Room Temperature Ferroelastic Creep Behavior of Porous (La0.6Sr0.4)0.95Co0.2Fe0.8O3-δ
Abstract
1. Introduction
2. Experimental
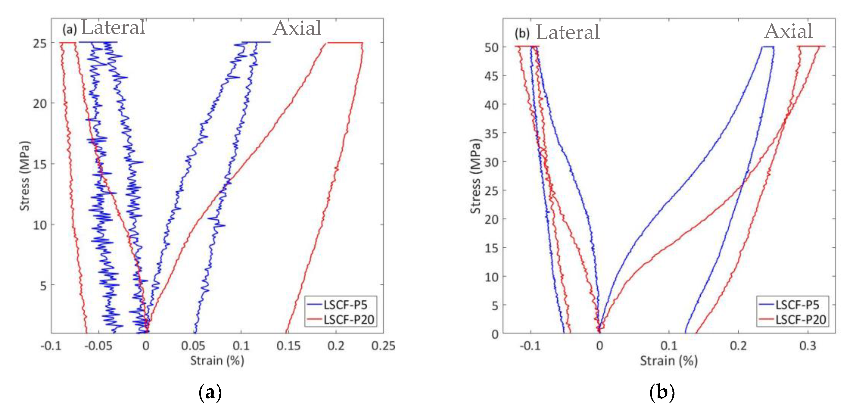
3. Results and Discussion
4. Conclusions
Author Contributions
Funding
Conflicts of Interest
References
- Akbari-Fakhrabadi, A.; Meruane, V.; Jamshidijam, M.; Garcia-Pinilla, M.A.; Garcia, R.; Orellana, M. Structural and mechanical properties of La0.6Sr0.4M0.1Fe0.9O3-δ (M: Co, Ni and Cu) perovskites. Ceram. Int. 2017, 43, 2089–2094. [Google Scholar] [CrossRef][Green Version]
- Li, N.; Boréave, A.; Deloume, J.-P.; Gaillard, F. Catalytic combustion of toluene over a Sr and Fe substituted LaCoO3 perovskite. Solid State Ion. 2008, 179, 1396–1400. [Google Scholar] [CrossRef]
- Araki, W.; Malzbender, J. Ferroelastic deformation of La0.58Sr0.4Co0.2Fe0.8O3-δ under uniaxial compressive loading. J. Eur. Ceram. Soc. 2013, 33, 805–812. [Google Scholar] [CrossRef]
- Johnsson, M.; Lemmens, P. Crystallography and Chemistry of Perovskites. In Handbook of Magnetism and Advanced Magnetic Materials; John Wiley & Sons: Hoboken, NJ, USA, 2007; pp. 1–11. [Google Scholar]
- Streiffer, S.K.; Parker, C.B.; Romanov, A.E.; Lefevre, M.; Zhao, L.; Speck, J.S.; Pompe, W.; Foster, C.M.; Bai, G.R. Domain patterns in epitaxial rhombohedral ferroelectric films. I. Geometry and experiments. J. Appl. Phys. 1998, 83, 2742–2753. [Google Scholar] [CrossRef]
- Belenkaya, I.V.; Bragina, O.A.; Nemudry, A.P. Mixed Ionic-Electronic Conducting Perovskites as Nanostructured Ferroelastics. In Advanced Nanomaterials for Catalysis and Energy; Elsevier: Amsterdam, The Netherlands, 2019; pp. 515–555. [Google Scholar]
- Keitsiro, A. Possible Species of Ferromagnetic, Ferroelectric, and Ferroelastic Crystals. Phys. Rev. B 1970, 2, 754. [Google Scholar]
- Salje, E.K.H. Ferroelastic Materials. Annu. Rev. Mater. Res. 2012, 42, 265–283. [Google Scholar] [CrossRef]
- Orlovskaya, N.; Browning, N.; Nicholls, A. Ferroelasticity in mixed conducting LaCoO3 based perovskites: A ferroelastic phase transition. Acta Mater. 2003, 51, 5063–5071. [Google Scholar] [CrossRef]
- Araki, W.; Takeda, K.; Arai, Y. Mechanical behaviour of ferroelastic lanthanum metal oxides LaMO3 (M = Co, Al, Ga, Fe). J. Eur. Ceram. Soc. 2016, 36, 4089–4094. [Google Scholar] [CrossRef]
- Akbari-Fakhrabadi, A.; Rodríguez, O.; Rojas, R.; Meruane, V.; Pishahang, M.H. Ferroelastic behavior of LaCoO3: A comparison of impression and compression techniques. J. Eur. Ceram. Soc. 2019, 39, 1569–1576. [Google Scholar] [CrossRef]
- Lugovy, M.; Aman, A.; Orlovskaya, N.; Slyunyayev, V.; Graule, T.; Kuebler, J.; Reece, M.J.; Chen, Y.; Ma, N.; An, K. Time and frequency dependent mechanical properties of LaCoO3-based perovskites: Neutron diffraction and domain mobility. J. Appl. Phys. 2018, 124, 205104. [Google Scholar] [CrossRef]
- Zhou, D.; Kamlah, M. Room-temperature creep of soft PZT under static electrical and compressive stress loading. Acta Mater. 2006, 54, 1389–1396. [Google Scholar] [CrossRef]
- Forrester, J.S.; Kisi, E.H. Ferroelastic switching in a soft lead zirconate titanate. J. Eur. Ceram. Soc. 2004, 24, 595–602. [Google Scholar] [CrossRef]
- Araki, W.; Abe, T.; Arai, Y. Ferroelasticity and spin-state transitions of LaCoO3. J. Appl. Phys. 2014, 116, 043513. [Google Scholar] [CrossRef]
- Lugovy, M.; Slyunyayev, V.; Orlovskaya, N.; Verbylo, D.; Reece, M.J. Room-temperature creep of LaCoO3-based perovskites: Equilibrium strain under compression. Phys. Rev. B 2008, 78, 024107. [Google Scholar] [CrossRef]
- Lugovy, M.; Orlovskaya, N.; Pathak, S.; Radovic, M.; Lara-Curzio, E.; Verbylo, D.; Kuebler, J.; Graule, T.; Reece, M.J. Time and frequency dependent mechanical properties of LaCoO3-based perovskites: Internal friction and negative creep. J. Appl. Phys. 2018, 124, 205103. [Google Scholar] [CrossRef]
- Pan, Z.; Huang, S.; Su, Y.; Qiao, M.; Zhang, Q. Strain field measurements over 3000 °C using 3D-Digital image correlation. Opt. Lasers Eng. 2020, 127, 105942. [Google Scholar] [CrossRef]
- Islam, M.; Araki, W.; Arai, Y. Mechanical behavior of ferroelastic porous La0.6Sr0.4Co0.2Fe0.8O3-δ prepared with different pore formers. Ceram. Int. 2017, 43, 14989–14995. [Google Scholar] [CrossRef]
- Islam, N.; Araki, W.; Arai, Y. Mechanical properties of ferroelastic La0.6Sr0.4Co0.2Fe0.8O3-δ with various porosities and pore sizes. J. Mater. Sci. 2019, 54, 5256–5265. [Google Scholar] [CrossRef]
- Schulze-Küppers, F.; Baumann, S.; Tietz, F.; Bouwmeester, H.J.M.; Meulenberg, W.A. Towards the fabrication of La0.98-xSrxCo0.2Fe0.8O3-δ perovskite-type oxygen transport membranes. J. Eur. Ceram. Soc. 2014, 34, 3741–3748. [Google Scholar] [CrossRef]
- Brisotto, M.; Cernuschi, F.; Drago, F.; Lenardi, C.; Rosa, P.; Meneghini, C.; Merlini, M.; Rinaldi, C. High temperature stability of Ba0.5Sr0.5Co0.8Fe0.2O3-δ and La0.6Sr0.4Co1-yFeyO3-δ oxygen separation perovskite membrane. J. Eur. Ceram. Soc. 2016, 36, 1679–1690. [Google Scholar] [CrossRef]
- Hwang, S.C.; Lynch, C.S.; Mcmeeking, R.M. Ferroelectric/ferroelastic interactions and a polarization switching model. Acta Metall. Mater. 1995, 43, 2073–2084. [Google Scholar] [CrossRef]
- Huang, B.X.; Steinbrech, R.W.; Malzbender, J. Direct observation of ferroelastic domain effects in LSCF perovskites. Solid State Ionics 2012, 228, 32–36. [Google Scholar] [CrossRef]
- Lu, G.; Li, S.; Ding, X.; Sun, J.; Salje, E.K.H. Ferroelectric switching in ferroelastic materials with rough surfaces. Sci. Rep. 2019, 9, 15834. [Google Scholar] [CrossRef] [PubMed]









| PMMA wt % | Porosity (%) | Average Grain Size (µm) | (MPa) | E1 (GPa) | Es (GPa) | E2 (GPa) | (%) | |
|---|---|---|---|---|---|---|---|---|
| LSCF-P5 | 5 | 15 ± 2 | 1.6 | 23 | 35 | 14 | 26 | 0.04 |
| LSCF-P20 | 20 | 35 ± 3 | 1.7 | 18 | 21 | 9 | 23 | 0.11 |
| Prony Series Equation | R2 | |
|---|---|---|
| LSCF-P5-0MPa | 0.87 | |
| LSCF-P5-25MPa | 0.94 | |
| LSCF-P5-50MPa | 0.89 | |
| LSCF-P20-25MPa | 0.99 |
Publisher’s Note: MDPI stays neutral with regard to jurisdictional claims in published maps and institutional affiliations. |
© 2020 by the authors. Licensee MDPI, Basel, Switzerland. This article is an open access article distributed under the terms and conditions of the Creative Commons Attribution (CC BY) license (http://creativecommons.org/licenses/by/4.0/).
Share and Cite
Arnauda, B.; Akbari-Fakhrabadi, A.; Orlovskaya, N.; Meruane, V.; Araki, W. Room Temperature Ferroelastic Creep Behavior of Porous (La0.6Sr0.4)0.95Co0.2Fe0.8O3-δ. Processes 2020, 8, 1346. https://doi.org/10.3390/pr8111346
Arnauda B, Akbari-Fakhrabadi A, Orlovskaya N, Meruane V, Araki W. Room Temperature Ferroelastic Creep Behavior of Porous (La0.6Sr0.4)0.95Co0.2Fe0.8O3-δ. Processes. 2020; 8(11):1346. https://doi.org/10.3390/pr8111346
Chicago/Turabian StyleArnauda, Barbara, Ali Akbari-Fakhrabadi, Nina Orlovskaya, Viviana Meruane, and Wakako Araki. 2020. "Room Temperature Ferroelastic Creep Behavior of Porous (La0.6Sr0.4)0.95Co0.2Fe0.8O3-δ" Processes 8, no. 11: 1346. https://doi.org/10.3390/pr8111346
APA StyleArnauda, B., Akbari-Fakhrabadi, A., Orlovskaya, N., Meruane, V., & Araki, W. (2020). Room Temperature Ferroelastic Creep Behavior of Porous (La0.6Sr0.4)0.95Co0.2Fe0.8O3-δ. Processes, 8(11), 1346. https://doi.org/10.3390/pr8111346

