Mid-Term and Long-Lasting Psycho–Cognitive Benefits of Bidomain Training Intervention in Elderly Individuals with Mild Cognitive Impairment
Abstract
1. Introduction
2. Materials and Methods
2.1. Design of the Study
2.2. Participants
2.3. Interventions
2.4. Measures
2.5. Statistical Analysis
3. Results
3.1. Participant Characteristics
3.2. Neuropsychological Results
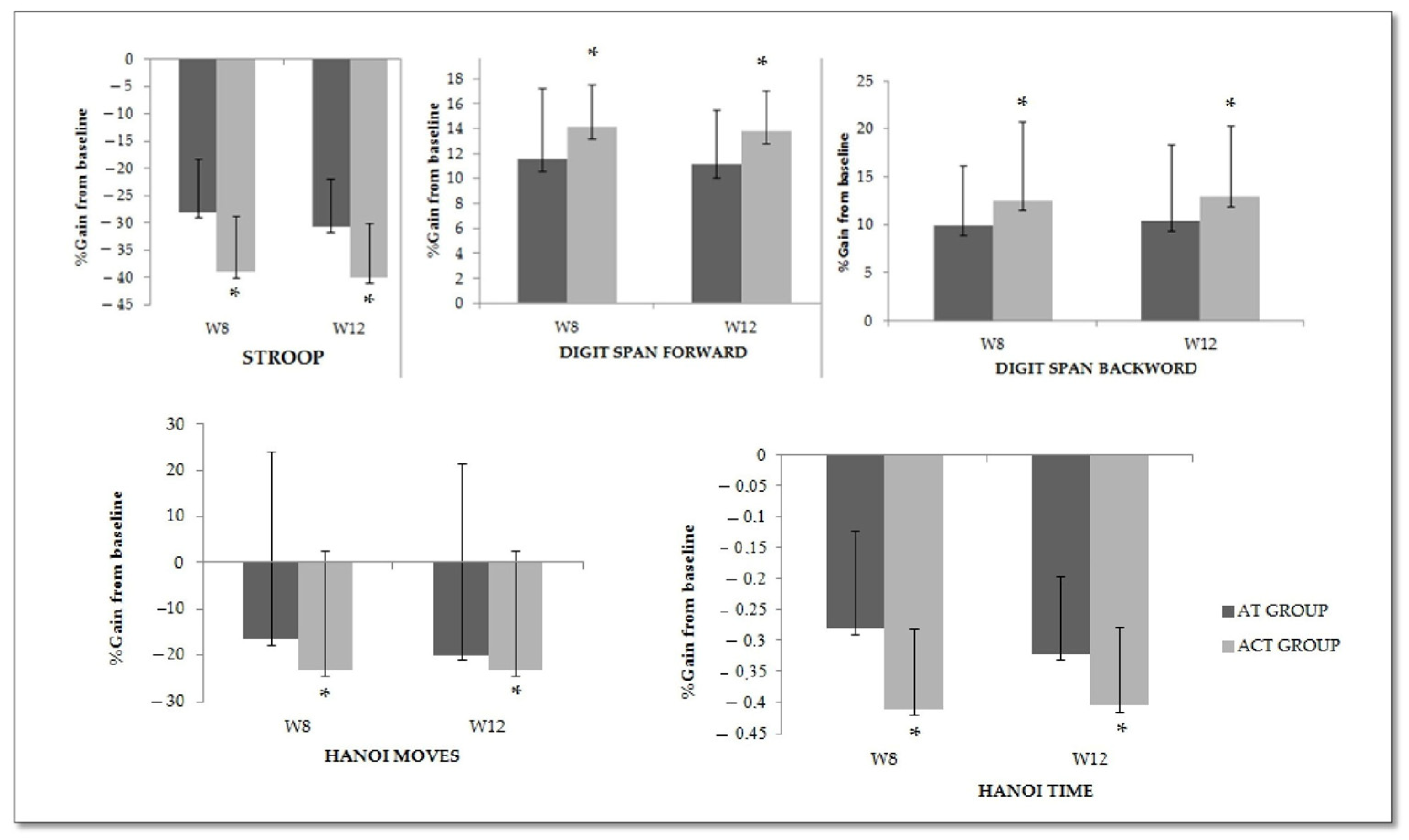
3.3. Training and Detraining Effects on Cognitive Performance
4. Discussion
5. Strengths and Limitations
6. Conclusions and Future Recommendations
Supplementary Materials
Author Contributions
Funding
Institutional Review Board Statement
Informed Consent Statement
Data Availability Statement
Acknowledgments
Conflicts of Interest
References
- The Epidemiology and Impact of Dementia: Current State and Future Trends. Genève, Organisation Mondiale de la Santé, 2015. Document WHO/MSD/MER/15.3. Available online: https://www.who.int/mental_health/neurology/dementia/dementia_thematicbrief_epidemiology.pdf (accessed on 8 April 2016).
- Ammar, A.; Boukhris, O.; Halfpaap, N.; Labott, B.K.; Langhans, C.; Herold, F.; Grässler, B.; Müller, P.; Trabelsi, K.; Chtourou, H.; et al. Four Weeks of Detraining Induced by COVID-19 Reverse Cardiac Improvements from Eight Weeks of Fitness-Dance Training in Older Adults with Mild Cognitive Impairment. Int. J. Environ. Res. Public Health 2021, 18, 5930. [Google Scholar] [CrossRef]
- Alzheimer’s Disease International. World Alzheimer Report 2018: The State of the Art of Dementia Research: New Frontiers [EB/OL]. 1 September 2018. Available online: https://www.alz.co.uk/research/WorldAlzheimerReport2018.pdf (accessed on 1 September 2023).
- Petersen, R.C.; Smith, G.E.; Waring, S.C.; Ivnik, R.J.; Tangalos, E.G.; Kokmen, E. Mild cognitive impairment: Clinical characterization and outcome. Arch. Neurol. 1999, 56, 303–308. [Google Scholar] [CrossRef]
- Busse, A.; Bischkopf, J.; Riedel-Heller, S.G.; Angermeyer, M.C. Mild cognitive impairment: Prevalence and incidence according to different diagnostic criteria. Results of the Leipzig Longitudinal Study of the Aged (LEILA75+). Br. J. Psychiatry 2003, 182, 449–454. [Google Scholar] [CrossRef]
- Barnes, D.E.; Yaffe, K. The projected effect of risk factor reduction on Alzheimer’s disease prevalence. Lancet Neurol. 2011, 10, 819–828. [Google Scholar] [CrossRef]
- Damirchi, A.; Hosseini, F.; Babaei, P. Mental Training Enhances Cognitive Function and BDNF More than Either Physical or Combined Training in Elderly Women With MCI: A Small-Scale Study. Am. J. Alzheimers Dis. Other Demen. 2018, 33, 20–29. [Google Scholar] [CrossRef]
- Northey, J.M.; Cherbuin, N.; Pumpa, K.L.; Smee, D.J.; Rattray, B. Exercise interventions for cognitive function in adults older than 50: A systematic review with meta-analysis. Br. J. Sport. Med. 2017, 52, 154–160. [Google Scholar] [CrossRef]
- Zheng, G.; Xia, R.; Zhou, W.; Tao, J.; Chen, L. Aerobic exercise ameliorates cognitive function in older adults with mild cognitive impairment: A systematic review and meta-analysis of randomised controlled trials. Br. J. Sport. Med. 2016, 50, 1443–1450. [Google Scholar] [CrossRef]
- Paumard, C. Benefits of physical activity on chronic pathologies. Neurol. Psychiatr. Gériatrie 2014, 14, 201–208. [Google Scholar] [CrossRef]
- Cass, S.P. Alzheimer’s Disease and Exercise: A Literature Review. Curr. Sport. Med. Rep. 2017, 16, 19–22. [Google Scholar] [CrossRef]
- Haeger, A.; Costa, A.S.; Schulz, J.B.; Reetz, K. Cerebral changes improved by physical activity during cognitive decline: A systematic review on MRI studies. Neuroimage Clin. 2019, 23, 101933. [Google Scholar] [CrossRef]
- Best, J.R.; Chiu, B.K.; Hall, P.A.; Liu-Ambrose, T. Larger lateral prefrontal cortex volume predicts better exercise adherence among older women: Evidence from two exercise training studies. J. Gerontol. A Biol. Sci. Med. Sci. 2017, 72, 804–810. [Google Scholar] [CrossRef]
- Ehlers, D.K.; Daugherty, A.M.; Burzynska, A.Z.; Fanning, J.; Awick, E.A.; Chaddock-Heyman, L.; Kramer, A.F.; McAuley, E. Regional brain volumes moderate, but do not mediate, the effects of group-based exercise training on reductions in loneliness in older adults. Front. Aging Neurosci. 2017, 9, 110. [Google Scholar] [CrossRef]
- Cammisuli, D.M.; Innocenti, A.; Fusi, J.; Franzoni, F.; Pruneti, C. Aerobic exercise effect upon cognition in mild cognitive impairment: A systematic review of randomized controlled trials. Arch. Ital. Biol. 2017, 155, 54–62. [Google Scholar] [CrossRef]
- Nuzum, H.; Stickel, A.; Corona, M.; Zeller, M.; Melrose, R.J.; Wilkins, S.S. Potential Benefits of Physical Activity in MCI and Dementia. Behav. Neurol. 2020, 2020, 7807856. [Google Scholar] [CrossRef]
- Tricco, A.C.; Soobia, C.; Berliner, S.; Ho, J.M.; Ng, C.H.; Ashoor, H.M.; Chen, M.H.; Hemmelgarn, B.; Straus, S.E. Efficacy and safety of cognitive enhancers for patients with mild cognitive impairment: A systematic review and meta-analysis. CMAJ 2013, 185, 1393–1401. [Google Scholar] [CrossRef]
- Russ, T.C. Cholinesterase inhibitors should not be prescribed for mild cognitive impairment. Evid. Based Med. 2014, 19, 101. [Google Scholar] [CrossRef]
- Zhou, Y.; Li, L.D. Exercise training for cognitive and physical function in patients with mild cognitive impairment: A PRISMA-compliant systematic review and meta-analysis. Medicine 2022, 101, e30168. [Google Scholar] [CrossRef]
- Herold, F.; Törpel, A.; Schega, L.; Schega, L.; Müller, N.G. Functional and/or structural brain changes in response to resistance exercises and resistance training lead to cognitive improvements—A systematic review. Eur. Rev. Aging Phys. Act. 2019, 16, 10. [Google Scholar] [CrossRef]
- Ströhle, A.; Schmidt, D.K.; Schultz, F.; Fricke, N.; Staden, T.; Hellweg, R.; Priller, J.; Rapp, M.A.; Rieckmann, N. Drug and Exercise Treatment of Alzheimer Disease and Mild Cognitive Impairment: A Systematic Review and Meta-Analysis of Effects on Cognition in Randomized Controlled Trials. Am. J. Geriatr. Psychiatry 2015, 23, 1234–1249. [Google Scholar] [CrossRef]
- Sacco, G.; Caillaud, C.; Ben Sadoun, G.; Robert, P.; David, R.; Brisswalter, J. Exercise Plus Cognitive Performance Over and Above Exercise Alone in Subjects with Mild Cognitive Impairment. J. Alzheimers Dis. 2016, 50, 19–25. [Google Scholar] [CrossRef]
- Lampit, A.; Hallock, H.; Valenzuela, M. Computerized cognitive training in cognitively healthy older adults: A systematic review and meta-analysis of effect modifiers. PLoS Med. 2014, 11, e1001756. [Google Scholar] [CrossRef]
- Lampit, A.; Hallock, H.; Moss, R.; Kwok, S.; Rosser, M.; Lukjanenko, M.; Kohn, A.; Naismith, S.; Brodaty, H.; Valenzuela, M. The time course of global cognitive gains from supervised computer assisted cognitive training: A randomised active controlled trail in elderly with multiple dementia risk factors. J. Prev. Alzheimers Dis. 2014, 1, 33–39. [Google Scholar]
- Zhu, X.; Yin, S.; Lang, M.; He, R.; Li, J. The more the better? A metaanalysis on efects of combined cognitive and physical intervention on cognition in healthy older adults. Ageing Res. Rev. 2016, 31, 67–79. [Google Scholar] [CrossRef] [PubMed]
- Karssemeijer, E.; Aaronson, J.A.; Bossers, W.J.; Smits, T.; Olde Rikkert, M.G.M.; Kessels, R.P.C. Positive effects of combined cognitive and physical exercise training on cognitive function in older adults with mild cognitive impairment or dementia: A meta-analysis. Ageing Res. Rev. 2017, 40, 75–83. [Google Scholar] [CrossRef] [PubMed]
- Schwenk, M.; Sabbagh, M.; Lin, I.; Morgan, P.; Grewal, G.S.; Mohler, J.; Coon, D.W.; Najafi, B. Sensor-based balance training with motion feedback in people with mild cognitive impairment. J. Rehabil. Res. Dev. 2016, 53, 945–958. [Google Scholar] [CrossRef]
- Delbroek, T.; Vermeylen, W.; Spildooren, J. The efect of cognitive-motor dual task training with the biorescue force platform on cognition, balance and dual task performance in institutionalized older adults: A randomized controlled trial. J. Phys. Ther. Sci. 2017, 29, 1137–1143. [Google Scholar] [CrossRef]
- Shimada, H.; Makizako, H.; Doi, T.; Park, H.; Tsutsumimoto, K.; Verghese, J.; Suzuki, T. Effects of combined physical and cognitive exercises on cognition and mobility in patients with mild cognitive impairment: A randomized clinical trial. J. Am. Med. Dir. Assoc. 2018, 19, 584–591. [Google Scholar] [CrossRef]
- Ben Ayed, I.; Castor-Guyonvarch, N.; Amimour, S.; Naija, S.; Aouichaoui, C.; Ben Omor, S.; Tabka, Z.; El Massioui, F. Acute Exercise and Cognitive Function in Alzheimer’s Disease. J. Alzheimers Dis. 2021, 82, 749–760. [Google Scholar] [CrossRef]
- Beck, T.W. The importance of a priori sample size estimation in strength and conditioning research. J. Strength Cond. Res. 2013, 27, 2323–2337. [Google Scholar] [CrossRef]
- Faul, F.; Erdfelder, E.; Lang, A.G.; Buchner, A. G*Power 3: A flexible statistical power analysis program for the social, behavioral, and biomedical sciences. Behav. Res. Methods 2007, 39, 175–191. [Google Scholar] [CrossRef]
- Dubois, B.; Feldman, H.H.; Jacova, C.; Hampel, H.; Molinuevo, J.L.; Blennow, K.; DeKosk, S.T.; Gauthier, S.; Selkoe, D.; Bateman, R.; et al. Advancing research diagnostic criteria for Alzheimer’s disease: The IWG-2 criteria. Lancet Neurol. 2014, 13, 614–629. [Google Scholar] [CrossRef]
- Folstein, M.F.; Folstein, S.E.; McHugh, P.R. “Mini-mental state”. A practical method for grading the cognitive state of patients for the clinician. J. Psychiatr. Res. 1975, 12, 189–198. [Google Scholar] [CrossRef]
- Guyatt, G.H.; Sullivan, M.J.; Thompson, P.J.; Fallen, E.L.; Pugsley, S.O.; Taylor, D.W.; Berman, L.B. The 6-minute walk: A new measure of exercise capacity in patients with chronic heart failure. Can. Med. Assoc. J. 1985, 132, 919–992. [Google Scholar]
- Brooks, D.; Solway, S.; Gibbons, W.J. ATS statement on six-minute walk test. Am. J. Respir. Crit. Care Med. 2003, 167, 1287. [Google Scholar] [CrossRef]
- American Psychiatric Association. Diagnostic and Statistical Manual of Mental Disorders: DSM-5; American Psychiatric Association: Washington, DC, USA, 2013. [Google Scholar]
- Dion, M.; Potvin, O.; Belleville, S.; Ferland, G.; Renaud, M.; Bherer, L.; Joubert, S.; Vallet, G.T.; Simard, M.; Rouleau, I.; et al. Normative data for the Rappel libre/Rappel indicé à 16 items (16-item Free and Cued Recall) in the elderly Quebec-French population. Clin. Neuropsychol. 2015, 28, S1–S19. [Google Scholar] [CrossRef]
- Shulman, K.I. Clock-drawing: Is it the ideal cognitive screening test? Int. J. Geriatr. Psychiatry 2000, 15, 548–561. [Google Scholar] [CrossRef]
- Gomez, R.G.; White, D.A. Using verbal fluency to detect very mild dementia of the Alzheimer type. Arch. Clin. Neuropsychol. 2006, 21, 771–775. [Google Scholar] [CrossRef]
- Brown, P.J.; Woods, C.M.; Storandt, M. Model stability of the 15-item Geriatric Depression Scale across cognitive impairment and severe depression. Psychol. Aging 2007, 22, 372–379. [Google Scholar] [CrossRef]
- Lucas-Carrasco, R.; Skevington, S.M.; Gómez-Benito, J.; Rejas, J.; March, J. Using the WHOQOL-BREF in persons with dementia: A validation study. Alzheimer Dis. Assoc. Disord. 2011, 25, 345–351. [Google Scholar] [CrossRef]
- Troyer, A.K.; Leach, L.; Strauss, E. Aging and Response Inhibition: Normative Data for the Victoria Stroop Test. Aging Neuropsychol. Cogn. 2007, 13, 20–35. [Google Scholar] [CrossRef]
- Scarpina, F.; Tagini, S. The Stroop Color and Word Test. Front. Psychol. 2017, 8, 557. [Google Scholar] [CrossRef]
- Gregoire, J.; Van der Linden, M. Effect of age on forward and backward digit spans. Aging Neuropsychol. Cogn. 1997, 4, 140–149. [Google Scholar] [CrossRef]
- Monaco, M.; Costa, A.; Caltagirone, C.; Carlesimo, G.A. Forward and backward span for verbal and visuo-spatial data: Standardization and normative data from an Italian adult population. Neurol. Sci. 2013, 34, 749–754. [Google Scholar] [CrossRef]
- Muangpaisan, W.; Intalapaporn, S.; Assantachai., P. Digit span and verbal fluency tests in patients with mild cognitive impairment and normal subjects in Thai-community. J. Med. Assoc. Thail. 2010, 93, 224–230. [Google Scholar]
- Anderson, J.; Douglass, S. Tower of Hanoi: Evidence for the cost of goal retrieval. J. Exp. Psychol. Learn. Mem. Cogn. 2001, 27, 1331–1346. [Google Scholar] [CrossRef]
- de Oliveira Silva, F.; Ferreira, J.V.; Plácido, J.; Sant’Anna, P.; Araújo, J.; Marinho, V.; Laks, J.; Deslandes, A.C. Three months of multimodal training contributes to mobility and executive function in elderly individuals with mild cognitive impairment, but not in those with Alzheimer’s disease: A randomized controlled trial. Maturitas 2019, 126, 28–33. [Google Scholar] [CrossRef]
- Fonte, C.; Smania, N.; Pedrinolla, A.; Munari, D.; Gandolfi, M.; Picelli, A.; Varalta, V.; Benetti, M.V.; Brugnera, A.; Federico, A.; et al. Comparison between physical and cognitive treatment in patients with MIC and Alzheimer’s disease. Aging 2019, 11, 3138–3155. [Google Scholar] [CrossRef]
- Park, H.; Park, J.H.; Na, H.R.; Hiroyuki, S.; Kim, G.M.; Jung, M.K.; Kim, W.K.; Park, K.W. Combined Intervention of Physical Activity, Aerobic Exercise, and Cognitive Exercise Intervention to Prevent Cognitive Decline for Patients with Mild Cognitive Impairment: A Randomized Controlled Clinical Study. J. Clin. Med. 2019, 8, 940. [Google Scholar] [CrossRef]
- tenBrinke, L.F.; Bolandzadeh, N.; Nagamatsu, L.S.; Hsu, C.L.; Davis, J.C.; Miran-Khan, K.; Liu-Ambrose, T. Aerobic exercise increases hippocampal volume in older women with probable mild cognitive impairment: A 6-month randomised controlled trial. Br. J. Sport. Med. 2015, 49, 248–254. [Google Scholar] [CrossRef]
- Meng, Q.; Yin, H.; Wang, S.; Shang, B.; Meng, X.; Yan, M.; Li, G.; Chu, J.; Chen, L. The effect of combined cognitive intervention and physical exercise on cognitive function in older adults with mild cognitive impairment: A meta-analysis of randomized controlled trials. Aging Clin. Exp. Res. 2022, 34, 261–276. [Google Scholar] [CrossRef]
- Gavelin, H.M.; Dong, C.; Minkov, R.; Bahar-Fuchs, A.; Ellis, K.A.; Lautenschlager, N.T.; Mellow, M.L.; Wade, A.T.; Smith, A.E.; Finke, C.; et al. Combined physical and cognitive training for older adults with and without cognitive impairment: A systematic review and network meta-analysis of randomized controlled trials. Ageing Res. Rev. 2021, 66, 101232. [Google Scholar] [CrossRef]
- Salzman, T.; Sarquis-Adamson, Y.; Son, S.; Montero-Odasso, M.; Fraser, S. Associations of Multidomain Interventions With Improvements in Cognition in Mild Cognitive Impairment: A Systematic Review and Meta-analysis. JAMA Netw. Open 2022, 5, e226744. [Google Scholar] [CrossRef]
- Xue, D.; Li, P.W.C.; Yu, D.S.F.; Rose, S.Y.; Lin, R.S.Y. Combined exercise and cognitive interventions for adults with mild cognitive impairment and dementia: A systematic review and network meta-analysis. Int. J. Nurs. Stud. 2023, 147, 104592. [Google Scholar] [CrossRef]
- Uysal, I.; Başar, S.; Aysel, S.; Kalafat, D.; Büyüksünnetçi, A.Ö. Aerobic exercise and dual-task training combination is the best combination for improving cognitive status, mobility and physical performance in older adults with mild cognitive impairment. Aging Clin. Exp. Res. 2023, 35, 271–281. [Google Scholar] [CrossRef] [PubMed]
- Anderson-Hanley, C.; Barcelos, N.M.; Zimmerman, E.A.; Gillen, R.W.; Dunnam, M.; Cohen, B.D.; Yerokhin, V.; Miller, K.E.; Hayes, D.J.; Arciero, P.J.; et al. The aerobic and cognitive exercise study (ACES) for community-dwelling older adults with or at-risk for mild cognitive impairment (MCI): Neuropsychological, neurobiological and neuroimaging outcomes of a randomized clinical trial. Front. Aging Neurosci. 2018, 10, 76. [Google Scholar] [CrossRef]
- Beaunieux, H.; Eustache, F.; Busson, P.; de la Sayette, V.; Viader, F.; Desgranges, B. Cognitive procedural learning in early Alzheimer’s disease: Impaired processes and compensatory mechanisms. J. Neuropsychol. 2012, 1, 31–42. [Google Scholar] [CrossRef]
- Chirles, T.J.; Reiter, K.; Weiss, L.R.; Alfini, A.J.; Nielson, K.A.; Smith, J.C. Exercise Training and Functional Connectivity Changes in Mild Cognitive Impairment and Healthy Elders. J. Alzheimers Dis. 2017, 57, 845–856. [Google Scholar] [CrossRef] [PubMed]
- Meeusen, R. Exercise, nutrition and the brain. Sport. Med. 2014, 44, S47–S56. [Google Scholar] [CrossRef]
- Firth, J.; Stubbs, B.; Vancampfort, D.; Schuch, F.; Lagopoulos, J.; Rosenbaum, S.; Ward, P.B. Effect of aerobic exercise on hippocampal volume in humans: A systematic review and meta-analysis. Neuroimage 2018, 166, 230–238. [Google Scholar] [CrossRef] [PubMed]
- Van Balkom, T.D.; van den Heuvel, O.A.; Berendse, H.W.; van der Werf, Y.D.; Vriend, C. The Effects of Cognitive Training on Brain Network Activity and Connectivity in Aging and Neurodegenerative Diseases: A Systematic Review. Neuropsychol. Rev. 2020, 30, 267–286. [Google Scholar] [CrossRef]
- Stigger, F.S.; Zago Marcolino, M.A.; Portela, K.M.; Portela, K.M.; Méa Plentz, R.D. Effects of Exercise on Inflammatory, Oxidative, and Neurotrophic Biomarkers on Cognitively Impaired Individuals Diagnosed with Dementia or Mild Cognitive Impairment: A Systematic Review and Meta-Analysis. J. Gerontol. A Biol. Sci. Med. Sci. 2019, 74, 616–624. [Google Scholar] [CrossRef]
- Vazquez-Sanroman, D.; Sanchis-Segura, C.; Toledo, R.; Hernandez, M.E.; Manzo, J.; Miquel, M. The effects of enriched environment on 8 American Journal of Alzheimer’s Disease & Other Dementias® XX(X) BDNF expression in the mouse cerebellum depending on the length of exposure. Behav. Brain Res. 2013, 243, 118–128. [Google Scholar]
- Pressler, S.; Titler, M.; Koelling, T.M.; Riley, P.L.; Miyeon Jung, M.; Hoyland-Domenico, L.; Ronis, D.L.; Smith, D.G.; Bleske, B.E.; Dorsey, S.G.; et al. Nurse-enhanced computerized cognitive training increases serum brain derived neurotrophic factor levels and improves working memory in heart failure. J. Card. Fail. 2015, 21, 630–641. [Google Scholar] [CrossRef]
- Byun, J.E.; Kang, E.B. The effects of senior brain health exercise program on basic physical fitness, cognitive function and BDNF of elderly women a feasibility study. J. Exerc. Nutr. Biochem. 2016, 20, 8–18. [Google Scholar] [CrossRef]
- Nascimento, C.M.C.; Pereira, J.R.; Pires de Andrade, L.; Garuffi, M.; Ayan, C.; Shikanai, K.S.; Talib, L.L.; Cominetti, M.R.; Stella, F. Physical exercise improves peripheral BDNF levels and cognitive functions in mild cognitive impairment elderly with different BDNF Val66Met genotypes. J. Alzheimers Dis. 2015, 43, 81–91. [Google Scholar] [CrossRef]
- Håkansson, K.; Ledreux, A.; Daffner, K.; Terjestam, Y.; Bergman, P.; Carlsson, R.; Kivipelto, M.; Winblad, B.; Granholm, A.C.H.; Mohammed, A.K. BDNF Responses in Healthy Older Persons to 35 Minutes of Physical Exercise, Cognitive Training, and Mindfulness: Associations with Working Memory Function. J. Alzheimers Dis. 2017, 55, 645–657. [Google Scholar] [CrossRef]
- Ide, K.; Secher, N.H. Cerebral blood flow and metabolism during exercise. Prog. Neurobiol. 2000, 61, 97–414. [Google Scholar] [CrossRef]
- Zimmerman, B.; Sutton, B.P.; Low, K.A.; Fletcher, M.A.; Hong Tan, C.; Schneider-Garce, N.; Li, Y.; Ouyang, C.L.; Maclin, E.; Gratton, G.; et al. Cardiorespiratory fitness mediates the effects of aging on cerebral blood flow. Front. Aging Neurosci. 2014, 6, 59. [Google Scholar] [CrossRef]
- Binnewijzend, M.A.A.; Kuijer, J.P.A.; Benedictus, M.R.; van der Flier, W.M.; Meije Wink, A.; Wattjes, M.P.; van Berckel, B.N.M.; Scheltens, P.; Barkhof, F. Cerebral blood flow measured with 3D pseudocontinuous arterial spin-labeling MR imaging in Alzheimer disease and mild cognitive impairment: A marker for disease severity. Radiology 2013, 267, 221–230. [Google Scholar] [CrossRef]
- Lambourne, K.; Audiffren, M.; Tomporowski, P.D. Effects of acute exercise on sensory and executive processing tasks. Med. Sci. Sport. Exerc. 2010, 42, 1396–1402. [Google Scholar] [CrossRef]
- Wang, Y.-Y.; Wang, X.-X.; Chen, L.; Liu, Y.; Li, Y.-R. A systematic review and network meta-analysis comparing various non-pharmacological treatments for older people with mild cognitive impairment. Asian J. Psychiatr. 2023, 86, 103635. [Google Scholar] [CrossRef] [PubMed]



| Variable | CG (n = 14) | AT (n = 15) | ACT (n = 15) |
|---|---|---|---|
| M (SD) | M (SD) | M (SD) | |
| Age (years) | 69.24 (4.84) | 67.93 (5.18) | 67.13 (3.04) |
| Age of the onset of the disease (years) | 64.57 (4.44) | 63.26 (4.75) | 62.00 (3.83) |
| Height (cm) | 160.35 (5.66) | 170.00 (10.59) | 163.60 (8.34) |
| Weight (kg) | 73.71 (8.35) | 82.20 (9.03) | 79.06 (10.63) |
| Education level | 5.00 (0.65) | 4.00 (1.00) | 4.20 (0.94) |
| Sex (M/F) | 2/12 | 5/10 | 5/10 |
| MMSE (30 point max) | 26.07 (0.26) | 26.20 (0.56) | 26.13 (0.35) |
| GDS (15 point max) | 6.21 (0.57) | 5.93 (0.45) | 5.20 (0.41) |
| WHOQOL-BREF-100 (100 point max) | 76.91 (6.06) | 77.92 (5.68) | 78.65 (7.13) |
| Six-Minute Walk Test (m) | 470 (57.13) | 479 (56.10) | 473 (58.39) |
| CG (n = 14) | AT (n = 15) | ACT (n = 15) | |||||||
|---|---|---|---|---|---|---|---|---|---|
| Baseline | W8 | Baseline | W8 | Baseline | W8 | ||||
| M (SD) | M (SD) | Z | M (SD) | M (SD) | Z | M (SD) | M (SD) | Z | |
| MMSE | 26.07 (0.26) | 26.07 (0.26) | 0.00 | 26.20 (0.56) | 26.93 (0.79) | −2.49 * | 26.13 (0.35) | 27.13 (0.83) | −2.74 ** |
| RL/RI-16 | 13.14 (1.16) | 13.37 (1.08) | −1.00 | 13.13 (1.18) | 14.06 (0.79) | −2.55 * | 13.00 (1.25) | 14.80 (0.86) | −3.17 *** |
| Letter fluency | 10.71 (0.72) | 10.57 (0.51) | −1.41 | 10.53 (0.74) | 11.53 (1.35) | −2.72 ** | 10.80 (0.77) | 12.33 (0.89) | −3.38 *** |
| Category fluency | 13.07 (0.82) | 13.07 (0.82) | 0.00 | 13.86 (0.99) | 14.33 (0.61) | −2.07 * | 13.33 (0.97) | 14.80 (0.86) | −3.10 ** |
| Clock test | 5.57 (0.64) | 5.71 (0.61) | −1.41 | 6.00 (0.53) | 6.46 (0.51) | −2.33 * | 5.66 (0.48) | 6.53 (0.51) | −2.92 ** |
| GDS 15 items | 6.21 (0.57) | 5.07 (0.61) | −3.08 *** | 5.93 (0.45) | 4.60 (0.63) | −3.54 *** | 5.20 (0.41) | 3.80 (0.67) | −3.25 *** |
| WHOQOL-BREF-100 D1 | 21.71 (1.43) | 21.92 (1.32) | −1.73 | 21.00 (1.36) | 22.46 (1.84) | −2.84 ** | 21.73 (1.83) | 23.40 (2.03) | −2.83 ** |
| WHOQOL-BR EF-100 D2 | 19.35 (1.78) | 19.35 (1.78) | 0.00 | 20.86 (1.30) | 22.06 (1.22) | −2.84 ** | 20.33 (1.54) | 22.60 (1.72) | −3.21 *** |
| WHOQOL-BREF-100 D3 | 09.64 (0.74) | 08.79 (1.52) | −1.56 | 9. 06 (1.38) | 8.06 (0.88) | −2.87 ** | 9.67 (1.40) | 10.47 (1.55) | −2.76 ** |
| WHOQOL-BREF-100 D4 | 26.21 (2.11) | 24.93 (1.54) | −2.20 | 27.00 (1.64) | 27.96 (1.50) | −2.23 * | 26.93 (2.37) | 28.80 (1.66) | −2.68 ** |
Disclaimer/Publisher’s Note: The statements, opinions and data contained in all publications are solely those of the individual author(s) and contributor(s) and not of MDPI and/or the editor(s). MDPI and/or the editor(s) disclaim responsibility for any injury to people or property resulting from any ideas, methods, instructions or products referred to in the content. |
© 2024 by the authors. Licensee MDPI, Basel, Switzerland. This article is an open access article distributed under the terms and conditions of the Creative Commons Attribution (CC BY) license (https://creativecommons.org/licenses/by/4.0/).
Share and Cite
Ayed, I.B.; Aouichaoui, C.; Ammar, A.; Naija, S.; Tabka, O.; Jahrami, H.; Trabelsi, K.; Trabelsi, Y.; El Massioui, N.; El Massioui, F. Mid-Term and Long-Lasting Psycho–Cognitive Benefits of Bidomain Training Intervention in Elderly Individuals with Mild Cognitive Impairment. Eur. J. Investig. Health Psychol. Educ. 2024, 14, 284-298. https://doi.org/10.3390/ejihpe14020019
Ayed IB, Aouichaoui C, Ammar A, Naija S, Tabka O, Jahrami H, Trabelsi K, Trabelsi Y, El Massioui N, El Massioui F. Mid-Term and Long-Lasting Psycho–Cognitive Benefits of Bidomain Training Intervention in Elderly Individuals with Mild Cognitive Impairment. European Journal of Investigation in Health, Psychology and Education. 2024; 14(2):284-298. https://doi.org/10.3390/ejihpe14020019
Chicago/Turabian StyleAyed, Ines Ben, Chirine Aouichaoui, Achraf Ammar, Salma Naija, Oussama Tabka, Haitham Jahrami, Khaled Trabelsi, Yassine Trabelsi, Nicole El Massioui, and Farid El Massioui. 2024. "Mid-Term and Long-Lasting Psycho–Cognitive Benefits of Bidomain Training Intervention in Elderly Individuals with Mild Cognitive Impairment" European Journal of Investigation in Health, Psychology and Education 14, no. 2: 284-298. https://doi.org/10.3390/ejihpe14020019
APA StyleAyed, I. B., Aouichaoui, C., Ammar, A., Naija, S., Tabka, O., Jahrami, H., Trabelsi, K., Trabelsi, Y., El Massioui, N., & El Massioui, F. (2024). Mid-Term and Long-Lasting Psycho–Cognitive Benefits of Bidomain Training Intervention in Elderly Individuals with Mild Cognitive Impairment. European Journal of Investigation in Health, Psychology and Education, 14(2), 284-298. https://doi.org/10.3390/ejihpe14020019

