of Coal Spontaneous Combustion by Liquid CO2. Master’s Thesis, Xi’an University of Science and Technology, Xi’an, China, June 2017. [Google Scholar]
- Jing, J.D. Research on Fire Prevention and Extinguishing Technology of Liquid Carbon Dioxide in Yangchangwan Coal Mine. Master’s Thesis, China University of Mining and Technology, Xuzhou, China, May 2019. [Google Scholar]
- Yang, C. Research and Application of Inhibiting Coal Spontaneous Combustion Technology by Liquid CO2. Master’s Thesis, Xi’an University of Science and Technology, Xi’an, China, June 2018. [Google Scholar]
- Shu, Y.; Li, W.; Li, Z. The technology of liquid CO2 used for fire prevention and the related device. Adv. Mater. Res. 2012, 347–353, 1642–1646. [Google Scholar]
- Gang, W. Application and analysis of liquid CO2 infusion technology in mine fire prevention and control, coal science and technology. Coal Sci. Technol. 2017, 45, 89–93. [Google Scholar]
- Anwar, M.N.; Fayyaz, A.; Sohail, N.F.; Khokhar, M.F.; Baqar, M.; Khan, W.D.; Rasool, K.; Rehan, M.; Nizami, A.S. CO2 capture and storage: A way forward for sustainable environment. J. Environ. Manag. 2018, 226, 131–144. [Google Scholar] [CrossRef]
- Koornneef, J.; Van Breevoort, P.; Hamelinck, C.; Hendriks, C.; Hoogwijk, M.; Koop, K.; Koper, M.; Dixon, T.; Camps, A. Global potential for biomass and carbon dioxide capture, transport and storage up to 2050. Int. J. Greenh. Gas Control 2012, 11, 117–132. [Google Scholar] [CrossRef]
- Masoudian, M.S. Multiphysics of carbon dioxide sequestration in coalbeds: A review with a focus on geomechanical characteristics of coal. J. Rock Mech. Geotech. Eng. 2016, 8, 93–112. [Google Scholar] [CrossRef]
- Montes-Hernandez, G.; Pérez-López, R.; Renard, F.; Nieto, J.M.; Charlet, L. Mineral sequestration of CO2 by aqueous carbonation of coal combustion fly-Ash. J. Hazard. Mater. 2008, 161, 1347–1354. [Google Scholar] [CrossRef] [PubMed]
- Yang, D.; Koukouzas, N.; Green, M.; Sheng, Y. Recent development on underground coal gasification and subsequent CO2 storage. J. Energy Inst. 2015, 89, 469–484. [Google Scholar] [CrossRef]
- Cheng, P.; Bestehorn, M.; Firoozabadi, A. Effect of permeability anisotropy on buoyancy-driven flow for CO2 sequestration in saline aquifers. Water Resour. Res. 2012, 48, 1–16. [Google Scholar] [CrossRef]
- Firoozabadi, A.; Cheng, P. Prospects for subsurface CO2 sequestration. AIChE J. 2010, 56, 1398–1405. [Google Scholar] [CrossRef]
- Dejam, M.; Hassanzadeh, H. The role of natural fractures of finite double-Porosity aquifers on diffusive leakage of brine during geological storage of CO2. Int. J. Greenh. Gas Control 2018, 78, 177–197. [Google Scholar] [CrossRef]
- Dejam, M.; Hassanzadeh, H. Diffusive leakage of brine from aquifers during CO2 geological storage. Adv. Water Resour. 2018, 111, 36–57. [Google Scholar] [CrossRef]
- Zhang, Z.X.; Wang, G.X.; Massarotto, P.; Rudolph, V. Optimization of pipeline transport for CO2 sequestration. Energy Convers. Manag. 2006, 47, 702–715. [Google Scholar] [CrossRef]
- Chandel, M.K.; Pratson, L.F.; Williams, E. Potential economies of scale in CO2 transport through use of a trunk pipeline. Energy Convers. Manag. 2010, 51, 2825–2834. [Google Scholar] [CrossRef]
- Torp, T.A.; Brown, K.R. CO2 Underground storage costs as experienced at sleipner and weyburn. In Greenhouse Gas Control Technologies; Elsevier Science Ltd.: Manchester, UK, 2005; pp. 531–538. [Google Scholar]
- Vandeginste, V.; Piessens, K. Pipeline design for a least-cost router application for CO2 transport in the CO2 sequestration cycle. Int. J. Greenh. Gas Control 2008, 2, 571–581. [Google Scholar] [CrossRef]
- Wildenborg, T.; Gale, J.; Hendriks, C.; Holloway, S.; Brandsma, R.; Kref, E.; Lokhorst, A. Cost curves for CO2 storage: European sector. In Greenhouse Gas Control Technologies 7; Elsevier Science Ltd.: Manchester, UK, 2005; pp. 603–610. [Google Scholar]
- Torp, T.A.; Gale, J. Demonstrating storage of CO2 in geological reservoirs: The sleipner and SACS projects. Energy 2004, 29, 1361–1369. [Google Scholar] [CrossRef]
- Teh, C.J.; Barifcani, A.; Pack, D.; Tade, M.O. The importance of ground temperature to a liquid carbon dioxide pipeline. Int. J. Greenh. Gas Control 2015, 39, 463–469. [Google Scholar] [CrossRef]
- McCoy, S.T.; Rubin, E.S. An engineering-economic model of pipeline transport of CO2 with application to carbon capture and storage. Int. J. Greenh. Gas Control 2008, 2, 219–229. [Google Scholar] [CrossRef]
- Peters, M.S.; Timmerhaus, K.D.; West, R.E. Plant Design and Economics for Chemical Engineers, 5th ed.; McGraw-Hill, Inc.: New York, NY, USA, 2002. [Google Scholar]
- Witkowski, A.; Mirosław, M. Analysis of transportation systems for CO2 sequestration. Arch. Thermodyn. 2015, 35, 117–140. [Google Scholar] [CrossRef]
- Luo, X.; Wang, M.; Oko, E.; Okezue, C. Simulation-Based techno-Economic evaluation for optimal design of CO2 transport pipeline network. Appl. Energy 2014, 132, 610–620. [Google Scholar] [CrossRef]
- Peng, D.Y.; Robinson, D.B. A new two-Constant equation of state. Ind. Eng. Chem. Fundam. 1976, 15, 59–64. [Google Scholar] [CrossRef]
- Li, H.; Yan, J. Evaluating cubic equations of state for calculation of vapor-Liquid equilibrium of CO2 and CO2-mixtures for CO2 capture and storage processes. Appl. Energy 2009, 86, 826–836. [Google Scholar] [CrossRef]
- Mohitpour, M.; Seevam, P.; Botros, K.K.; Rothwell, B.; Ennis, C. Pipeline Transportation of Carbon Dioxide Containing Impurities; ASME Press: New York, NY, USA, 2012. [Google Scholar]
- Duschek, W.; Kleinrahm, R.; Wagner, W. Measurement and correlation of the pressure, density, temperature relation of carbon dioxide I. The homogeneous gas and liquid regions in the temperature range from 217 K to 340 K at pressures up to 9 MPa. J. Chem. Thermodyn. 1990, 22, 827–840. [Google Scholar] [CrossRef]
- Zhao, D.Y.; Zhang, J.; Li, Z.M.; Li, Q.F.; Liu, H.L.; Lu, S.J. An engineering–Economic model for CO2 pipeline transportation in China. Int. J. Comput. Appl. Technol. 2014, 49, 60–68. [Google Scholar] [CrossRef]
- Perry, R.H.; Green, D.W. Perry’s Chemical Engineers’ Handbook, 8th ed.; McGraw-Hill, Inc.: New York, NY, USA, 2008; ISBN 9788578110796. [Google Scholar]
- Zhang, D.; Wang, Z.; Sun, J.; Zhang, L.; Li, Z. Economic evaluation of CO2 pipeline transport in China. Energy Convers. Manag. 2012, 55, 127–135. [Google Scholar]
- Wang, M.; Xu, J. Application of liquid CO2 fire-Extinguishing technique in Gongquan coal mine. Saf. Coal Mines 2017, 48, 125–131. [Google Scholar]
- Guan, X.J. Research of the Liquid CO2 Injection for Fire Prevention and Extinguishing in the Open Goaf. Master’s Thesis, Xi’an University of Science and Technology, Xi’an, China, June 2016. [Google Scholar]
- Li, X.Y.; Shen, G.H.; Xu, C.L.; Liu, G.J. Inhibition of violent oxidation of floating coal by carbon dioxide in intake side of goaf. Saf. Coal Mines 2018, 49, 72–75. [Google Scholar]
- Li, Q.Q. Research on Some Questions of Cold Stretching Technology in Austenitic Stainless Steel Pressure Vessels. Master’s Thesis, Zhejiang University, Hangzhou, China, June 2016. [Google Scholar]











| Actual Limit Flow | Inner Diameter of Pipeline | |||||
|---|---|---|---|---|---|---|
| 15 mm | 20 mm | 25 mm | 32 mm | 40 mm | 50 mm | |
| Actual minimum limit flow (kg/h) | 370 | 428 | 459 | 507 | 554 | 611 |
| Actual maximum limit flow (kg/h) | 1617 | 3747 | 7034 | 13,826 | 25,202 | 45,649 |
© 2019 by the authors. Licensee MDPI, Basel, Switzerland. This article is an open access article distributed under the terms and conditions of the Creative Commons Attribution (CC BY) license (http://creativecommons.org/licenses/by/4.0/).
Share and Cite
Lu, W.; Hu, H.; Qi, G. Effect of Pipe Diameter and Inlet Parameters on Liquid CO2 Flow in Transportation by Pipeline with Large Height Difference. Processes 2019, 7, 756. https://doi.org/10.3390/pr7100756
Lu W, Hu H, Qi G. Effect of Pipe Diameter and Inlet Parameters on Liquid CO2 Flow in Transportation by Pipeline with Large Height Difference. Processes. 2019; 7(10):756. https://doi.org/10.3390/pr7100756
Chicago/Turabian StyleLu, Wei, Hao Hu, and Guansheng Qi. 2019. "Effect of Pipe Diameter and Inlet Parameters on Liquid CO2 Flow in Transportation by Pipeline with Large Height Difference" Processes 7, no. 10: 756. https://doi.org/10.3390/pr7100756
APA StyleLu, W., Hu, H., & Qi, G. (2019). Effect of Pipe Diameter and Inlet Parameters on Liquid CO2 Flow in Transportation by Pipeline with Large Height Difference. Processes, 7(10), 756. https://doi.org/10.3390/pr7100756
