Numerical Study of the Effects of Injection Fluctuations on Liquid Nitrogen Spray Cooling
Abstract
1. Introduction
2. Experimental Study
2.1. Mass Flow Rate Measurement
2.2. Cooling Performance
3. Numerical Approach
3.1. Numerical Method
3.1.1. Continuous Phase
3.1.2. Discrete Phase
3.2. Computational Geometry and Grid
3.3. Model Verification
4. Results and Discussion
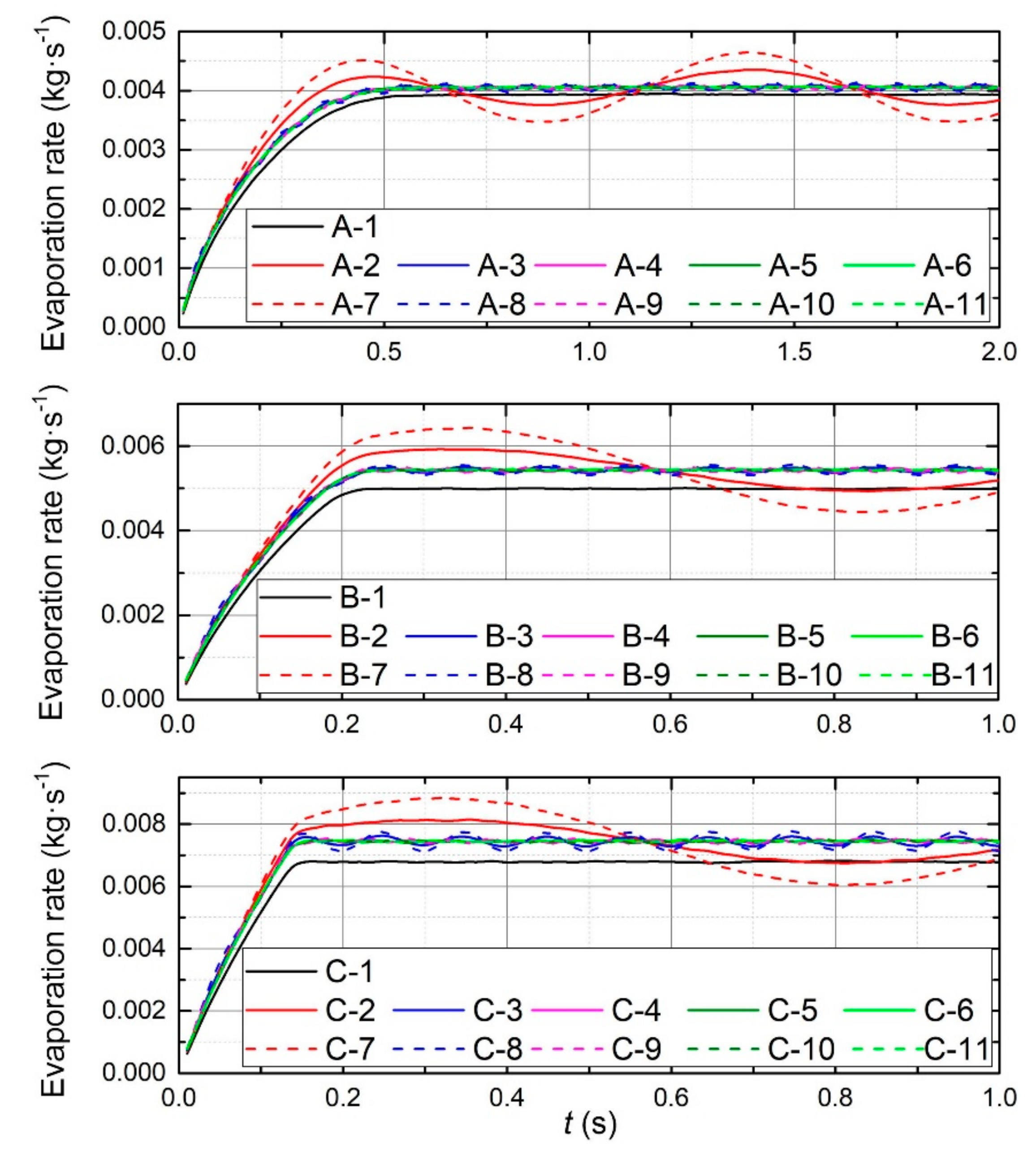
4.1. Evaporation of Spray Field
4.2. Temperature Distribution
4.3. Droplet Distribution
5. Conclusions
Author Contributions
Funding
Acknowledgments
Conflicts of Interest
Nomenclatures
| Amplitude | Mass flow rate | ||
| Cross-sectional area of the orifice | Ideal mass flow rate | ||
| Droplet surface area | Droplet Reynolds number | ||
| Discharge coefficient | Energy source term | ||
| Specific heat of droplet | Source term of mass | ||
| Droplet diameter | Source term of droplet mass | ||
| Internal energy | Temperature | ||
| Frequency | Droplet velocity | ||
| Additional acceleration term | Velocity | ||
| Drag force | Mass fraction of species | ||
| Gravitational force | |||
| Heat transfer coefficient | Greek symbols | ||
| Latent heat | Density | ||
| Sensible enthalpy of species | Dynamic viscosity | ||
| Diffusing flux of species | Mean strain tensor | ||
| Fluid thermal conductivity | Viscous dissipation | ||
| Droplet mass | |||
| Pressure | Subscripts | ||
| △p | Pressure difference | i, j | Cartesian coordinate directions |
| Critical pressure of liquid nitrogen | p | Droplet | |
| Steady mass flow rate | Fluid region | ||
References
- Fey, U.; Engler, R.H.; Egami, Y.; Iijima, Y. Transition detection by temperature sensitive paint at cryogenic temperatures in the European Transonic Wind tunnel (ETW). In Proceedings of the 20th International Congress on Instrumentation in Aerospace Simulation Facilities, DLR Göttingen, Germany, 25–29 August 2003; pp. 77–88. [Google Scholar]
- Volmajer, M.; Kegl, B. Cavitation phenomena in the injection nozzle: Theoretical and numerical analysis. Environ. Health Perspect. 2004, 113, 638–643. [Google Scholar]
- Kannan, G.; Anand, R. Experimental evaluation of DI diesel engine operating with diestrol at varying injection pressure and injection timing. Fuel Process. Technol. 2011, 92, 2252–2263. [Google Scholar] [CrossRef]
- Park, K.; Kim, B.-H. Numerical analysis of the effect of injection pressure variation on free spray and impaction spray characteristics. KSME Int. J. 2000, 14, 236–250. [Google Scholar] [CrossRef]
- Palani, R.; Nallusamy, N.; Pitchandi, K. Spray characteristics of diesel and derivatives in direct injection diesel engines with varying injection pressures. J. Mech. Sci. Technol. 2015, 29, 4465–4471. [Google Scholar] [CrossRef]
- Ghurri, A.; Kim, J.-D.; Kim, H.G.; Jung, J.-Y.; Song, K.-K. The effect of injection pressure and fuel viscosity on the spray characteristics of biodiesel blends injected into an atmospheric chamber. J. Mech. Sci. Technol. 2012, 26, 2941–2947. [Google Scholar] [CrossRef]
- Karsli, S.; Yilmaz, M.; Comakli, O. The effect of internal surface modification on flow instabilities in forced convection boiling in a horizontal tube. Int. J. Heat Fluid Flow 2002, 23, 776–791. [Google Scholar] [CrossRef]
- Xue, R.; Chen, L.; Zhong, X.; Liu, X.; Chen, S.; Hou, Y. Unsteady cavitation of liquid nitrogen flow in spray nozzles under fluctuating conditions. Cryogenics 2019, 97, 144–148. [Google Scholar] [CrossRef]
- Wang, X.; Han, Z.; Su, W. A numerical study of the effects of pressure fluctuations inside injection nozzle on high-pressure and evaporating diesel spray characteristics. Appl. Math. Model. 2016, 40, 4032–4043. [Google Scholar] [CrossRef]
- Ubertini, S. Injection Pressure Fluctuations Model Applied to a Multi-Dimensional Code for Diesel Engines Simulation. J. Eng. Gas Turbines Power 2004, 128, 437–445. [Google Scholar]
- Ramamurthi, K.; Patnaik, S. Influence of periodic disturbances on inception of cavitation in sharp-edged orifices. Exp. Fluids 2002, 33, 720–727. [Google Scholar] [CrossRef]
- Yuan, W.; Schnerr, G.H. Cavitation in Injection Nozzles—Effect of Model Parameters and Boundary Conditions. Presented at Fourth International Symposium on Cavitation (CAV2001), Pasadena, CA, USA, 20–23 June 2001. [Google Scholar]
- Wang, X.; Su, W. Numerical investigation on relationship between injection pressure fluctuations and unsteady cavitation processes inside high-pressure diesel nozzle holes. Fuel 2010, 89, 2252–2259. [Google Scholar] [CrossRef]
- Zhu, J.; Wang, S.; Qiu, L.; Zhi, X.; Zhang, X.; Jiakai, Z.; Shunhao, W.; Limin, Q.; Xiaoqin, Z.; Xiaobin, Z. Frequency characteristics of liquid hydrogen cavitating flow over a NACA0015 hydrofoil. Cryogenics 2018, 90, 7–19. [Google Scholar] [CrossRef]
- Breslin, J.P.; Andersen, P. Hydrodynamics of Ship Propellers; Cambridge University Press: Cambridge, UK, 1996. [Google Scholar]
- Jung, J.; Lee, S.; Han, J. Study on correlation between cavitation and pressure fluctuation signal using high-speed camera system. In Proceedings of the 7th International Symposium on Cavitation, Ann Arbor, MI, USA, 16–20 August 2009. [Google Scholar]
- Ji, B.; Luo, X.; Wu, Y.; Peng, X.; Duan, Y. Numerical analysis of unsteady cavitating turbulent flow and shedding horse-shoe vortex structure around a twisted hydrofoil. Int. J. Multiph. Flow 2013, 51, 33–43. [Google Scholar] [CrossRef]
- Chen, G.; Wang, G.; Hu, C.; Huang, B.; Gao, Y.; Zhang, M. Combined experimental and computational investigation of cavitation evolution and excited pressure fluctuation in a convergent–divergent channel. Int. J. Multiph. Flow 2015, 72, 133–140. [Google Scholar] [CrossRef]
- Ito, Y.; Seto, K.; Nagasaki, T. Periodical shedding of cloud cavitation from a single hydrofoil in high-speed cryogenic channel flow. J. Therm. Sci. 2009, 18, 58–64. [Google Scholar] [CrossRef]
- Zhu, J.; Xie, H.; Feng, K.; Zhang, X.; Si, M. Unsteady cavitation characteristics of liquid nitrogen flows through venturi tube. Int. J. Heat Mass Transf. 2017, 112, 544–552. [Google Scholar] [CrossRef]
- Ruan, Y.; Hou, Y.; Xue, R.; Luo, G.; Zhu, K.; Liu, X.; Chen, L. Effects of operational parameters on liquid nitrogen spray cooling. Appl. Therm. Eng. 2019, 146, 85–91. [Google Scholar] [CrossRef]
- Nijdam, J.J.; Guo, B.; Fletcher, D.F.; Langrish, T.A. Lagrangian and Eulerian models for simulating turbulent dispersion and coalescence of droplets within a spray. Appl. Math. Model. 2006, 30, 1196–1211. [Google Scholar] [CrossRef]
- Li, X.; Wang, T. Effects of Various Modeling Schemes on Mist Film Cooling Simulation. J. Heat Transf. 2007, 129, 472–482. [Google Scholar] [CrossRef]
- Montazeri, H.; Blocken, B.; Hensen, J.; Hensen, J. Evaporative cooling by water spray systems: CFD simulation, experimental validation and sensitivity analysis. Build. Environ. 2015, 83, 129–141. [Google Scholar] [CrossRef]
- Fluent Help Documents; Fluent Corporation: Canonsburg, PA, USA, 2015.
- Alkhedhair, A.; Gurgenci, H.; Jahn, I.; Guan, Z.; He, S. Numerical simulation of water spray for pre-cooling of inlet air in natural draft dry cooling towers. Appl. Therm. Eng. 2013, 61, 416–424. [Google Scholar] [CrossRef]
- Xue, R.; Ruan, Y.; Liu, X.; Cao, F.; Hou, Y. The influence of cavitation on the flow characteristics of liquid nitrogen through spray nozzles: A CFD study. Cryogenics 2017, 86, 42–56. [Google Scholar] [CrossRef]
- Lefebvre, A.H. Atomization and Sprays; Hemisphere Pub. Corp.: Washington, DC, USA, 1989; pp. 127–145. [Google Scholar]
- Birouk, M.; Gökalp, I. Current status of droplet evaporation in turbulent flows. Prog. Energy Combust. Sci. 2006, 32, 408–423. [Google Scholar] [CrossRef]
- Birouk, M.; Gökalp, I. A new correlation for turbulent mass transfer from liquid droplets. Int. J. Heat Mass Transf. 2002, 45, 37–45. [Google Scholar] [CrossRef]
- Wang, H.; Luo, K.; Fan, J. Effects of turbulent intensity and droplet diameter on spray combustion using direct numerical simulation. Fuel 2014, 121, 311–318. [Google Scholar] [CrossRef]
- Montazeri, H.; Blocken, B.; Hensen, J.L. CFD analysis of the impact of physical parameters on evaporative cooling by a mist spray system. Appl. Therm. Eng. 2015, 75, 608–622. [Google Scholar] [CrossRef]
- Mugele, R.A.; Evans, H.D. Droplet Size Distribution in Sprays. Ind. Eng. Chem. 1951, 43, 1317–1324. [Google Scholar] [CrossRef]
- Xue, R.; Ruan, Y.; Liu, X.; Chen, L.; Zhang, X.; Hou, Y.; Chen, S. Experimental study of liquid nitrogen spray characteristics in atmospheric environment. Appl. Therm. Eng. 2018, 142, 717–722. [Google Scholar] [CrossRef]













| No. | △p (MPa) | Mass Flow Rate (kg·s−1) | Flow Velocity (m·s−1) | Temperature Drop (K) |
|---|---|---|---|---|
| 1 | 0.127 | 0.005 | 6.7 | 3.9 |
| 2 | 0.127 | 0.005 | 5.36 | 4.0 |
| 3 | 0.127 | 0.005 | 4.02 | 5.6 |
| 4 | 0.127 | 0.005 | 2.68 | 6.7 |
| 5 | 0.127 | 0.005 | 1.34 | 10.6 |
| 6 | 0.204 | 0.0061 | 6.7 | 4.3 |
| 7 | 0.204 | 0.0061 | 5.36 | 4.6 |
| 8 | 0.204 | 0.0061 | 4.02 | 6.3 |
| 9 | 0.204 | 0.0061 | 2.68 | 8.6 |
| 10 | 0.204 | 0.0061 | 1.34 | 12.4 |
| 11 | 0.285 | 0.0071 | 6.7 | 5.1 |
| 12 | 0.285 | 0.0071 | 5.36 | 5.8 |
| 13 | 0.285 | 0.0071 | 4.02 | 6.9 |
| 14 | 0.285 | 0.0071 | 2.68 | 9.4 |
| 15 | 0.285 | 0.0071 | 1.34 | 13.6 |
| 16 | 0.338 | 0.0076 | 6.7 | 5.5 |
| 17 | 0.338 | 0.0076 | 5.36 | 5.8 |
| 18 | 0.338 | 0.0076 | 4.02 | 7.8 |
| 19 | 0.338 | 0.0076 | 2.68 | 10.2 |
| 20 | 0.338 | 0.0076 | 1.34 | 14.3 |
| Case | (kg·s−1) | Flow Velocity (m·s−1) | A | f (Hz) |
|---|---|---|---|---|
| A-1 | 0.005 | 1.34 | 0 | 0 |
| A-2 | 10% | 1 | ||
| A-3 | 10% | 10 | ||
| A-4 | 10% | 20 | ||
| A-5 | 10% | 40 | ||
| A-6 | 10% | 60 | ||
| A-7 | 20% | 1 | ||
| A-8 | 20% | 10 | ||
| A-9 | 20% | 20 | ||
| A-10 | 20% | 40 | ||
| A-11 | 20% | 60 | ||
| B-1 | 0.01 | 5 | 0 | 0 |
| B-2 | 10% | 1 | ||
| B-3 | 10% | 10 | ||
| B-4 | 10% | 20 | ||
| B-5 | 10% | 40 | ||
| B-6 | 10% | 60 | ||
| B-7 | 20% | 1 | ||
| B-8 | 20% | 10 | ||
| B-9 | 20% | 20 | ||
| B-10 | 20% | 40 | ||
| B-11 | 20% | 60 | ||
| C-1 | 0.02 | 10 | 0 | 0 |
| C-2 | 10% | 1 | ||
| C-3 | 10% | 10 | ||
| C-4 | 10% | 20 | ||
| C-5 | 10% | 40 | ||
| C-6 | 10% | 60 | ||
| C-7 | 20% | 1 | ||
| C-8 | 20% | 10 | ||
| C-9 | 20% | 20 | ||
| C-10 | 20% | 40 | ||
| C-11 | 20% | 60 |
© 2019 by the authors. Licensee MDPI, Basel, Switzerland. This article is an open access article distributed under the terms and conditions of the Creative Commons Attribution (CC BY) license (http://creativecommons.org/licenses/by/4.0/).
Share and Cite
Xue, R.; Ruan, Y.; Liu, X.; Chen, L.; Liu, L.; Hou, Y. Numerical Study of the Effects of Injection Fluctuations on Liquid Nitrogen Spray Cooling. Processes 2019, 7, 564. https://doi.org/10.3390/pr7090564
Xue R, Ruan Y, Liu X, Chen L, Liu L, Hou Y. Numerical Study of the Effects of Injection Fluctuations on Liquid Nitrogen Spray Cooling. Processes. 2019; 7(9):564. https://doi.org/10.3390/pr7090564
Chicago/Turabian StyleXue, Rong, Yixiao Ruan, Xiufang Liu, Liang Chen, Liqiang Liu, and Yu Hou. 2019. "Numerical Study of the Effects of Injection Fluctuations on Liquid Nitrogen Spray Cooling" Processes 7, no. 9: 564. https://doi.org/10.3390/pr7090564
APA StyleXue, R., Ruan, Y., Liu, X., Chen, L., Liu, L., & Hou, Y. (2019). Numerical Study of the Effects of Injection Fluctuations on Liquid Nitrogen Spray Cooling. Processes, 7(9), 564. https://doi.org/10.3390/pr7090564

