Effect of a Passivator Synthesized by Wastes of Iron Tailings and Biomass on the Leachability of Cd/Pb and Safety of Pak Choi (Brassica chinensis L.) in Contaminated Soil
Abstract
:1. Introduction
2. Materials and Methods
2.1. Chemicals and Soil
2.2. Soil Passivator Preparation
2.3. Soil Experiments and Pot Experiments
2.4. Analytic Methods
2.5. Data Analysis
3. Results and Discussion
3.1. Leaching Toxicity and Soil Amendment
3.2. FTIR Analysis and SEM of the Biochar
3.3. Soil Properties
3.4. Availability and Fractionation of Cd and Pb in Soil
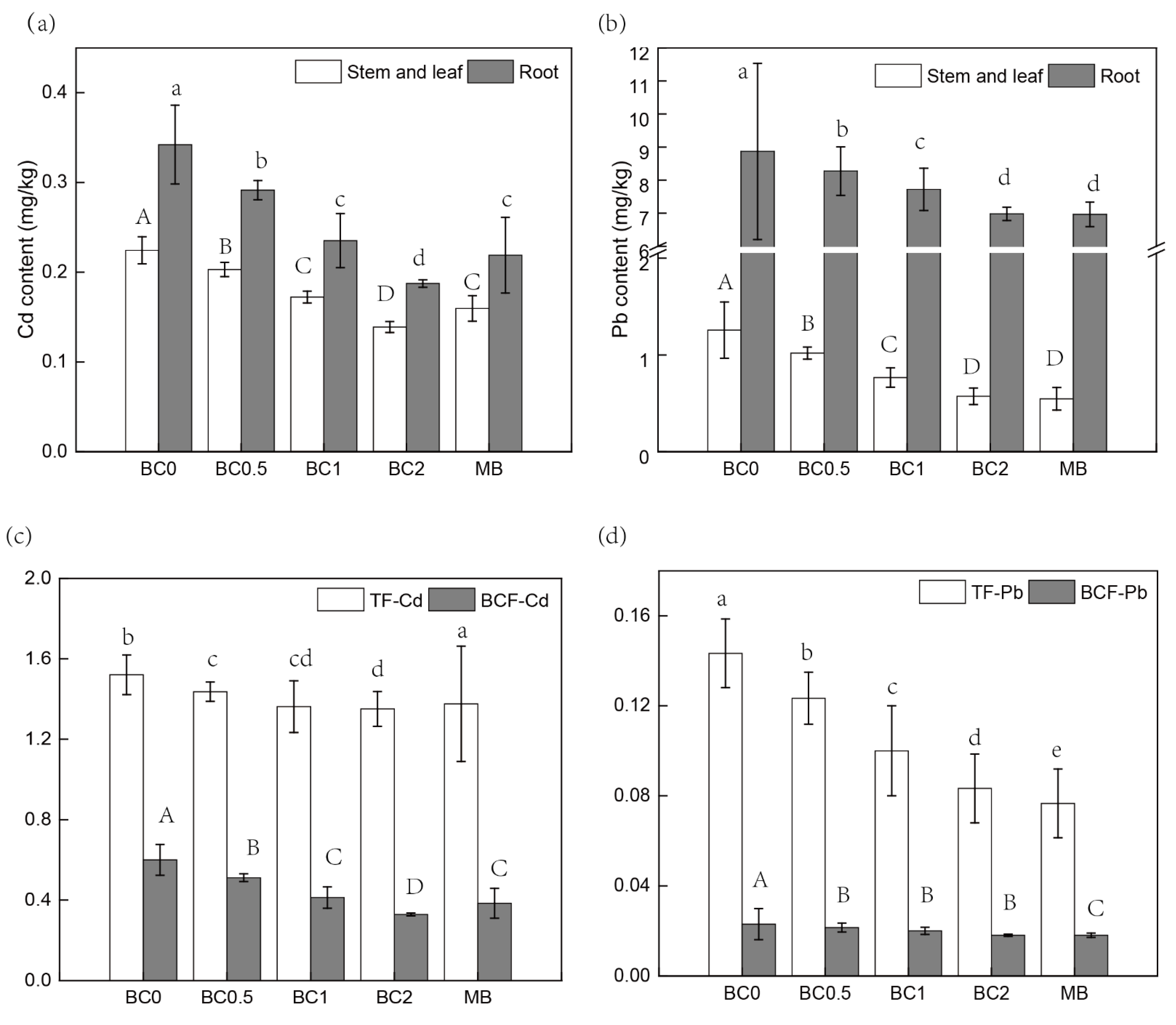
3.5. Physiological Characteristics and Cd, Pb Concentrations in Pak Choi
3.6. Relationship among Parameters
3.7. Health Risk Assessment of Cd and Pb Intake in Pak Choi
4. Conclusions
Supplementary Materials
Author Contributions
Funding
Institutional Review Board Statement
Informed Consent Statement
Data Availability Statement
Acknowledgments
Conflicts of Interest
References
- Lu, A.; Wang, J.; Qin, X.; Wang, K.; Han, P.; Zhang, S. Multivariate and geostatistical analyses of the spatial distribution and origin of heavy metals in the agricultural soils in Shunyi, Beijing, China. Sci. Total Environ. 2012, 425, 66–74. [Google Scholar] [CrossRef]
- Niu, L.; Yang, F.; Xu, C.; Yang, H.; Liu, W. Status of metal accumulation in farmland soils across China: From distribution to risk assessment. Environ. Pollut. 2013, 176, 55–62. [Google Scholar] [CrossRef]
- Jiang, S.; Dai, G.; Zhou, J.; Zhong, J.; Liu, J.; Shu, Y. An assessment of integrated amendments of biochar and soil replacement on the phytotoxicity of metal(loid)s in rotated radish-soya bean-amaranth in a mining acidy soil. Chemosphere 2021, 287, 132082. [Google Scholar] [CrossRef]
- Qin, J.; Niu, A.; Liu, Y.; Lin, C. Arsenic in leafy vegetable plants grown on mine water-contaminated soils: Uptake, human health risk and remedial effects of biochar. J. Hazard. Mater. 2021, 402, 123488. [Google Scholar] [CrossRef]
- Zhong, Q.; Zhou, Y.; Tsang, D.; Liu, J.; Yang, X.; Yin, M.; Wu, S.; Wang, J.; Xiao, T.; Zhang, Z. Cadmium isotopes as tracers in environmental studies: A review. Sci. Total Environ. 2020, 736, 139585. [Google Scholar] [CrossRef] [PubMed]
- Zhong, Q.; Yin, M.; Zhang, Q.; Beiyuan, J.; Liu, J.; Yang, X.; Wang, J.; Wang, L.; Jiang, Y.; Xiao, T.; et al. Cadmium isotopic fractionation in lead-zinc smelting process and signatures in fluvial sediments. J. Hazard. Mater. 2021, 411, 125015. [Google Scholar] [CrossRef] [PubMed]
- Murtaza, G.; Murtaza, B.; Niazi, N.K.; Sabir, M. Soil Contaminants: Sources, Effects, and Approaches for Remediation. In Improvement of Crops in the Era of Climatic Changes; Springer: New York, NY, USA, 2014; pp. 171–196. [Google Scholar]
- Venegas, A.; Rigol, A.; Vidal, M. Viability of organic wastes and biochars as amendments for the remediation of heavy metal-contaminated soils. Chemosphere 2015, 119, 190–198. [Google Scholar]
- Xu, C.; Qi, J.; Yang, W.; Chen, Y.; Yang, C.; He, Y.; Wang, J.; Lin, A. Immobilization of heavy metals in vegetable-growing soils using nano zero-valent iron modified attapulgite clay. Sci. Total Environ. 2019, 686, 476–483. [Google Scholar] [CrossRef] [PubMed]
- Zhuang, P.; McBride, M.B.; Xia, H.; Li, N.; Li, Z. Health risk from heavy metals via consumption of food crops in the vicinity of Dabaoshan mine, South China. Sci. Total Environ. 2009, 407, 1551–1561. [Google Scholar] [CrossRef]
- Khalid, S.; Shahid, M.; Niazi, N.K.; Murtaza, B.; Bibi, I.; Dumat, C. A comparison of technologies for remediation of heavy metal contaminated soils. J. Geochem. Explor. 2017, 182, 247–268. [Google Scholar] [CrossRef] [Green Version]
- Yao, Z.; Li, J.; Xie, H.; Yu, C. Review on Remediation Technologies of Soil Contaminated by Heavy Metals. Procedia Environ. Sci. 2012, 16, 722–729. [Google Scholar] [CrossRef] [Green Version]
- Duan, M.-M.; Wang, S.; Huang, D.-Y.; Zhu, Q.-H.; Liu, S.-L.; Zhang, Q.; Zhu, H.-H.; Xu, C. Effectiveness of simultaneous applications of lime and zinc/iron foliar sprays to minimize cadmium accumulation in rice. Ecotoxicol. Environ. Saf. 2018, 165, 510–515. [Google Scholar] [CrossRef]
- Huang, X.; Zhao, H.; Hu, X.; Liu, F.; Wang, L.; Zhao, X.; Gao, P.; Ji, P. Optimization of preparation technology for modified coal fly ash and its adsorption properties for Cd2+. J. Hazard. Mater. 2020, 392, 122461. [Google Scholar] [CrossRef]
- Yang, T.; Wang, Y.; Sheng, L.; He, C.; Sun, W.; He, Q. Enhancing Cd(II) sorption by red mud with heat treatment: Performance and mechanisms of sorption. J. Environ. Manag. 2020, 255, 109866. [Google Scholar] [CrossRef]
- Yang, D.; Deng, W.; Tan, A.; Chu, Z.; Wei, W.; Zheng, R.; Shangguan, Y.; Sasaki, A.; Endo, M.; Chen, H. Protonation stabilized high As/F mobility red mud for Pb/As polluted soil remediation. J. Hazard. Mater. 2021, 404, 124143. [Google Scholar] [CrossRef] [PubMed]
- Hong, Y.-X.; Ning, X.-A.; Lu, X.-W.; Li, Y.; Lai, X.-J.; Zeng, J.; Chen, C.-H. Effect of chlorine on the volatilization of heavy metals by roasting iron tailings. China Environ. Sci. 2020, 40, 2276–2286. [Google Scholar]
- Li, R.; Cai, H.; Ning, X. Separation of lead, copper, cadmium in iron tailings by CaCl2 chlorination roasting method. Chin. J. Environ. Eng. 2021, 15, 1083–1091. [Google Scholar]
- Sun, T.; Xu, Y.; Sun, Y.; Wang, L.; Liang, X.; Zheng, S. Cd immobilization and soil quality under Fe–modified biochar in weakly alkaline soil. Chemosphere 2021, 280, 130606. [Google Scholar] [CrossRef] [PubMed]
- Yuan, S.; Hong, M.; Li, H.; Ye, Z.; Gong, H.; Zhang, J.; Huang, Q.; Tan, Z. Contributions and mechanisms of components in modified biochar to adsorb cadmium in aqueous solution. Sci. Total Environ. 2020, 733, 139320. [Google Scholar] [CrossRef]
- Wu, L.; Zhang, S.; Wang, J.; Ding, X. Phosphorus retention using iron (II/III) modified biochar in saline-alkaline soils: Adsorption, column and field tests. Environ. Pollut. 2020, 261, 114223. [Google Scholar] [CrossRef] [PubMed]
- Zhou, X.; Liu, Y.; Zhou, J.; Guo, J.; Ren, J.; Zhou, F. Efficient removal of lead from aqueous solution by urea-functionalized magnetic biochar: Preparation, characterization and mechanism study. J. Taiwan Inst. Chem. Eng. 2018, 91, 457–467. [Google Scholar] [CrossRef]
- Kamran, M.; Malik, Z.; Parveen, A.; Zong, Y.; Abbasi, G.H.; Rafiq, M.T.; Shaaban, M.; Mustafa, A.; Bashir, S.; Rafay, M.; et al. Biochar alleviates Cd phytotoxicity by minimizing bioavailability and oxidative stress in pak choi (Brassica chinensis L.) cultivated in Cd-polluted soil. J. Environ. Manag. 2019, 250, 109500. [Google Scholar] [CrossRef]
- Lu, R. Analytical Methods of Soil Agrochemistry; China Agricultural Science and Technology Publishing House: Beijing, China, 1999; pp. 18–99. [Google Scholar]
- Jiang, S.; Liu, J.; Wu, J.; Dai, G.; Wei, D.; Shu, Y. Assessing biochar application to immobilize Cd and Pb in a contaminated soil: A field experiment under a cucumber–sweet potato–rape rotation. Environ. Geochem. Health 2020, 42, 4233–4244. [Google Scholar] [CrossRef] [PubMed]
- Wang, Y.; Xiao, X.; Zhang, K.; Chen, B. Effects of biochar amendment on the soil silicon cycle in a soil-rice ecosystem. Environ. Pollut. 2019, 248, 823–833. [Google Scholar] [CrossRef] [PubMed]
- Tessier, A.; Campbell, P.; Bisson, M. Sequential extraction procedure for the speciation of particulate trace metals. Anal. Chem. 1979, 51, 844–851. [Google Scholar] [CrossRef]
- Jin, Y.; Liang, X.; He, M.; Liu, Y.; Tian, G.; Shi, J. Manure biochar influence upon soil properties, phosphorus distribution and phosphatase activities: A microcosm incubation study. Chemosphere 2016, 142, 128–135. [Google Scholar] [CrossRef] [PubMed]
- Cui, H.; Fan, Y.; Yang, J.; Xu, L.; Zhou, J.; Zhu, Z. In situ phytoextraction of copper and cadmium and its biological impacts in acidic soil. Chemosphere 2016, 161, 233–241. [Google Scholar] [CrossRef] [PubMed]
- Johnson, J.L.; Temple, K.L. Some Variables Affecting the Measurement of “Catalase Activity” in Soil. Soil Sci. Soc. Am. J. 1964, 28, 207–209. [Google Scholar] [CrossRef]
- Zhang, M.; Hu, C.; Zhao, X.; Tan, Q.; Sun, X.; Cao, A.; Cui, M.; Zhang, Y. Molybdenum improves antioxidant and osmotic-adjustment ability against salt stress in Chinese cabbage (Brassica campestris L. ssp. Pekinensis). Plant Soil 2012, 355, 375–383. [Google Scholar] [CrossRef]
- Huang, H.; Rizwan, M.; Li, M.; Song, F.; Zhou, S.; He, X.; Ding, R.; Dai, Z.; Yuan, Y.; Cao, M.; et al. Comparative efficacy of organic and inorganic silicon fertilizers on antioxidant response, Cd/Pb accumulation and health risk assessment in wheat (Triticum aestivum L.). Environ. Pollut. 2019, 255, 113146. [Google Scholar] [CrossRef]
- Heath, R.L.; Packer, L.J. Photoperoxidation in isolated chloroplasts. i. kinetics and stoichiometry of fatty acid peroxidation. Arch. Biochem. Biophys. 1968, 125, 189–198. [Google Scholar] [CrossRef]
- Yu, J.; Sun, L.; Ma, C.; Qiao, Y.; Xiang, J.; Hu, S.; Yao, H. Mechanism on heavy metals vaporization from municipal solid waste fly ash by MgCl2 6H2O. Waste Manag. 2016, 49, 124–130. [Google Scholar] [CrossRef] [PubMed]
- Li, H.; Ma, A.; Srinivasakannan, C.; Zhang, L.; Li, S.; Yin, S. Investigation on the recovery of gold and silver from cyanide tailings using chlorination roasting process. J. Alloys Compd. 2018, 763, 241–249. [Google Scholar] [CrossRef]
- Wu, C.; Shi, L.; Xue, S.; Li, W.; Jiang, X.; Rajendran, M.; Qian, Z. Effect of sulfur-iron modified biochar on the available cadmium and bacterial community structure in contaminated soils. Sci. Total Environ. 2019, 647, 1158–1168. [Google Scholar] [CrossRef]
- Sun, T.; Xu, Y.; Sun, Y.; Wang, L.; Liang, X.; Jia, H. Crayfish shell biochar for the mitigation of Pb contaminated water and soil: Characteristics, mechanisms, and applications. Environ. Pollut. 2021, 271, 116308. [Google Scholar] [CrossRef] [PubMed]
- Rajendran, M.; Shi, L.; Wu, C.; Li, W.C.; An, W.; Liu, Z.; Xue, S. Effect of sulfur and sulfur-iron modified biochar on cadmium availability and transfer in the soil–rice system. Chemosphere 2019, 222, 314–322. [Google Scholar] [CrossRef] [PubMed]
- Li, J.; Zheng, L.; Wang, S.-L.; Wu, Z.; Wu, W.; Niazi, N.K.; Shaheen, S.M.; Rinklebe, J.; Bolan, N.; Ok, Y.S.; et al. Sorption mechanisms of lead on silicon-rich biochar in aqueous solution: Spectroscopic investigation. Sci. Total Environ. 2019, 672, 572–582. [Google Scholar] [CrossRef]
- Yao, X.; Ji, L.; Guo, J.; Ge, S.; Lu, W.; Cai, L.; Wang, Y.; Song, W.; Zhang, H. Magnetic activated biochar nanocomposites derived from wakame and its application in methylene blue adsorption. Bioresour. Technol. 2020, 302, 122842. [Google Scholar] [CrossRef] [PubMed]
- Wu, J.; Huang, D.; Liu, X.; Meng, J.; Tang, C.; Xu, J. Remediation of As(III) and Cd(II) co-contamination and its mechanism in aqueous systems by a novel calcium-based magnetic biochar. J. Hazard. Mater. 2018, 348, 10–19. [Google Scholar] [CrossRef]
- Azeem, M.; Ali, A.; Jeyasundar, P.G.S.A.; Li, Y.; Abdelrahman, H.; Latif, A.; Li, R.; Basta, N.; Li, G.; Shaheen, S.M.; et al. Bone-derived biochar improved soil quality and reduced Cd and Zn phytoavailability in a multi-metal contaminated mining soil. Environ. Pollut. 2021, 277, 116800. [Google Scholar] [CrossRef]
- Awasthi, M.K.; Wang, Q.; Chen, H.; Liu, T.; Awasthi, S.K.; Duan, Y.; Varjani, S.; Pandey, A.; Zhang, Z. Role of compost biochar amendment on the (im)mobilization of cadmium and zinc for Chinese cabbage (Brassica rapa L.) from contaminated soil. J. Soils Sediments 2019, 19, 3883–3897. [Google Scholar] [CrossRef]
- Bashir, S.; Hussain, Q.; Shaaban, M.; Hu, H. Efficiency and surface characterization of different plant derived biochar for cadmium (Cd) mobility, bioaccessibility and bioavailability to Chinese cabbage in highly contaminated soil. Chemosphere 2018, 211, 632–639. [Google Scholar] [CrossRef] [PubMed]
- Albert, H.A.; Li, X.; Jeyakumar, P.; Wei, L.; Huang, L.; Huang, Q.; Kamran, M.; Shaheen, S.M.; Hou, D.; Rinklebe, J.; et al. Influence of biochar and soil properties on soil and plant tissue concentrations of Cd and Pb: A meta-analysis. Sci. Total Environ. 2021, 755, 142582. [Google Scholar] [CrossRef]
- Liu, Z.; Chen, X.; Jing, Y.; Li, Q.; Zhang, J.; Huang, Q. Effects of biochar amendment on rapeseed and sweet potato yields and water stable aggregate in upland red soil. Catena 2014, 123, 45–51. [Google Scholar] [CrossRef]
- Salam, A.; Bashir, S.; Khan, I.; Hussain, Q.; Gao, R.; Hu, H. Biochar induced Pb and Cu immobilization, phytoavailability attenuation in Chinese cabbage, and improved biochemical properties in naturally co-contaminated soil. J. Soils Sediments 2019, 19, 2381–2392. [Google Scholar] [CrossRef]
- Bailey, V.L.; Fansler, S.J.; Smith, J.L.; Bolton, H. Reconciling apparent variability in effects of biochar amendment on soil enzyme activities by assay optimization. Soil Biol. Biochem. 2011, 43, 296–301. [Google Scholar] [CrossRef]
- Dempster, D.N.; Gleeson, D.; Solaiman, Z.; Jones, D.L.; Murphy, D. Decreased soil microbial biomass and nitrogen mineralisation with Eucalyptus biochar addition to a coarse textured soil. Plant Soil 2012, 354, 311–324. [Google Scholar] [CrossRef]
- Chen, J.; Liu, X.; Zheng, J.; Zhang, B.; Lu, H.; Chi, Z.; Pan, G.; Li, L.; Zheng, J.; Zhang, X.; et al. Biochar soil amendment increased bacterial but decreased fungal gene abundance with shifts in community structure in a slightly acid rice paddy from Southwest China. Appl. Soil Ecol. 2013, 71, 33–44. [Google Scholar] [CrossRef]
- Guo, X.; Xie, X.; Liu, Y.; Wang, C.; Yang, M.; Huang, Y. Effects of digestate DOM on chemical behavior of soil heavy metals in an abandoned copper mining areas. J. Hazard. Mater. 2020, 393, 122436. [Google Scholar] [CrossRef]
- Park, J.H.; Choppala, G.K.; Bolan, N.S.; Chung, J.W.; Chuasavathi, T. Biochar reduces the bioavailability and phytotoxicity of heavy metals. Plant Soil 2011, 348, 439–451. [Google Scholar] [CrossRef]
- Ahmad, M.; Lee, S.S.; Lee, S.E.; Al-Wabel, M.I.; Tsang, D.C.W.; Ok, Y.S. Biochar-induced changes in soil properties affected immobilization/mobilization of metals/metalloids in contaminated soils. J. Soils Sediments 2017, 17, 717–730. [Google Scholar] [CrossRef]
- Fernández-Calviño, D.; Pérez-Armada, L.; Cutillas-Barreiro, L.; Paradelo, R.; Núñez-Delgado, A.; Fernández-Sanjurjo, M.J.; Álvarez, E.; Arias-Estévez, M. Changes in Cd, Cu, Ni, Pb and Zn Fractionation and Liberation Due to Mussel Shell Amendment on a Mine Soil. Land Degrad. Dev. 2016, 27, 1276–1285. [Google Scholar] [CrossRef]
- Shabbir, A.; Saqib, M.; Murtaza, G.; Abbas, G.; Imran, M.; Rizwan, M.; Naeem, M.A.; Ali, S.; Javeed, H.M.R. Biochar mitigates arsenic-induced human health risks and phytotoxicity in quinoa under saline conditions by modulating ionic and oxidative stress responses. Environ. Pollut. 2021, 287, 117348. [Google Scholar] [CrossRef] [PubMed]
- Rehman, M.Z.U.; Waqar, M.; Bashir, S.; Rizwan, M.; Ali, S.; Baroudy, A.A.E.F.E.; Khalid, H.; Ayub, M.A.; Usman, M.; Jahan, S. Effect of biochar and compost on cadmium bioavailability and its uptake by wheat–rice cropping system irrigated with untreated sewage water: A field study. Arab. J. Geosci. 2021, 14, 135. [Google Scholar] [CrossRef]
- Zhao, H.; Huang, X.; Liu, F.; Hu, X.; Zhao, X.; Wang, L.; Gao, P.; Li, J.; Ji, P. Potential of a novel modified gangue amendment to reduce cadmium uptake in lettuce (Lactuca sativa L.). J. Hazard. Mater. 2021, 410, 124543. [Google Scholar] [CrossRef]
- Abbas, T.; Rizwan, M.; Ali, S.; Rehman, M.Z.U.; Qayyum, M.F.; Abbas, F.; Hannan, F.; Rinklebe, J.; Ok, Y.S. Effect of biochar on cadmium bioavailability and uptake in wheat ( Triticum aestivum L.) grown in a soil with aged contamination. Ecotoxicol. Environ. Saf. 2017, 140, 37–47. [Google Scholar] [CrossRef] [PubMed]
- Zhou, X.; Zhou, A.-Q.; Cao, H.-B.; Liu, J.-W.; Chen, Y.-J.; Zhang, A.-C. Safety limits of heavy metals in planted soil of Chinese cabbage based on health risk assessment. J. Agro-Environ. Sci. 2020, 39, 1213–1220. [Google Scholar]
- Cao, C.; Zhang, S.; Zhang, P. Heavy metal contamination in soil–vegetable systems and its health risks in an area irrigated with acid mine drainage in Dabaoshan, Guangdong, China. J. Agro-Environ. Sci. 2020, 39, 1–16. [Google Scholar]







| Property | Soil | MB | T-BC4 | Standard a | Standard b |
|---|---|---|---|---|---|
| pH | 4.08 (1:2.5, (w/v)) | 9.08 (1:10, (w/v)) | 8.36 (1:10, (w/v)) | pH ≤ 5.5 | pH ≤ 5.5 |
| EC (ms/cm) | 0.76 | 1.51 | 3.5 | - | - |
| CEC (cmol/kg) | 9.72 | 41.6 | 37.4 | - | - |
| Soil organic carbon (%) | 1.89 | 73.48 | 27.46 | - | - |
| Available N (mg /kg) | 33.76 | - | - | - | - |
| Available p (mg /kg) | 8.79 | - | - | - | - |
| Available k (mg /kg) | 73.69 | - | - | - | - |
| Sand (%) | 53.9 | - | - | - | - |
| Silt (%) | 11.50 | - | - | - | - |
| Clay (%) | 34.60 | - | - | - | - |
| Total Cd (mg/kg) | 0.57 | 0.02 | 0.35 | 0.3 | 1.5 |
| Total Pb (mg/kg) | 385 | 0.59 | 47.13 | 70 | 400 |
| Treatemnt | pH | CEC | SOC | DOC | A-P | A-Si | A-K | A-Mg | A-Ca |
|---|---|---|---|---|---|---|---|---|---|
| BC0 | 4.57 ± 0.15 e | 9.72 ± 0.08 c | 1.89 ± 0.03 e | 115.76 ± 1.84 d | 8.79 ± 0.05 d | 75.01 ± 2.52 d | 76.29 ± 2.30 d | 46.51 ± 0.86 d | 159.38 ± 2.99 d |
| BC0.5 | 4.96 ± 0.02 d | 9.88 ± 0.06 b | 1.98 ± 0.05 d | 103.74 ± 2.02 d | 11.78 ± 0.18 c | 107.23 ± 2.54 c | 111.34 ± 5.96 c | 65.61 ± 1.41 c | 213.10 ± 4.60 c |
| BC1 | 5.04 ± 0.01 c | 9.95 ± 0.05 a | 2.07 ± 0.07 c | 177.5 ± 2.30 c | 14.37 ± 1.04 b | 133.26 ± 6.79 b | 185.22 ± 3.97 a | 76.59 ± 1.2 b | 338.91 ± 4.28 a |
| BC2 | 5.21 ± 0.01 b | 9.98 ± 0.11 a | 2.12 ± 0.06 b | 195.8 ± 2.84 b | 16.56 ± 1.06 a | 144.92 ± 3.48 a | 140.98 ± 9.82 b | 64.81 ± 2.47 c | 283.03 ± 7.69 b |
| MB | 5.37 ± 0.04 a | 10.03 ± 0.21 a | 2.26 ± 0.08 a | 230.88 ± 3.78 a | 14.45 ± 0.03 b | 131.55 ± 4.25 b | 147.81 ± 7.23 b | 86.05 ± 4.22 a | 288.12 ± 8.18 b |
| Resident Group | Daily Dietary Intake (kg/d) | Treatment | EDI-Pb | EDI-Cd | THQ-Pb | THQ-Cd |
|---|---|---|---|---|---|---|
| Children | 0.229 | BC0 | 9.82 | 1.75 | 2.81 | 1.75 |
| BC0.5 | 7.97 | 1.56 | 2.28 | 1.56 | ||
| BC1 | 5.99 | 1.35 | 1.71 | 1.35 | ||
| BC2 | 4.48 | 1.09 | 1.28 | 1.09 | ||
| MB | 4.27 | 1.25 | 1.22 | 1.25 | ||
| Adults | 0.357 | BC0 | 7.42 | 1.32 | 2.12 | 1.32 |
| BC0.5 | 6.02 | 1.18 | 1.72 | 1.18 | ||
| BC1 | 4.52 | 1.02 | 1.29 | 1.02 | ||
| BC2 | 3.38 | 0.82 | 0.97 | 0.82 | ||
| MB | 3.23 | 0.94 | 0.92 | 0.94 |
Publisher’s Note: MDPI stays neutral with regard to jurisdictional claims in published maps and institutional affiliations. |
© 2021 by the authors. Licensee MDPI, Basel, Switzerland. This article is an open access article distributed under the terms and conditions of the Creative Commons Attribution (CC BY) license (https://creativecommons.org/licenses/by/4.0/).
Share and Cite
Zhou, Y.; Li, L. Effect of a Passivator Synthesized by Wastes of Iron Tailings and Biomass on the Leachability of Cd/Pb and Safety of Pak Choi (Brassica chinensis L.) in Contaminated Soil. Processes 2021, 9, 1866. https://doi.org/10.3390/pr9111866
Zhou Y, Li L. Effect of a Passivator Synthesized by Wastes of Iron Tailings and Biomass on the Leachability of Cd/Pb and Safety of Pak Choi (Brassica chinensis L.) in Contaminated Soil. Processes. 2021; 9(11):1866. https://doi.org/10.3390/pr9111866
Chicago/Turabian StyleZhou, Yang, and Lili Li. 2021. "Effect of a Passivator Synthesized by Wastes of Iron Tailings and Biomass on the Leachability of Cd/Pb and Safety of Pak Choi (Brassica chinensis L.) in Contaminated Soil" Processes 9, no. 11: 1866. https://doi.org/10.3390/pr9111866
APA StyleZhou, Y., & Li, L. (2021). Effect of a Passivator Synthesized by Wastes of Iron Tailings and Biomass on the Leachability of Cd/Pb and Safety of Pak Choi (Brassica chinensis L.) in Contaminated Soil. Processes, 9(11), 1866. https://doi.org/10.3390/pr9111866
